Measuring User-Perceived Characteristics for Banking Services: Proposing a Methodology
Abstract
1. Introduction
2. Perceived Characteristics of Banking Services
2.1. Perceived Trust
2.2. Perceived Security and Convenience
2.3. Perceived Ease of Use and Perceived Usefulness
3. Materials and Methods
3.1. Participants
3.2. Experiment
3.2.1. Questionnaire
3.2.2. Experimental Procedure
3.3. Analysis
4. Results
4.1. Exploratory Factor Analysis
- −
- Selecting questionnaire items whose loadings were above 0.5;
- −
- Screening out factors whose questionnaire items were less than 2;
- −
- Screening out questionnaire items whose loadings were above 0.5 in a few factors at the same time. Based on the above criteria, the three-factor model was extracted. The PT factor had four items; the PS and PC factors had three items. Cronbach’s alpha showed values above 0.65 for each factor, which indicated satisfactory correlations between a set of items as a group [68,69].
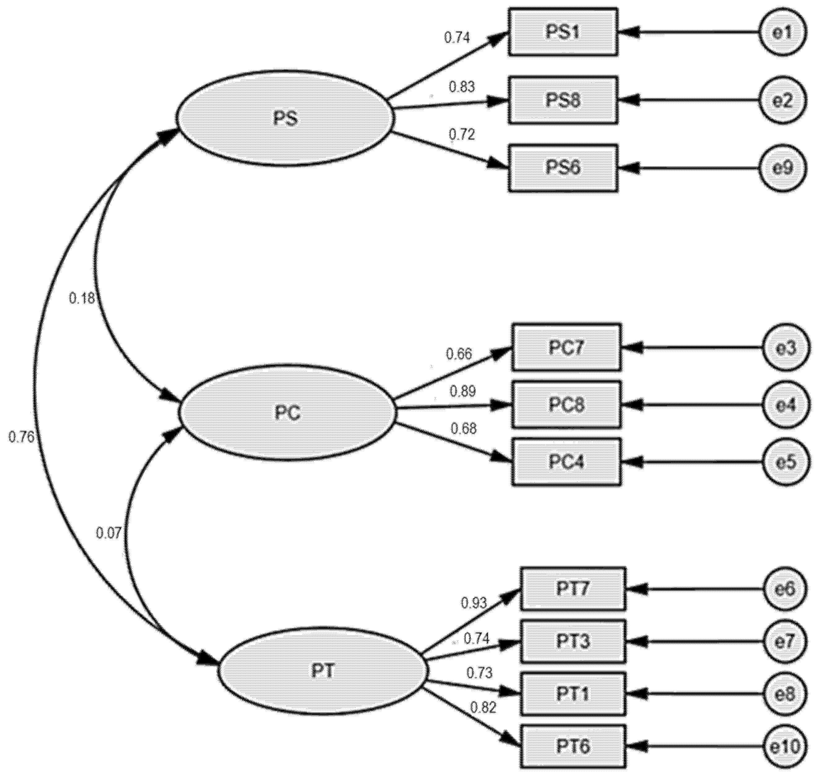
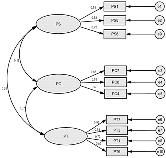
4.2. Confirmatory Factor Analysis
5. Discussion
- −
- Selection of a proven previous study on a similar topic as a prototype (Appendix A);
- −
- Questions should be clear and direct;
- −
- Only one question can be asked at a time;
- −
- It is necessary to avoid bias and verbosity in matters;
- −
- The measurement scale should provide a differentiated assessment of the expressed opinion.
