Outcomes of Treating Tuberculosis Patients with Drug-Resistant Tuberculosis, Human Immunodeficiency Virus, and Nutritional Status: The Combined Impact of Triple Challenges in Rural Eastern Cape
Abstract
1. Introduction
2. Materials and Methods
2.1. Study Design
2.2. Participant Selection Criteria
2.3. Data Analysis
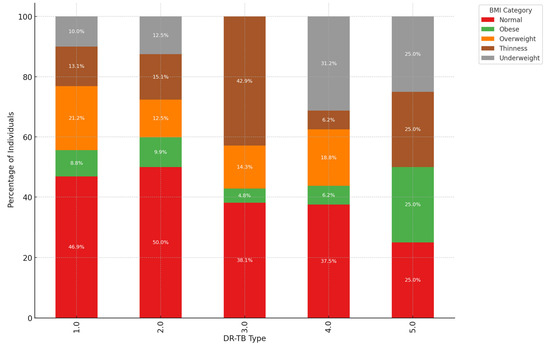
3. Results
Definition of Operational Terms
4. Discussion
4.1. Limitations
4.2. Recommendations and Further Studies
5. Conclusions
Author Contributions
Funding
Institutional Review Board Statement
Informed Consent Statement
Data Availability Statement
Acknowledgments
Conflicts of Interest
Abbreviations
| MDR-TB | Multidrug-resistant TB |
| XDR-TB | Extensively drug-resistant tuberculosis |
| RR-TB | Rifampicin-resistant tuberculosis |
| DR-TB | Drug-resistant tuberculosis |
| HIV | Human immunodeficiency virus |
| BMI | Body mass index |
References
- World Health Organization (WHO). Consolidated Guidelines on Tuberculosis, Module 4. Treatment—Drug-Susceptible Tuberculosis Treatment; WHO: Geneva, Switzerland, 2022. [Google Scholar]
- World Health Organization (WHO). Definitions and Reporting Framework for Tuberculosis—2013 Revision: Updated December 2014 and January 2020; WHO: Geneva, Switzerland, 2013. [Google Scholar]
- Debash, H.; Nega, J.; Bisetegn, H.; Tesfaw, G.; Feleke, D.G.; Ebrahim, H.; Gedefie, A.; Tilahun, M.; Mohammed, O.; Alemayehu, E.; et al. Tuberculosis Treatment Outcomes and Its Predictors among Tuberculosis Patients Registered at Tefera Hailu Memorial General Hospital, Sekota Town, Northeast Ethiopia: A Seven-Year Retrospective Study. Can. J. Infect. Dis. Med. Microbiol. 2023, 2023, 4212312. [Google Scholar] [CrossRef] [PubMed]
- Kebede, M.A.; Haidar, J. Factors influencing adherence to the food by prescription program among adult HIV positive patients in Addis Ababa, Ethiopia: A facility-based, cross-sectional study. Infect. Dis. Poverty 2014, 3, 20. [Google Scholar] [CrossRef] [PubMed][Green Version]
- Gevers, W. ASSAf Presidential Lecture 2003: ’Science’ or ’Sciences’: The difference one letter makes. S. Afr. J. Sci. 2005, 100, 235–236. [Google Scholar]
- Kant, S.; Gupta, H.; Ahluwalia, S. Significance of nutrition in pulmonary tuberculosis. Crit. Rev. Food Sci. Nutr. 2015, 55, 955–963. [Google Scholar] [CrossRef]
- Peter Cegielski, J.; Arab, L.; Cornoni-Huntley, J. Nutritional Risk Factors for Tuberculosis Among Adults in the United States, 1971–1992. Am. J. Epidemiol. 2012, 176, 409–422. [Google Scholar] [CrossRef]
- Moore, S.E.; Collinson, A.C.; N’Gom, P.T.; Aspinall, R.; Prentice, A.M. Early immunological development and mortality from infectious disease in later life. Proc. Nut. Soc. 2006, 65, 311–318. [Google Scholar] [CrossRef]
- Martin, S.J.; Sabina, E.P. Malnutrition and associated disorders in tuberculosis and its therapy. J. Diet. Suppl. 2019, 16, 602–610. [Google Scholar] [CrossRef]
- Bailin, S.S.; Gabriel, C.L.; Wanjalla, C.N.; Koethe, J.R. Obesity and Weight Gain in Persons with HIV. Curr. HIV/AIDS Rep. 2020, 17, 138–150. [Google Scholar] [CrossRef]
