Impact of Vanadium-Containing Stone Coal Smelting on Trace Metals in an Agricultural Soil–Vegetable System: Accumulation, Transfer, and Health Risks
Abstract
1. Introduction
2. Materials and Methods
2.1. Study Area and Sample Collection
2.2. Sample Preparation and Analysis
2.3. Environmental and Risk Assessment
2.3.1. Soil Trace Metal Accumulation Assessment
2.3.2. Bioaccumulation Factor
2.3.3. Health Risk Assessment
2.4. Monte Carlo Simulation
2.5. Statistical Analysis
3. Results and Discussion
3.1. Soil Physicochemical Properties
3.2. Evaluation of the Soil TM Content and Contamination
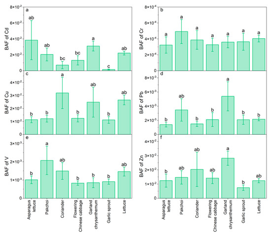
3.3. Trace Metal Content in Vegetables and Bioaccumulation Factor
3.4. Influencing Factors for TM Transfer in Soil–Vegetable Systems
3.5. Non-Carcinogenic Risk Assessment through Vegetable Ingestion
4. Conclusions
Supplementary Materials
Author Contributions
Funding
Institutional Review Board Statement
Informed Consent Statement
Data Availability Statement
Conflicts of Interest
References
- Huang, J.H.; Huang, F.; Evans, L.; Glasauer, S. Vanadium: Global (bio)geochemistry. Chem. Geol. 2015, 417, 68–89. [Google Scholar] [CrossRef]
- Imtiaz, M.; Rizwan, M.S.; Xiong, S.L.; Li, H.L.; Ashraf, M.; Shahzad, S.M.; Shahzad, M.; Rizwan, M.; Tu, S.X. Vanadium, recent advancements and research prospects: A review. Environ. Int. 2015, 80, 79–88. [Google Scholar] [CrossRef] [PubMed]
- United States Geological Survey (USGS). Mineral Commodity Summaries; USGS: Reston, VA, USA, 2021. [Google Scholar]
- Li, X.B.; Deng, Z.G.; Wei, C.; Li, C.X.; Li, M.T.; Fan, G.; Huang, H. Solvent extraction of vanadium from a stone coal acidic leach solution using D2EHPA/TBP: Continuous testing. Hydrometallurgy 2015, 154, 40–46. [Google Scholar] [CrossRef]
- Xiao, X.Y.; Wang, M.W.; Zhu, H.W.; Guo, Z.H.; Han, X.Q.; Zeng, P. Response of soil microbial activities and microbial community structure to vanadium stress. Ecotox. Environ. Safe 2017, 142, 200–206. [Google Scholar] [CrossRef] [PubMed]
- Wang, L.; Lin, H.; Dong, Y.B.; He, Y.H.; Liu, C.J. Isolation of vanadium-resistance endophytic bacterium PRE01 from Pteris vittata in stone coal smelting district and characterization for potential use in phytoremediation. J. Hazard. Mater. 2018, 341, 1–9. [Google Scholar] [CrossRef]
- Jiang, Z.C.; Guo, Z.H.; Peng, C.; Liu, X.; Zhou, Z.R.; Xiao, X.Y. Heavy metals in soils around non-ferrous smelteries in China: Status, health risks and control measures. Environ. Pollut. 2021, 282, 117038. [Google Scholar] [CrossRef]
- Xiao, X.Y.; Jiang, Z.C.; Guo, Z.H.; Wang, M.W.; Zhu, H.W.; Han, X.Q. Effect of simulated acid rain on leaching and transformation of vanadium in paddy soils from stone coal smelting area. Process Saf. Environ. 2017, 109, 697–703. [Google Scholar] [CrossRef]