6. Application, Limitations, and Future Research
7. Conclusions
Author Contributions
Funding
Institutional Review Board Statement
Informed Consent Statement
Data Availability Statement
Conflicts of Interest
Appendix A. Developed Questionnaire
| Factors | Guiding References | Items | Questions |
| Perceived Trust (PT) | PT1 | 1.1 To what extent is online banking reliable as a system of banking service provision? | |
| [58,88] | PT2 | 1.2 To what extent is an ATM reliable as a system of banking service provision? | |
| PT3 | 1.3 To what extent is offline (traditional) banking reliable as a system of banking service provision? | ||
| PT4 | 1.4 Online banking fulfills the commitments that it assumes. | ||
| PT5 | 1.5 ATM fulfills the commitments that it assumes. | ||
| PT6 | 1.6 Offline traditional banking fulfills the commitments that it assumes. | ||
| PT7 | 1.7 Online banking service is clear. | ||
| PT8 | 1.8 ATM service is clear. | ||
| PT9 | 1.9 Offline traditional banking service is clear. | ||
| Perceived Security (PS) | [49,59] | PS1 | 2.1 To what extent are your operations protected from any threats while using online banking (offence; attack; theft of money, documents, information, passwords, etc.)? |
| PS2 | 2.2 To what extent are your operations protected from any threats while using ATMs (offence, attack, theft of money, documents, information, passwords, etc.)? | ||
| PS3 | 2.3 To what extent are your operations protected from any threats while using offline traditional banking (offence; attack; theft of money, documents, information, passwords, etc.)? | ||
| PS4 | 2.4 My personal information is kept confidential while using online banking. | ||
| PS5 | 2.5 My personal information is kept confidential while using ATMs. | ||
| PS6 | 2.6 My personal information is kept confidential while using offline traditional banking. | ||
| PS7 | 2.7 Transactions conducted through online banking are secure. | ||
| PS8 | 2.8 Transactions conducted through ATMs are secure. | ||
| PS9 | 2.9 Transactions conducted through offline traditional banking are secure. | ||
| Perceived Convenience (PC) | PC1 | 3.1 To what extent is using online banking convenient? | |
| PC2 | 3.2 To what extent is using an ATM convenient? | ||
| PC3 | 3.3 To what extent is using offline traditional banking convenient? | ||
| PC4 | 3.4 A lot of time is needed to obtain online banking services. | ||
| [61,89] | PC5 | 3.5 A lot of time is needed to obtain ATM services. | |
| PC6 | 3.6 A lot of time is needed to obtain offline traditional banking services. | ||
| PC7 | 3.7 Using online banking requires a lot of knowledge. | ||
| PC8 | 3.8 Using an ATM requires a lot of knowledge. | ||
| PC9 | 3.9 Using offline traditional banking requires a lot of knowledge. | ||
| Perceived Ease of Use (PEU) | PEU1 | 4.1 To what extent is the process of using online banking easy? | |
| PEU2 | 4.2 To what extent is the process of using an ATM easy? | ||
| PEU3 | 4.3 To what extent is the process of using offline traditional banking easy? | ||
| PEU4 | 4.4 Much time is needed to perform online banking operations. | ||
| PEU5 | 4.5 Much time is needed to perform ATM operations. | ||
| PEU6 | 4.6 Much time is needed to perform offline traditional banking operations. | ||
| [62,83] | PEU7 | 4.7 Online banking is flexible to interact with. | |
| PEU8 | 4.8 ATMs are flexible to interact with. | ||
| PEU9 | 4.9 Offline traditional banking is flexible to interact with. | ||
| Perceived Usefulness (PU) | PU1 | 5.1 To what extent does using online banking satisfy your needs of a banking service? | |
| PU2 | 5.2 To what extent does using ATM satisfy your needs of a banking service? | ||
| PU3 | 5.3 To what extent does using offline traditional banking satisfy your needs of a banking service? | ||
| PU4 | 5.4 Using online banking would help me to better manage and keep track of my finances. | ||
| PU5 | 5.5 Using the ATM would help me to better manage and keep track of my finances. | ||
| [83,90] | PU6 | 5.6 Using offline traditional banking would help me to better manage and keep track of my finances. | |
| PU7 | 5.7 Online banking increases my financial transaction effectiveness. | ||
| PU8 | 5.8 ATMs increase my financial transaction effectiveness. | ||
| PU9 | 5.9 Offline traditional banking increases my financial transaction effectiveness. |
