Next Article in Journal
Updated ESC Guidelines: Management of Stable Coronary Artery Disease
Previous Article in Journal
Duration of Dual Antiplatelet Therapy After Coronary Artery Stenting
 
 
Cardiovascular Medicine is published by MDPI from Volume 28 Issue 1 (2025). Previous articles were published by another publisher in Open Access under a CC-BY (or CC-BY-NC-ND) licence, and they are hosted by MDPI on mdpi.com as a courtesy and upon agreement with Editores Medicorum Helveticorum (EMH).
Font Type:
Arial Georgia Verdana
Font Size:
Aa Aa Aa
Line Spacing:
Column Width:
Background:
Review

Integrated Nurse-Led Oral Anticoagulation Management

by
Jeroen M. L. Hendriks
1,2,3,* and
Anna Strömberg
2,3
1
Maastricht University Medical Centre, Department of Cardiology, Maastricht, The Netherlands
2
Department of Medicine and Health Sciences, Division of Nursing Sciences, Linköping University, Linkoping, Sweden
3
Department of Cardiology, Linköping University, Linkoping, Sweden
*
Author to whom correspondence should be addressed.
Cardiovasc. Med. 2015, 18(1), 9; https://doi.org/10.4414/cvm.2015.00305
Submission received: 21 October 2014 / Revised: 21 November 2014 / Accepted: 21 December 2014 / Published: 21 January 2015

Abstract

The management of atrial fibrillation (AF) is a complex process because AF is not only a heart rhythm disturbance but also a vascular disease, which necessitates treatment of the arrhythmia, prevention of thromboembolic complications and treatment of the underlying cardiovascular components. Moreover, although evidence-based guidelines for AF management are available, research demonstrated poor guideline adherence in the treatment of AF, resulting in increased morbidity and mortality rates in these patients. As a consequence, current practice calls for a more comprehensive management approach. This integrated approach to care contributes to the availability of evidence-based care by redesigning daily practice while improving clinical outcomes. In this paper the fundamentals of an integrated approach to care are presented in terms of a nurse-led, guideline-based, software-supported outpatient clinic for patients with AF. Also, the effectiveness of this AF-Clinic is discussed from the viewpoint of oral anticoagulation therapy, compared with usual care.

Introduction

Atrial fibrillation (AF) is the most common cardiac arrhythmia in the western world and is strongly associated with underlying heart disease and cardiovascular mortality. Moreover, AF patients are at high risk for thromboembolic complications such as transient ischaemic attack (TIA) or stroke. Owing to its rising prevalence AF is considered the epidemic of the new millennium [1]. Currently, the prevalence is 1–2% in the general population and increases with age to 5–15% in individuals over 80 years [2,3]. Given the aging population it is expected that this figure will double 2.5-fold by 2050, affecting 12 to 15 million individuals in the United States alone [4].
The management of AF is complex because AF is not only a heart rhythm disturbance but foremost a vascular disease [5], which necessitates an integrated management focus on the treatment of the arrhythmia, the prevention of thromboembolic complications and treatment of the underlying cardiovascular components. This management process can be longlasting since AF is considered a chronic condition. Consequently, since AF patients have a number of underlying comorbidities, they are ohen referred to various specialists leading to fragmentation of care. Besides this, diagnostic and therapeutic AF management is ohen not according to the evidence-based guidelines, resulting in inefficient and inadequate care [6]. The latter particularly concerns oral anticoagulation therapy, although this is the cornerstone in the prevention of thromboembolic complications as part of AF management. Prior research demonstrated undertreatment of AF patients at high risk for stroke or TIA, while reporting overtreatment in patients at low risk and therefore not needing these drugs [7,8]. Whereas evidence-based guidelines for AF management are available in various forms, updated regularly and easily accessible, recent data confirmed similar findings to those demonstrated a decade ago [9]. Apparently the conservative care approach is failing in this respect and current practice calls for a more comprehensive, integrated AF management approach. In addition, AF is considered a relatively expensive disease with a high burden on the healthcare system. On an annual basis the average cost of AF (including diagnosis, drug therapy, cardioversion and other cardiovascular interventions) is estimated at € 2,328.00 per patient resulting in an estimated total cost of € 583 million per year [10,11]. As a first response to this an integrated chronic care approach, in a specialised AF clinic, was developed and implemented in the Maastricht University Medical Centre. In this paper we explain the fundamentals of integrated care as interpreted in the nurse-led AF clinic and demonstrate effectiveness with a special focus on oral anticoagulation therapy.