- Cai, L.M.; Wang, Q.S.; Luo, J.; Chen, L.G.; Zhu, R.L.; Wang, S.; Tang, C.H. Heavy metal contamination and health risk assessment for children near a large Cu-smelter in central China. Sci. Total Environ. 2019, 650, 725–733. [Google Scholar] [CrossRef]
- Chen, Z.K.; Muhammad, I.; Zhang, Y.X.; Hu, W.Y.; Lu, Q.Q.; Wang, W.X.; Huang, B.; Hao, M.D. Transfer of heavy metals in fruits and vegetables grown in greenhouse cultivation systems and their health risks in Northwest China. Sci. Total Environ. 2021, 766, 142663. [Google Scholar] [CrossRef]
- Liu, X.M.; Gu, S.B.; Yang, S.Y.; Deng, J.S.; Xu, J.M. Heavy metals in soil-vegetable system around E-waste site and the health risk assessment. Sci. Total Environ. 2021, 779, 146438. [Google Scholar] [CrossRef]
- Hu, W.Y.; Huang, B.; Borggaard, O.K.; Ye, M.; Tian, K.; Zhang, H.D.; Holm, P.E. Soil threshold values for cadmium based on paired soil-vegetable content analyses of greenhouse vegetable production systems in China: Implications for safe food production. Environ. Pollut. 2018, 241, 922–929. [Google Scholar] [CrossRef] [PubMed]
- Chen, H.Y.; Yuan, X.Y.; Li, T.Y.; Hu, S.; Ji, J.F.; Wang, C. Characteristics of heavy metal transfer and their influencing factors in different soil-crop systems of the industrialization region, China. Ecotoxicol. Environ. Saf. 2016, 126, 193–201. [Google Scholar] [CrossRef] [PubMed]
- Tian, K.; Xing, Z.; Liu, G.M.; Wang, H.F.; Jia, M.M.; Hu, W.Y.; Huang, B. Cadmium phytoavailability under greenhouse vegetable production system measured by diffusive gradients in thin films (DGT) and its implications for the soil threshold. Environ. Pollut. 2018, 241, 412–421. [Google Scholar] [CrossRef]
- Li, F.L.; Shi, W.; Jin, Z.F.; Wu, H.M.; Sheng, G.D. Excessive uptake of heavy metals by greenhouse vegetables. J. Geochem. Explor. 2017, 173, 76–84. [Google Scholar] [CrossRef]
- Lizardi, N.; Aguilar, M.; Bravo, M.; Fedorova, T.A.; Neaman, A. Human health risk assessment from the consumption of vegetables grown near a copper smelter in central Chile. J. Soil Sci. Plant Nutr. 2020, 20, 1472–1479. [Google Scholar] [CrossRef]
- Guo, G.H.; Zhang, D.G.; Wang, Y.T. Probabilistic human health risk assessment of heavy metal intake via vegetable consumption around Pb/Zn smelters in southwest China. Int. J. Environ. Res. Public Health 2019, 16, 3267. [Google Scholar] [CrossRef]
- Zeng, D.F.; Zhou, S.J.; Ren, B.Z.; Chen, T.S. Bioaccumulation of antimony and arsenic in vegetables and health risk assessment in the superlarge antimony-mining area, China. J. Anal. Methods Chem. 2015, 16, 909724. [Google Scholar] [CrossRef]
- Li, Y.N.; Zhang, B.G.; Liu, Z.Q.; Wang, S.; Yao, J.; Borthwick, A.G.L. Vanadium contamination and associated health risk of farmland soil near smelters throughout China. Environ. Pollut. 2020, 263, 114540. [Google Scholar] [CrossRef]