References
- Gardener, E.; Howcroft, B.; Williams, J. The New Retail Banking Revolution. Serv. Ind. J. 1999, 19, 83–100. [Google Scholar]
- Zainab, F.; Rasheed, M.; Imran, M. Mobile banking usage and opportunities in Europe. J. Crit. Rev. 2020, 7, 158–163. [Google Scholar]
- Van Deventer, M. Antecedents of Trust in Mobile Banking Amongst Generation Y Students in South Africa. Acta Univ. Danub. Oecon. 2019, 15, 160–175. [Google Scholar]
- Chaudhary, S.; Schafeitel-Tähtinen, T.; Helenius, M.; Berki, E. Usability, security and trust in password managers: A quest for user-centric properties and features. Comput. Sci. Rev. 2019, 33, 69–90. [Google Scholar] [CrossRef]
- Hofmann, C. The changing concept of money: A threat to the monetary system or an opportunity for the financial sector? Eur. Bus. Organ. Law Rev. 2020, 21, 1–32. [Google Scholar] [CrossRef]
- Schich, S.L.S. Banks, Digital Banking Initiatives and the Financial Safety Net: Theory and Analytical Framework. J. Econ. Sci. Res. 2020, 3, 24–46. [Google Scholar]
- Bou-Hamad, I.; Anouze, A.L.; Osman, I.H. A cognitive analytics management framework to select input and output variables for data envelopment analysis modeling of performance efficiency of banks using random forest and entropy of information. Ann. Oper. Res. 2022, 308, 63–92. [Google Scholar] [CrossRef]
- Bakar, R.A.; Aziz, N.A.; Muhammud, A.; Muda, M. Perceived ease of use, security and privacy of mobile banking. Int. J. Bus. Econ. Law 2017, 13, 56–62. [Google Scholar]
- Bansah, A.K.; Agyei, D.D. Perceived convenience, usefulness, effectiveness and user acceptance of information technology: Evaluating students’ experiences of a Learning Management System. Technol. Pedagog. Inf. 2022, 1–19. [Google Scholar] [CrossRef]
- Yusro, A.C.; Multazam, M.T.; Rahim, R. The Effect of Ease of Use and Quality of Products on Decisions in Choosing Sharia Banking Products in Medan. In Proceedings of the 1st Virtual Conference on Social Science in Law, Political Issue and Economic Development, Warsaw, Poland, 15 October 2020; Sciendo: Warsaw, Poland, 2021; pp. 383–387. [Google Scholar]
- Pilcher, J. Global Consumer Banking Study Offers Truckload of Insights for Everyone. Available online: https://thefinancialbrand.com/36990/global-consumer-banking-research-study/ (accessed on 9 January 2022).
- Damghanian, H.; Zarei, A.; Siahsarani, M.A. Impact of perceived security on trust, perceived risk, and acceptance of online banking. J. Internet Commer. 2016, 15, 214–238. [Google Scholar] [CrossRef]
- Kesharwani, A.; Bisht, S.S. The impact of trust and perceived risk on internet banking adoption in India: An extension of technology acceptance model. Int. J. Bank Mark. 2012, 30, 303–322. [Google Scholar] [CrossRef]
- Gartenstein, D. Pros and Cons for Cash Machines and ATMs. Available online: https://www.sapling.com/6128048/pros-cons-cash-machines-atms (accessed on 9 January 2022).
- Karjaluoto, H.; Mattila, M.; Pento, T. Factors underlying attitude formation towards online banking in Finland. Int. J. Bank Mark. 2002, 20, 261–272. [Google Scholar] [CrossRef]
- Pai, C.-K.; Wang, T.-W.; Chen, S.-H.; Cai, K.-Y. Empirical study on Chinese tourists’ perceived trust and intention to use biometric technology. Asia Pac. J. Tour. Res. 2018, 23, 880–895. [Google Scholar] [CrossRef]
- Schnall, R.; Higgins, T.; Brown, W.; Carballo-Dieguez, A.; Bakken, S. Trust, perceived risk, perceived ease of use and perceived usefulness as factors related to mHealth technology use. Stud. Health Technol. Inform. 2015, 216, 467–471. [Google Scholar] [PubMed]
- Al-Sharafi, A.; Arshah, R.; Alajmi, Q.; Herzallah, A.T.; Qasem, Y.A. The influence of perceived trust on understanding banks’ customers behavior to accept Internet banking services. Indian J. Sci. Technol. 2018, 11, 1–9. [Google Scholar] [CrossRef]
- Gu, J.; Lee, S.C.; Suh, Y.H. Determinants of behavioral intention to mobile banking. Expert Syst. Appl. 2009, 36, 11605–11616. [Google Scholar] [CrossRef]
- Lee, S.W. Determinants of dividend policy in Korean banking industry. Banks Bank Syst. 2009, 4, 67–71. [Google Scholar]
- Lee, J.; Moray, N. Trust, control strategies and allocation of function in human–machine systems. Ergonomics 1992, 35, 1243–1270. [Google Scholar] [CrossRef]
