Presenteeism and Productivity: The Role of Biomarkers and Hormones
Abstract
1. Introduction
2. Methods
2.1. Participants and Procedures
2.2. Instruments
2.3. Statistical Analysis and Reference Values
2.4. Ethical Approval
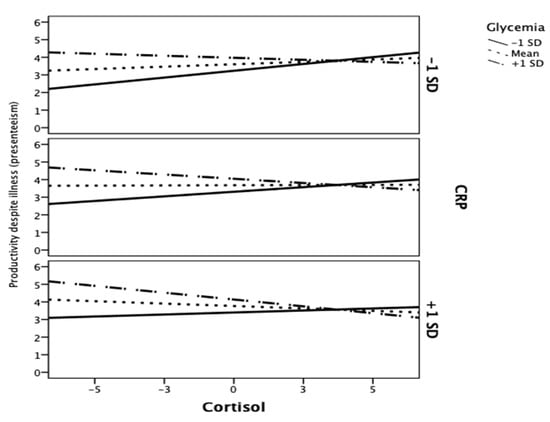
3. Results
4. Discussion
Practical Implications
5. Conclusions
Author Contributions
Funding
Institutional Review Board Statement
Informed Consent Statement
Data Availability Statement
Acknowledgments
Conflicts of Interest
References
- Silva-Costa, A.; Ferreira, P.C.S.; Griep, R.H.; Rotenberg, L. Association between Presenteeism, Psychosocial Aspects of Work and Common Mental Disorders among Nursing Personnel. Int. J. Environ. Res. Public Health 2020, 17, 6758. [Google Scholar] [CrossRef]
- Yamamoto, S.; Loerbroks, A.; Terris, D.D. Measuring the effect of workplace health promotion interventions on “presenteeism”: A potential role for biomarkers. Prev. Med. 2009, 48, 471–472. [Google Scholar] [CrossRef]
- Akinola, M.; Page-Gould, E.; Mehta, P.H.; Lu, J.G. Collective hormonal profiles predict group performance. Proc. Natl. Acad. Sci. USA 2016, 113, 9774–9779. [Google Scholar] [CrossRef]
- Pulopulos, M.M.; Kozusznik, M.W. The moderating role of meaning in life in the relationship between perceived stress and diurnal cortisol. Stress 2018, 21, 203–210. [Google Scholar] [CrossRef]
- Pulopulos, M.; Hidalgo, V.; Puig-Pérez, S.; Salvador, A. Psychophysiological response to social stressors: Relevance of sex and age. Psicothema 2018, 30, 171–176. [Google Scholar] [PubMed]
- Grossi, G.; Perski, A.; Evengård, B.; Blomkvist, V.; Orth-Gomér, K. Physiological correlates of burnout among women. J. Psychosom. Res. 2003, 55, 309–316. [Google Scholar] [CrossRef]
- Suarez, E.C.; Sundy, J.S. The cortisol: C-reactive protein ratio and negative affect reactivity in depressed adults. Health Psychol. 2017, 36, 852–862. [Google Scholar] [CrossRef] [PubMed]
- Lopes, S.; Ferreira, A.; Passos, A.; Neves, M.; Sousa, C.; Sá, M. Depressive symptomatology, presenteeism productivity, and quality of life: A moderated mediation model. J. Occup. Environ. Med. 2018, 60, 301–308. [Google Scholar] [CrossRef] [PubMed]
- Ruhle, S.A.; Breitsohl, H.; Aboagye, E.; Baba, V.; Biron, C.; Correia Leal, C.; Dietz, C.; Ferreira, A.I.; Gerich, J.; Johns, G.; et al. “To work, or not to work, that is the question”—Recent trends and avenues for research on presenteeism. Eur. J. Work Organ. Psychol. 2020, 29, 344–363. [Google Scholar] [CrossRef]
- Hemp, P. Presenteeism: At work—but out of it. Harv. Bus. Rev. 2004, 82, 49–58. [Google Scholar] [PubMed]
- Ferreira, A.I.; da Costa Ferreira, P.; Cooper, C.L.; Oliveira, D. How daily negative affect and emotional exhaustion correlates with work engagement and presenteeism-constrained productivity. Int. J. Stress Manag. 2018, 26, 261–271. [Google Scholar] [CrossRef]
- Martinez, L.F.; Ferreira, A.I. Sick at work: Presenteeism among nurses in a Portuguese public hospital. Stress Health 2012, 28, 297–304. [Google Scholar] [CrossRef]
- Åhs, F.; Furmark, T.; Michelgård, Å.; Långström, B.; Appel, L.; Wolf, O.T.; Kirschbaum, C.; Fredrikson, M. Hypothalamic Blood Flow Correlates Positively with Stress-Induced Cortisol Levels in Subjects with Social Anxiety Disorder. Psychosom. Med. 2006, 68, 859–862. [Google Scholar] [CrossRef]