- Lu, R.K. Soil and Agro-Chemistry Analytical Methods; China Agriculture Science and Technology Press: Beijing, China, 2000. [Google Scholar]
- Aihemaiti, A.; Jiang, J.G.; Li, D.A.; Liu, N.; Yang, M.; Meng, Y.; Zou, Q. The interactions of metal concentrations and soil properties on toxic metal accumulation of native plants in vanadium mining area. J. Environ. Manag. 2018, 222, 216–226. [Google Scholar] [CrossRef]
- Wu, W.; Wu, P.; Yang, F.; Sun, D.L.; Zhang, D.X.; Zhou, Y.K. Assessment of heavy metal pollution and human health risks in urban soils around an electronics manufacturing facility. Sci. Total Environ. 2018, 630, 53–61. [Google Scholar] [CrossRef]
- Islam, M.S.; Ahmed, M.K.; Al-Mamun, M.H.; Eaton, D.W. Human and ecological risks of metals in soils under different land-use types in an urban environment of Bangladesh. Pedosphere 2020, 30, 201–213. [Google Scholar] [CrossRef]
- Cui, Y.J.; Zhu, Y.G.; Zhai, R.H.; Chen, D.Y.; Huang, Y.Z.; Qiu, Y.; Liang, J.Z. Transfer of metals from soil to vegetables in an area near a smelter in Nanning, China. Environ. Int. 2004, 30, 785–791. [Google Scholar] [CrossRef]
- United States Environmental Protection Agency (USEPA). Risk Assessment Guidance for Superfund (RAGS). Human Health Evaluation Manual. Part E. Supplemental Guidance for Dermal Risk Assessment; USEPA: Washington, DC, USA, 1989. [Google Scholar]
- United States Environmental Protection Agency (USEPA). Exposure Factors Handbook; USEPA: Washington, DC, USA, 2011. [Google Scholar]
- United States Environmental Protection Agency (USEPA). Guiding Principles for Monte Carlo Analysis; USEPA: Washington, DC, USA, 1997. [Google Scholar]
- United States Environmental Protection Agency (USEPA). Dose-Response Assessment for Assessing Health Risks Associated with Exposure to Hazardous Air Pollutants; USEPA: Washington, DC, USA, 2021. [Google Scholar]
- China National Environmental Monitoring Center (CNEMC). The Background Concentrations of Soil Elements of China; China Environmental Science Press: Beijing, China, 1990. [Google Scholar]
- Yang, F.; Xu, Y.; Cui, Y.; Meng, Y.D.; Dong, Y.; Li, R.; Ma, Y.B. Variation of soil organic matter content in croplands of China over the last three decades. Acta Pedol. Sin. 2017, 54, 1047–1056. (In Chinese) [Google Scholar]
- Ministry of Ecology and Environment of the People’s Republic of China (MEP). Soil Environmental Quality-Risk Control Standard for Soil Contaminate of Agricultural Land (GB 15618–2018). 2018. Available online: https://www.mee.gov.cn/ywgz/fgbz/bz/bzwb/trhj/201807/t20180703_446029.shtml (accessed on 2 August 2022).
- Canadian Council of Ministers of the Environment (CCME). Canadian Soil Quality Guidelines for the Protection of Environmental and Human Health, Canadian Council of Ministers of the Environment, Editor. 2001. Available online: http://ceqg-rcqe.ccme.ca/ (accessed on 4 August 2022).