- Lee, J.D.; See, K.A. Trust in automation: Designing for appropriate reliance. Hum. Factors 2004, 46, 50–80. [Google Scholar] [CrossRef]
- Yousafzai, S.Y.; Pallister, J.G.; Foxall, G.R. A proposed model of e-trust for electronic banking. Technovation 2003, 23, 847–860. [Google Scholar] [CrossRef]
- Leonard, L.N.K. Factors of Impact on C2C Mobile Commerce. In Encyclopedia of E-Commerce Development, Implementation, and Management; Lee, I., Ed.; IGI Global: Hershey, PA, USA, 2016; Volume 3, pp. 1359–1369. [Google Scholar]
- Davis, F.; Bagozzi, D.; dan Warshaw, R.P. User acceptance of computer technology: A comparison of two theoretical models. Manag. Sci. 1989, 35, 982–1003. [Google Scholar] [CrossRef]
- Harpe, S.E. How to analyze Likert and other rating scale data. Curr. Pharm. Teach. Learn. 2015, 7, 836–850. [Google Scholar] [CrossRef]
- Baggaley, A.R.; Hull, A.L. The Effect of Nonlinear Transformations on a Likert Scale. Eval. Health. Prof. 1983, 6, 483–491. [Google Scholar] [CrossRef]
- Skvarciany, V.; Jureviciene, D. Factors influencing individual customers trust in Internet banking: Case of Baltic states. Sustainability 2018, 10, 4809. [Google Scholar] [CrossRef]
- Saeednia, H.; Abdollahi, H. Factors affecting client trust in online banking—A case study of Saman bank. Int. J. Econom. Bus. Model. 2012, 3, 149–151. [Google Scholar]
- Sitorus, H.M.; Govindaraju, R.; Wiratmadja, I.I.; Sudirman, I. The customer adoption of mobile banking from an interaction perspective. In Proceedings of the International Conference on Data and Software Engineering, Denpasar, Indonesia, 26–27 October 2016. [Google Scholar]
- Wijoseno, J. Perceived Factors Influencing Consumer Trust and Its Impact on Online Purchase Intention in Indonesia. Master’s Thesis, Telkom University, Bandung, Indonesia, 2017. [Google Scholar]
- Alam, S.; Yasin, N. What factors influence online brand trust: Evidence from online tickets buyers in Malaysia. J. Theor. Appl. Electron. Commer. Res. 2010, 5, 78–89. [Google Scholar]
- Chellappa, R.K.; Pavlou, P.A. Perceived information security, financial liability and consumer trust in electronic commerce transactions. Logist. Inf. Manag. 2002, 15, 358–368. [Google Scholar] [CrossRef]
- Hanafizadeh, P.; Keating, B.W.; Khedmatgozar, H.R. A systematic review of Internet banking adoption. Telemat. Inform. 2014, 31, 492–510. [Google Scholar] [CrossRef]
- Jeong, H.; Park, J.; Park, J.; Lee, B. Inconsistent work performance in automation, can we measure trust in automation? Int. J. Robot. Autom. 2017, 3, 75. [Google Scholar]
- Jeong, H.; Park, J.; Park, J.; Pham, T.; Lee, B. Analysis of trust in automation survey instruments using semantic network analysis. In Advances in Human Factors and Systems Interaction; Nunes, E.L., Ed.; Springer: London, UK, 2019; pp. 9–18. [Google Scholar]
- Chiou, J.-S.; Shen, C.-C. The antecedents of online financial service adoption: The impact of physical banking service on internet banking acceptance. Behav. Inf. Technol. 2012, 31, 859–871. [Google Scholar] [CrossRef]
- Lai, Y.-H.; Chang, C.-M.; Lu, R.-S.; Huang, H.-C. The effects of website trust, perceived ease of use, and perceived usefulness on consumers’ online booking intention: Evidence from Taiwan B&B sector. Life Sci. 2013, 10, 1516–1523. [Google Scholar]
- Saleh, Z.I.; Mashhour, A. Consumer attitude towards m-commerce: The perceived level of security and the role of trust. J. Emerg. Trends Comput. Inf. Sci. 2014, 5, 111–117. [Google Scholar]
- Bart, Y.; Shankar, V.; Sultan, F.; Urban, G.L. Are the drivers and role of online trust the same for all web sites and consumers? A large-scale exploratory empirical study. J. Mark. 2005, 69, 133–152. [Google Scholar] [CrossRef]
- Chang, K.; Kuo, N.; Hsu, C.; Cheng, Y. The impact of website quality and perceived trust on customer purchase intention in the hotel sector: Website brand and perceived value as moderators. Int. J. Innov. Manag. Technol. 2014, 5, 255. [Google Scholar] [CrossRef]
- Gefen, D.; Karahanna, E.; Straub, D.W. Trust and TAM in online shopping: An integrated model. MIS Q. 2003, 23, 51–90. [Google Scholar] [CrossRef]
- Ramlochan, S. People, Brands and Trust: Turning Consumer Confidence into Advocacy. Available online: https://www.business2community.com/branding/people-brands-trust-turning-consumer-confidence-advocacy-01110293 (accessed on 9 January 2022).
