Abstract
Constructed wetlands are an environmentally friendly and economically efficient sewage treatment technology. Heavy metals (HMs) removal is always regarded as one of the most important tasks in constructed wetlands, which have aroused increasing concern in the field of contamination control in recent times. The fillers of constructed wetlands play an important role in HMs removal. However, traditional wetland fillers (e.g., zeolite, sand, and gravel) are known to be imperfect because of their low adsorption capacity. Regarding HMs removal, our work involved the selection of prominent absorbents, the evaluation of adsorption stability for various treatments, and then the possibility of applying this HM removal technology to constructed wetlands. For this purpose, several phosphate materials were tested to remove the heavy metals Cu and Zn. Three good phosphates including hydroxyapatite (HAP), calcium phosphate (CP), and physic acid sodium salt hydrate (PAS) demonstrated fast removal efficiency of HMs (Cu2+, Zn2+) from aqueous solution. The maximum removal rates of Cu2+ and Zn2+ by HAP, CP, and PAS reached 81.6% and 95.8%; 66.9% and 70.4%; 98.8% and 1.99%, respectively. In addition, better adsorption stability of these heavy metals was found to occur with a wide variation of desorption time and pH range. The most remarkable efficiency for heavy metal removal among tested phosphates was PAS, followed by HAP and CP. This study can provide a basis for the application of HMs removal in manmade wetland systems.
1. Introduction
In recent years, with the increasing attention paid to wastewater treatment, constructed wetlands have been widely developed as successful strategies for reducing contaminant loads, especially heavy metals (HMs) removal, from manufacturing and wastewater effluents [1,2]. The primary mechanisms for high-efficiency phytoremediation removal can be attributed to biosorption [3], biotranslocation [4], bioaccumulation [5], and inactivation by plant roots. However, high concentrations of accumulated HMs in diverse plant tissues probably induce toxic effects on hydrophytes, and even pose a potential threat to their growth [6,7], particularly for hyper-accumulator species [8]. However, most HMs still remain in the wetland systems; the HMs can only be removed by actually harvesting plants into which they have been absorbed. After that, how to ensure the safe utilization of the aquatic plants is also a challenge. Therefore, removing hazardous metals in the early stage is a key factor to be considered in the construction of wetlands.
Another problem that should not be overlooked is heavy metal pollution in wetlands soil. With excessive human activities, heavy metal pollution aggravates the deterioration of wetland environments [9,10], and has increasingly caused a large burden on pollution treatment and management. Various wetlands have been polluted by HMs, such as urban wetlands [11], riparian freshwater wetlands [12], and reclaimed wetlands [13]. Wetlands play an irreplaceable role in the environment [14] and should be well protected. Multiple effluents, such as industrial discharge, urban wastewater, sewage sludge, animal manure, and landfill leachate, are some of the main sources of HMs contaminants. Therefore, controlling HMs pollution from these wastewaters is also an urgent task for constructed wetlands.
In terms of HMs pollution treatment in the environment, plenty of superior techniques have been developed, where adsorption is well known as a high-efficiency and low-cost method [15]. Phosphates are widely found in nature and are used in the passivation of heavy metals in an inexpensive and effective manner. Among various adsorbents, phosphate-based materials have been shown to be one of the most effective methods for HMs removal from wastewater [16]. Natural phosphate and modified phosphate materials are more attractive than activated carbon or other synthetic materials, which are unavailable and uneconomical in large-scale applications [17]. Different phosphate species exhibit a variety of HM removal roles, owing to their individual properties [18], in particular, porosity and specific surface area, and PO34− in phosphate materials induces stable phosphate precipitation of heavy metals in soil, thus reducing the effective concentration of heavy metals and reducing the bioavailability of heavy metals. It is often used for remediation of Pb, Cd, Cu, Zn, and other elements [19]. Iconaru et al. [20] found that hydroxyapatite nanoparticles have a great capacity to adsorb lead (II) from aqueous solutions. Various phosphate materials, such as bone meal, phosphate rock, and super phosphate, have been used as effective passivators in HMs immobilization in soil remediation [21]. Cao et al. [22] found that phosphate can effectively reduce the biological effectiveness and leaching rate of Pb in contaminated soils by forming stable phosphoric chlorite (Pb5(PO4)3(Cl/F/OH)). Wang et al. [23] repaired the tailings site with phosphate such as apatite, and after 90 days of treatment, the available states of Pb, Cd, and Zn decreased by 22–81%, 15–31%, and 12–75%, respectively. There are few studies on the application of phosphates for constructed wetlands. Hence, more testing is needed to confirm that phosphates can be used as alternative materials for metal removal in constructed wetlands so that phosphates can be both applied to purify wastewater and remedy contaminated soil in wetland systems. Therefore, the development of heavy metal pollution treatment with phosphate materials is worthy of consideration, with a reasonable prospect for success.
Data of adsorption equilibrium, kinetic rates, and stability are significant to the design the wetland systems and predict operational effects. For this study, several phosphate materials were tested to capture and remove HMs from aqueous solutions, with this future application in mind, to provide theoretical support for wetland adsorption systems. The objectives were as follows: (a) determinate the removal efficiency of HMs onto phosphates and pick out useful materials for HMs treatment; (b) analyze adsorption kinetic models of HMs onto phosphates; (c) explore the adsorption selectivity and stability of HMs; and (d) design a wetland adsorption system using phosphate materials and evaluate its operational effects.