- Steptoe, A.; Cropley, M.; Griffith, J.; Kirschbaum, C. Job strain and anger expression predict early morning elevations in salivary cortisol. Psychosom. Med. 2000, 62, 286–292. [Google Scholar] [CrossRef] [PubMed]
- Puig-Pérez, S.; Pulopulos, M.M.; Hidalgo, V.; Salvador, A. Being an optimist or a pessimist and its relationship with morning cortisol release and past life review in healthy older people. Psychol. Health 2018, 33, 783–799. [Google Scholar] [CrossRef]
- Akca, H.M.; Tuncer, K.K. Correlation of urticaria activity score in chronic spontaneous urticaria with serum C-reactive protein level and neutrophil/lymphocyte ratio. Dermatol. Ther. 2020, 33, e14532. [Google Scholar] [CrossRef] [PubMed]
- Shimanoe, C.; Hara, M.; Nishida, Y.; Nanri, H.; Otsuka, Y.; Horita, M.; Yasukata, J.; Miyoshi, N.; Yamada, Y.; Higaki, Y.; et al. Coping strategy and social support modify the association between perceived stress and C-reactive protein: A longitudinal study of healthy men and women. Stress Int. J. Biol. Stress 2018, 21, 237–246. [Google Scholar] [CrossRef]
- Christie, S.T.; Schrater, P. Cognitive cost as dynamic of energetic resources. Front. Neurosci. 2015, 9, 1–15. [Google Scholar] [CrossRef] [PubMed]
- Breton, M.C.; Guénette, L.; Amiche, M.A.; Kayibanda, J.F.; Grégoire, J.P.; Moisan, J. Burden of diabetes on the ability to work. Diabetes Care 2013, 36, 740–749. [Google Scholar] [CrossRef]
- Tunceli, K.; Bradley, C.J.; Lafata, J.E.; Pladevall, M.; Divine, G.; Goodman, A.; Vijan, S. Glycemic control and absenteeism among individuals with diabetes. Diabetes Care 2007, 30, 1283–1285. [Google Scholar] [CrossRef]
- Tardáguila-García, A.; García Álvarez, Y.; García-Morales, E.; Álvaro-Afonso, F.J.; Sanz-Corbalán, I.; Lázaro-Martínez, J.L. Utility of Blood Parameters to Detect Complications during Long-Term Follow-Up in Patients with Diabetic Foot Osteomyelitis. J. Clin. Med. 2020, 9, 3768. [Google Scholar] [CrossRef] [PubMed]
- Thyilum, M.; Brandt, F.; Almind, D.; Christensen, K.; Brix, T.H.; Hegedus, L. Increased psychiatric morbidity before and after the diagnosis of hypothyroidism: A nationwide register study. Thyroid 2014, 24, 802–808. [Google Scholar] [CrossRef] [PubMed]
- Nexø, M.A.; Watt, T.; Pedersen, J.; Bonnema, S.; Hegedus, L.; Rasmussen, A.; Feldt-Rasmussen, U.; Bjorner, J. Increased Risk of Long-Term Sickness Absence, Lower Rate of Return to Work, and Higher Risk of Unemployment and Disability Pensioning for Thyroid Patients: A Danish Register-Based Cohort Study. J. Clin. Endocrinol. Metab. 2014, 99, 3184–3192. [Google Scholar] [CrossRef]
- van der Gaag, E.; van der Palen, J.; Schaap, P.; van Voorthuizen, M.; Hummel, T. A Lifestyle (Dietary) Intervention Reduces Tiredness in Children with Subclinical Hypothyroidism, a Randomized Controlled Trial. Int. J. Environ. Res. Public Health 2020, 17, 3689. [Google Scholar] [CrossRef]
- Erdogan, R. Effects of Endurance Workouts on Thyroid Hormone Metabolism and Biochemical Markers in Athletes. Brain Broad Res. Artif. Intell. Neurosci. 2020, 11, 136–146. [Google Scholar] [CrossRef]
- Wang, M. Inhibitors of 11beta-hydroxysteroid dehydrogenase type 1 in antidiabetic therapy. Handb. Exp. Pharm. 2011, 203, 127–146. [Google Scholar]
- Mori, T.; Nagata, T.; Nagata, M.; Otani, M.; Fujino, Y.; Mori, K. The Impact of Diabetes Status on Presenteeism in Japan. J. Occup. Environ. Med. 2020, 62, 654–661. [Google Scholar] [CrossRef]