- Winter, D. The Trust Equation Presentation. Available online: https://www.slideshare.net/derekwinter/the-trust-equation (accessed on 9 January 2022).
- Ally, M.; Toleman, M. A framework for assessing payment security mechanisms and security information on e-commerce web sites. In Proceedings of the Pacific Asia Conference on Information Systems, Bangkok, Thailand, 7–10 July 2005. [Google Scholar]
- Liao, Z.; Cheung, M.T. Internet-based e-banking and consumer attitudes: An empirical study. Inf. Manag. 2002, 39, 283–295. [Google Scholar] [CrossRef]
- Koksal, M.H. The intentions of Lebanese consumers to adopt mobile banking. Int. J. Bank Mark. 2016, 34, 327–346. [Google Scholar] [CrossRef]
- Lin, H.F. An empirical investigation of mobile banking adoption: The effect of innovation attributes and knowledge-based trust. J. Inf. Manag. 2011, 31, 252–260. [Google Scholar] [CrossRef]
- Berry, L.L.; Seiders, K.; Grewal, D. Understanding service convenience. J. Mark. 2002, 66, 1–17. [Google Scholar] [CrossRef]
- Seiders, K.; Voss, G.B.; Godfrey, A.L.; Grewal, D. SERVCON: Development and validation of a multidimensional service convenience scale. Acad. Mark. Sci. Rev. 2007, 35, 144–156. [Google Scholar] [CrossRef]
- Akturan, U.; Tezcan, N. Mobile banking adoption of the youth market: Perceptions and intentions. Mark. Intell. Plan. 2012, 30, 444–459. [Google Scholar] [CrossRef]
- Munoz-Leiva, F.; Climent-Climent, S.; Liebana-Cabanillas, F. Determinants of intention to use the mobile banking apps: An extension of the classic TAM model. Span. J. Mark.-ESIC. 2017, 21, 25–38. [Google Scholar] [CrossRef]
- Sudarraj, R.P.; Wu, J. Using information-systems constructs to study online and telephone banking technologies. Electron. Commer. Res. Appl. 2005, 4, 427–443. [Google Scholar] [CrossRef]
- Al-Jabri, I.M. The intention to use mobile banking: Further evidence from Saudi Arabia. S. Afr. J. Bus. Manag. 2015, 46, 23–34. [Google Scholar] [CrossRef]
- Ahmad, S.Z.; Khalid, K. The adoption of M-government services from the user’s perspectives: Empirical evidence from the United Arab Emirates. Int. J. Inf. Manag. 2017, 37, 367–379. [Google Scholar] [CrossRef]
- Nikou, S.A.; Economides, A.A. Mobile-based assessment: Towards a motivational framework. In Proceedings of the Global Engineering Education Conference, Athens, Greece, 25–28 April 2017. [Google Scholar]
- Salihu, A.; Metin, H.; Hajrizi, E.; Ahmeti, M. The effect of security and ease of use on reducing the problems/deficiencies of electronic banking services. IFAC-PapersOnLine 2019, 52, 159–163. [Google Scholar] [CrossRef]
- Kuan, H.-H.; Bock, G.-W. Trust transference in brick and click retailers: An investigation of the before-online-visit phase. Inf. Manag. 2007, 44, 175–187. [Google Scholar] [CrossRef]
- Cheng, E.; Lam, D.; Yeung, A. Adoption of internet banking: An empirical study in Hong Kong. Decis. Support Syst. 2006, 42, 1558–1572. [Google Scholar] [CrossRef]
- Yousafzai, S.Y.; Foxall, G.R.; Pallister, J.G. Multi-dimensional role of trust in internet banking adoption. Serv. Ind. J. 2009, 29, 591–605. [Google Scholar] [CrossRef]
- Khazaei, A.; Manjiri, H.; Samiey, E.; Naja, H. The effect of service convenience on customer satisfaction and behavioral responses in bank industry. Int. J. Sci. Basic Appl. 2014, 3, 16–23. [Google Scholar]
