The Economic Cost of Diet and Its Association with Adherence to the Mediterranean Diet in a Cohort of Spanish Primary Schoolchildren
Abstract
1. Introduction
2. Materials and Methods
2.1. Design and Subjects
2.2. Questionnaire
2.3. Adherence to the Mediterranean Diet and Compliance with Dietary Reference Intake
2.4. Monetary Cost of the Diet
2.5. Statistics
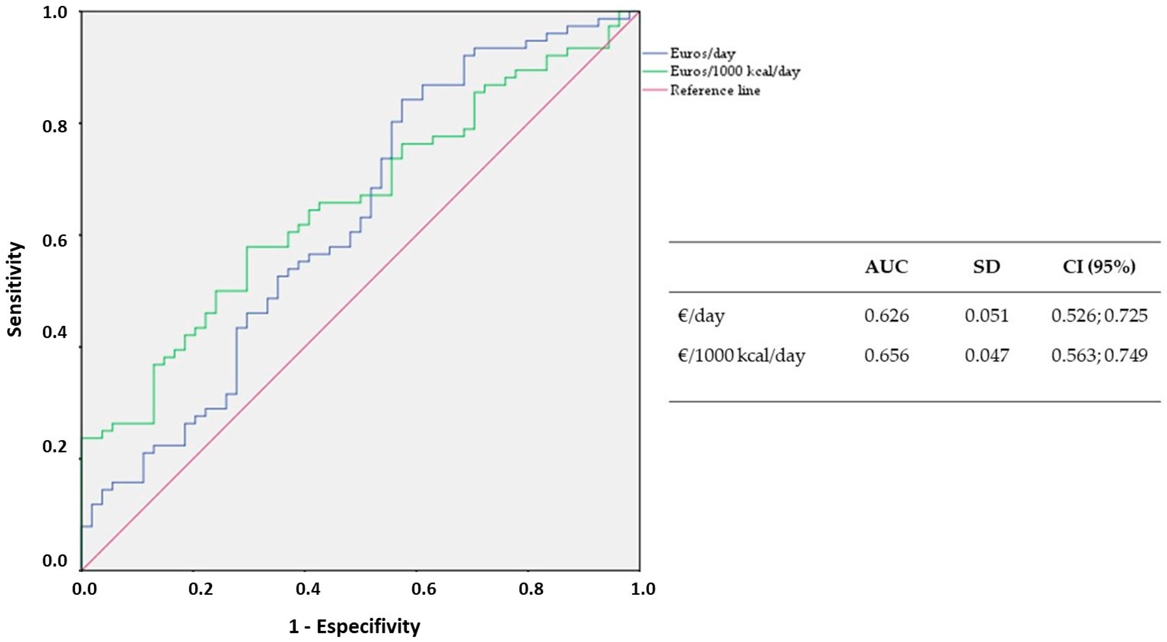
3. Results
4. Discussion
5. Strengths and Limitations
6. Conclusions
Author Contributions
Funding
Institutional Review Board Statement
Informed Consent Statement
Data Availability Statement
Conflicts of Interest
References
- World Heatlh Organization. Diet, Nutrition and the Prevention of Chronic Diseases. 2003. Available online: https://apps.who.int/iris/bitstream/handle/10665/42665/WHO_TRS_916.pdf;jsessionid=0CBB7BE4EEFE0B8A6BE84BB4FB47B691?sequence=1 (accessed on 12 July 2020).
