Effects of Exposure to Indoor Fine Particulate Matter on Atopic Dermatitis in Children
Abstract
:1. Introduction
2. Materials and Methods
2.1. Study Participants and AD Symptom Monitoring
2.2. Assessment of Indoor PM2.5 Exposure
2.3. Covariates
2.4. Statistical Analysis
3. Results
3.1. Characteristics of AD Patients and Household Environments
3.2. Exposure Assessment of Indoor PM2.5
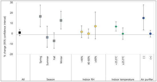
3.3. Effects of PM2.5 on AD Symptoms
4. Discussion
5. Conclusions
Supplementary Materials
Author Contributions
Funding
Institutional Review Board Statement
Informed Consent Statement
Data Availability Statement
Conflicts of Interest
References
- Cohen, A.J.; Brauer, M.; Burnett, R.; Anderson, H.R.; Frostad, J.; Estep, K.; Balakrishnan, K.; Brunekreef, B.; Dandona, L.; Dandona, R.; et al. Estimates and 25-year trends of the global burden of disease attributable to ambient air pollution: An analysis of data from the Global Burden of Diseases Study 2015. Lancet 2017, 389, 1907–1918. [Google Scholar] [CrossRef] [Green Version]
- Brook, R.D.; Rajagopalan, S.; Pope, C.A., 3rd; Brook, J.R.; Bhatnagar, A.; Diez-Roux, A.V.; Holguin, F.; Hong, Y.; Luepker, R.V.; Mittleman, M.A.; et al. Particulate matter air pollution and cardiovascular disease: An update to the scientific statement from the American Heart Association. Circulation 2010, 121, 2331–2378. [Google Scholar] [CrossRef] [Green Version]
- Kim, Y.M.; Kim, J.; Han, Y.; Jeon, B.H.; Cheong, H.K.; Ahn, K. Short-term effects of weather and air pollution on atopic dermatitis symptoms in children: A panel study in Korea. PLoS ONE 2017, 12, e0175229. [Google Scholar] [CrossRef] [PubMed] [Green Version]
- Kim, Y.M.; Kim, J.; Han, Y.; Lee, B.J.; Choi, D.C.; Cheong, H.K.; Jeon, B.H.; Oh, I.; Bae, G.N.; Lee, J.Y.; et al. Comparison of diverse estimation methods for personal exposure to air pollutants and associations with allergic symptoms: The Allergy & Gene-Environment Link (ANGEL) study. Sci. Total Environ. 2017, 579, 1127–1136. [Google Scholar] [PubMed]
- Mirabelli, M.C.; Vaidyanathan, A.; Flanders, W.D.; Qin, X.; Garbe, P. Outdoor PM2.5, Ambient Air Temperature, and Asthma Symptoms in the Past 14 Days among Adults with Active Asthma. Environ. Health Perspect. 2016, 124, 1882–1890. [Google Scholar] [CrossRef] [Green Version]
- Chen, F.; Lin, Z.; Chen, R.; Norback, D.; Liu, C.; Kan, H.; Deng, Q.; Huang, C.; Hu, Y.; Zou, Z.; et al. The effects of PM2.5 on asthmatic and allergic diseases or symptoms in preschool children of six Chinese cities, based on China, Children, Homes and Health (CCHH) project. Environ. Pollut. 2018, 232, 329–337. [Google Scholar] [CrossRef] [PubMed]
- Tham, E.H.; Leung, D.Y. Mechanisms by Which Atopic Dermatitis Predisposes to Food Allergy and the Atopic March. Allergy Asthma Immunol. Res. 2019, 11, 4–15. [Google Scholar] [CrossRef]
- Lee, J.Y.; Yang, H.K.; Kim, M.; Kim, J.; Ahn, K. Is the prevalence of atopic dermatitis in Korean children decreasing?: National Database 2009-2014. Asian Pac. J. Allergy Immunol. 2017, 35, 144–149. [Google Scholar] [PubMed]
- Ahn, K. The role of air pollutants in atopic dermatitis. J. Allergy Clin. Immunol. 2014, 134, 993–999. [Google Scholar] [CrossRef]