AF clinic

The AF clinic follows an integrated chronic care approach and is based on the principles of the Chronic Care Model. This model is considered to contribute to improved patient outcomes by changing the routine delivery of care, while providing patient-centred, evidence-based care. To achieve this the model fuses six interrelated elements: self-management support, delivery system design, decision support, clinical information systems, healthcare organisation, and community resources [12,13]. The principles of the chronic care model are translated into four main interrelated principles that form the pillars of the AF clinic [14].
  • Substitution of care by specialised nurses. The nurse works closely together with the cardiologist, takes over tasks from the cardiologist and together they form the AF treatment team. In the AF clinic the nurse is responsible for the coordination of care and education of patients. In an independent consultation the nurse has more time for the patient (30 min per consultation, compared with an average of 15 min with the cardiologist). Besides focusing on the diagnostic and therapeutic management of AF the nurse provides tailored education following a patient-centred approach, with the main aim to activate and support patients in their self-management role.
  • Diagnostic and therapeutic management of AF is based on the current evidence-based guidelines [2,15]. This includes a requirement that all patients undergo a number of clinical tests based on the same protocol, upon entry to the AF clinic.
  • A dedicated sohware program to support decision making by the treatment team. The program consists of an electronic checklist to guarantee that all necessary procedures in the diagnostic and treatment process have been completed in order to prevent incomplete care processes. Moreover, the program consists of a knowledge function. Based on the individual patient data and the current guidelines on the management of AF, the program is able to generate an individual risk profile and, accordingly, treatment advice. This so-called ‘smart sohware’ is considered to be the navigation system for the patient and the treatment team throughout the entire care process.
  • Supervision by a cardiologist. Due to the fact that the cardiologist does not see the patient during every visit, communication processes between nurse and cardiologist (in terms of staff meetings and evaluation loops) are of utmost importance to insure an effective and safe care process. Besides that, the cardiologist acts as the nurse’s contact person at all times. The cardiologist is medically responsible during the entire care process.
The processes in the AF clinic are described in more detail elsewhere [14].