- Nysveen, H.; Pedersen, P.E.; Thorbjørnsen, H. Intentions to use mobile services: Antecedents and cross-service comparisons. Acad. Mark. Sci. Rev. 2005, 33, 330–346. [Google Scholar] [CrossRef]
- Park, J.; Han, S.H.; Kim, H.K.; Moon, H.; Park, J. Developing and verifying a questionnaire for evaluating user value of a mobile device. Hum. Factors Ergon. Manuf. 2015, 25, 724–739. [Google Scholar] [CrossRef]
- Leandre, R.; Fabrigar, L.R.; Wegener, D.T. Exploratory Factor Analysis; Oxford University Press: Oxford, UK, 2012. [Google Scholar]
- Raykov, T.; Marcoulides, G.A. An Introduction to Applied Multivariate Analysis; Routledge: New York, NY, USA, 2008. [Google Scholar]
- Byrne, B.M. Factor analytic models: Viewing the structure of an assessment instrument from three perspectives. J. Pers. Assess. 2005, 85, 17–32. [Google Scholar] [CrossRef] [PubMed]
- Kaiser, H.F. The application of electronic computers to factor analysis. Educ. Psychol. Meas. 1960, 20, 141–151. [Google Scholar] [CrossRef]
- Mustika, W.; Saiyidah, M.; Sri, H.; Heny, A. A Rasch model analysis on junior high school students’ scientific reasoning ability. Int. J. Interact. Mob. 2019, 13, 141–149. [Google Scholar]
- Ahdika, A. Improvement of quality, interest, critical, and analytical thinking ability of students through the application of research based learning (RBL) in introduction to stochastic processes subject. Int. Electron. J. Math. Educ. 2017, 12, 167–191. [Google Scholar] [CrossRef]
- Hulland, J. Use of partial least squares (PLS) in strategic management research: A review of four recent studies. Strateg. Manag. J. 1999, 20, 195–204. [Google Scholar] [CrossRef]
- Chen, C.F.; Tsai, D. How destination image and evaluative factors affect behavioral intentions? Tour. Manag. 2007, 28, 1115–1122. [Google Scholar] [CrossRef]
- Fida, M.; Khan, M.; Safdar, A.; Naz, B. Customer service perception among professionals: Confirmatory factor analysis and norming. J. Mark. Manag. 2020, 2, 49–69. [Google Scholar]
- Jenn, N.C. Designing A Questionnaire. Malays. Fam. Physician 2006, 1, 32–35. [Google Scholar]
- Edwards, P. Questionnaires in clinical trials: Guidelines for optimal design and administration. Trials 2010, 11, 1–8. [Google Scholar] [CrossRef] [PubMed]
- Wiedmann, K.; Hennigs, N.; Varelmann, D.; Reeh, M. Determinants of consumers’ perceived trust in IT-Ecosystems. J. Theor. Appl. Electron. Commer. Res. 2010, 5, 137. [Google Scholar] [CrossRef]
- Marza, S.; Idris, I.; Abror, A. The influence of convenience, enjoyment, perceived risk, and trust on the attitude toward online shopping. In Proceedings of the 2nd Padang International Conference on Education, Economics, Business and Accounting, West Sumatera, Indonesia, 24–25 November 2018. [Google Scholar]
- Xie, L.; Peng, J.; Shen, W. Customer’s perceived service convenience and customers’ service evaluations of the bank’s outlets. In Proceedings of the 7th International Conference on Service Systems and Service Management, Chengdu, China, 9–11 June 2007. [Google Scholar]
- Merry, E.A. Mobile Banking: A Closer Look at Survey Measures, FEDS Notes. Washington: Board of Governors of the Federal Reserve System. Available online: https://www.federalreserve.gov/econres/notes/feds-notes/mobile-banking-a-closer-look-at-survey-measures-20180327.htm (accessed on 9 January 2022).