- Kim, J.; Kim, B.E.; Ahn, K.; Leung, D.Y.M. Interactions Between Atopic Dermatitis and Staphylococcus aureus Infection: Clinical Implications. Allergy Asthma Immunol. Res. 2019, 11, 593–603. [Google Scholar] [CrossRef] [PubMed]
- Penard-Morand, C.; Raherison, C.; Charpin, D.; Kopferschmitt, C.; Lavaud, F.; Caillaud, D.; Annesi-Maesano, I. Long-term exposure to close-proximity air pollution and asthma and allergies in urban children. Eur. Respir. J. 2010, 36, 33–40. [Google Scholar] [CrossRef] [Green Version]
- Kathuria, P.; Silverberg, J.I. Association of pollution and climate with atopic eczema in US children. Pediatr. Allergy Immunol. 2016, 27, 478–485. [Google Scholar] [CrossRef] [PubMed]
- Baek, J.O.; Cho, J.; Roh, J.Y. Associations between ambient air pollution and medical care visits for atopic dermatitis. Environ. Res. 2021, 195, 110153. [Google Scholar] [CrossRef] [PubMed]
- Song, S.; Lee, K.; Lee, Y.M.; Lee, J.H.; Lee, S.I.; Yu, S.D.; Paek, D. Acute health effects of urban fine and ultrafine particles on children with atopic dermatitis. Environ. Res. 2011, 111, 394–399. [Google Scholar] [CrossRef]
- Oh, I.; Lee, J.; Ahn, K.; Kim, J.; Kim, Y.M.; Sun, S.C.; Kim, Y. Association between particulate matter concentration and symptoms of atopic dermatitis in children living in an industrial urban area of South Korea. Environ. Res. 2018, 160, 462–468. [Google Scholar] [CrossRef]
- Yang, W.; Lee, K.; Park, G.; Yoon, C.; Son, B.S.; Jeon, J.M. Microenvironmental Time Activity Patterns of Weekday and Weekend on Korean. J. Korean Soc. Indoor Environ. 2009, 6, 267–274. [Google Scholar]
- Habre, R.; Moshier, E.; Castro, W.; Nath, A.; Grunin, A.; Rohr, A.; Godbold, J.; Schachter, N.; Kattan, M.; Coull, B.; et al. The effects of PM2.5 and its components from indoor and outdoor sources on cough and wheeze symptoms in asthmatic children. J. Expo. Sci. Environ. Epidemiol. 2014, 24, 380–387. [Google Scholar] [CrossRef] [Green Version]
- Hanifin, J.; Rajka, G. Diagnostic features of atopic dermatitis. Acta Derm. Venereol. 1980, 92, 44–47. [Google Scholar]
- Stalder, J.F.; Taïeb, A.; Atherton, D.J.; Bieber, P.; Bonifazi, E.; Broberg, A.; Calza, A.; Coleman, R.; De Prost, Y.; Gelmetti, C.; et al. Severity scoring of atopic dermatitis: The SCORAD index: Consensus Report of the European Task Force on Atopic Dermatitis. Dermatology 1993, 186, 23–31. [Google Scholar]
- Lee, J.Y.; Kim, M.; Yang, H.K.; Kim, H.M.; Cho, J.; Kim, Y.M.; Lim, I.S.; Cheong, H.K.; Kim, H.S.; Sohn, I.; et al. Reliability and validity of the Atopic Dermatitis Symptom Score (ADSS). Pediatr. Allergy Immunol. 2018, 29, 290–295. [Google Scholar] [CrossRef]
- Kim, Y.M.; Kim, J.; Ha, S.C.; Ahn, K. Harmful Effect of Indoor Formaldehyde on Atopic Dermatitis in Children: A Longitudinal Study. Allergy Asthma Immunol. Res. 2021, 13, 468–478. [Google Scholar] [CrossRef] [PubMed]
- Langan, S.M.; Bourke, J.F.; Silcocks, P.; Williams, H.C. An exploratory prospective observational study of environmental factors exacerbating atopic eczema in children. Br. J. Dermatol. 2006, 154, 979–980. [Google Scholar] [CrossRef]
- Kim, J.B.; Lee, G.; Ryu, S.H.; Lee, J.Y.; Woo, S.-H.; Lee, S.-B.; Kim, K.H.; Yun, S.-T.; Bae, G.-N. Indoor air pollution of a high-rise apartment caused by combustion sources in winter. Par. Aerosol. Res. 2014, 10, 119–130. [Google Scholar] [CrossRef]