Fundamentals of integrated care in the AF clinic

Integrated care is a broad concept and unfortunately an unambiguous definition is lacking [16]. However, the shortcomings of current daily practice paved the way towards an interpretation of the concept used in the AF clinic. This approach consists of interrelated fundamentals to care that are indispensable to make integrated care pay off.
  • Integrated, guideline-based AF management
The management of AF is considered complex since it should not focus on the treatment of the arrhythmia alone (e.g., choice between rate or rhythm control therapy), but also on predicting stroke risks in patients and preventing thromboembolic complications by proper establishment of oral anticoagulant therapy. The guidelines provide straightforward stroke risk schemas like CHADS2 [17] or CHA2DS2–VASc [18] to guide decision making and also educate patients. Moreover, it is vital to detect and treat underlying cardiovascular components since these might be potential risk factors in triggering AF. The importance of guideline recommendations might be obvious, but apparently there is a gap between guidelines and daily practice [8,9]. Integrated care can be a solution in closing this gap, steered by means of substitution of care. In the AF clinic the nurse is responsible for the coordination of care within a multidisciplinary team approach. Nurse and cardiologist work closely together based on an indispensable work relationship including reciprocal reliance; in terms of task substitution nurses perform tasks that used to be performed by medical doctors. There is a clear role for the nurse, who is care provider and care coordinator, and the supervising cardiologist. This implies efficient cooperation and communication between both specialists, which is vital in providing guideline-based management and improving patient care.
  • Patient-centred approach to care
On the other hand, commitment and input from the patient is indispensable to activate patients in their self-management role and it creates opportunities for shared decision making [11]. The Chronic Care Model advocates actively involving patients in their care process. However, before a patient is able to take on such a role, it is necessary to fully educate the patient regarding disease, treatment options and potential complications. Moreover, the ambition is to discuss self-management interventions with the patient and to encourage them to self-manage their care process, thus supporting the treatment team in the creation of tailored care.
  • Shared decision making
If multiple treatment options are available for a patient, a process of shared decision making, in which the preferences of the patient are taken into account, can help to make tailor-made decisions with the patient [11]. In such a process patient and care provider not only collaborate in order to make a decision about the therapy, but also focus on lifestyle aspects and how the patient can incorporate these into daily life. In the AF clinic a practice model for shared decision making by Elwyn et al. is used [19]. The model consists of three steps in the decision making process and is easy to use. The process starts with the choice talk. In this phase the care provider lists in simple language the therapeutic options and (lifestyle) interventions, and assesses whether the patient is willing and able to make certain choices. This is followed by the option talk in which the various options with associated advantages and disadvantages will be highlighted. Finally, in the decision talk the patient is supported in making the actual decision that best fits the patient, based on best preferences and possibilities. In theory this sounds very plausible but practice is more persistent, in a way that a process of shared decision making is not always possible. This model is helpful in explaining and discussing the importance of oral anticoagulation therapy with the patient and choosing the drug that fits the patient and his/her situation.
  • Self-management
Adherence to general lifestyle and cardiovascular risk management interventions is vital in contributing to the treatment effect [14]. It is needless to say that a healthy lifestyle, including a variety of healthy food, adequate exercise and smoking cessation, are important activities that patients can undertake to optimise and maintain general health. However, patients ohen lack the knowledge of how to achieve this. In the AF clinic it is the task of the nurse to explain the relationships between risk factors and the occurrence of cardiovascular comorbidity and to clarify how patients can influence this process. Actively informing patients and involving them in the care process creates patients’ responsibility, and responsibility in turn creates involvement. Due to this, patients may be better able to decide (shared decision making) on the individual approach to lifestyle factors and self-management activities. self-management with respect to oral anticoagulation care includes the capability of a patient to take correctly the right medication at the right time, to visit the thrombosis centre at set times (if applicable), and also to adhere to dietary restrictions. These interventions are not only a way to help patients understand the importance of the intervention, but, especially, to teach them how to fulfil, adapt and continually self-manage themselves in their daily life.

Effects of integrated atrial fibrillation management—results of a randomised effectiveness trial

  • Study design and participants
To demonstrate effectiveness of the AF clinic, a prospective randomised clinical trial was performed. Patients ≥18 years of age with newly diagnosed AF (documented on an electrocardiogram), referred to the outpatient department were randomly assigned to receive care within the integrated care approach (nurse-led AF clinic) or usual care delivered by a cardiologist in the usual outpatient setting, with a computerised one-to-one randomisation. Patients were excluded from the study in the case of any comorbidity that was unsatisfactorily treated and referred to a dedicated specialist immediately. In total, 712 patients were enrolled in the study and allocated to the nurse-led care group (n = 356) and usual care group (n = 356). The groups were well matched without significant differences on baseline (Table 1). Follow-up was at least one year. The design of the study is described in more detail elsewhere [14].
  • Study objectives
The primary endpoint was a composite of cardiovascular hospitalisation (unplanned and necessitating at least one overnight stay) or death from cardiovascular causes—heart failure, ischaemic stroke, systemic embolism, major bleeding, acute myocardial infarction, arrhythmic events and life-threatening adverse effects of drugs. Since the study had an open-label blinded endpoint design, an independent clinical endpoint committee was created to adjudicate all primary outcome events on the basis of prespecified criteria. Moreover, the study focussed on the extent to which the diagnostic and therapeutic management of AF was in accordance with the then applicable evidence-based guidelines [20], as well as on the cost effectiveness of the intervention.