- Dheda, K.; Perumal, T.; Moultrie, H.; Perumal, R.; Esmail, A.; Scott, A.J.; Udwadia, Z.; Chang, K.C.; Peter, J.; Pooran, A.; et al. The intersecting pandemics of tuberculosis and COVID-19: Population-level and patient-level impact, clinical presentation, and corrective interventions. Lancet Respir. Med. 2022, 10, 603–622. [Google Scholar] [CrossRef]
- Muller, M. An overview of the new rifampicin-resistant tuberculosis regimens available at decentralised drug-resistant tuberculosis sites for persons older than six years. S. Afr. Fam. Pract. 2020, 62, a5092. [Google Scholar] [CrossRef]
- Liebenberg, D.; Gordhan, B.G.; Kana, B.D. Drug-resistant tuberculosis: Implications for transmission, diagnosis, and disease management. Front. Cell Infect. Microbiol. 2022, 12, 943545. [Google Scholar] [CrossRef] [PubMed]
- Olivier, C.; Luies, L. WHO Goals and Beyond: Managing HIV/TB Co-infection in South Africa. SN Compr. Clin. Med. 2023, 5, 251. [Google Scholar] [CrossRef]
- Herbert, C.; Luies, L.; Loots, D.T.; Williams, A.A. The metabolic consequences of HIV/TB co-infection. BMC Infect. Dis. 2023, 23, 536. [Google Scholar] [CrossRef] [PubMed]
- Wessels, J.; Nel, M.; Walsh, C.M. A nutritional profile of patients with tuberculosis at Standerton Tuberculosis Specialised Hospital, Mpumalanga, South Africa. Health SA Gesondheid 2021, 26, a1594. [Google Scholar] [CrossRef] [PubMed]
- Herrin, M.; Tate, J.P.; Akgun, K.M.; Butt, A.A.; Crothers, K.; Freiberg, M.S.; Gibert, C.L.; Leaf, D.A.; Rimland, D.; Rodriguez-Barradas, M.C.; et al. Weight Gain and Incident Diabetes Among HIV-Infected Veterans Initiating Antiretroviral Therapy Compared with Uninfected Individuals. J. Acquir. Immune Defic Syndr. 2016, 73, 228–236. [Google Scholar] [CrossRef]
- Cáceres, G.; Calderon, R.; Ugarte-Gil, C. Tuberculosis, and comorbidities: Treatment challenges in patients with comorbid diabetes mellitus and depression. Ther. Adv. Infect. Dis. 2022, 9, 20499361221095831. [Google Scholar] [CrossRef]
- Kim, D.J.; Westfall, A.O.; Chamot, E.; Willig, A.L.; Mugavero, M.J.; Ritchie, C.; Burkholder, G.A.; Crane, H.M.; Raper, J.L.; Saag, M.S.; et al. Multimorbidity patterns in HIV-infected patients: The role of obesity in chronic disease clustering. J. Acquir. Immune Defic. Syndr. 2012, 61, 600–605. [Google Scholar] [CrossRef]
- Jiang, J.; Qin, X.; Liu, H.; Meng, S.; Abdullah, A.S.; Huang, J.; Qin, C.; Liu, Y.; Huang, Y.; Qin, F.; et al. An optimal BMI range associated with a lower risk of mortality among HIV-infected adults initiating antiretroviral therapy in Guangxi, China. Sci. Rep. 2019, 9, 7816. [Google Scholar] [CrossRef]
- Faye, L.M.; Hosu, M.C.; Iruedo, J.; Vasaikar, S.; Nokoyo, K.A.; Tsuro, U.; Apalata, T. Treatment Outcomes and Associated Factors among Tuberculosis Patients from Selected Rural Eastern Cape Hospitals: An Ambidirectional Study. Trop. Med. Infect. Dis. 2023, 8, 315. [Google Scholar] [CrossRef]