- O’Neil, A.; Quirk, S.E.; Housden, S.; Brennan, S.L.; Williams, L.J.; Pasco, J.A.; Berk, M.; Jacka, F.N. Relationship Between Diet and Mental Health in Children and Adolescents: A Systematic Review. Am. J. Public Health 2014, 104, e31–e42. [Google Scholar] [CrossRef] [PubMed]
- Martínez-González, M.A.; Salas-Salvadó, J.; Estruch, R.; Corella, D.; Fitó, M.; Ros, E. Benefits of the Mediterranean Diet: Insights From the PREDIMED Study. Prog. Cardiovasc. Dis. 2015, 58, 50–60. [Google Scholar] [CrossRef] [PubMed]
- Sofi, F.; Abbate, R.; Gensini, G.F.; Casini, A. Accruing evidence on benefits of adherence to the Mediterranean diet on health: An updated systematic review and meta-analysis. Am. J. Clin. Nutr. 2010, 92, 1189–1196. [Google Scholar] [CrossRef] [PubMed]
- Schröder, H. Protective mechanisms of the Mediterranean diet in obesity and type 2 diabetes. J. Nutr. Biochem. 2007, 18, 149–160. [Google Scholar] [CrossRef]
- Estruch, R.; Ros, E.; Salas-Salvadó, J.; Covas, M.-I.; Corella, D.; Arós, F.; Gómez-Gracia, E.; Ruiz-Gutiérrez, V.; Fiol, M.; Lapetra, J.; et al. Primary Prevention of Cardiovascular Disease with a Mediterranean Diet Supplemented with Extra-Virgin Olive Oil or Nuts. N. Engl. J. Med. 2018, 378, e34. [Google Scholar] [CrossRef]
- Giannini, C.; Diesse, L.; D´Adamo, E.; Chiavaroli, V.; de Giorgis, V.; Di Lorio, C.; Chiarelli, F.; Mohn, A. Influence of the Mediterranean Diet on Carotid Intima-Media Thickness in Hypercholesterolaemic Children: A 12-month Intervention Study. Nutr. Metab. Cardiovasc. Dis. 2014, 24, 75–82. [Google Scholar] [CrossRef]
- Ministerio de Sanidad, Consumo y Binestar Social. Agencia Española de Consumo, Seguridad Alimentaria y Nutrición. Encuesta ENALIA. Encuesta Nacional de Alimentación en la Población Infantil y Adolescente. Available online: http://www.aecosan.msssi.gob.es/eu/AECOSAN/web/seguridad_alimentaria/subdetalle/enalia.htm (accessed on 6 April 2019).
- Tur, J.A.; Romaguera, D.; Pons, A. The Diet Quality Index-International (DQI-I): Is it a useful tool to evaluate the quality of the Mediterranean diet? Br. J. Nutr. 2005, 93, 369–376. [Google Scholar] [CrossRef]
- Trichopoulou, A.; Kouris-Blazos, A.; Wahlqvist, M.L.; Gnardellis, C.; Lagiou, P.; Polychronopoulos, E.; Vassilakou, T.; Lipworth, L.; Trichopoulos, D. Diet and overall survival in elderly people. BMJ 1995, 311, 1457–1460. [Google Scholar] [CrossRef]
- D´Alessandro, A.; De Pergola, G. Mediterranean Diet and Cardiovascular Disease: A Critical Evaluation of a Priori Dietary Indexes. Nutrients 2015, 7, 7863–7888. [Google Scholar] [CrossRef]
- Fidanza, F.; Alberti, A.; Fruttini, D. The Nicoreta Diet: The Reference Italian Mediterranean Diet. World Rev. Nutr. Diet 2005, 95, 115–121. [Google Scholar]
- French, S.A. Pricing Effects on Food Choices. J. Nutr. 2003, 133, 841S–843S. [Google Scholar] [CrossRef] [PubMed]
- Schröder, H.; Marrugat, J.; Covas, M.I. High monetary costs of dietary patterns associated with lower body mass index: A population-based study. Int. J. Obes. 2006, 30, 1574–1579. [Google Scholar] [CrossRef] [PubMed]
- Lopez, C.N.; A Martinez-Gonzalez, M.; Sanchez-Villegas, A.; Alonso, A.; Pimenta, A.M.; Bes-Rastrollo, M. Costs of Mediterranean and western dietary patterns in a Spanish cohort and their relationship with prospective weight change. J. Epidemiol. Community Health 2009, 63, 920–927. [Google Scholar] [CrossRef] [PubMed]