Results

  • Guideline adherence
Guideline adherence was evaluated on the basis of six practical recommendations stated in the guidelines on the management of AF [20]. Overall, guideline adherence in the nurse-led care group was significantly better compared with usual care (p <0.001). Diagnostic procedures such as thyroid function testing were performed in 91% vs 54% and echocardiography in 91% vs 82% of patients in the nurse-led care group vs the usual care group. Therapeutic recommendations included for example, appropriate use of a rhythm control strategy. Specifically, no application of rhythm control in asymptomatic patients which was adhered to in 95% vs 85% of patients in the nurse-led care group vs the usual care group. Moreover, refraining from use of antiarrhythmic drugs if contraindicated was seen in 87% vs 82% of patients, as well as in patients with permanent AF (97% vs 93%), in the nurse-led care group vs the usual care group, respectively. Most striking was the finding on appropriate prescription of oral anticoagulation based on the relevant stroke risk. In 99% of the nurse-led care patient were appropriately treated vs 83% of the patients in the usual care group, demonstrating a significant difference between the groups (p <0.001) [21].
  • Cardiovascular hospitalisation or death
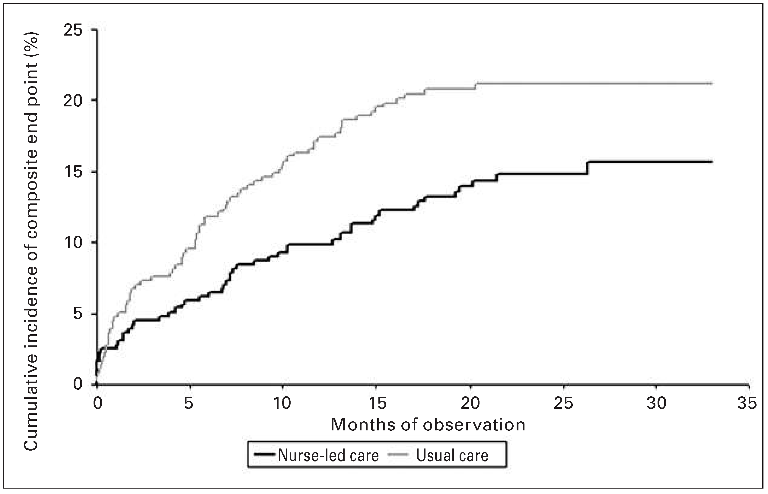
During a mean follow-up of 22 months, the composite outcome of cardiovascular hospitalisation or death occurred in 125 patients: 51 patients (14.3%) in the integrated AF clinic and 74 (20.8%) in the usual care (hazard ratio 0.65, 95% confidence interval 0.450.93, p <0.05) [21]. Figure 1 shows the Kaplan-Meier curves for the estimates of the cumulative incidence of the composite outcome over time in both groups, demonstrating superiority of the nurse-led care in terms of cardiovascular hospitalisation or death compared to the usual care.
The individual components of the primary endpoint are presented in Table 2. The table shows a significant reduction in cardiovascular hospitalisation in favour of 13.5% in the nurse-led care group compared with 19.1% in the usual care group (hazard ratio 0.66, 95% confidence interval 0.46–0.96, p <0.05). Focussing on hospitalisations for thromboembolic complications, there was a reduction in hospitalisation for stroke in the nurse-led care group compared with usual care group (0.8% vs 1.4%, respectively), while hospitalisation for major bleeding was similar in both groups. Moreover, the rate of death from cardiovascular causes was significantly lower with integrated nurseled care compared with usual care (1.1% and 3.9%, respectively; hazard ratio 0.28, 95% confidence interval 0.09–0.85, p <0.05). There was a large reduction in the category vascular noncardiac deaths, which includes deaths due to fatal thromboembolic events, that are categorised 0.6% vs 2.3% with nurse-led care vs usual usual care [21]. However, these results should be interpreted with caution since the numbers are small.
  • Cost effectiveness
Alongside the randomised effectiveness trial a cost effectiveness analysis was undertaken. The outcomes in the economic evaluation were survival (expressed as life years and calculated as days alive during follow-up divided by 365) and quality-adjusted life years (QALYs). The cost analyses was performed from a hospital perspective, and relevant costs included diagnostic procedures, outpatient care, medication therapy, interventional procedures, inpatient care and costs for the dedicated sohware. follow-up in the economic evaluation was one year. Details of the procedures are documented elsewhere [22].
Differences between groups regarding QALYs and life years were relatively small without significant differences. The mean (standard deviation [SD]) QALY was 0.603 (0.007) and 0.594 (0.003) and mean (SD) life-years 0.983 (0.013) vs 0.963 (0.009) in the nurse-led care group vs the usual care group, respectively. The mean (±SD) total healthcare cost per patient is lower in the nurse-led care (€2,302.00 ± 5.506) compared to the usual care (€3,037.00 ± 5.987), without significant differences between groups.
Cost effectiveness is expressed as an incremental cost effectiveness ratio (ICER) representing the additional benefits gained from the intervention against additional costs. The cost effectiveness analysis demonstrated improved survival in terms of more life years and QALYs in the nurse-led care group compared with the usual care group. In fact, the nurse-led care approach contributed to 0.009 QALY gains with a reduction in costs of €1,109.00 per patient and a gain of 0.02 life years with a reduced cost of €735.00 per patient, demonstrating that the nurse-led approach is cost effective in the management of AF patients.