- Twum, F.; Ahenkora, K. Internet banking security strategy: Securing customer trust. J. Econ. Manag. Strategy 2012, 3, 78–83. [Google Scholar] [CrossRef][Green Version]
- Dutta, B.; Peng, M.H.; Sun, S.L. Modeling the adoption of personal health record (PHR) among individual: The effect of health-care technology self-efficacy and gender concern. Libyan J. Med. 2018, 13, 1500349. [Google Scholar] [CrossRef]
- Subramanian, G.H. A replication of perceived usefulness and perceived ease of use measurement. Decis. Sci. 1994, 25, 863–874. [Google Scholar] [CrossRef]
- Simon, S.J.; Paper, D. User acceptance of voice recognition technology: An empirical extension of the technology acceptance model. J. Organ. User Comput. 2007, 19, 24–50. [Google Scholar] [CrossRef]
- Giovannini, C.J.; Ferreira, J.B.; Silva, J.F.; Ferreira, D.B. The effects of trust transference, mobile attributes and enjoyment on mobile trust. Braz. Adm. Rev. 2015, 12, 88–108. [Google Scholar] [CrossRef]
- Ulaan, R.V.; Pangemanan, S.S.; Lambey, L. The effect of perceived enjoyment on intention to shop online (The Study of Faculty of Economics and Business Sam Ratulangi University Manado). J. Ris. Ekon. Manaj. Bisnis Akunt. 2016, 4, 1137–1146. [Google Scholar]
- Boomsma, A. Reporting Analyses of Covariance Structures. Struct. Equ. Model. 2000, 7, 461–483. [Google Scholar] [CrossRef]
- Rodríguez-Santero, J.; Torres-Gordillo, J.J.; Gil-Flores, J. Confirmatory factor analysis of a questionnaire for evaluating online training in the workplace. Sustainability 2020, 12, 4629. [Google Scholar] [CrossRef]
- Lee, M.C.; Park, J. There is no perfect evaluator: An investigation based on prospect theory, human factors and ergonomics in manufacturing and service industry. Hum. Factors Ergon. Manuf. 2018, 28, 383–392. [Google Scholar] [CrossRef]
- Bitkina, O.V.; Jeong, H.; Lee, B.C.; Park, J.; Park, J.; Kim, H.K. Perceived trust in artificial intelligence technologies: A preliminary study. Hum. Factors Ergon. Manuf. 2020, 30, 282–290. [Google Scholar] [CrossRef]
- Pham, Q.T.; Tran, X.P.; Misra, S.; Maskeliūnas, R.; Damaševičius, R. Relationship between convenience, perceived value, and repurchase intention in online shopping in Vietnam. Sustainability 2018, 10, 156. [Google Scholar] [CrossRef]
- Kim, C.; Mirusmonov, M.; Lee, I. An empirical examination of factors influencing the intention to use mobile payment. Comput. Hum. Behav. 2010, 26, 310–322. [Google Scholar] [CrossRef]

| Perceived Characteristic | Service/ Product | Methods/Approaches | Sample Size | References |
|---|---|---|---|---|
| Perceived Trust | Online and Offline Banking, Trade, and Stocks | (1) Survey and Interview with ANOVA, t-test, and factor analysis (2) Other experiments involving human subjects with ANOVA, t-test, factor/descriptive analysis, regression, and mathematical modelling | About or over 100 participants | [2,3,4] |
| Perceived Security | Online and Offline Banking, Trade, and Stocks Mobile Payment and Wallets | [2,3,4,6] | ||
| Perceived Convenience | Online Banking, Trade, Cryptocurrency | [4,5,6,9] | ||
| Perceived Ease of Use | Online Financial Services | [8,10] | ||
| Perceived Usefulness | Online and Offline Financial Services | [2,3,6,8] |
| References | Type of Banking Service | Constructs | Methods | Brief Findings |
|---|---|---|---|---|
| [28] | Internet banking | Provided information, e-banking system, the website of a bank, a bank’s characteristics | Logistic regression analysis | The most powerful factor in the trust-building process is the e-banking system and the website |
| [29] | Online banking | Perceived security, usability, reputation, commitment of clients | Regression analysis | Security, privacy, usability, commitment of clients and reputation have significant association with PT |
| [30] | Internet banking | PU, PEU, perceived financial risk, perceived security risk, attitude to using, behavioral intention | Structural equation modeling | Security and financial risks are negatively related to PT |
| [31] | E-commerce | E-commerce knowledge, perceived reputation, perceived risk, perceived technology | Partial least squares–Structural equation modeling | e-commerce knowledge, perceived risk and perceived technology have significant influence on PT |