- Lin, H.H.; Wu, C.Y.; Wang, C.H.; Fu, H.; Lönnroth, K.; Chang, Y.C.; Huang, Y.T. Association of Obesity, Diabetes, and Risk of Tuberculosis: Two Population-Based Cohorts. Clin. Infect. Dis. 2018, 66, 699–705. [Google Scholar] [CrossRef]
- Field, A. Discovering Statistics with IBM SPSS; Sage: Newbury Park, CA, USA, 2013. [Google Scholar]
- Merriam-Webster. Merriam-Webster Medical Dictionary; Merriam Webster: Springfield, MO, USA, 2016. [Google Scholar]
- Linh, N.N.; Viney, K.; Gegia, M.; Falzon, D.; Glaziou, P.; Floyd, K.; Timimi, H.; Ismail, N.; Zignol, M.; Kasaeva, T.; et al. World Health Organization treatment outcome definitions for tuberculosis: 2021 update. Eur. Respir. J. 2021, 58, 2100804. [Google Scholar] [CrossRef] [PubMed]
- Carwile, M.E.; Hochberg, N.S.; Sinha, P. Undernutrition is feeding the tuberculosis pandemic: A perspective. J. Clin. Tuberc. Other Mycobact. Dis. 2022, 27, 100311. [Google Scholar] [CrossRef] [PubMed]
- Ko, Y.; Kim, C.; Park, Y.B.; Mo, E.K.; Moon, J.W. Changes in Nutritional Status in Pulmonary Tuberculosis: Longitudinal Changes in BMI According to Acid-Fast Bacilli Smear Positivity. J. Clin. Med. 2020, 9, 4082. [Google Scholar] [CrossRef] [PubMed] [PubMed Central]
- Limenh, L.W.; Kasahun, A.E.; Sendekie, A.K.; Seid, A.M.; Mitku, M.L.; Fenta, E.T.; Melese, M.; Workye, M.; Simegn, W.; Ayenew, W. Tuberculosis treatment outcomes and associated factors among tuberculosis patients treated at healthcare facilities of Motta Town, Northwest Ethiopia: A five-year retrospective study. Sci. Rep. 2024, 14, 7695. [Google Scholar] [CrossRef]
- Khan, F.U.; Rehman, A.u.; Khan, F.U.; Hayat, K.; Khan, A.; Ahmad, N.; Chang, J.; Malik, U.R.; Fang, Y. Assessment of Factors Associated with Unfavorable Outcomes among Drug-Resistant TB Patients: A 6-Year Retrospective Study from Pakistan. Int. J. Environ. Res. Public Health 2022, 19, 1574. [Google Scholar] [CrossRef]
- Agyare, S.A.; Osei, F.A.; Odoom, S.F.; Mensah, N.K.; Amanor, E.; Martyn-Dickens, C.; Owusu-Ansah, M.; Mohammed, A.; Yeboah, E.O. Treatment outcomes and associated factors in tuberculosis patients at Atwima Nwabiagya district, Ashanti region, Ghana: A ten-year retrospective study. Tuberc. Res. Treat. 2021, 2021, 9952806. [Google Scholar] [CrossRef]
- Kornfeld, H.; Sahukar, S.B.; Procter-Gray, E.; Kumar, N.P.; West, K.; Kane, K.; Natarajan, M.; Li, W.; Babu, S.; Viswanathan, V. Impact of Diabetes and Low Body Mass Index on Tuberculosis Treatment Outcomes. Clin. Infect. Dis. 2020, 71, e392–e398. [Google Scholar] [CrossRef]
- Baluku, J.B.; Nakazibwe, B.; Naloka, J.; Nabwana, M.; Mwanja, S.; Mulwana, R.; Sempiira, M.; Nassozi, S.; Babirye, F.; Namugenyi, C.; et al. Treatment outcomes of drug-resistant tuberculosis patients with multiple poor prognostic indicators in Uganda: A countrywide 5-year retrospective study. J. Clin. Tuberc. Other Mycobact. Dis. 2021, 23, 100221. [Google Scholar] [CrossRef]