Discussion

The AF clinic is an example of a best practice model that contributes to efficient care processes and improved clinical outcomes. In line with the context of this paper, integrated chronic AF management contributes to guideline-adherent oral anticoagulation care, prevents patients from incomplete diagnostic and inappropriate therapeutic procedures and consequently leads to reduced cardiovascular hospitalisation and death. Besides that it appears to dominate usual care in terms of cost effectiveness.
Similar results have been demonstrated in nurse-led heart failure care, and a recent meta-analysis showed that multidisciplinary transitional care decreases morbidity and mortality and prevents readmissions in patients with heart failure [23]. In fact, nurses have been involved in chronic care delivery since the 1970s and played a crucial role in multidisciplinary diabetes care [24].
Almost a decade ago the Euro Heart Survey (EHS) on AF demonstrated poorly guideline-adherent oral anticoagulation care: overtreatment in patients with a low risk for stroke (according to CHADS2 score) and undertreatment of patients with a high risk for stroke who definitely need oral anticoagulation [7,8]. Apparently the conservative approach in AF management is not able to close the gap between guideline recommendations and daily practice, since the EHS data have recently been confirmed again. The Global Anticoagulant Registry in the FIELD (GARFIELD) demonstrated that oral anticoagulants are frequently not being used in accordance with stroke risk scores and not according to the guidelines, with overtreatment of patients at low risk and undertreatment of patients at high risk for stroke [9].
Given the growing patient population that goes hand in hand with an increasing demand for care and a growing burden on the healthcare system, we advocate a nurse-led integrated approach in daily AF care. As a result of a multidisciplinary approach to care, nurses and cardiologists intensively collaborate, each in specified roles. This implies improved communication processes regarding care and treatment, which in itself leads to improved guideline-adherent AF management. The European Heart Rhythm Association supports nurse-led care for oral anticoagulation in the practical guide on the use of new oral anticoagulants in patients with AF [25]. This document states a clear role for the nurse in educating patients and coordinating the follow-up in AF patients requiring oral anticoagulation.
The AF clinic as presented in this paper is based on a hospital perspective. However, this should not be the final model, and expansion of the approach is necessary to improve further integrated collaboration between significant stakeholders in the care chain. Primary care practices are important partners in this perspective and would be very valuable in complementing the integrated care approach. Hence, we advocate transcending outpatient borders, in order to create new or improve existing collaborative relationships and achieve sustainable healthcare for patients with AF.

Conclusions

nurse-led integrated chronic AF management contributes to closing the gap between guideline recommendations and daily practice, and is considered a cost-effective management approach. In fact, it prevents incomplete management procedures, cardiovascular hospitalisation and death, most likely due to an improved collaboration between significant disciplines, application of guideline-adherent therapy and a patient-centred approach.

Funding/potential competing interests

No financial support and no other potential conflict of interest relevant to this article were reported.