- Song, P.; Wang, L.; Hui, Y.; Li, R. PM2.5 Concentrations indoors and outdoors in heavy air pollution days in Winter. Procedia Eng. 2015, 121, 1902–1906. [Google Scholar] [CrossRef] [Green Version]
- Uekert, S.J.; Akan, G.; Evans, M.D.; Li, Z.; Roberg, K.; Tisler, C.; Dasilva, D.; Anderson, E.; Gangnon, R.; Allen, D.B.; et al. Sex-related differences in immune development and the expression of atopy in early childhood. J. Allergy Clin. Immunol. 2006, 118, 1375–1381. [Google Scholar] [CrossRef]
- Stone, M.R.; Faulkner, G.E. Outdoor play in children: Associations with objectively-measured physical activity, sedentary behavior and weight status. Prev. Med. 2014, 65, 122–127. [Google Scholar] [CrossRef]
- Fish, E.N. The X-files in immunity: Sex-based differences predispose immune responses. Nat. Rev. Immunol. 2008, 8, 737–744. [Google Scholar] [CrossRef] [PubMed]
- Noh, S.R.; Kim, J.S.; Kim, E.H.; Jeon, B.H.; Kim, J.H.; Kim, Y.M.; Kim, J.; Han, Y.; Ahn, K.; Cheong, H.K. Spectrum of susceptibility to air quality and weather in individual children with atopic dermatitis. Pediatr. Allergy Immunol. 2019, 30, 179–187. [Google Scholar] [CrossRef]
- Ngoc, L.T.N.; Park, D.; Lee, Y.; Lee, Y.C. Systematic Review and Meta-Analysis of Human Skin Diseases Due to Particulate Matter. Int. J. Environ. Res. Public Health 2017, 14, 1458. [Google Scholar] [CrossRef] [Green Version]
- Niwa, Y.; Sumi, H.; Kawahira, K.; Terashima, T.; Nakamura, T.; Akamatsu, H. Protein oxidative damage in the stratum corneum: Evidence for a link between environmental oxidants and the changing prevalence and nature of atopic dermatitis in Japan. Br. J. Dermatol. 2003, 149, 248–254. [Google Scholar] [CrossRef]
- Dijkhoff, I.M.; Drasler, B.; Karakocak, B.B.; Petri-Fink, A.; Valacchi, G.; Eeman, M.; Rothen-Rutishauser, B. Impact of airborne particulate matter on skin: A systematic review from epidemiology to in vitro studies. Part. Fibre Toxicol. 2020, 17, 35. [Google Scholar] [CrossRef] [PubMed]
- Jin, S.P.; Li, Z.; Choi, E.K.; Lee, S.; Kim, Y.K.; Seo, E.Y.; Chung, J.H.; Cho, S. Urban particulate matter in air pollution penetrates into the barrier-disrupted skin and produces ROS-dependent cutaneous inflammatory response in vivo. J. Dermatol. Sci. 2018, 91, 175–183. [Google Scholar] [CrossRef] [PubMed]
- Kim, B.E.; Kim, J.; Goleva, E.; Berdyshev, E.; Lee, J.; Vang, K.A.; Lee, U.H.; Han, S.; Leung, S.; Hall, C.F.; et al. Particulate matter causes skin barrier dysfunction. JCI Insight 2021, 6, e145185. [Google Scholar] [CrossRef] [PubMed]
- Hidaka, T.; Ogawa, E.; Kobayashi, E.H.; Suzuki, T.; Funayama, R.; Nagashima, T.; Fujimura, T.; Aiba, S.; Nakayama, K.; Okuyama, R.; et al. The aryl hydrocarbon receptor AhR links atopic dermatitis and air pollution via induction of the neurotrophic factor artemin. Nat. Immunol. 2017, 18, 64–73. [Google Scholar] [CrossRef]
- Kabashima, K.; Otsuka, A.; Nomura, T. Linking air pollution to atopic dermatitis. Nat. Immunol. 2016, 18, 5–6. [Google Scholar] [CrossRef] [PubMed]
- Kim, Y.M.; Oh, I.; Kim, J.; Kang, Y.H.; Ahn, K. Harmful Effects of Ambient Nitrogen Dioxide on Atopic Dermatitis: Comparison of Exposure Assessment Based on Monitored Concentrations and Modeled Estimates. Atmosphere 2020, 11, 921. [Google Scholar] [CrossRef]



| Characteristics | Total |
|---|---|
| Sex (boys:girls) | 40:24 |
| Age (yrs) | 4.5 ± 3.7 |