- Guo, J.K.; Zhang, Y.; Liu, W.J.; Zhao, J.; Yu, S.H.; Jia, H.L.; Zhang, C.; Li, Y.T. Incorporating in vitro bioaccessibility into human health risk assessment of heavy metals and metalloid (As) in soil and pak choi (Brassica chinensis L.) from greenhouse vegetable production fields in a megacity in Northwest China. Food Chem. 2022, 373, 131488. [Google Scholar] [CrossRef] [PubMed]
- Li, D.A.; Jiang, J.G.; Li, T.R.; Wang, J.M. Soil heavy metal contamination related to roasted stone coal slag: A study based on geostatistical and multivariate analyses. Environ. Sci. Pollut. Res. Int. 2016, 23, 14405–14413. [Google Scholar] [CrossRef]
- Luo, X.H.; Wu, C.; Lin, Y.C.; Li, W.C.; Deng, M.; Tan, J.Q.; Xue, S.G. Soil heavy metal pollution from Pb/Zn smelting regions in China and the remediation potential of biomineralization. J. Environ. Sci. 2023, 125, 662–677. [Google Scholar] [CrossRef] [PubMed]
- Bi, C.J.; Zhou, Y.; Chen, Z.L.; Jia, J.P.; Bao, X.Y. Heavy metals and lead isotopes in soils, road dust and leafy vegetables and health risks via vegetable consumption in the industrial areas of Shanghai, China. Sci. Total Environ. 2018, 619–620, 1349–1357. [Google Scholar] [CrossRef]
- Alfaro, M.R.; Ugarte, O.M.; Lima, L.H.V.; Silva, J.R.; da Silva, F.B.V.; da Silva Lins, S.A.; do Nascimento, C.W.A. Risk assessment of heavy metals in soils and edible parts of vegetables grown on sites contaminated by an abandoned steel plant in Havana. Environ. Geochem. Health 2021, 44, 43–56. [Google Scholar] [CrossRef]
- Ministry of Health of the People’s republic of China (MOH). National Food Safety Standard, Maximum Level of Contaminants in Foods (GB2762–2017). 2017. Available online: https://sppt.cfsa.net.cn:8086/db (accessed on 8 August 2022).
- Luo, C.L.; Liu, C.P.; Wang, Y.; Liu, X.; Li, F.B.; Zhang, G.; Li, X.D. Heavy metal contamination in soils and vegetables near an e-waste processing site, south China. J. Hazard. Mater. 2011, 186, 481–490. [Google Scholar] [CrossRef]
- Jalali, M.; Meyari, A. Heavy metal contents, soil-to-plant transfer factors, and associated health risks in vegetables grown in western Iran. J. Food Compos. Anal. 2022, 106, 104316. [Google Scholar] [CrossRef]
- Chen, L.; Liu, J.R.; Hu, W.F.; Gao, J.; Yang, J.Y. Vanadium in soil-plant system: Source, fate, toxicity, and bioremediation. J. Hazard. Mater. 2021, 405, 124200. [Google Scholar] [CrossRef] [PubMed]
- Huang, L.K.; Wang, Q.; Zhou, Q.Y.; Ma, L.Y.; Wu, Y.J.; Liu, Q.Z.; Wang, S.; Feng, Y. Cadmium uptake from soil and transport by leafy vegetables: A meta-analysis. Environ. Pollut. 2020, 264, 114677. [Google Scholar] [CrossRef] [PubMed]
- Checchetto, V.; Formentin, E.; Carraretto, L.; Segalla, A.; Giacometti, G.M.; Szabo, I.; Bergantino, E. Functional characterization and determination of the physiological role of a calcium-dependent potassium channel from cyanobacteria. Plant Physiol. 2013, 162, 953–964. [Google Scholar] [CrossRef]