- Ferreira, A.I.; Martinez, L.F.; Sousa, L.M.; Cunha, J.V. Tradução e validação para a língua portuguesa das escalas de presenteismo WLQ-8 e SPS-6. Avaliação Psicológica 2010, 9, 253–266. [Google Scholar]
- Koopman, C.; Pelletier, K.R.; Murray, J.F.; Sharda, C.E.; Berger, M.L.; Turpin, R.S.; Hackleman, P.; Gibson, P.; Holmes, D.M.; Bendel, T. Stanford presenteeism scale: Health status and employee productivity. J. Occup. Environ. Med. 2012, 44, 14–20. [Google Scholar] [CrossRef] [PubMed]
- Hyeda, A.; Handar, Z. Avaliação da produtividade na síndrome de burnout. Rev. Bras. Med. Trab. 2011, 9, 78–84. [Google Scholar]
- Hirschfeld, G.; Von Brachel, R. Multiple-Group confirmatory factor analysis in R—A tutorial in measurement invariance with continuous and ordinal. Pract. Assess. Res. Eval. 2014, 19, 1–11. [Google Scholar]
- Jorgensen, T.D.; Pornprasertmanit, S.; Schoemann, A. Package ‘semTools’ version 0.5–1 [Internet]. 2018. Available online: https://cran.r-project.org/web/packages/semTools/semTools.pdf (accessed on 23 July 2020).
- Milfont, T.L.; Fischer, R. Testing measurement invariance across groups: Applications in cross-cultural research. Int. J. Psychol. Res. 2010, 3, 111–121. [Google Scholar] [CrossRef]
- McNeish, D. Thanks coefficient alpha, we’ll take it from here. Psychol. Methods. 2018, 23, 412–433. [Google Scholar] [CrossRef] [PubMed]
- Sociedade Brasileira de Diabetes. In Diretrizes da Sociedade Brasileira de Diabetes 2017–2018; Clannad: São Paulo, Brazil, 2018.
- Hayes, A.F. Introduction to Mediation, Moderation, and Conditional Process Analysis, 2nd ed.; Guilford: New York, NY, USA, 2017. [Google Scholar]
- Lipp, M. Como Enfrentar o Stress, 5th ed.; Ícone: São Paulo, Brazil, 1998. [Google Scholar]
- Grung, B.; Sandvik, A.M.; Hjelle, K.; Dahl, L.; Frøyland, L.; Nygård, I.; Hansen, A.L. Linking vitamin D status, executive functioning and self-perceived mental health in adolescents through multivariate analysis: A randomized double-blind placebo control trial. Scand. J. Psychol. 2017, 58, 123–130. [Google Scholar] [CrossRef]
- Pepys, M.B.; Hirschfield, G.M. C-reactive protein: A critical update. J. Clin. Investig. 2003, 111, 1805–1812. [Google Scholar] [CrossRef] [PubMed]
- Lee, W.; Kang, S.-K.; Choi, W.-J. Effect of long work hours and shift work on high-sensitivity C-reactive protein levels among Korean workers. Scand. J. Work Environ. Health 2020, 47, 200–207. [Google Scholar]
- Fried, E.I.; von Stockert, S.; Haslbeck, J.M.B.; Lamers, F.; Schoevers, R.A.; Penninx, B.W.J.H. Using network analysis to examine links between individual depressive symptoms, inflammatory markers, and covariates. Psychol. Med. 2019, 50, 1–9. [Google Scholar] [CrossRef]
- Costa, M.A.; Gadea, M.; Hidalgo, V.; Pérez, V.; Sanjuán, J. An effective Neurofeedback training, with cortisol correlates, in a clinical case of anxiety. Univ. Psychol. 2016, 15, 1–10. [Google Scholar]
- Seaverson, E.L.D.; Gingerich, S.B.; Mangen, D.J.; Anderson, D.R. Measuring participation in employer-sponsored health and well-being programs: A participation index and its association with health risk change. Am. J. Health Promot. 2019, 33, 1002–1008. [Google Scholar] [CrossRef]



| χ2 (Diff) | DF (Diff) | CFI (Delta) | RMSEA (Delta) | |
|---|---|---|---|---|