2. Materials and Methods
2.1. Materials
Trial reagents contained the following substances: copper chloride (AR grade, 98% purity), zinc chloride (AR grade, 98% purity), calcium phosphate (CP), calcium phosphate hydrate (CPH), calcium phosphate monobasic monohydrate (CPM), phytic acid sodium salt hydrate (PAS); these items were available from Shanghai Macklin Biochemical Co., Ltd., Shanghai, China. Hydroxyapatite (HAP) was obtained from Shanghai Hualan chemical technology Co. Ltd., Shanghai, China. Another material, bone meal (BM), was available from Qinghe ceramic raw materials store, Jingdezhen, China. All of these experimental materials and their chemical characteristics are listed in Table 1.
Table 1.
Chemical characteristics of experimental phosphate materials.
2.2. Batch Adsorption Experiments
Initially, removal performances of copper on several phosphate materials were tested. Six materials (HAP, BM, CP, CPM, CPH, PAS) were screened with uniform particle size (0.150 mm) and added on the basis of mole ratio (phosphate: metal = 0.12:1) into 1000 mL copper chloride solution, respectively. All the groups were homogeneously stirred and covered with plastic wrap and then incubated statically at room temperature. A small volume sample of each solution for each treatment was pipetted into a 50 mL plastic centrifuge tube at 0, 6, 12, 24, 48, and 72 h, respectively. Then, the concentrations of Cu in each sample were tested according to the method described by Zhou et al. [24].
The adsorption performances of these materials were assessed by the removal rate of HM, as calculated by Equation (1).
where R (%) is the removal rate of HM on the adsorbent; C0 (mg/L) is the initial concentration of HM; C (mg/L) is the remaining concentration of HM at each time increment.
The adsorption capacities (qe) of phosphates toward HM were calculated by Equation (2). The adsorption data was also simulated by the pseudo-first-order (Equation (3)) and pseudo-second-order (Equation (4)) models to analyze the adsorption kinetics of HMs [17].
where qe (mg/g) is the adsorption capacity of a HM onto the adsorbent; Ce (mg/L) is the residual concentration at which adsorption equilibrium is reached; qt (mg/g) is the adsorption capacity of a HM onto the adsorbent at time t (h); k1 (h−1) is the pseudo-first-order rate constant; k2 (h−1) is the pseudo-second-order rate constant; V (mL) is the volume of solution used; and m (mg) is the mass of material used.
By comparing the adsorption capacities of copper, three superior phosphates were selected for further adsorption experiments with zinc. These zinc experiments were conducted similarly to the adsorption experiments with copper. Then, the adsorption characteristics of zinc were analyzed and compared to the results with copper. This work offered a foundation for the next experiments.
2.3. Selective Adsorption Experiments
To investigate the effect of mixed HMs on adsorption performance of each HM, the selective adsorption experiments were conducted in a mixed copper–zinc ions solution. The same masses of those three materials and treatment as the adsorption experiments (Section 2.2) were used to adsorb both Cu2+ and Zn2+ simultaneously. On the basis of the discrepant removal rates, selectivity of adsorbent toward each HM was evaluated by Equation (5).
where KS is selectivity coefficient for a specific metal ion, R1 is the removal rate of HM in single ion solution, and R2 is the removal rate of HM in mixed ions solution. The value of coefficient in comparison to 0 represents different selectivity: KS > 0 means improved selectivity, KS < 0 means inhibited selectivity, and KS ≈ 0 means no change in selectivity.
2.4. Desorption Experiments
The aim of desorption experiments was to investigate the stability of the adsorption onto the phosphates. At the end of the adsorption experiments of copper, the solid residues in flasks were vacuum-filtered and oven-dried at 80 °C to a constant weight for further desorption. Dried residues which absorbed Cu2+ were repeatedly added into 1000 mL DI water to desorb Cu2+. The stripped solution samples (10 mL) were pipetted into a 50 mL centrifuge tube after 0, 6, 12, 24, 48, and 72 h, to measure the concentration of Cu2+. Additionally, after continued desorption for 30 days, the influence of pH value on HM desorption was determined by detecting the content of Cu2+ in various pH conditions, ranging from 2.5 to 8.5, adjusted by the addition of dilute acid or alkali solutions.
3. Results and Discussion
3.1. Adsorption Performances of Copper on Different Materials
In the preliminary batch experiments, six trial materials were tested for the adsorption efficiency of copper. Results are shown in Figure 1. The copper removal occurred with different efficiencies depending on the phosphate materials. Little or no adsorption of copper was seen in CPM treatment, which indicates that it was seemingly unsuitable to capture copper metal. Encouragingly, the concentration of Cu2+ declined at different levels after adding HAP, BM, CP, CPH, and PAS, which showed positive adsorption effect on HMs. Particularly, the concentration of Cu2+ in PAS treatment decreased sharply during 0 to 6 h, and the maximum removal rate nearly reached 100%. Unlike other P-source materials, phytic acid sodium salt hydrate (PAS) showed remarkable performance, possibly contributed by its unique chemical molecule structure of six phosphate groups that are beneficial to chelate metals [25]. These fast removal outcomes suggested that phosphates are beneficial for large-scale treatment of metal ions.
Figure 1.
The concentration variation of Cu2+ in six phosphate treatments within 0 to 72 h.
