Pharmaceutical Products and Pesticides Toxicity Associated with Microplastics (Polyvinyl Chloride) in Artemia salina
Abstract
:1. Introduction
2. Material and Methods
2.1. Chemicals
2.2. Organisms and Sample Preparation
2.3. Exposure Experiments
2.3.1. MP Intake Bioassay
2.3.2. Pesticides, Pharmaceutical Products, MPs and Reference Toxicity Test
2.3.3. Sample Preparations
2.4. Enzymatic Assays
2.5. Data and Statistical Analysis
3. Results
3.1. Toxicity Reference Test
3.2. Toxicity Test: Pharmaceuticals, Pesticides and MPs
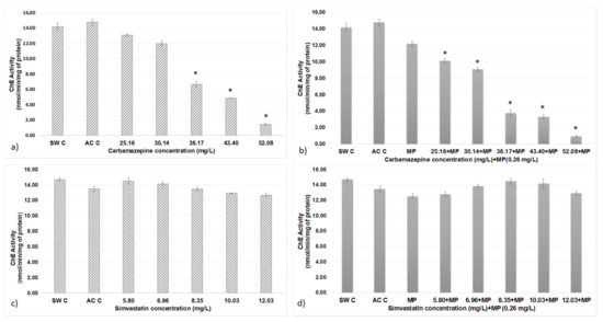
3.3. Enzymatic Assay
4. Discussion
5. Conclusions
Author Contributions
Funding
Institutional Review Board Statement
Informed Consent Statement
Acknowledgments
Conflicts of Interest
References
- Barboza, L.; Vieira, L.; Branco, V.; Figueiredo, N.; Carvalho, F.; Carvalho, C.; Guilhermino, L. Microplastics cause neurotoxicity, oxidative damage and energy-related changes and interact with the bioaccumulation of mercury in the European seabass, Dicentrarchus labrax (Linnaeus, 1758). Aquat. Toxicol. 2018, 195, 49–57. [Google Scholar] [CrossRef]
- Fonte, E.; Ferreira, P.; Guilhermino, L. Temperature rise and microplastics interact with the toxicity of the antibiotic cefalexin to juveniles of the common goby (Pomatoschistus microps): Post-exposure predatory behaviour, acetylcholinesterase activity and lipid peroxidation. Aquat. Toxicol. 2016, 180, 173–185. [Google Scholar] [CrossRef]
- Wardrop, P.; Shimeta, J.; Nugegoda, D.; Morrison, P.D.; Miranda, A.; Tang, M.; Clarke, B.O. Chemical pollutants sorbed to ingested microbeads from personal care products accumulate in fish. Environ. Sci. Technol. 2016, 50, 4037–4044. [Google Scholar] [CrossRef]
- Ter Halle, A.; Jeanneau, L.; Martignac, M.; Jardé, E.; Pedrono, B.; Brach, L.; Gigault, J. Nanoplastic in the north atlantic subtropical gyre. Environ. Sci. Technol. 2017, 51, 13689–13697. [Google Scholar] [CrossRef]
- Liu, Z.; Ojego, J.; Pruden, A.; Knowlton, K.F. Occurrence, fate and removal of synthetic oral contraceptives (SOCs) in the natural environment: A review. Sci. Total Environ. 2011, 409, 5149–5161. [Google Scholar] [CrossRef] [PubMed]
- Biel-Maeso, M.; Baena-Nogueras, R.M.; Corada-Fernández, C.; Lara-Martín, P.A. Science of the Total Environment Occurrence, distribution and environmental risk of pharmaceutically active compounds (PhACs) in coastal and ocean waters from the Gulf of Cadiz (SW Spain). Sci. Total Environ. 2018, 612, 649–659. [Google Scholar] [CrossRef]
- Barbosa, T.; Luiz Riveiro de Paiva, A.; Bezerra, M.M.M.; Carla, D.; Da Silva Pereira, J.J. Analysis of the presence of anti-inflammatories drugs in surface water: A case study in Beberibe river–PE Brazil. Chemosphere 2019, 222, 961–996. [Google Scholar] [CrossRef]
- Primrose, N.; Naicker, D.; Ncube, S.; Chimuka, L. Determination of naproxen, diclofenac and ibuprofen in Umgeni estuary and seawater: A case of northern Durban in KwaZulu–Natal Province of South Africa. Reg. Stud. Mar. Sci. 2019, 29, 100675. [Google Scholar]
- AEMPS. Agencia Española de Medicamentes y Productos Sanitarios. Utilización de Medicamentos Hipolipemiantes en España Durante el Periodo 2000–2012. Informe de Utilización de Medicamentos U/HLP/V1/17012014. 2014. Available online: https://www.aemps.gob.es/?s=HIPOLIPEMIANTES (accessed on 13 May 2021).