- Xiao, J.; Ge, J.; Zhang, D.; Lin, X.; Wang, X.; Peng, L.; Chen, L. Clinical Characteristics and Outcomes in Chronic Kidney Disease Patients with Tuberculosis in China: A Retrospective Cohort Study. Int. J. Gen. Med. 2022, 15, 6661–6669. [Google Scholar] [CrossRef]
- Oliveira, O.; Gaio, R.; Correia-Neves, M.; Rito, T.; Duarte, R. Evaluation of drug-resistant tuberculosis treatment outcome in Portugal, 2000–2016. PLoS ONE 2021, 16, e0250028. [Google Scholar] [CrossRef]
- Sahile, Z.; Tezera, R.; Haile Mariam, D.; Collins, J.; Ali, J.H. Nutritional status and TB treatment outcomes in Addis Ababa, Ethiopia: An ambi-directional cohort study. PLoS ONE 2021, 16, e0247945. [Google Scholar] [CrossRef] [PubMed]
- Musuenge, B.B.; Poda, G.G.; Chen, P.C. Nutritional status of patients with tuberculosis and associated factors in the Burkina Faso health center region. Nutrients 2020, 12, 2540. [Google Scholar] [CrossRef] [PubMed]
- Sinha, P.; Ponnuraja, C.; Gupte, N.; Prakash Babu, S.; Cox, S.R.; Sarkar, S.; Mave, V.; Paradkar, M.; Cintron, C.; Govindarajan, S.; et al. Impact of Undernutrition on Tuberculosis Treatment Outcomes in India: A Multicenter, Prospective, Cohort Analysis. Clin. Infect. Dis. 2023, 76, 1483–1491. [Google Scholar] [CrossRef] [PubMed]
- Magassouba, A.S.; Touré, A.A.; Diallo, B.D.; Camara, L.M.; Touré, D.; Conté, N.; Diaby, M.; Camara, S.N.; Camara, G.; Bangoura, A.M.; et al. Malnutrition prevalence and associated biochemical factors among drug-resistance tuberculosis (DR-TB) patients at key treatment sites in Conakry City, Republic of Guinea. Pan Afr. Med. J. 2021, 38, 279. [Google Scholar] [CrossRef]
- Cho, S.H.; Lee, H.; Kwon, H.; Shin, D.W.; Joh, H.K.; Han, K.; Park, J.H.; Cho, B. Association of underweight status with the risk of tuberculosis: A nationwide population-based cohort study. Sci. Rep. 2022, 12, 16207. [Google Scholar] [CrossRef]
- Kumar, A.; Harakuni, S.; Paranjape, R.; Korabu, A.S.; Prasad, J.B. Factors determining successful treatment outcome among notified tuberculosis patients in Belagavi district of North Karnataka, India. Clin. Epidemiol. Glob. Health 2024, 25, 101505. [Google Scholar] [CrossRef]
- Min, J.; Kim, J.S.; Kim, H.W.; Ko, Y.; Oh, J.Y.; Jeong, Y.J.; Lee, E.H.; Yang, B.; Lee, K.M.; Ahn, J.H.; et al. Effects of underweight and overweight on mortality in patients with pulmonary tuberculosis. Front. Public Health 2023, 11, 1236099. [Google Scholar] [CrossRef]
- Kassim, S.A.; Cote, A.; Kassim, S.M.; Abbas, M.; Baig, M.M.F.A.; Ahmed, A.M.; Hussein, M.M.; Li, X.; Chen, R. Factors influencing treatment outcomes of tuberculosis patients attending health facilities in Galkayo Puntland, Somalia. J. Public Health. 2021, 43, 887–895. [Google Scholar] [CrossRef]
- Simieneh, A.; Gashaneh, S.; Dereje, R. Nutritional status and treatment outcomes of tuberculosis in Mizan Tepi University Teaching Hospital, a five-year retrospective study. PLoS ONE 2024, 19, e0298244. [Google Scholar] [CrossRef]