3.2. The Removal Efficiency and Adsorption Kinetics of HMs on Three Phosphates
To further evaluate the adsorption performances, three phosphate adsorbents, including HAP, CP, and PAS, were selected to implement the next experiment of zinc removal. The removal performances of copper and zinc on three phosphates (HAP, CP, PAS) are shown in Figure 2. The maximum copper removal rate of HAP, CP, and PAS at the end of experimental time (72 h) reached 81.6%, 66.9%, and 98.8%, respectively (Figure 2a), and the maximum zinc removal rate of HAP, CP, and PAS reached 90.8%, 70.5%, and 2.0%, respectively (Figure 2b). The removal rates of copper were slightly lower than zinc in HAP and CP treatments, but both of them obtained great removal rates (>60%) of copper and zinc in the single metal ion solution. However, a distinct result occurred in PAS treatment, which had a better effect on copper removal, but very little effect on zinc removal. This result is very surprising, with such a large deviation between the good chelating effect of PAS with copper, but almost no chelating effect toward zinc. The data in Figure 2 show that the best adsorbent of copper was PAS, while the best adsorbent of zinc was HAP. Cao et al. [26] believe that the interaction between phosphate and zinc is mainly realized through surface adsorption and complexation. Cao used apatite ore powder to carry out solid–liquid interface reaction with heavy metal zinc, and their research results show that zinc fixed by surface adsorption or complexation reaches 95.7%, and there is no precipitation between zinc and phosphate. Through a series of experiments, Liu et al. [27] proved that iron phosphate nanoparticles can effectively reduce the solubility and biological activity of Cu2+ under neutral, acidic, and alkaline conditions. The solubility of Cu2+ decreases by 63~87%, while the biological activity of Cu2+ decreases by 54~69%. It is proved that phosphate can effectively reduce the activity of heavy metals in soil. As a result, appropriate adsorbents should be chosen carefully in practical applications, according to the main metal ions in the effluents.
Figure 2.
The removal performances of HMs on three phosphates (HAP, CP, PAS) in aqueous solution, (a) Cu2+ removal, and (b) Zn2+ removal.
HMs adsorption processes were demonstrated by the pseudo-first-order and pseudo-second-order kinetic models (Table 2). Since PAS had little adsorption effect on zinc, there is no model analysis of it. In terms of copper adsorption, the correlation coefficient (R2) of the pseudo-first-order kinetic model was lower than that of the pseudo-second-order model, which was contrary to that of zinc adsorption. Overall, higher coefficients were obtained in the first model (0.981–1.000) than the second model (0.979–1.000). Furthermore, fitted adsorption values (qe) obtained from the former were similar with the experimental results, while the fitted results from the latter were slightly higher than the experiment. These results suggest that the pseudo-first-order model was more befitting to describe the adsorption kinetics of the HMs onto phosphates. As shown in Figure 3, the pseudo-first-order kinetic models of HMs were established to further visualize the adsorption process.
Table 2.
Kinetic parameters of pseudo-first-order and pseudo-second-order models for adsorption of copper and zinc by phosphates.

Figure 3.
The pseudo-first-order kinetic models of HMs adsorption, Cu2+: (a) HAP, (b) CP, (c) PAS; Zn2+: (d) HAP, (e) CP.
3.3. Adsorption Selectivity of Phosphates in Mixed HM Ions Solution
Generally, multiple HMs are nearly always discovered in polluted environments, which leads to more complicated and difficult treatment for metal removal and remediation. Absorption of HMs is probably influenced by coexisting metal ions in a mixed environment, since they would competitively bind the adsorption sites with each other [17]. Therefore, the performance of phosphates needs to be evaluated with the adsorption selectivity in mixed-metal solution. Figure 4 shows the selective adsorption of two ions on three phosphates in mixed Cu2+–Zn2+ solution. These results indicate a preference for the selective adsorption of copper, because the maximum removal rates of copper in all groups are much higher than zinc removal. The HAP treatment showed 80.0% Cu2+ removal versus 45.2% removal for Zn2+ (Figure 4a); CP treatment showed 81.1% Cu2+ removal versus 30.0% Zn2+ removal (Figure 4b); PAS treatment showed 99.5% Cu2+ removal versus 6.7% Zn2+ removal (Figure 4c). Interestingly, maximum removal rates of zinc in mixed solution with HAP and CP treatment showed a dramatic decline, compared to the single zinc solution (Figure 2b), and the specific drops were 52.1% and 60.3%, respectively. This means that a great competitive adsorption occurred between copper and zinc in the mixed solution, and better adsorption affinity for the former. Previous research has shown that the affinity between heavy metal ions and adsorbents is closely related to the charge, radius, and electronegativity of heavy metal ions [28].
Figure 4.
The selective adsorption of Cu2+ and Zn2+ on HAP (a), CP (b), PAS (c); the distribution of selectivity coefficient (d).
In addition, similar results (high removal rates of Cu2+ and few of Zn2+) in PAS treatment obtained from both single and mixed solution (see Figure 2 and Figure 4c) implies a little competition of each HM on PAS. In other words, the removal efficiency of copper on PAS was not obviously impacted by the presence of zinc. This competitive removal selectivity of HMs probably contributes to their competition on different combination sites.