- AEMPS. Agencia Española de Medicamentes y Productos Sanitarios. Utilización de Medicamentos Antiepilépticos en España Durante el Periodo 2008–2016. Informe de Utilización de Medicamentos U/EPIL/V1/11/09/2017. 2017. Available online: https://www.aemps.gob.es/?s=antiepilepticos (accessed on 13 May 2021).
- Hernando, M.; Heath, E.; Petrovic, M.; Barcelo, D. Trace-level determination of pharmaceutical residues by LC-MS/MS in natural and treated waters. A pilot-Survey Study. Anal. Bioanal. Chem. 2006, 385, 985–991. [Google Scholar] [CrossRef]
- Neuparth, T.; Martins, C.; Santos, C.B.D.L.; Costa, M.H.; Martins, I.; Costa, P.M.; Santos, M.M. Hypocholesterolaemic pharmaceutical simvastatin disrupts reproduction and population growth of the amphipod Gammarus locusta at the ng/L range. Aquat. Toxicol. 2014, 155, 337–347. [Google Scholar] [CrossRef] [PubMed]
- Ellesat, K.S.; Tollefsen, K.; Åsberg, A.; Thomas, K.V.; Hylland, K. Cytotoxicity of atorvastatin and simvastatin on primary rainbow trout (Oncorhynchus mykiss) hepatocytes. Toxicol. In Vitro 2020, 24, 1610–1618. [Google Scholar] [CrossRef] [PubMed]
- Chen, H.; Gu, X.; Zeng, Q.; Mao, Z.; Liang, X.; Martyniuk, C.J. Carbamazepine disrupts molting hormone signaling and inhibits molting and growth of Eriocheir sinensis at environmentally relevant concentrations. Aquat. Toxicol. 2019, 208, 138–145. [Google Scholar] [CrossRef] [PubMed]
- Franzellitti, S.; Canesi, L.; Rajapaksha, M.A.; Whathsala, H.G.R.; Fabri, E. Microplastic exposure and effects in aquatic organisms: A physiological perspective Environ. Toxicol. Pharm. 2019, 68, 37–51. [Google Scholar] [CrossRef]
- Weichert, F.G.; Floeter, C.; Meza, A.S.; Kammann, U. Assessing the ecotoxicity of potentially neurotoxic substances-Evaluation of a behavioural parameter in the embryogenesis of Danio rerio. Chemosphere 2017, 186, 43–50. [Google Scholar] [CrossRef]
- De Souza, R.M.; Seibert, D.; Quesada, H.B.; Basetti, F.J.; Fagundes-Klen, M.R.; Bergamasco, R. Occurrence, impacts and general aspects of pesticides in surface water: A review. Process Saf. Environ. Protect. 2020, 135, 22–37. [Google Scholar] [CrossRef]
- Garrido, S.; Linares, M.; Campillo, A.J.; Albentosa, M. Effect of microplastics on the toxicity of chlorpyrifos to the microalgae Isochrysis galbana, clone T-ISO. Ecotox. Environ. Saf. 2019, 173, 103–109. [Google Scholar] [CrossRef]
- Huang, X.; Duan, W. Ecotoxicity of chlorpyrifos to aquatic organisms: A review. Ecotox. Environ. Saf. 2020, 200, 110731. [Google Scholar] [CrossRef] [PubMed]
- Albers, J.W.; Berent, S.; Garabrant, D.H.; Giordani, B.; Schweitzer, S.J.; Garrison, R.P.; Richardson, R.J. The effects of occupational exposure to chlorpyrifos on the neurologic examination of central nervous system function: A prospective cohort study. J. Occup. Environ. Med. 2004, 46, 367–378. [Google Scholar] [CrossRef] [PubMed]
- Racke, K.D. Environmental fate of chlorpyrifos. Rev. Environ. Contam. Toxicol. 1993, 131, 1–154. [Google Scholar] [PubMed]
- McAvoy, D.C.; Schatowitz, B.; Jacob, M.; Hauk, A.; Eckhoff, W.S. Measurement of triclosan in wastewater treatment systems. Environ. Toxicol. Chem. 2002, 21, 1323–1329. [Google Scholar] [CrossRef]
- Perron, M.M.; Ho, K.T.; Cantwell, M.G.; Burgess, R.M.; Pelleterier, M.C. Effects of triclosan on marine benthic and epibenthic organisms. Environ. Toxicol. Chem. 2012, 31, 1861–1866. [Google Scholar] [CrossRef] [PubMed]
- Ishibashi, H.; Matsumura, N.; Hirano, M.; Matsuoka, M.; Shiratsuchi, H.; Ishibashi, Y.; Takao, Y.; Arizono, K. Effects oftriclosan on the early life stages and reproduction of medaka Oryzias latipes and induction of hepatic vitellogenin. Aquat. Toxicol. 2007, 67, 167–179. [Google Scholar] [CrossRef]
- Levy, C.W.; Roujeinikova, A.; Sedelnikova, S.; Baker, P.J.; Stuitje, A.R.; Slabas, A.R.; Rice, D.W.; Raffertu, K.-B. Molecular basis of triclosan activity. Nature 1999, 398, 383–384. [Google Scholar] [CrossRef] [PubMed] [Green Version]
- Plastics Europe. An Analysis of European Plastics Production, Demand and Waste Data. Plastics-the Facts. 2019. Available online: https://www.plasticseurope.org/es/resources/publications/1804-plastics-facts-2019 (accessed on 13 May 2021).