| [32] | E-commerce | Word of mouth, online experience, security/privacy, perceived risk, brand reputation, quality information | Multiple regression analysis | Security/privacy, word of mouth, online experience, quality information, and brand reputation have a significant and positive relationship with PT |
| References | Type of Service | Represented Construct | Methods | Brief Findings |
|---|---|---|---|---|
| [54] | Mobile banking | Intention to use mobile banking | Partial least squares | PEU and PU do not have significant effects on intention |
| [55] | Mobile government | User intention to adopt M-government | Structural equation modeling | PEU and PU have insignificant effects on adoption |
| [47] | Mobile banking | User intention to adopt mobile banking | Binary logistic regression | PEU and PU influence the successful adoption of mobile banking |
| [56] | Mobile-based services | Behavioral intention to use | Partial least squares | PEU and PU have significant effects on intention |
| [57] | Electronic banking | Reducing the problems/deficiencies in the use of electronic banking services | Regression analysis | With enhanced PEU, problems of using of electronic banking are decreased. |
| Items | Factors | Cronbach’s Alpha | ||
|---|---|---|---|---|
| 1 | 2 | 3 | ||
| PT6 | 0.613 | 0.462 | −0.080 | 0.662 |
| PT1 | 0.671 | 0.363 | −0.008 | |
| PT7 | 0.765 | 0.340 | −0.041 | |
| PT3 | 0.774 | 0.154 | 0.042 | |
| PS6 | 0.297 | 0.598 | 0.002 | 0.719 |
| PS8 | 0.354 | 0.707 | 0.061 | |
| PS1 | 0.174 | 0.836 | 0.073 | |
| PC7 | 0.178 | −0.087 | 0.739 | 0.663 |
| PC8 | 0.022 | 0.036 | 0.806 | |
| PC4 | −0.064 | 0.192 | 0.817 | |
| Parameter | Value |
|---|---|
| Goodness-of-fit index (GFI) | 0.906 |
| Root-mean-square error (RMSEA) | 0.077 |
| Normed fit index (NFI) | 0.891 |
| Comparative fit index (CFI) | 0.955 |
| Relative chi-square (CMIN/DF) | 1.591 |
| Factors | Items |
|---|---|
| Perceived Security | To what extent are your operations protected from threats while using online banking (offence; attack; theft of money, documents, information, passwords, etc.)? My personal information is kept confidential while using offline traditional banking. Transactions conducted through ATMs are secure. |
| Perceived Convenience | A lot of time is needed to obtain online banking services. Using online banking requires a lot of knowledge. Using an ATM requires a lot of knowledge. |
| Perceived Trust | To what extent is online banking reliable as a system of banking service provision? To what extent is offline (traditional) banking reliable as a system of banking service provision? Offline traditional banking fulfills the commitments that it assumes. Online banking service is clear. |
Publisher’s Note: MDPI stays neutral with regard to jurisdictional claims in published maps and institutional affiliations. |
© 2022 by the authors. Licensee MDPI, Basel, Switzerland. This article is an open access article distributed under the terms and conditions of the Creative Commons Attribution (CC BY) license (https://creativecommons.org/licenses/by/4.0/).
Share and Cite
Bitkina, O.V.; Park, J.; Kim, H.K. Measuring User-Perceived Characteristics for Banking Services: Proposing a Methodology. Int. J. Environ. Res. Public Health 2022, 19, 2358. https://doi.org/10.3390/ijerph19042358
Bitkina OV, Park J, Kim HK. Measuring User-Perceived Characteristics for Banking Services: Proposing a Methodology. International Journal of Environmental Research and Public Health. 2022; 19(4):2358. https://doi.org/10.3390/ijerph19042358
Chicago/Turabian StyleBitkina, Olga Vl., Jaehyun Park, and Hyun K. Kim. 2022. "Measuring User-Perceived Characteristics for Banking Services: Proposing a Methodology" International Journal of Environmental Research and Public Health 19, no. 4: 2358. https://doi.org/10.3390/ijerph19042358
APA StyleBitkina, O. V., Park, J., & Kim, H. K. (2022). Measuring User-Perceived Characteristics for Banking Services: Proposing a Methodology. International Journal of Environmental Research and Public Health, 19(4), 2358. https://doi.org/10.3390/ijerph19042358