The selectivity of HMs also was visualized by distribution diagram, as shown in Figure 4d. The preferred adsorption of Cu2+ was essentially unaffected by the selectivity of the three treatments, while Zn2+ adsorption experienced “reverse” selectivity in HAP and CP treatment. Although a considerably large, improved selectivity coefficient (Ks) of Zn2+ “appeared” to occur in PAS treatment, it is meaningless because of its low adsorption efficiency. Based upon these results, the conclusion can be drawn that adsorption selectivity is beneficial for using phosphates to remove copper in a mixed ions environment.
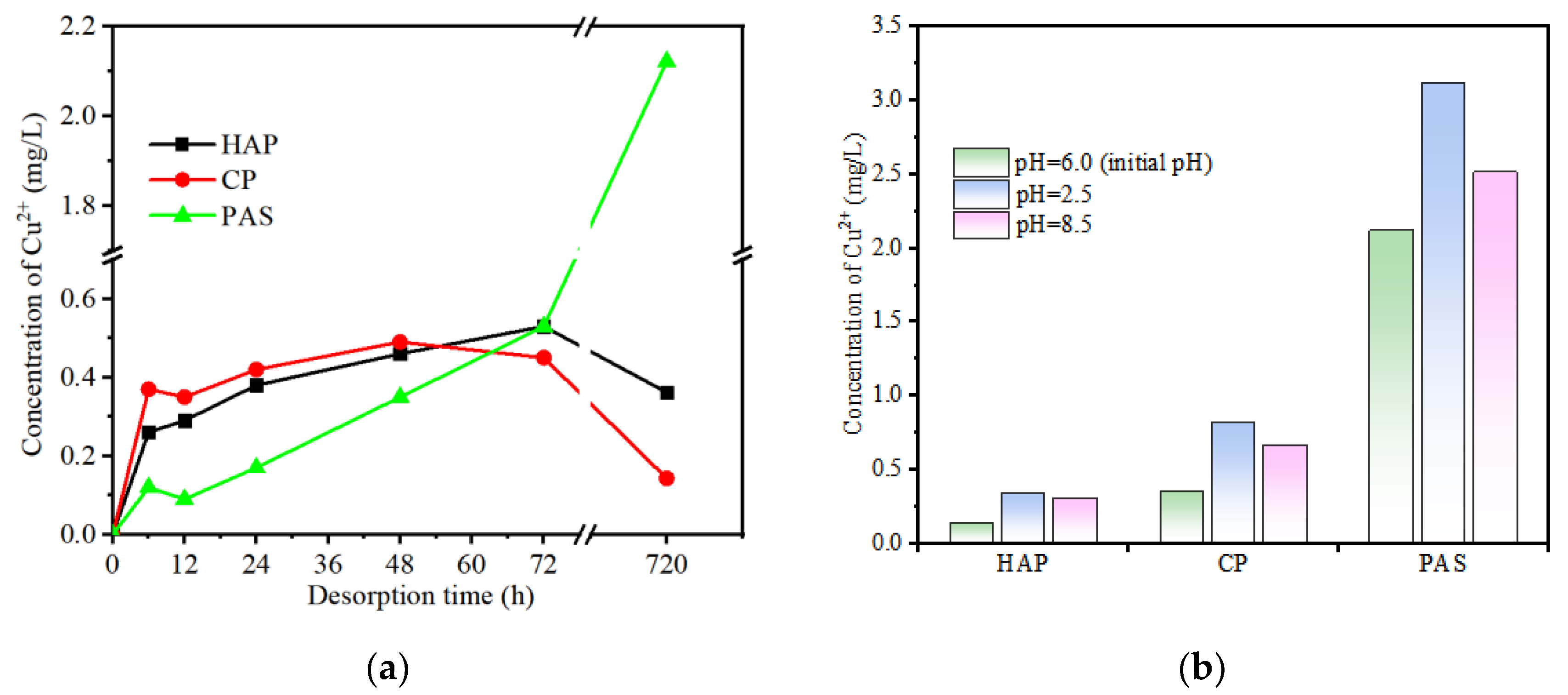
3.4. Adsorption Stability of HM on Phosphates
Stability is a very important parameter to evaluate the adsorption effect. Adsorption stability of copper was tested on three phosphate materials including HAP, CP, and PAS since all of these effectively decreased the Cu2+ concentration (Figure 1). Residues that adsorbed copper were dried and placed into DI water to desorb and measure the adsorption stability. As shown in Figure 5a, the dissociated content of Cu2+ increased slowly with time during the first 72 h and then dropped down over time in HAP and CP treatments but kept rising in PAS treatment with experimental time (until 720 h). The reason possibly is that PAS was destroyed and lost sectional absorption capability over time.
Figure 5.
Influence of desorption time (a) and pH (b) on stability of adsorption.
Low pH environment is possible to influence the adsorption process due to the lessening of negatively charged sites by protonation [17]. In order to investigate the effect of pH on desorption equilibrium, the content of Cu2+ in desorption samples was detected with a wide range of pH (2.5 to 8.5). As shown in Figure 5b, a lower desorption was found in the initial environment (pH = 6.0) compared to both of the acidic and alkali treatments, which indicated that desorption of HM could be affected in different pH values. Despite these negative effects, the influence of time and pH on desorption was weak, because the total desorption quantity of copper was relatively low compared to the preceding adsorption quantity. Thus, these experimental P-source adsorbents showed synthetically great adsorption stability for HMs. This study can provide a basis for the application of HMs removal in manmade wetland systems, because they are able to remain stable in both acid and alkaline wastewater, even during long-term operation.