- Schröder, H.; Serra-Majen, L.; Subirana, I.; Izquierdo-Pulido, M.; Fitó, M.; Elosua, R. Association of increased monetary cost of dietary intake, diet quality and weight management in Spanish adults. Br. J. Nutr. 2016, 115, 817–822. [Google Scholar] [CrossRef] [PubMed]
- Rao, M.; Afshin, A.; Singh, G.; Mozaffarian, D. Do healthier foods and diet patterns cost more than less healthy options? A systematic review and meta-analysis. BMJ Open 2013, 3, e004277. [Google Scholar] [CrossRef]
- Afshin, A.; Peñalvo, J.; Del Gobbo, L.; Silva, J.; Michaelson, M.; O´Flaherty, M.; Capewell, S.; Spiegelman, D.; Danaei, G.; Mozaffarian, D. The prospective impact of food pricing on improving dietary consumption: A systematic review and meta-analysis. PLoS ONE 2017, 12, e0172277. [Google Scholar] [CrossRef]
- Méjean, C.; Droomers, M.; Van Der Schouw, Y.T.; Sluijs, I.; Czernichow, S.; Grobbee, D.E.; Bueno-De-Mesquita, H.B.; Beulens, J.W.J. The contribution of diet and lifestyle to socioeconomic inequalities in cardiovascular morbidity and mortality. Int. J. Cardiol. 2013, 168, 5190–5195. [Google Scholar] [CrossRef]
- Laaksonen, M.; Talala, K.; Martelin, T.; Rahkonen, O.; Roos, E.; Helakorpi, S.; Laatikainen, T.; Prättälä, R. Health behaviours as explanations for educational level differences in cardiovascular and all-cause mortality: A follow-up of 60,000 men and women over 23 years. Eur. J. Public Health 2007, 18, 38–43. [Google Scholar] [CrossRef]
- Stringhini, S.; Sabia, S.; Shipley, M.; Brunner, E.; Nabi, H.; Kivimaki, M.; Singh-Manoux, A. Association of socioeconomic position with health behaviors and mortality. JAMA 2010, 303, 1159–1166. [Google Scholar] [CrossRef]
- Giskes, K.; Avendano, M.; Brug, J.; Kinst, A.E. A systematic review of studies on socioeconomic inequalities in dietary intakes associated with weight gain and overweight/obesity conducted among European adults. Obes. Rev. 2010, 11, 413–429. [Google Scholar] [CrossRef]
- Darmon, N.; Drewnowski, A. Does social class predict diet quality? Am. J. Clin. Nutr. 2008, 87, 1107–1117. [Google Scholar] [CrossRef] [PubMed]
- De Irala-Estévez, J.; Groth, M.; Johansson, L.; Oltersdorf, U.; Prättälä, R.; A Martínez-González, M. A systematic review of socio-economic differences in food habits in Europe: Consumption of fruit and vegetables. Eur. J. Clin. Nutr. 2000, 54, 706–714. [Google Scholar] [CrossRef] [PubMed]
- Grosso, G.; Marventano, S.; Nolfo, F.; Rametta, S.; Bandini, L.; Ferranti, R.; Bonomo, M.C.; Matalone, M.; Galvano, F.; Mistretta, A. Personal Eating, Lifestyle, and Family-Related Behaviors Correlate with Fruit and Vegetable Consumption in Adolescents Living in Sicily, Southern Italy. Int. J. Vitam. Nutr. Res. 2013, 83, 355–366. [Google Scholar] [CrossRef] [PubMed]
- Lehto, E.; Ray, C.; Velde, S.T.; Petrova, S.; Duleva, V.; Krawinkel, M.; Behrendt, I.; Papadaki, A.; Kristjansdottir, A.; Thorsdottir, I.; et al. Mediation of parental educational level on fruit and vegetable intake among schoolchildren in ten European countries. Public Health Nutr. 2014, 18, 89–99. [Google Scholar] [CrossRef]
- Desbouys, L.; De Ridder, K.; Rouche, M.; Castetbon, K. Food Consumption in Adolescents and Young Adults: Age-Specific Socio-Economic and Cultural Disparities (Belgian Food Consumption Survey 2014). Nutriens 2019, 11, 1520. [Google Scholar] [CrossRef] [PubMed]
- Di Noia, J.; Byrd-Bredbenner, C. Determinants of fruit and vegetable intake in low-income children and adolescents. Nutr. Rev. 2014, 72, 575–590. [Google Scholar] [CrossRef]