| BMI (kg/m2) | 17.1 ± 2.4 |
| SCORAD at enrollment | 33.2 ± 13.9 |
| Total IgE (U/L) | 799.1 ± 1392.5 |
| Sensitization, n (%) | 50/64 (78.1%) |
| Food allergens ‡ | 47/64 (71.2%) |
| Inhalant allergens § | 23/64 (46.0%) |
| Presence of family allergic diseases, n (%) | 38/62 (61.3%) |
| Use of air purifier, n (%) | 55/62 (88.7%) |
| No. of record (person-days) | 9321 |
| Presence of AD symptoms (%) | 49.3 |
| Presence of fever (%) | 0.9 |
| Use of TCS (%) | 53.3 |
| Classification | Subgroups | Number (Person-Days) | Mean ± SD (µg/m3) | p-Value * |
|---|---|---|---|---|
| All | 9321 | 28.7 ± 24.3 | ||
| Season | Spring | 2093 | 28.0 ± 24.8 | - |
| Summer | 2443 | 20.8 ± 15.0 | <0.0001 | |
| Fall | 2781 | 22.9 ± 19.3 | <0.0001 | |
| Winter | 2004 | 47.1 ± 29.6 | <0.0001 | |
| Indoor RH | <40% | 2748 | 36.5 ± 28.1 | - |
| 40–60% | 5057 | 26.0 ± 23.3 | <0.0001 | |
| ≥60% | 1516 | 25.5 ± 21.7 | <0.0001 | |
| Indoor temperature | <25.5 °C | 4570 | 35.4 ± 27.4 | <0.0001 |
| ≥25.5 °C | 4751 | 22.3 ± 18.7 | ||
| Air purifier | (−) | 785 | 39.9 ± 28.2 | <0.0001 |
| (+) | 8429 | 27.8 ± 23.7 |
| Classification | Subgroups | Number (Person-Days) | Mean ± SD (µg/m3) | p-Value * |
|---|---|---|---|---|
| All | 9321 | 28.7 ± 24.3 | ||
| Sex | Boys | 6410 | 30.7 ± 25.2 | <0.0001 |
| Girls | 2911 | 24.4 ± 21.6 | ||
| Age | <6 yrs | 6924 | 28.6 ± 24.4 | 0.4362 |
| ≥6 yrs | 2397 | 29.1 ± 23.9 | ||
| Family history of allergic diseases | (−) | 3474 | 25.8 ± 22.2 | <0.0001 |
| (+) | 5740 | 30.7 ± 25.4 | ||
| Inhalant allergen sensitization | (−) | 3501 | 28.2 ± 25.4 | 0.0026 |
| (+) | 3908 | 30.0 ± 23.7 | ||
| SCORAD at enrollment | <30.7 | 4624 | 28.4 ± 24.7 | - |
| 30.7–40.9 | 2269 | 29.6 ± 24.8 | 0.0525 | |
| ≥40.9 | 2428 | 26.7 ± 21.4 | 0.0003 | |
| Inhalant allergen sensitization (+) PLUS SCORAD | <30.7 (median) | 2379 | 31.2 ± 24.5 | <0.0001 |
| ≥30.7 (median) | 1529 | 28.0 ± 22.3 |
Publisher’s Note: MDPI stays neutral with regard to jurisdictional claims in published maps and institutional affiliations. |
© 2021 by the authors. Licensee MDPI, Basel, Switzerland. This article is an open access article distributed under the terms and conditions of the Creative Commons Attribution (CC BY) license (https://creativecommons.org/licenses/by/4.0/).
Share and Cite
Kim, Y.-M.; Kim, J.; Ha, S.-C.; Ahn, K. Effects of Exposure to Indoor Fine Particulate Matter on Atopic Dermatitis in Children. Int. J. Environ. Res. Public Health 2021, 18, 11509. https://doi.org/10.3390/ijerph182111509
Kim Y-M, Kim J, Ha S-C, Ahn K. Effects of Exposure to Indoor Fine Particulate Matter on Atopic Dermatitis in Children. International Journal of Environmental Research and Public Health. 2021; 18(21):11509. https://doi.org/10.3390/ijerph182111509
Chicago/Turabian StyleKim, Young-Min, Jihyun Kim, Seoung-Chul Ha, and Kangmo Ahn. 2021. "Effects of Exposure to Indoor Fine Particulate Matter on Atopic Dermatitis in Children" International Journal of Environmental Research and Public Health 18, no. 21: 11509. https://doi.org/10.3390/ijerph182111509
APA StyleKim, Y.-M., Kim, J., Ha, S.-C., & Ahn, K. (2021). Effects of Exposure to Indoor Fine Particulate Matter on Atopic Dermatitis in Children. International Journal of Environmental Research and Public Health, 18(21), 11509. https://doi.org/10.3390/ijerph182111509