3.5. Potential Applications of Phosphates and Design of a Constructed Wetland System for HMs Removal
Although phosphate materials are widely used as effective amendments in literature, they have not been researched and applied yet in constructed wetlands. High removal efficiency and stability of phosphates toward HMs from affected water were obtained in this study. Therefore, these results indicate that this work is worthy of further study, to consider their application for HMs removal and immobilization from constructed wetlands. In view of the properties of phosphates, regarding chemical stability, thermal stability, and potential of HMs treatment [29], they show potential value for further development and application.
As well as in this study, some literature references have reported promising great sorption effects of phosphate adsorbents on HMs. These results are shown not only for single-metal aqueous solutions [30,31] but also multi-component metals in mine wastewater [32]. In addition, in the meantime, Saavedra-Mella et al. [33] found that phosphate treatment could alleviate the acute phytotoxicity of HMs. Hence, phosphate materials have potential application to be perceived as filters in wastewater pretreatment to reduce the loads of HMs in inflow, to minimize their toxic influence on the hydrophytes of the constructed wetlands.
Besides use in wastewater treatment, P-source materials are also studied, at present, for HMs immobilization in the fields of soil remediation [34] and sewage sludge composting [35,36,37]. According to many previous research studies, phosphate-based materials have been proven to have an strong capacity to immobilize HMs by preventing migration, improving the residue proportion, and reducing bioavailability [38,39]. Generally, this immobilization outcome arises from adsorption and precipitation reactions [40]. In addition, data regarding phosphates have been published, indicating that they were able to effectively reduce the availability and solubility of metal ions, via declining water solubility bioaccessibility and phytoavailability [22]. Sun et al. [41] concluded that immobilization of HMs can be attributed to the formation of amorphous phosphate rather than crystalline compounds, since heavy metals are chemical elements, and they cannot possibly be “biodegraded” as can organic pollutants. Thus, this phosphate treatment is an important strategy to achieve soil remediation. Moreover, in combination with other materials (such as biochar and nanoparticles), phosphate treatment may be a promising method to improve HMs remediation [27,42]. Wang et al. [43] summarized nearly all the substrates found in constructed wetlands, wherein apatite (Ca10(PO4)6(OH,F,Cl)2), as a class of natural minerals, is stable and has good adsorption capability for P, N, and heavy metals. As a result, phosphates can be used as the raw materials for adsorbents and filters and may have a positive influence on HMs removal and sediment soil amendment in constructed wetlands.
In general, constructed wetlands always contain multiple parts. As shown in Figure 6, a constructed wetland adsorption system comprises phosphate adsorbents, gravel, wastewater, soil, hydrophytes, and other components. In this system, contaminants from inflow will be adsorbed, first, in the pretreatment process. Then, nutrients will be removed by the plants, and residual ions will be immobilized into phosphate minerals in the soil sediment. According to the data of the adsorption experiments, equilibrium time should be about 72 h (Section 3.2). The flow rates at the inlet and outlet need to be controlled properly by valves to ensure effective HMs removal and water purification. Based on outstanding adsorption stability (obtained in Section 3.4), this system will allow treatment of multiple types of wastewater and run effectively for a long cycle (at least one month). After the completion of processing steps: chemical adsorption, biosorption, immobilization, and re-adsorption, effluents will have effectively achieved purification. At the end of these long-term operating cycles, metals can be recycled as oxide crystals by calcination and precipitation [44]. It is worthy to emphasize the advantages of this adsorption system for efficiency, security, and economy. In particular, using inexpensive and abundant phosphate mineral materials results in lower operating costs, which are more feasible for developing countries [45]. In addition, the process of HMs migration from the environment, and away from living organisms, will be effectively controlled, thus improving the security of manmade wetland ecosystems.
Figure 6.
Schematic diagram of phosphates’ potential applications in a constructed wetland system.
In summary, utilization of phosphate compounds for HMs removal is promising in constructed wetlands, because of ease of operation, remarkable HM removal effects, low operating costs, and the harmlessness of the resulting compounds. There are three aspects of this application: (1) phosphate adsorbents effectively remove HMs from wastewater; (2) they reduce the toxic risk for plants by decreasing the loads of contaminants; (3) they are also able to immobilize and recycle HMs to accomplish wetland soil remediation. With the help of phosphates, this constructed wetland adsorption system, as shown in (Figure 6) will become more effective and multifunctional for HMs removal.
4. Conclusions
In this study, several phosphate compounds were tested for the feasibility of HMs removal from aqueous solutions. PAS showed prominent removal performance for copper, but little for zinc. HAP and CP showed the highest removal efficiencies for both copper and zinc in a single metal ion solution. In particular, phosphates have a higher selectivity to remove copper rather than zinc, in a solution that contains both Cu2+ and Zn2+. The adsorption kinetics of HMs were effectively simulated by pseudo-first-order models. Moreover, the adsorption effect of phosphates for HMs was stable, and exhibited only weak desorption, even after 30 days, under a wide range of pH environment. Removal efficiency of HMs obviously varied, depending on the types of both HMs and phosphates present, with ranking orders as follows: copper > zinc, PAS > HAP > CP. On the basis of the potential for phosphates to remove HMs, this paper also provides a hypothetical application for metal removal and immobilization in the field of constructed wetlands. According to the structural advantages of phosphate itself, it can effectively reduce or delay the clogging situation; on the other hand, it shows a better adsorption effect on heavy metals and stability, which is expected to become a new choice of artificial wetland filler. Despite the encouraging results presented in this paper, the practical influence of phosphates on constructed wetlands is still unknown. Indeed, it will be necessary to perform additional research with actual constructed wetlands application testing to promote the use of this promising remediation technology in the future.