- Siddiqui, M.H.; Al-Whaibi, M.H.; Sakran, A.M.; Basalah, M.O.; Ali, H.M. Effect of calcium and potassium on antioxidant system of Vicia faba L. under cadmium stress. Int. J. Mol. Sci. 2012, 13, 6604–6619. [Google Scholar] [CrossRef] [PubMed]
- Benedetti, M.; Ranville, J.F.; Ponthieu, M.; Pinheiro, J.P. Field-flow fractionation characterization and binding properties of particulate and colloidal organic matter from the Rio Amazon and Rio Negro. Org. Geochem. 2002, 33, 269–279. [Google Scholar] [CrossRef]
- Li, J.L.; He, M.; Sun, S.Q.; Han, W.; Zhang, Y.C.; Mao, X.H.; Gu, Y.F. Effect of the behavior and availability of heavy metals on the characteristics of the coastal soils developed from alluvial deposits. Environ. Monit. Assess. 2009, 156, 91–98. [Google Scholar] [CrossRef] [PubMed]
- Liu, D.Q.; Zhang, C.H.; Chen, X.; Yang, Y.Z.; Wang, S.; Li, Y.J.; Hu, H.; Ge, Y.; Cheng, W.D. Effects of pH, Fe, and Cd on the uptake of Fe2+ and Cd2+ by rice. Environ. Sci. Pollut. Res. 2013, 20, 8947–8954. [Google Scholar] [CrossRef] [PubMed]
- Pan, S.F.; Ji, X.H.; Xie, Y.H.; Liu, S.H.; Tian, F.X.; Liu, X.L. Influence of soil properties on cadmium accumulation in vegetables: Thresholds, prediction and pathway models based on big data. Environ. Pollut. 2022, 304, 119225. [Google Scholar] [CrossRef]
- Li, F.R.; Wang, X.; Wang, F.H.; Wen, D.; Wu, Z.C.; Du, Y.Q.; Du, R.Y.; Robinson, B.H.; Zhao, P.H. A risk-based approach for the safety analysis of eight trace elements in Chinese flowering cabbage (Brassica parachinensis L.) in China. J. Sci. Food Agric. 2021, 101, 5583–5590. [Google Scholar] [CrossRef]
- Yang, J.J.; Guo, Z.W.; Jiang, L.H.; Sarkodie, E.K.; Li, K.W.; Shi, J.X.; Deng, Y.; Zhang, Z.C.; Liu, H.W.; Liang, Y.L.; et al. Cadmium, lead and arsenic contamination in an abandoned nonferrous metal smelting site in southern China: Chemical speciation and mobility. Ecotoxicol. Environ. Saf. 2022, 239, 113617. [Google Scholar] [CrossRef]
- Yang, J.J.; Wang, S.Q.; Guo, Z.W.; Deng, Y.; Xu, M.L.; Zhang, S.Y.; Yin, H.Q.; Liang, Y.L.; Liu, H.W.; Miao, B.; et al. Spatial distribution of toxic metal(loid)s and microbial community analysis in soil vertical profile at an abandoned nonferrous metal smelting site. Int. J. Environ. Res. Public Health 2020, 17, 7101. [Google Scholar] [CrossRef] [PubMed]
- Xiao, W.D.; Ye, X.Z.; Zhang, Q.; Chen, D.; Hu, J.; Gao, N. Evaluation of cadmium transfer from soil to leafy vegetables: Influencing factors, transfer models, and indication of soil threshold contents. Ecotoxicol. Environ. Saf. 2018, 164, 355–362. [Google Scholar] [CrossRef] [PubMed]
- Xiao, X.Y.; Yang, M.; Guo, Z.H.; Jiang, Z.C.; Liu, Y.N.; Cao, X. Soil vanadium pollution and microbial response characteristics from stone coal smelting district. Trans. Nonferrous Met. Soc. China 2015, 25, 1271–1278. [Google Scholar] [CrossRef]