- Franke, M.A.; Emmrich, J.V.; Ranjaharinony, F.; Ravololohanitra, O.G.; Andriamasy, H.E.; Knauss, S.; Muller, N. A cross-sectional analysis of the effectiveness of a nutritional support programme for people with tuberculosis in Southern Madagascar using secondary data from a non-governmental organisation. Infect. Dis. Poverty 2024, 13, 13. [Google Scholar] [CrossRef]
- Song, W.M.; Guo, J.; Xu, T.T.; Li, S.J.; Liu, J.Y.; Tao, N.N.; Liu, Y.; Zhang, Q.Y.; Liu, S.Q.; An, Q.Q.; et al. Association between body mass index and newly diagnosed drug-resistant pulmonary tuberculosis in Shandong, China from 2004 to 2019. BMC Pulm. Med. 2021, 21, 399. [Google Scholar] [CrossRef] [PubMed]
- Naidoo, K.; Yende-Zuma, N.; Augustine, S. A retrospective cohort study of body mass index and survival in HIV infected patients with and without TB co-infection. Infect. Dis. Poverty 2018, 7, 35. [Google Scholar] [CrossRef] [PubMed]
- Hamada, Y.; Getahun, H.; Tadesse, B.T.; Ford, N. HIV-associated tuberculosis. Int. J. STD AIDS 2021, 32, 780–790. [Google Scholar] [CrossRef] [PubMed]








Disclaimer/Publisher’s Note: The statements, opinions and data contained in all publications are solely those of the individual author(s) and contributor(s) and not of MDPI and/or the editor(s). MDPI and/or the editor(s) disclaim responsibility for any injury to people or property resulting from any ideas, methods, instructions or products referred to in the content. |
© 2025 by the authors. Licensee MDPI, Basel, Switzerland. This article is an open access article distributed under the terms and conditions of the Creative Commons Attribution (CC BY) license (https://creativecommons.org/licenses/by/4.0/).
Share and Cite
Dlatu, N.; Faye, L.M.; Apalata, T. Outcomes of Treating Tuberculosis Patients with Drug-Resistant Tuberculosis, Human Immunodeficiency Virus, and Nutritional Status: The Combined Impact of Triple Challenges in Rural Eastern Cape. Int. J. Environ. Res. Public Health 2025, 22, 319. https://doi.org/10.3390/ijerph22030319
Dlatu N, Faye LM, Apalata T. Outcomes of Treating Tuberculosis Patients with Drug-Resistant Tuberculosis, Human Immunodeficiency Virus, and Nutritional Status: The Combined Impact of Triple Challenges in Rural Eastern Cape. International Journal of Environmental Research and Public Health. 2025; 22(3):319. https://doi.org/10.3390/ijerph22030319
Chicago/Turabian StyleDlatu, Ntandazo, Lindiwe M. Faye, and Teke Apalata. 2025. "Outcomes of Treating Tuberculosis Patients with Drug-Resistant Tuberculosis, Human Immunodeficiency Virus, and Nutritional Status: The Combined Impact of Triple Challenges in Rural Eastern Cape" International Journal of Environmental Research and Public Health 22, no. 3: 319. https://doi.org/10.3390/ijerph22030319
APA StyleDlatu, N., Faye, L. M., & Apalata, T. (2025). Outcomes of Treating Tuberculosis Patients with Drug-Resistant Tuberculosis, Human Immunodeficiency Virus, and Nutritional Status: The Combined Impact of Triple Challenges in Rural Eastern Cape. International Journal of Environmental Research and Public Health, 22(3), 319. https://doi.org/10.3390/ijerph22030319