Author Contributions
Conceptualization, X.W. and Y.L.; methodology, Q.C.; software, Q.C.; validation, X.W., N.H. and Q.C.; formal analysis, X.W.; investigation, H.W.; resources, R.R.; data curation, W.L.; writing—original draft preparation, Q.C. and N.H.; writing—review and editing, X.W. and Y.L.; visualization, H.Z.; supervision, R.R. and K.C.; project administration, J.L.; funding acquisition, Y.L. All authors have read and agreed to the published version of the manuscript.
Funding
This research was funded by the Open Research Fund Program of State Environmental Protection Key Laboratory of Food Chain Pollution Control (FC2021YB10), the Youth Talent Training Program for Academic and Technical Leaders of Major Disciplines in Jiangxi Province (20212BCJ23042), the University–Industry Cooperation Collaborative Education Program of the Ministry of Education (202102152021), the National Natural Science Foundation of China (22166026, 21878139, and 21878237), the State Key Laboratory of Food Science and Technology, Nanchang University (SKLF-ZZB-202122), and the Key Project of Jiangxi Provincial Department of Science and Technology Jiangxi (20181BBF60026).
Institutional Review Board Statement
Not applicable.
Informed Consent Statement
Not applicable.
Data Availability Statement
The data presented in this study are available on request from the corresponding author.
Conflicts of Interest
The authors declare no conflict of interest.
References
- Ayaz, T.; Khan, S.; Khan, A.Z.; Lei, M.; Alam, M. Remediation of industrial wastewater using four hydrophyte species: A comparison of individual (pot experiments) and mix plants (constructed wetland). J. Environ. Manag. 2020, 255, 109833. [Google Scholar] [CrossRef] [PubMed]
- Zhao, Q.; Huang, J.C.; He, S.; Zhou, W. Enhancement of a constructed wetland water treatment system for selenium removal. Sci. Total Environ. 2020, 714, 136741. [Google Scholar] [CrossRef] [PubMed]
- Scholz, M.; Hedmark, Å. Constructed Wetlands Treating Runoff Contaminated with Nutrients. Water Air Soil Pollut. 2009, 205, 323. [Google Scholar] [CrossRef]
- Lu, L.-L.; Tian, S.-K.; Yang, X.-E.; Peng, H.-Y.; Li, T.-Q. Improved cadmium uptake and accumulation in the hyperaccumulator Sedum alfredii: The impact of citric acid and tartaric acid. J. Zhejiang Univ. Sci. B 2013, 14, 106–114. [Google Scholar] [CrossRef] [PubMed] [Green Version]
- Hejna, M.; Moscatelli, A.; Stroppa, N.; Onelli, E.; Pilu, S.; Baldi, A.; Rossi, L. Bioaccumulation of heavy metals from wastewater through a Typha latifolia and Thelypteris palustris phytoremediation system. Chemosphere 2020, 241, 125018. [Google Scholar] [CrossRef] [PubMed]
- Cheng, S. Effects of Heavy metals on plants and resistance mechanisms. Environ. Sci. Pollut. Res. 2003, 10, 256–264. [Google Scholar] [CrossRef] [PubMed]
- Szopinski, M.; Sitko, K.; Gieron, Z.; Rusinowski, S.; Corso, M.; Hermans, C.; Verbruggen, N.; Malkowski, E. Toxic Effects of Cd and Zn on the Photosynthetic Apparatus of the Arabidopsis halleri and Arabidopsis arenosa Pseudo-Metallophytes. Front. Plant. Sci. 2019, 10, 748. [Google Scholar] [CrossRef] [PubMed] [Green Version]
- Stolpe, C.; Giehren, F.; Kramer, U.; Muller, C. Both heavy metal-amendment of soil and aphid-infestation increase Cd and Zn concentrations in phloem exudates of a metal-hyperaccumulating plant. Phytochemistry 2017, 139, 109–117. [Google Scholar] [CrossRef]
- Dang, Y.; He, H.; Zhao, D.; Sunde, M.; Du, H. Quantifying the Relative Importance of Climate Change and Human Activities on Selected Wetland Ecosystems in China. Sustainability 2020, 12, 912. [Google Scholar] [CrossRef] [Green Version]
- Herlihy, A.T.; Paulsen, S.G.; Kentula, M.E.; Magee, T.K.; Nahlik, A.M.; Lomnicky, G.A. Assessing the relative and attributable risk of stressors to wetland condition across the conterminous United States. Environ. Monit. Assess. 2019, 191, 17. [Google Scholar] [CrossRef] [Green Version]
- Shao, S.; Liu, H.; Tai, X.; Zheng, F.; Li, J.; Li, Y. Speciation and migration of heavy metals in sediment cores of urban wetland: Bioavailability and risks. Environ. Sci. Pollut. Res. Int. 2020, 27, 23914–23925. [Google Scholar] [CrossRef] [PubMed]
