Photoirradiation of Retinyl Palmitate in Ethanol with Ultraviolet Light - Formation of Photodecomposition Products, Reactive Oxygen Species, and Lipid Peroxides
Abstract
:Introduction
Materials and Methods
Materials
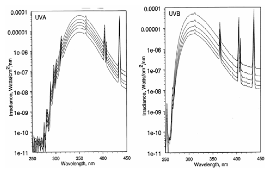
Light Source
Photoirradiation of RP
Peroxidation of Methyl Linoleate Initiated by Photoirradiation of RP with the High Output UVB Source
Instrumentation
Results
Photoirradiation of RP
Photoirradiation of RP in the Presence of Methyl Linoleate
Discussion







Acknowledgement
References
- (IARC) International Agency for Research on Cancer, Handbooks of Cancer Prevention: Vitamin A; Lyon, France, 1998; Volume 3.
- Tee, E. S. Carotenoids and retinoids in human nutrition. Crit. Rev. Food Sci. Nutr 1992, 31, 103–163. [Google Scholar]
- Idson, B. Vitamins in cosmetics, an update I. Overview and Vitamin A. Drug Cosmet. Ind 1990, 146, 26–91. [Google Scholar]
- Data from the U.S. Food and Drug Administration’s Voluntary Cosmetics Registration Program, 2004
- Fu, P. P.; Howard, P. C.; Culp, S.; Xia, Q.; Webb, P. J.; Blankenship, L.; Wamer, W. G.; Bucher, J. R. Do topically applied skin creams containing retinyl palmitate affect the photocarcinogenicity of simulated solar light? J. Food Drug Anal 2002, 10, 262–268. [Google Scholar]
- Ihara, H.; Hashizume, N.; Hirase, N.; Suzue, R. Esterification makes retinol more labile to photolysis. J. Nutr. Sci. Vitaminol 1999, 45, 353–358. [Google Scholar]
- Cherng, S.H.; Xia, Q.; Blankenship, L. R.; Freeman, J. P.; Wamer, W. G.; Howard, P. C.; Fu, P. P. Photodecomposition of retinyl palmitate in ethanol by UVA light - formation of photodecomposition products, reactive oxygen species, and lipid peroxides. Chem. Res. Toxicol 2005, 18, 129–138. [Google Scholar]
- Xia, Q.; Yin, J. J.; Cherng, S.-H.; Wamer, W. G.; Boudreau, M.; Howard, P.C. P. P. Fu. UVA Photodecomposition of retinyl palmitate – formation of singlet oxygen and superoxide, and their role in induction of lipid peroxidation. Toxicol. Lett 2006. [Google Scholar]
- Mukhtar, H. (Ed.) Skin Cancer: Mechanisms and Human Relevance; CRC Press: Boca Raton, 1995.
- Ahmad, H.; Mukhtar, H. Toxicology of the skin: new and emerging concepts. Toxicol Applied Pharm 2004, 195, 265–266. [Google Scholar]
- Sarasin, A. The molecular pathways of ultraviolet-induced carcinogenesis. Mutation Res 1999, 428, 5–10. [Google Scholar]
- Tokita, M.; Morita, M. Identification of new geometric isomers of methyl linoleate hydroperoxide and their chromatographic behavior. Biosci. Biotechnol. Biochem 2000, 64, 1044–1056. [Google Scholar]
- Stadtman, E. R.; Berlett, B. S. Reactive oxygen-mediated protein oxidation in aging and disease. Chem. Res. Toxicol 1997, 10, 485–494. [Google Scholar]
- Feig, D. I.; Reid, T. M.; Loeb, L. A. Reactive oxygen species in tumorigenesis. Cancer Res 1994, 54, 1890–1894. [Google Scholar]
- de Zwart, L. L.; Meerman, J. H.; Commandeur, J. N.; Vermeulen, N. P. Biomarkers of free radical damage applications in experimental animals and in humans. Free Radic. Biol. Med 1999, 26, 202–206. [Google Scholar]
- Burkle, A. Mechansim of Ageing. Eye 2001, 15(part 3), 371–375. [Google Scholar]
- Floyd, R. A.; West, M.; Hensley, K. Oxidative biochemical markers: clues to understanding aging in long-lived species. Exp. Gerontol 2001, 36, 619–640. [Google Scholar]