- Drewnoswski, A.; Rhem, C. Socioeconomic gradient in consumption of whole fruit and 100% fruit juice among US children and adults. Nutr. J. 2015, 14, 3. [Google Scholar] [CrossRef]
- Nikolić, M.; Glibetić, M.; Gurinović, M.; Milešević, J.; Khokhar, S.; Chillo, S.; Abaravicius, J.A.; Bordoni, A.; Capozzi, F. Identifying critical nutrient intake in groups at risk of poverty in Europe: The CHANCE project approach. Nutrients 2014, 6, 1374–1393. [Google Scholar] [CrossRef]
- Schröder, H.; Gomez, S.F.; Ribas-Barba, L.; Pérez-Rodrigo, C.; Bawaked, R.A.; Fíto, M.; Serra-Majem, L. Monetary Diet Cost, Diet Quality, and Parental Socioeconomic Status in Spanish Youth. PLoS ONE 2016, 11, e0161422. [Google Scholar] [CrossRef]
- European Food Safety Authoruty. Guidance on the EU Menu Methodology. EFSA J. 2014, 12, 3944. [Google Scholar]
- Leis, R.; Rojo, T. Cardiovascular risk factors among obese children and adolescents. The Galinut Study. JPGN. 2004, 39 (Suppl. 1), S468–S469. [Google Scholar]
- Leis, R.; Pavón, P.; Queiro, T.; Recarey, D.; Tojo, R. Atherogenic diet and blood lipid profile in children and adolescents from Galicia, NW Spain. The Galinut Study. Acta Paediatr. 1999, 88, 19–23. [Google Scholar] [CrossRef] [PubMed]
- Subdirección General de Higiene de Los Alimentos. Consumo de Alimentos y Estado Nutricional de la Población Escolar de la Comunidad Autónoma de Madrid; Ministerio de Sanidad y Consumo: Madrid, Spain, 1994. [Google Scholar]
- Moreiras, O.; Carbajal, A.; Cabrera, L.; Cuadrado, C. Tablas de Composición de Alimentos. Guía de Practices, 18th ed.; Pirámide: Madrid, Spain, 2016. [Google Scholar]
- Pastor, R. Programación de menús infantiles. In Libro Blanco de la Nutrición Infantil en España; Rivero, M., Moreno, L., Dalmau, J., Moreno, J., Aliaga, A., García, A., Varela, G., Ávila, J.M., Eds.; Prensas de la Universidad de Zaragoza: Zaragoza, Spain, 2015; pp. 325–331. [Google Scholar]
- Centro de Investigación de Endocrinología y Nutrición Clínica. Calculadora de Dietas. 2010. Available online: http://www.ienva.org/CalcDieta/ (accessed on 28 July 2020).
- Ministerio de Sanidad, Servicios Sociales e Igualdad. Ministerio de Ciencia e Innovación. Base de Datos Española de Composición de Alimentos (BEDCA). Available online: http://www.bedca.net/bdpub/index.php (accessed on 27 July 2014).
- Alberti-Fidanza, A.; Fidanza, F. Mediterranean Adequacy Index of Italian diets. Public Health Nutr. 2004, 7, 937–941. [Google Scholar] [CrossRef] [PubMed]
- Ministerio de Agricultura, Pesca y Alimentación. Base de Datos de Consumo en Hogares. Available online: https://www.mapa.gob.es/app/consumo-en-hogares/consulta11.asp (accessed on 28 July 2020).
- Albuquerque, G.; Moreira, P.; Rosário, R.; Araújo, A.; Teixeira, V.H.; Lopes, O.; Padrão, P. Adherence to the Mediterranean diet in children: Is it associated with economic cost? Porto Biomed. J. 2017, 2, 115–119. [Google Scholar] [CrossRef]
- Rydén, P.; Hagfors, L. Diet cost, diet quality and socio-economic position: How are they related and what contributes to differences in diet costs? Public Health Nutr. 2011, 14, 1680–1692. [Google Scholar] [CrossRef]
- Alexy, U.; Schwager, V.; Kersting, M. Diet quality and diet costs in German children and adolescents. Eur. J. Clin. Nutr. 2014, 68, 1175–1176. [Google Scholar] [CrossRef]