- Gao, C.; Lin, Q.; Bao, K.; Zhao, H.; Zhang, Z.; Xing, W.; Lu, X.; Wang, G. Historical variation and recent ecological risk of heavy metals in wetland sediments along Wusuli River, Northeast China. Environ. Earth Sci. 2014, 72, 4345–4355. [Google Scholar] [CrossRef]
- Jiao, W.; Ouyang, W.; Hao, F.; Wang, F.; Liu, B. Long-term cultivation impact on the heavy metal behavior in a reclaimed wetland, Northeast China. J. Soils Sediments 2013, 14, 567–576. [Google Scholar] [CrossRef]
- Xu, T.; Weng, B.; Yan, D.; Wang, K.; Li, X.; Bi, W.; Li, M.; Cheng, X.; Liu, Y. Wetlands of International Importance: Status, Threats, and Future Protection. Int. J. Environ. Res. Public Health 2019, 16, 1818. [Google Scholar] [CrossRef] [Green Version]
- Carolin, C.F.; Kumar, P.S.; Saravanan, A.; Joshiba, G.J.; Naushad, M. Efficient techniques for the removal of toxic heavy metals from aquatic environment: A review. J. Environ. Chem. Eng. 2017, 5, 2782–2799. [Google Scholar] [CrossRef]
- Laghrib, F.; Saqrane, S.; Lahrich, S.; El Mhammedi, M.A. Best of advanced remediation process: Treatment of heavy metals in water using phosphate materials. Int. J. Environ. Anal. Chem. 2019, 101, 1–17. [Google Scholar] [CrossRef]
- Gautam, R.K.; Mudhoo, A.; Lofrano, G.; Chattopadhyaya, M.C. Biomass-derived biosorbents for metal ions sequestration: Adsorbent modification and activation methods and adsorbent regeneration. J. Environ. Chem. Eng. 2014, 2, 239–259. [Google Scholar] [CrossRef]
- Thawornchaisit, U.; Polprasert, C. Evaluation of phosphate fertilizers for the stabilization of cadmium in highly contaminated soils. J. Hazard. Mater. 2009, 165, 1109–1113. [Google Scholar] [CrossRef]
- Miretzky, P.; Fernandez-Cirelli, A. Phosphates for Pb immobilization in soils: A review. Environ. Chem. Lett. 2008, 6, 121–133. [Google Scholar] [CrossRef]
- Iconaru, S.L.; Motelica-Heino, M.; Guegan, R.; Beuran, M.; Costescu, A.; Predoi, D. Adsorption of Pb (II) Ions onto Hydroxyapatite Nanopowders in Aqueous Solutions. Materials 2018, 11, 2204. [Google Scholar] [CrossRef] [Green Version]
- Huang, G.; Su, X.; Rizwan, M.S.; Zhu, Y.; Hu, H. Chemical immobilization of Pb, Cu, and Cd by phosphate materials and calcium carbonate incontaminated soils. Environ. Sci. Pollut. Res. Int. 2016, 23, 16845–16856. [Google Scholar] [CrossRef] [PubMed]
- Cao, X.D.; Wahbi, A.; Ma, L.; Li, B.; Yang, Y.L. Immobilization of Zn, Cu, and Pb in contaminated soils using phosphate rock and phosphoric acid. J. Hazard. Mater. 2009, 164, 555–564. [Google Scholar] [CrossRef] [PubMed]
- Wang, B.L.; Xie, Z.M.; Chen, J.J.; Jiang, J.T.; Su, Q.F. Effects of field application of phosphate fertilizers on the availability and uptake of lead, zinc and cadmium by cabbage (Brassica chinensis L.) in a mining tailing contaminated soil. J. Environ. Sci. 2008, 20, 1109–1117. [Google Scholar] [CrossRef]
- Zhou, T.; Wang, J.J.; Zheng, H.L.; Wu, X.D.; Wang, Y.P.; Liu, M.Z.; Xiang, S.Y.; Cao, L.P.; Ruan, R.; Liu, Y.H. Characterization of additional zinc ions on the growth, biochemical composition and photosynthetic performance from Spirulina platensis. Bioresour. Technol. 2018, 269, 285–291. [Google Scholar] [CrossRef]
- Chen, J.; Song, Y.; Shan, D.; Han, E.-H. Modifications of the hydrotalcite film on AZ31 Mg alloy by phytic acid: The effects on morphology, composition and corrosion resistance. Corros. Sci. 2013, 74, 130–138. [Google Scholar] [CrossRef]
- Cao, X.D.; Ma, L.Q.; Rhue, D.R.; Appel, C.S. Mechanisms of lead, copper, and zinc retention by phosphate rock. Environ. Pollut. 2004, 131, 435–444. [Google Scholar] [CrossRef] [Green Version]
- Liu, R.Q.; Zhao, D.Y. In situ immobilization of Cu(II) in soils using a new class of iron phosphate nanoparticles. Chemosphere 2007, 68, 1867–1876. [Google Scholar] [CrossRef]
- Wang, F.; Lu, X.; Li, X. Selective removals of heavy metals (Pb2+, Cu2+, and Cd2+) from wastewater by gelation with alginate for effective metal recovery. J. Hazard. Mater. 2016, 308, 75–83. [Google Scholar] [CrossRef] [PubMed]
- Xing, J.; Hu, T.; Cang, L.; Zhou, D. Remediation of copper contaminated soil by using different particle sizes of apatite: A field experiment. Springerplus 2016, 5, 1182. [Google Scholar] [CrossRef] [Green Version]