- Ran, H.Z.; Deng, X.G.; Guo, Z.H.; Hu, Z.H.; An, Y.N.; Xiao, X.Y.; Yi, L.W.; Xu, R. Pollution characteristics and environmental availability of toxic elements in soil from an abandoned arsenic-containing mine. Chemosphere 2022, 303, 135189. [Google Scholar] [CrossRef] [PubMed]
- Wang, B.B.; Gao, F.; Qin, N.; Duan, X.L.; Li, Y.J.; Cao, S.Z. A comprehensive analysis on source-distribution-bioaccumulation-exposure risk of metal(loid)s in various vegetables in peri-urban areas of Shenzhen, China. Environ. Pollut. 2022, 293, 118613. [Google Scholar] [CrossRef]
- Peng, C.; Cai, Y.M.; Wang, T.Y.; Xiao, R.B.; Chen, W.P. Regional probabilistic risk assessment of heavy metals in different environmental media and land uses: An urbanization-affected drinking water supply area. Sci. Rep. 2016, 6, 37084–37092. [Google Scholar] [CrossRef]
- Hu, W.Y.; Huang, B.; Tian, K.; Holm, P.E.; Zhang, Y.X. Heavy metals in intensive greenhouse vegetable production systems along Yellow Sea of China: Levels, transfer and health risk. Chemosphere 2017, 167, 82–90. [Google Scholar] [CrossRef]
- Augustsson, A.; Uddh-Soderberg, T.; Filipsson, M.; Helmfrid, I.; Berglund, M.; Karlsson, H.; Hogmalm, J.; Karlsson, A.; Alriksson, S. Challenges in assessing the health risks of consuming vegetables in metal-contaminated environments. Environ. Int. 2018, 113, 269–280. [Google Scholar] [CrossRef]
- Li, X.Y.; Li, Z.G.; Lin, C.J.; Bi, X.Y.; Liu, J.L.; Feng, X.B.; Zhang, H.; Chen, J.; Wu, T.T. Health risks of heavy metal exposure through vegetable consumption near a large-scale Pb/Zn smelter in central China. Ecotoxicol. Environ. Saf. 2018, 161, 99–110. [Google Scholar] [CrossRef]
- United States Environmental Protection Agency (USEPA). Integrated Risk Information System-Database; USEPA: Washington, DC, USA, 2015. [Google Scholar]








| Parameter | Minimum | Median | Maximum | Arithmetic Mean (SD) | Geometric Mean (SD) | BV | SV | CV |
|---|---|---|---|---|---|---|---|---|
| Physiochemical properties | ||||||||
| pH a | 4.57 | 5.78 | 7.22 | 5.84 (0.76) | 5.79 (1.14) | 5.53 | 5.5–6.5 | 0.13 |
| SOM (g/kg) | 12.3 | 27.6 | 35.8 | 27.1 (4.24) | 26.7 (1.21) | 12.3 | - | 0.16 |
| DCB-Al (g/kg) | 146 | 0.63 | 2.84 | 0.80 (0.46) | 0.66 (3.81) | 0.44 | - | 0.58 |
| DCB-Fe (g/kg) | 537 | 1.69 | 5.46 | 1.87 (0.96) | 1.55 (3.35) | 0.67 | - | 0.52 |
| Available N (mg/kg) | 28.0 | 59.6 | 90.8 | 59.4 (17.1) | 56.9 (0.36) | 58.3 | - | 0.29 |
| Available P (mg/kg) | 0.01 | 0.03 | 0.13 | 0.04 (0.03) | 0.03 (0.02) | 0.03 | - | 0.77 |
| Available K (mg/kg) | 23.0 | 58.8 | 211 | 80.3 (52.6) | 65.5 (1.92) | 69.1 | - | 0.65 |
| Trace metals | ||||||||
| Cd (mg/kg) | 0.25 | 19.0 | 69.4 | 22.1 (19.6) | 11.3 (5.31) | 0.41 | 0.30 | 1.94 |
| Cr (mg/kg) | 61.6 | 106 | 728 | 151 (144) | 121 (1.79) | 33.9 | 150 | 1.19 |
| Cu (mg/kg) | 0.99 | 27.9 | 354 | 52.3 (75.9) | 27.8 (3.64) | 8.56 | 50.0 | 3.02 |
| Pb (mg/kg) | 31.0 | 64.8 | 446 | 115 (105) | 88.2 (2.60) | 32.7 | 90.0 | 1.12 |
| V (mg/kg) | 101 | 462 | 2434 | 563 (527) | 409 (2.21) | 95.6 | 130 b | 1.29 |