References

  1. Braunwald, E. Shattuck Lecture—Cardiovascular medicine at the turn of the millenium: triumphs, concerns and opportunities. N Engl J Med. 1997, 337, 1360–1369. [Google Scholar] [CrossRef]
  2. European Heart Rhythm Association European Association for Cardio Thoracic Surgery; Camm, A.J.; Kirchhof, P.; Lip, G.Y.; Schotten, U.; et al. Guidelines for the management of atrial fibrillation: the Task Force for the Management of Atrial Fibrillation of the European Society of Cardiology (ESC). Eur Heart J. 2010, 31, 2369–2429. [Google Scholar]
  3. Go, A.S.; Hylek, E.M.; Phillips, K.A.; Chang, Y.; Henault, L.E.; Selby, J.V.; et al. Prevalence of diagnosed atrial fibrillation in adults: national implications for rhythm management and stroke prevention: the AnTicoagulation and Risk Factors in Atrial Fibrillation (ATRIA) Study. JAMA. 2001, 285, 2370–2375. [Google Scholar] [CrossRef] [PubMed]
  4. Miyasaka, Y.; Barnes, M.E.; Gersh, B.J.; Cha, S.S.; Bailey, K.R.; Abhayaratna, W.P.; et al. Secular trends in incidence of atrial fibrillation in Olmsted County, Minnesota, 1980 to 2000, and implications on the projections for future prevalence. Circulation. 2006, 114, 119–125. [Google Scholar] [PubMed]
  5. Weijs, B.; de Vos, C.B.; Tieleman, R.G.; Peeters, F.E.; Limantoro, I.; Kroon, A.A.; et al. The occurrence of cardiovascular disease during 5–year follow-up in patients with idiopathic atrial fibrillation. Europace. 2013, 15, 18–23. [Google Scholar] [CrossRef] [PubMed]
  6. Nieuwlaat, R.; Capucci, A.; Camm, A.J.; Olsson, S.B.; Andresen, D.; Davies, D.W.; et al. Atrial fibrillation management: a prospective survey in ESC member countries: the Euro Heart Survey on Atrial Fibrillation. Eur Heart J. 2005, 26, 2422–2434. [Google Scholar]
  7. Nieuwlaat, R.; Capucci, A.; Lip, G.Y.; Olsson, S.B.; Prins, M.H.; Nieman, F.H.; et al. Antithrombotic treatment in real-life atrial fibrillation patients: a report from the Euro Heart Survey on Atrial Fibrillation. Eur Heart J. 2006, 27, 3018–3026. [Google Scholar]
  8. Nieuwlaat, R.; Olsson, S.B.; Lip, G.Y.; Camm, A.J.; Breithardt, G.; Capucci, A.; et al. guideline-adherent antithrombotic treatment is associated with improved outcomes compared with undertreatment in high-risk patients with atrial fibrillation. The Euro Heart Survey on Atrial Fibrillation. Am Heart J. 2007, 153, 1006–1012. [Google Scholar] [CrossRef]
  9. Kakkar, A.K.; Mueller, I.; Bassand, J.P.; Fitzmaurice, D.A.; Goldhaber, S.Z.; Goto, S.; et al. Risk profiles and antithrombotic treatment of patients newly diagnosed with atrial fibrillation at risk of stroke: perspectives from the international, observational, prospective GARFIELD registry. PLos One. 2013, 8, e63479. [Google Scholar] [CrossRef]
  10. Heemstra, H.E.; Nieuwlaat, R.; Meijboom, M.; Crijns, H.J. The burden of atrial fibrillation in the Netherlands. Neth Heart J. 2011, 19, 373–378. [Google Scholar] [CrossRef]
  11. Ringborg, A.; Nieuwlaat, R.; Lindgren, P.; Jönsson, B.; Fidan, D.; Maggioni, A.P.; et al. Costs of atrial fibrillation in five European countries: results from the Euro Heart Survey on atrial fibrillation. Europace. 2008, 10, 403–411. [Google Scholar] [CrossRef]
  12. Wagner, E.H.; Austin, B.T.; Von Korff, M. Improving outcomes in chronic illness. Manag Care Q. 1996, 4, 12–25. [Google Scholar]