- Loft, S.; Poulsen, H. E. Cancer risk and oxidative DNA damage in man. J. Mol. Med 1996, 74(6), 297–312. [Google Scholar]
- Poli, G.; Leonarduzzi, G.; Biasi, F.; Chiarpotto, E. Oxidative stress and cell signaling. Curr. Med. Chem 2004, 11(9), 1163–1182. [Google Scholar]
- Trosko, J. E.; Upham, B. L. The emperor wears no clothes in the field of carcinogen risk assessment: ignored concepts in cancer risk assessment. Mutagenesis 2005, 20(2), 81–92. [Google Scholar]
- Nath, R. G.; Chung, F.-L. Detection of exocyclic 1,N2-propanodeoxyguanosine adducts as common DNA lesions in rodents and humans. Proc. Natl. Acad. Sci. USA 1994, 91, 7491–7495. [Google Scholar]
- Ni, Y-C.; Kadlubar, F. F.; Fu, P. P. Formation of malondialdehyde-modified 2′-deoxyguanosyl adduct from metabolism of chloral hydrate by mouse liver microsomes. Biochem Biophys Res Commun 1995, 216, 1110–1117. [Google Scholar]
- Yan, J.; Xia, Q.; Cherng, S-H.; Wamer, W. G.; Howard, P. C.; Yu, H.; Fu, P. Photo-induced DNA damage and phototoxicity of retinyl palmitate and its photodecomposition products. Toxicol. Ind. Health 2005, 12, 167–175. [Google Scholar]
- Mei, N.; Xia, Q.; Chen, L.; Moore, M. M.; Fu, P. P.; Chen, T. Photomutagenicity of retinyl palmitate by ultraviolet A irradiation in mouse lymphoma cells. Toxicological Sciences 2005, 88, 142–149. [Google Scholar]
- Antille, C.; Tran, C.; Sorg, O.; Carraux, P.; Didierjean, L.; Saurat, J. H. Vitamin A exerts a photoprotective action in skin by absorbing ultraviolet B radiation. J. Invest. Dermatol 2003, 121, 1163–1167. [Google Scholar]
© 2006 MDPI. All rights reserved.
Share and Cite
Xia, Q.; Yin, J.J.; Wamer, W.G.; Cherng, S.-H.; Boudreau, M.D.; Howard, P.C.; Yu, H.; Fu, P.P. Photoirradiation of Retinyl Palmitate in Ethanol with Ultraviolet Light - Formation of Photodecomposition Products, Reactive Oxygen Species, and Lipid Peroxides. Int. J. Environ. Res. Public Health 2006, 3, 185-190. https://doi.org/10.3390/ijerph2006030021
Xia Q, Yin JJ, Wamer WG, Cherng S-H, Boudreau MD, Howard PC, Yu H, Fu PP. Photoirradiation of Retinyl Palmitate in Ethanol with Ultraviolet Light - Formation of Photodecomposition Products, Reactive Oxygen Species, and Lipid Peroxides. International Journal of Environmental Research and Public Health. 2006; 3(2):185-190. https://doi.org/10.3390/ijerph2006030021
Chicago/Turabian StyleXia, Qingsu, Jun J. Yin, Wayne G. Wamer, Shu-Hui Cherng, Mary D. Boudreau, Paul C. Howard, Hongtao Yu, and Peter P. Fu. 2006. "Photoirradiation of Retinyl Palmitate in Ethanol with Ultraviolet Light - Formation of Photodecomposition Products, Reactive Oxygen Species, and Lipid Peroxides" International Journal of Environmental Research and Public Health 3, no. 2: 185-190. https://doi.org/10.3390/ijerph2006030021
APA StyleXia, Q., Yin, J. J., Wamer, W. G., Cherng, S.-H., Boudreau, M. D., Howard, P. C., Yu, H., & Fu, P. P. (2006). Photoirradiation of Retinyl Palmitate in Ethanol with Ultraviolet Light - Formation of Photodecomposition Products, Reactive Oxygen Species, and Lipid Peroxides. International Journal of Environmental Research and Public Health, 3(2), 185-190. https://doi.org/10.3390/ijerph2006030021