| Zn (mg/kg) | 119 | 266 | 1742 | 453 (434) | 329 (2.17) | 118 | 200 | 1.32 |
| Vegetable Species | Adults | Children | ||||||||||
|---|---|---|---|---|---|---|---|---|---|---|---|---|
| Cd | Cr | Cu | Pb | V | Zn | Cd | Cr | Cu | Pb | V | Zn | |
| Asparagus lettuce | 2.73 | 0.09 | 0.04 | 0.26 | 0.45 | 0.15 | 4.81 | 0.15 | 0.07 | 0.45 | 0.79 | 0.27 |
| Pak choi | 2.08 | 0.11 | 0.06 | 1.11 | 0.62 | 0.29 | 3.66 | 0.19 | 0.11 | 1.95 | 1.09 | 0.50 |
| Coriander | 2.64 | 0.09 | 0.08 | 0.20 | 0.57 | 0.18 | 4.64 | 0.16 | 0.15 | 0.36 | 0.91 | 0.31 |
| Flowering Chinese cabbage | 1.13 | 0.08 | 0.06 | 0.49 | 0.46 | 0.19 | 1.98 | 0.13 | 0.10 | 0.86 | 0.81 | 0.33 |
| Garland chrysanthemum | 2.93 | 0.10 | 0.08 | 1.02 | 0.62 | 0.28 | 5.15 | 0.18 | 0.15 | 1.80 | 1.09 | 0.49 |
| Garlic sprout | 0.38 | 0.10 | 0.05 | 0.40 | 0.43 | 0.06 | 0.68 | 0.17 | 0.08 | 0.71 | 0.75 | 0.11 |
| Lettuce | 2.06 | 0.09 | 0.05 | 0.80 | 0.49 | 0.21 | 3.62 | 0.15 | 0.09 | 1.41 | 0.87 | 0.36 |
Disclaimer/Publisher’s Note: The statements, opinions and data contained in all publications are solely those of the individual author(s) and contributor(s) and not of MDPI and/or the editor(s). MDPI and/or the editor(s) disclaim responsibility for any injury to people or property resulting from any ideas, methods, instructions or products referred to in the content. |
© 2023 by the authors. Licensee MDPI, Basel, Switzerland. This article is an open access article distributed under the terms and conditions of the Creative Commons Attribution (CC BY) license (https://creativecommons.org/licenses/by/4.0/).
Share and Cite
Jiang, Z.; Xiao, X.; Guo, Z.; Zhang, Y.; Huang, X. Impact of Vanadium-Containing Stone Coal Smelting on Trace Metals in an Agricultural Soil–Vegetable System: Accumulation, Transfer, and Health Risks. Int. J. Environ. Res. Public Health 2023, 20, 2425. https://doi.org/10.3390/ijerph20032425
Jiang Z, Xiao X, Guo Z, Zhang Y, Huang X. Impact of Vanadium-Containing Stone Coal Smelting on Trace Metals in an Agricultural Soil–Vegetable System: Accumulation, Transfer, and Health Risks. International Journal of Environmental Research and Public Health. 2023; 20(3):2425. https://doi.org/10.3390/ijerph20032425
Chicago/Turabian StyleJiang, Zhichao, Xiyuan Xiao, Zhaohui Guo, Yunxia Zhang, and Xiaoxiao Huang. 2023. "Impact of Vanadium-Containing Stone Coal Smelting on Trace Metals in an Agricultural Soil–Vegetable System: Accumulation, Transfer, and Health Risks" International Journal of Environmental Research and Public Health 20, no. 3: 2425. https://doi.org/10.3390/ijerph20032425
APA StyleJiang, Z., Xiao, X., Guo, Z., Zhang, Y., & Huang, X. (2023). Impact of Vanadium-Containing Stone Coal Smelting on Trace Metals in an Agricultural Soil–Vegetable System: Accumulation, Transfer, and Health Risks. International Journal of Environmental Research and Public Health, 20(3), 2425. https://doi.org/10.3390/ijerph20032425