- Arcila-Agudelo, A.M.; Ferrer-Svoboda, C.; Torres-Fernàndez, T.; Farran-Codina, A. Determinants of Adherence to Healthy Eating Patterns in a Population of Children and Adolescents: Evidence on the Mediterranean Diet in the City of Mataró (Catalonia, Spain). Nutrients 2019, 11, 854. [Google Scholar] [CrossRef]
- Naska, A.; Trichopoulou, A. Back to the future: The Mediterranean diet paradigm. Nutr. Metab. Cardiovasc. Dis. 2014, 24, 216–219. [Google Scholar] [CrossRef]
- Grao-Cruces, A.; Nuviala, A.; Fernández- Martínez, A.; Porcel-Gálvez, A.; Moral-García, J.; Martínez-López, E. Adherencia a la dieta mediteránea en adolescentes rurales y urbanos del sur de España, satisfacción con la vida, antropometría y actividades físicas y sedentarias. Nutr. Hosp. 2013, 28, 1129–1135. [Google Scholar]
- Lazarou, C.; Panagiotakos, D.B.; Matalas, A.-L. Level of adherence to the Mediterranean diet among children from Cyprus: The CYKIDS study. Public Health Nutr. 2009, 12, 991–1000. [Google Scholar] [CrossRef]
- Archero, F.; Ricotti, R.; Solito, A.; Carrera, D.; Civello, F.; Di Bella, R.; Bellone, S.; Prodam, F. Adherence to the Mediterranean Diet among School Children and Adolescents Living in Northern Italy and Unhealthy Food Behaviors Associated to Overweight. Nutrients 2018, 10, 1322. [Google Scholar] [CrossRef] [PubMed]
- Metro, D.; Tardugno, R.; Papa, M.; Bisignano, C.; Manasseri, L.; Calabrese, G.; Gervasi, T.; Dugo, G.; Cicero, N. Adherence to the Mediterranean diet in a Sicilian student population. Nat. Prod. Res. 2018, 32, 1775–1781. [Google Scholar] [CrossRef] [PubMed]
- Peng, W.; Goldsmith, R.; Berry, E.M. Demographic and lifestyle factors associated with adherence to the Mediterranean diet in relation to overweight/obesity among Israeli adolescents: Findings from the Mabat Israeli national youth health and nutrition survey. Public Health Nutr. 2016, 20, 883–892. [Google Scholar] [CrossRef] [PubMed]
- Zapico, A.; Blández, J.; Fernández, E. Sobrepeso, obesidad y adecuación a la dieta mediterránea en adolescentes de la Comunidad de Madrid. Arch. Med. Deporte 2010, 27, 271–280. [Google Scholar]
- Kontogianni, M.D.; Vidra, N.; Farmaki, A.-E.; Koinaki, S.; Belogianni, K.; Sofrona, S.; Magkanari, F.; Yannakoulia, M. Adherence Rates to the Mediterranean Diet Are Low in a Representative Sample of Greek Children and Adolescents. J. Nutr. 2008, 138, 1951–1956. [Google Scholar] [CrossRef]
- Darmon, N.; Briend, A.; Drewnowski, A. Energy-dense diets are associated with lower diet costs: A community study of French adults. Public Health Nutr. 2004, 7, 21–27. [Google Scholar] [CrossRef]
- Arija, V. Métodos de valoración del consumo alimentario. In Nutrición y Dietética Clínica; Salas-Salvadó, J., Bonada, A., Trallero, R., Saló, M., Burgos, R., Eds.; Elsevier Masson: Barcelona, Spain, 2014; pp. 67–82. [Google Scholar]
- Arija, V.; Abellana, R.; Ribot, B.; Ramón, J.M. Biases and adjustments in nutritional assessments from dietary questionnaires. Nutr. Hosp. 2015, 31, 113–118. [Google Scholar]
- Falomir, Z.; Arregui, M.; Madueño, F.; Corella, D. Coltell, Óscar Automation of Food Questionnaires in Medical Studies: A state-of-the-art review and future prospects. Comput. Biol. Med. 2012, 42, 964–974. [Google Scholar] [CrossRef]
- Illner, A.-K.; Freisling, H.; Boeing, H.; Huybrechts, I.; Crispim, S.P.; Slimani, N. Review and evaluation of innovative technologies for measuring diet in nutritional epidemiology. Int. J. Epidemiol. 2012, 41, 1187–1203. [Google Scholar] [CrossRef]


| Total (n = 130) | Boys (n = 69) | Girls (n = 61) | p | |
|---|---|---|---|---|