| Configural Invariance | 19.34 | 16 | 0.98 | 0.06 |
| Configural loading—metric invariance | (1.35) | (4) | (.01) | (0.03) |
| Configural intercept | (10.81) | (4) | (0.04) | (0.05) |
| Configural means | (6.28) | (2) | (0.03) | (0.01) |
| Variables | Mean | SD | 1 | 2 | 3 | 4 |
|---|---|---|---|---|---|---|
| 15.04 | 6.66 | ||||
| 2.72 | 3.28 | −0.20 | |||
| 3.02 | 7.71 | 0.08 | −0.02 | ||
| 95.34 | 23.36 | −0.06 | 0.02 | −0.04 | |
| 3.61 | 0.77 | 0.21 * | 0.17 | −0.28 ** | 0.75 ** |
| Direct Effects and Moderations | b | SE | t | p | CI (Lower) | CI (Upper) |
|---|---|---|---|---|---|---|
| Cortisol --> SPS6 | 0.00 | 0.03 | 0.15 | 0.88 | −0.05 | 0.06 |
| CRP --> SPS6 | 0.03 | 0.04 | 0.73 | 0.47 | −0.05 | 0.10 |
| Cortisol×CRP --> SPS6 | −0.02 | 0.01 | −2.47 | 0.02 | −0.03 | −0.00 |
| Glycemia --> SPS6 | 0.01 | 0.01 | 2.42 | 0.02 | 0.00 | 0.02 |
| Cortisol × Glycemia --> SPS6 | −0.00 | 0.00 | −2.44 | 0.02 | -0.01 | −0.00 |
| Conditional effect for low CRP and Glycemia | 0.15 | 0.04 | 3.86 | <0.01 | 0.07 | 0.24 |
| Conditional effect for medium CRP and Glycemia | 0.00 | 0.03 | 0.15 | 0.88 | −0.05 | 0.06 |
| Conditional effect for high CRP and Glycemia | −0.16 | 0.07 | −2.17 | 0.04 | −0.30 | −0.01 |
| TSH --> SPS6 | −0.11 | 0.07 | −1.62 | 0.11 | −0.24 | 0.02 |
| Glycemia --> SPS6 | 0.01 | 0.00 | 1.50 | 0.14 | −0.00 | 0.01 |
| TSH × Glycemia--> SPS6 | −0.01 | 0.00 | −2.11 | 0.04 | −0.02 | −0.00 |
| Conditional effect for low Glycemia | 0.08 | 0.11 | 0.74 | 0.46 | −0.13 | 0.29 |
| Conditional effect for medium Glycemia | −0.11 | 0.07 | −1.61 | 0.11 | −0.24 | 0.03 |
| Conditional effect for high Glycemia | −0.30 | 0.12 | −2.57 | 0.01 | −0.53 | −0.07 |
Publisher’s Note: MDPI stays neutral with regard to jurisdictional claims in published maps and institutional affiliations. |
© 2021 by the authors. Licensee MDPI, Basel, Switzerland. This article is an open access article distributed under the terms and conditions of the Creative Commons Attribution (CC BY) license (https://creativecommons.org/licenses/by/4.0/).
Share and Cite
Ferreira, A.I.; Pérez-Nebra, A.R.; Ellen Costa, E.; Aguiar, M.L.A.; Zambonato, A.; Costa, C.G.; Modesto, J.G.; Ferreira, P.d.C. Presenteeism and Productivity: The Role of Biomarkers and Hormones. Int. J. Environ. Res. Public Health 2021, 18, 5014. https://doi.org/10.3390/ijerph18095014
Ferreira AI, Pérez-Nebra AR, Ellen Costa E, Aguiar MLA, Zambonato A, Costa CG, Modesto JG, Ferreira PdC. Presenteeism and Productivity: The Role of Biomarkers and Hormones. International Journal of Environmental Research and Public Health. 2021; 18(9):5014. https://doi.org/10.3390/ijerph18095014
Chicago/Turabian StyleFerreira, Aristides I., Amalia R. Pérez-Nebra, Eva Ellen Costa, Maria Luisa A. Aguiar, Adriane Zambonato, Carla G. Costa, João G. Modesto, and Paula da Costa Ferreira. 2021. "Presenteeism and Productivity: The Role of Biomarkers and Hormones" International Journal of Environmental Research and Public Health 18, no. 9: 5014. https://doi.org/10.3390/ijerph18095014
APA StyleFerreira, A. I., Pérez-Nebra, A. R., Ellen Costa, E., Aguiar, M. L. A., Zambonato, A., Costa, C. G., Modesto, J. G., & Ferreira, P. d. C. (2021). Presenteeism and Productivity: The Role of Biomarkers and Hormones. International Journal of Environmental Research and Public Health, 18(9), 5014. https://doi.org/10.3390/ijerph18095014