  13. Wagner, E.H.; Austin, B.T.; Von Korff, M. Organizing care for patients with chronic illness. Millbank Q. 1996, 74, 511–544. [Google Scholar] [CrossRef]
  14. Hendriks, J.M.; de Wit, R.; Vrijhoef, H.J.; Tieleman, R.G.; Crijns, H.J. An integrated chronic care program for patients with atrial fibrillation: study protocol and methodology for an ongoing prospective randomised controlled trial. Int J Nurs Stud. 2010, 47, 1310–1316. [Google Scholar] [CrossRef]
  15. Camm, A.J.; Lip, G.Y.; De Caterina, R.; Savelieva, I.; Atar, D.; Hohnloser, S.H.; et al. 2012 focused update of the ESC Guidelines for the management of atrial fibrillation: an update of the 2010 ESC Guidelines for the management of atrial fibrillation. Developed with the special contribution of the European Heart Rhythm Association. Eur Heart J. 2012, 33, 2719–2747. [Google Scholar]
  16. Nolte, E.; McKee, M. Caring for people with chronic conditions—A health system perspective; Open University Press: Berkshire, England, 2008. [Google Scholar]
  17. Gage, B.F.; Waterman, A.D.; Shannon, W.; Boechler, M.; Rich, M.W.; Radford, M.J. Validation of clinical classification schemes for predicting stroke: results from the National Registry of Atrial Fibrillation. JAMA. 2001, 285, 2864–2870. [Google Scholar] [CrossRef] [PubMed]
  18. Lip, G.Y.; Nieuwlaat, R.; Pisters, R.; Lane, D.A.; Crijns, H.J. Refining clinical risk stratification for predicting stroke and thromboembolism in atrial fibrillation using a novel risk factor-based approach: the euro heart survey on atrial fibrillation. Chest. 2010, 137, 263–272. [Google Scholar] [CrossRef]
  19. Elwyn, G.; Frosch, D.; Thomson, R.; Joseph-Williams, N.; Lloyd, A.; Kinnersley, P.; et al. Shared decision making: a model for clinical practice. J Gen Intern Med. 2012, 27, 1361–1367. [Google Scholar] [CrossRef]
  20. Fuster, V.; Rydén, L.E.; Cannom, D.S.; Crijns, H.J.; Curtis, A.B.; Ellenbogen, K.A.; et al. ACC/AHA/ESC 2006 guidelines for the management of patients with atrial fibrillation: full text: a report of the American College of Cardiology/American Heart Association Task Force on practice guidelines and the European Society of Cardiology Committee for Practice Guidelines (Writing Committee to Revise the 2001 guidelines for the management of patients with atrial fibrillation) developed in collaboration with the European Heart Rhythm Association and the Heart Rhythm Society. Europace. 2006, 8, 651–745. [Google Scholar] [PubMed]
  21. Hendriks, J.M.; de Wit, R.; Crijns, H.J.; Vrijhoef, H.J.; Prins, M.H.; Pisters, R.; et al. Nurse-led care vs. usual care for patients with atrial fibrillation: results of a randomized trial of integrated chronic care vs. routine clinical care in ambulatory patients with atrial fibrillation. Eur Heart J. 2012, 33, 2692–2699. [Google Scholar] [CrossRef] [PubMed]
  22. Hendriks, J.; Tomini, F.; van Asselt, T.; Crijns, H.; Vrijhoef, H. Cost effectiveness of a specialized atrial fibrillation clinic vs usual care in patients with atrial fibrillation. Europace. 2013, 15, 1128–1135. [Google Scholar] [CrossRef]
  23. Feltner, C.; Jones, C.D.; Cené, C.W.; Zheng, Z.J.; Sueta, C.A.; Coker-Schwimmer, E.J.; et al. Transitional care interventions to prevent readmissions for persons with heart failure: a systematic review and meta-analysis. Ann Intern Med. 2014, 160, 774–784. [Google Scholar] [CrossRef] [PubMed]