| Age (years: mean ± SEM | 9.51 ± 0.159 | 9.54 ± 0.226 | 9.48 ± 0.224 | 0.849 |
| Physical activity (hours/week): mean ± SEM | 5.53 ± 0.225 | 5.58 ± 0.272 | 5.47 ± 0.370 | 0.804 |
| Fast-food restaurants (days/month): mean ± SEM | 1.39 ± 0.132 | 1.29 ± 0.150 | 1.51 ± 0.225 | 0.412 |
| Food supplements: n (%) | 6 (4.6) | 2 (2.9) | 4 (6.6) | 0.321 |
| Kind of water: | 0.351 | |||
| − Faucet: n (%) | 30 (23.1) | 18 (26.1) | 12 (19.7) | |
| − Bottled: n (%) | 88 (67.7) | 43 (62.3) | 45 (73.8) | |
| − Other: n (%) | 12 (9.2) | 8 (11.6) | 4 (6.6) | |
| Breastfeeding: n (%) | 114 (87.7) | 58 (84.1) | 56 (91.8) | 0.18 |
| Q1 | Q2 | Q3 | Q4 | Q5 | ||
|---|---|---|---|---|---|---|
| €/day | Total | 2.49 (2.37–2.62) | 3.13 (3.08–3.17) | 3.55 (3.50–3.60) | 4.03 (3.97–4.10) | 4.64 (4.50–4.78) |
| Boys | 7 (10.1%) | 20 (29.0%) | 10 (14.5%) | 15 (21.7%) | 17 (24.6%) | |
| 2.54 (2.27–2.81) | 3.12 (3.07–3.18) | 3.48 (3.40–3.56) | 4.06(3.98–4.14) | 4.61(4.40–4.81) | ||
| Girls | 19 (31.1%) | 6 (9.8%) | 16 (26.2%) | 11 (18.0%) | 9 (14.8%) | |
| 2.47 (2.32–2.63) | 3.13 (3.02–3.25) | 3.60 (3.54–3.66) | 4.00 (3.90–4.11) | 4.69 (4.51–4.87) | ||
| p | 0.636 | 0.856 | 0.015 | 0.369 | 0.572 | |
| €/1000 kcal/day | Total | 1.32 (1.24–1.40) | 1.66 (1.61–1.70) | 1.92 (1.89–1.95) | 2.15 (2.11–2.19) | 2.59 (2.49–2.70) |
| Boys | 7 (10.1%) | 16 (23.2%) | 18 (26.1%) | 16 (23.2%) | 12 (17.4%) | |
| 1.27 (1.14–1.39) | 1.64 (1.58–1.70) | 1.93 (1.89–1.97) | 2.17 (2.11–2.22) | 2.62 (2.45–2.80) | ||
| Girls | 19 (31.1%) | 10 (16.4%) | 8 (13.1%) | 10 (16.4%) | 14 (23.0%) | |
| 1.34 (1.24–1.45) | 1.69 (1.62–1.75) | 1.92 (1.90–1.94) | 2.13 (2.05–2.20) | 2.57 (2.42–2.72) | ||
| p | 0.398 | 0.311 | 0.688 | 0.381 | 0.607 |
| B | Standard Error | p (Wald) | OR (Exp(B)) | 95%CI | |
|---|---|---|---|---|---|
| €/day | 0.495 | 0.448 | 0.269 | 1.640 | 0.682; 3.944 |
| €/1000 kcal/day | 1.103 | 0.432 | 0.011 | 3.012 | 1.291; 7.026 |
Publisher’s Note: MDPI stays neutral with regard to jurisdictional claims in published maps and institutional affiliations. |
© 2021 by the authors. Licensee MDPI, Basel, Switzerland. This article is an open access article distributed under the terms and conditions of the Creative Commons Attribution (CC BY) license (http://creativecommons.org/licenses/by/4.0/).
Share and Cite
Pastor, R.; Pinilla, N.; Tur, J.A. The Economic Cost of Diet and Its Association with Adherence to the Mediterranean Diet in a Cohort of Spanish Primary Schoolchildren. Int. J. Environ. Res. Public Health 2021, 18, 1282. https://doi.org/10.3390/ijerph18031282
Pastor R, Pinilla N, Tur JA. The Economic Cost of Diet and Its Association with Adherence to the Mediterranean Diet in a Cohort of Spanish Primary Schoolchildren. International Journal of Environmental Research and Public Health. 2021; 18(3):1282. https://doi.org/10.3390/ijerph18031282
Chicago/Turabian StylePastor, Rosario, Noemi Pinilla, and Josep A. Tur. 2021. "The Economic Cost of Diet and Its Association with Adherence to the Mediterranean Diet in a Cohort of Spanish Primary Schoolchildren" International Journal of Environmental Research and Public Health 18, no. 3: 1282. https://doi.org/10.3390/ijerph18031282
APA StylePastor, R., Pinilla, N., & Tur, J. A. (2021). The Economic Cost of Diet and Its Association with Adherence to the Mediterranean Diet in a Cohort of Spanish Primary Schoolchildren. International Journal of Environmental Research and Public Health, 18(3), 1282. https://doi.org/10.3390/ijerph18031282