- Elouear, Z.; Bouzid, J.; Boujelben, N.; Feki, M.; Jamoussi, F.; Montiel, A. Heavy metal removal from aqueous solutions by activated phosphate rock. J. Hazard. Mater. 2008, 156, 412–420. [Google Scholar] [CrossRef]
- Keleş, E.; Özer, A.K.; Yörük, S. Removal of Pb2+ from aqueous solutions by rock phosphate (low-grade). Desalination 2010, 253, 124–128. [Google Scholar] [CrossRef]
- Ivanets, A.I.; Kitikova, N.V.; Shashkova, I.L.; Oleksiienko, O.V.; Levchuk, I.; Sillanpää, M. Using of phosphatized dolomite for treatment of real mine water from metal ions. J. Water Process. Eng. 2016, 9, 246–253. [Google Scholar] [CrossRef]
- Saavedra-Mella, F.; Liu, Y.; Southam, G.; Huang, L. Phosphate treatment alleviated acute phytotoxicity of heavy metals in sulfidic Pb-Zn mine tailings. Environ. Pollut 2019, 250, 676–685. [Google Scholar] [CrossRef] [PubMed]
- Mignardi, S.; Corami, A.; Ferrini, V. Evaluation of the effectiveness of phosphate treatment for the remediation of mine waste soils contaminated with Cd, Cu, Pb, and Zn. Chemosphere 2012, 86, 354–360. [Google Scholar] [CrossRef]
- Lv, B.; Xing, M.; Yang, J. Speciation and transformation of heavy metals during vermicomposting of animal manure. Bioresour. Technol. 2016, 209, 397–401. [Google Scholar] [CrossRef] [PubMed]
- Wang, X.; Zheng, G.; Chen, T.; Shi, X.; Wang, Y.; Nie, E.; Liu, J. Effect of phosphate amendments on improving the fertilizer efficiency and reducing the mobility of heavy metals during sewage sludge composting. J. Environ. Manag. 2019, 235, 124–132. [Google Scholar] [CrossRef] [PubMed]
- Zheng, G.; Wang, X.; Chen, T.; Yang, J.; Yang, J.; Liu, J.; Shi, X. Passivation of lead and cadmium and increase of the nutrient content during sewage sludge composting by phosphate amendments. Environ. Res. 2020, 185, 109431. [Google Scholar] [CrossRef]
- Bolan, N.S.; Adriano, D.C.; Duraisamy, P.; Mani, A.; Arulmozhiselvan, K. Immobilization and phytoavailability of cadmium in variable charge soils. I. Effect of phosphate addition. Plant. Soil 2003, 250, 83–94. [Google Scholar] [CrossRef]
- Zwonitzer, J.C.; Pierzynski, G.M.; Hettiarachchi, G.M. Effects of Phosphorus Additions on Lead, Cadmium, and Zinc Bioavailabilities in a Metal-Contaminated Soil. Water Air Soil Pollut. 2003, 143, 193–209. [Google Scholar] [CrossRef]
- Seshadri, B.; Bolan, N.S.; Choppala, G.; Kunhikrishnan, A.; Sanderson, P.; Wang, H.; Currie, L.D.; Tsang, D.C.W.; Ok, Y.S.; Kim, G. Potential value of phosphate compounds in enhancing immobilization and reducing bioavailability of mixed heavy metal contaminants in shooting range soil. Chemosphere 2017, 184, 197–206. [Google Scholar] [CrossRef]
- Sun, R.-J.; Chen, J.-H.; Fan, T.-T.; Zhou, D.-M.; Wang, Y.-J. Effect of nanoparticle hydroxyapatite on the immobilization of Cu and Zn in polluted soil. Environ. Sci. Pollut. Res. 2018, 25, 73–80. [Google Scholar] [CrossRef] [PubMed]
- Ahmad, M.; Usman, A.R.A.; Al-Faraj, A.S.; Ahmad, M.; Sallam, A.; Al-Wabel, M.I. Phosphorus-loaded biochar changes soil heavy metals availability and uptake potential of maize (Zea mays L.) plants. Chemosphere 2018, 194, 327–339. [Google Scholar] [CrossRef] [PubMed]
- Wang, Y.; Cai, Z.; Sheng, S.; Pan, F.; Chen, F.; Fu, J. Comprehensive evaluation of substrate materials for contaminants removal in constructed wetlands. Sci. Total Environ. 2020, 701, 134736. [Google Scholar] [CrossRef] [PubMed]
- Zhang, L.; Tang, S.; He, F.; Liu, Y.; Mao, W.; Guan, Y. Highly efficient and selective capture of heavy metals by poly(acrylic acid) grafted chitosan and biochar composite for wastewater treatment. Chem. Eng. J. 2019, 378, 122215. [Google Scholar] [CrossRef]
- Joseph, L.; Jun, B.M.; Flora, J.R.V.; Park, C.M.; Yoon, Y. Removal of heavy metals from water sources in the developing world using low-cost materials: A review. Chemosphere 2019, 229, 142–159. [Google Scholar] [CrossRef] [PubMed]
Publisher’s Note: MDPI stays neutral with regard to jurisdictional claims in published maps and institutional affiliations. |
© 2022 by the authors. Licensee MDPI, Basel, Switzerland. This article is an open access article distributed under the terms and conditions of the Creative Commons Attribution (CC BY) license (https://creativecommons.org/licenses/by/4.0/).