- Lestari, P.; Trihadiningrum, Y. The impact of improper solid waste management to plastic pollution in Indonesian coast and marine environment. Mar. Pollut. Bull. 2019, 149, 110505. [Google Scholar] [CrossRef] [PubMed]
- Deudero, S.; Alomar, C. Mediterranean marine biodiversity under threat: Reviewing influence of marine litter on species. Mar. Pollut. Bull. 2015, 98, 58–68. [Google Scholar] [CrossRef] [PubMed]
- Magni, S.; Binelli, A.; Pittura, L.; Giacomo, C.; Della, C.; Carla, C.; Regoli, F. The fate of microplastics in an Italian Wastewater Treatment Plant. Sci. Total Environ. 2019, 652, 602–610. [Google Scholar] [CrossRef] [PubMed]
- Franco, A.A.; Arellano, J.M.; Albendín, G.; Rodríguez-Barroso, R.; Zahedi, S.; Quiroga, J.M.; Coello, M.D. Mapping microplastics in Cadiz (Spain): Occurrence of microplastics inmunicipal and industrial wastewaters. J. Water Process Eng. 2020, 38, 101596. [Google Scholar] [CrossRef]
- Franco, A.A.; Arellano, J.M.; Albendín, G.; Rodríguez-Barroso, R.; Quiroga, J.M.; Coello, M.D. Microplastic pollution in wastewater treatment plants in the city of Cádiz: Abundance, removal efficiency and presence in receiving water body. Sci. Total Environ. 2021, 776, 145795. [Google Scholar] [CrossRef]
- Yuan, W.; Zhou, Y.; Chen, Y.; Liu, X.; Wang, J. Toxicological effects of microplastics and heavy metals on the Daphnia magna. Sci. Total Environ. 2020, 746, 141254. [Google Scholar] [CrossRef] [PubMed]
- Li, J.; Zhang, K.; Zhang, H. Adsorption of antibiotics on microplastics. Environ. Pollut. 2018, 237, 460–467. [Google Scholar] [CrossRef]
- Rainieri, S.; Conlledo, N.; Larsen, B.K.; Granby, K.; Barranco, A. Combined effects of microplastics and chemical contaminants on the organ toxicity of zebra fish (Danio rerio). Environ. Res. 2018, 162, 135–143. [Google Scholar] [CrossRef]
- Webb, S.; Gawa, S.; Marsdenb, I.D.; McRae, N.K. Biomarker responses in New Zealand green-lipped mussels Perna canaliculus exposed to microplastics and triclosan. Ecotoxicol. Environ. Saf. 2020, 201, 110871. [Google Scholar] [CrossRef]
- Choi, J.Y.; Yu, J.; Yang, D.B.; Ra, K.; Kin, K.T.; Hong, G.H.; Shin, K.H. Acetylthiocholine (ATC)-Cleaving cholinesterase (ChE) activity as a potential biomarker of pesticide exposure in the Manila clam, Ruditapes philippinarum, of Korea. Mar. Environ. Res. 2011, 71, 162–168. [Google Scholar] [CrossRef]
- Thi, H.; Silvestre, F.; Scippo, M.; Thome, J.; Thanh, N.; Kestemont, P. Acetylcholinesterase activity as a biomarker of exposure to antibiotics and pesticides in the black tiger shrimp (Penaeus monodon). Ecotoxicol. Environ. Saf. 2009, 72, 1463–1470. [Google Scholar] [CrossRef]
- Albendín, M.G.; Mánuel-Vez, M.P.; Arellano, J.M. In vivo cholinesterase sensitivity of gilthead seabream (Sparus aurata) exposed to organophosphate compounds: Influence of biological factors. Ecol. Indic. 2021, 121, 107176. [Google Scholar] [CrossRef]
- Soto-Mancera, F.; Arellano, J.M.; Albendín, M.G. Carboxylesterase in Sparus aurata: Characterisation and sensitivity to organophosphorus pesticides and pharmaceutical products. Ecol. Indic. 2020, 109, 105603. [Google Scholar] [CrossRef]
- Nunes, B.; Carvalho, F.; Guilhermino, L. Effects of widely used pharmaceuticals and a detergent on oxidative stress biomarkers of the crustacean Artemia parthenogenetica. Chemosphere 2006, 62, 581–594. [Google Scholar] [CrossRef] [PubMed]
- Yu, P.; Liu, Z.; Wu, D.; Chen, M.; Lv, W.; Zhao, Y. Accumulation of polystyrene microplastics in juvenile Eriocheir sinensis and oxidative stress effects in the liver. Aquat. Toxicol. 2018, 200, 28–36. [Google Scholar] [CrossRef] [PubMed]