  24. Backscheider, J.E. Self-care requirements, self-care capabilities, and nursing systems in the diabetic nurse management clinic. Am J Public Health. 1974, 64, 1138–1146. [Google Scholar] [CrossRef] [PubMed][Green Version]
  25. Heidbuchel, H.; Verhamme, P.; Alings, M.; Antz, M.; Hacke, W.; Oldgren, J.; et al. European Heart Rhythm Association Practical Guide on the use of new oral anticoagulants in patients with non-valvular atrial fibrillation. Europace. 2013, 15, 625–651. [Google Scholar] [CrossRef] [PubMed]
Figure 1. Kaplan-Meier estimates of the cumulative incidence of the primary end point in the nurse-led care versus the usual care.
Figure 1. Kaplan-Meier estimates of the cumulative incidence of the primary end point in the nurse-led care versus the usual care.
Cardiovascmed 18 00009 g001
Table 1. Patient characteristics according to treatment group.
Table 1. Patient characteristics according to treatment group.
CharacteristicNurse-led careUsual care
(n = 356)(n = 356)
Age, year66 ± 1367 ± 12
Male sex, n (%)197 (55.3)221 (62.1)
Type of AF
Paroxysmal190 (53.4)203 (57.0)
Persistent68 (19.1)44 (12.4)
Permanent75 (21.1)84 (23.6)
Underlying cardiovascular disease, n (%)
Hypertension187 (52.5)193 (54.2)
Diabetes mellitus50 (14.0)46 (12.9)
Previous stroke/TIA44 (12.4)45 (12.6)
Coronary artery disease33 (9.3)38 (10.7)
Myocardial infarction19 (5.3)22 (6.2)
CHADS2 score, n (%)
0107 (30.0)95 (26.7)
1122 (34.3)135 (37.9)
>1127 (35.7)126 (35.4)
Medication, n (%)
Beta-blocker164 (46.1)187 (52.5)
Digitalis59 (16.6)43 (12.1)
Verapamil44 (12.4)18 (5.1)
Vaughan-Williams class I and III antiarrhythmic drugs105 (29.1)88 (24.7)
Vitamin K antagonist218 (61.2)188 (52.8)
Table 2. Incidence of the primary outcome and related components per treatment group.
Table 2. Incidence of the primary outcome and related components per treatment group.
EndpointNurse-led careUsual careHazard ratio
(n = 356)(n = 356)(95% CI)
Composite endpoint *51 (14.3%)74 (20.8%)0.65 (0.45–0.93)
Cardiovascular death:4 (1.1%)14 (3.9%)0.28 (0.09–0.85)
Cardiac arrythmic1 (0.3%)2 (0.6%)
Cardiac non-arrythmic1 (0.3%)4 (1.1%)
Vascular, non-cardiac2 (0.6%)8 (2.3%)
Cardiovascular hospitalisation:48 (13.5%)68 (19.1%)0.66 (0.46–0.96)
Arrythmic events:18 (5.1%)33 (9.3%)
Atrial fibrillation15 (4.2%)23 (6.5%)
Syncope3 (0.8%)7 (2.0%)
Sustained ventricular tachycardia (SVT)1 (0.3%)
Cardiac arrest2 (0.6%)
Heart failure14 (3.9%)19 (5.3%)
Acute myocardial infarction4 (1.1%)2 (0.6%)
Stroke3 (0.8%)5 (1.4%)
Major bleeding6 (1.7%)6 (1.7%)
Life-threatening effects of drugs3 (0.8%)3 (0.8%)
* Composite end point = first occurence of primary endpoint (cardiovascular hospitalisation or cardiovascular death). CI = confidence interval.

Share and Cite

MDPI and ACS Style

Hendriks, J.M.L.; Strömberg, A. Integrated Nurse-Led Oral Anticoagulation Management. Cardiovasc. Med. 2015, 18, 9. https://doi.org/10.4414/cvm.2015.00305

AMA Style

Hendriks JML, Strömberg A. Integrated Nurse-Led Oral Anticoagulation Management. Cardiovascular Medicine. 2015; 18(1):9. https://doi.org/10.4414/cvm.2015.00305

Chicago/Turabian Style

Hendriks, Jeroen M. L., and Anna Strömberg. 2015. "Integrated Nurse-Led Oral Anticoagulation Management" Cardiovascular Medicine 18, no. 1: 9. https://doi.org/10.4414/cvm.2015.00305

APA Style

Hendriks, J. M. L., & Strömberg, A. (2015). Integrated Nurse-Led Oral Anticoagulation Management. Cardiovascular Medicine, 18(1), 9. https://doi.org/10.4414/cvm.2015.00305

Article Metrics

Back to TopTop