- Migliore, L.; Civitareale, C.; Brambilla, G.; Di Delupis, D.G. Toxicity of several important agricultural to Artemia. Water Res. 1997, 31, 1801–1806. [Google Scholar] [CrossRef]
- Libralato, G.; Prato, E.; Migliore, L.; Cicero, A.M.; Manfra, L. A review of toxicity testing protocols and endpoints with Artemia spp. Ecol. Indic. 2016, 69, 35–49. [Google Scholar] [CrossRef] [Green Version]
- Wang, Y.; Zhang, D.; Zhang, M.; Mu, J.; Ding, G.; Mao, Z.; Cao, Y.; Jin, F.; Cong, Y.; Wang, L.; et al. Effects of ingested polystyrene microplastics on brine shrimp, Artemia parthenogenetica. Environ. Pollut. 2019, 244, 715–722. [Google Scholar] [CrossRef]
- Luís, L.G.; Ferreira, P.; Fontea, E.; Oliveira, M.; Guilhermino, L. Does the presence of microplastics influence the acute toxicity of chromium (VI) to early juveniles of the common goby (Pomatoschistus microps)? A study with juveniles from two wild estuarine populations. Aquat. Toxicol. 2015, 164, 163–174. [Google Scholar] [CrossRef] [PubMed]
- Barboza, L.G.A.; Vieiro, L.R.; Gilhermino, L. Single and combined effects of microplastics and mercury on juveniles of the European seabass (Dicentrarchus labrax): Changes in behavioural responses and reduction of swimming velocity and resistance time. Environ. Pollut. 2018, 236, 1014–1019. [Google Scholar] [CrossRef] [PubMed]
- OECD. Daphnia sp., Acute Immobilisation. Guideline for testing of chemicals, 202. 2004. Available online: https://www.oecd.org/env/ehs/testing/Full%20list%20of%20Test%20Guidelines%20in%20English%20September%20%202014.pdf (accessed on 13 May 2021).
- Ellman, G.L.; Courtney, K.D.; Andres, V.; Featherstone, R.M. A new and rapid colorimetric determination of acetylcholinesterase activity. Biochem. Pharma 1961, 7, 88–95. [Google Scholar] [CrossRef]
- Albendín, G.; Arellano, J.M.; Mánuel-Vez, M.P.; Sarasquete, C.; Arufe, M.I. Characterization and in vitro sensitivity of cholinesterases of gilthead seabream (Sparus aurata) to organophosphate pesticides. Fish Physiol. Biochem. 2017, 43, 455–464. [Google Scholar] [CrossRef]
- Bradford, M.M. A Rapid and Sensitive Method for the Quantitation Microgram Quantities of Protein Utilizing the Principle of Protein-Dye Binding. Anal. Biochem. 1976, 254, 248–254. [Google Scholar] [CrossRef]
- Goldstein, M.C.; Rosenberg, M.; Cheng, L. Increased oceanic microplastic debris enhances oviposition in an endemic pelagic insect. Biol. Lett. 2021, 8, 817–820. [Google Scholar] [CrossRef] [Green Version]
- Dahl, U.; Gorokhova, E.; Breitholtz, M. Application of growth-related sublethal endpoints in ecotoxicological assessments using a harpacticoid copepod. Aquat. Toxicol. 2006, 77, 433–438. [Google Scholar] [CrossRef]
- Key, P.B.; Hoguet, J.; Reed, L.A.; Chung, K.W.; Fulton, M.H. Effects of the Statin Antihyperlipidemic Agent Simvastatin on Grass Shrimp, Palaemonetes pugio. Environ. Toxicol. 2008, 23, 153–160. [Google Scholar] [CrossRef]
- Ribeiro, S.; Torres, T.; Martins, R.; Santos, M.M. Toxicity screening of diclofenac, propranolol, sertraline and simvastatin using Danio rerio and Paracentrotus lividus embryo bioassays. Ecotox. Environ. Saf. 2015, 114, 67–74. [Google Scholar] [CrossRef] [Green Version]
- Key, P.B.; Hoguet, J.; Chung, K.W.; Venturella, J.J.; Pennington, P.L.; Fulton, M.H. Lethal and sublethal effects of simvastatin, irgarol, and PBDE-47 on the estuarine fish, Fundulus heteroclitus. J. Environ. Sci. Health 2009, 1234, 379–382. [Google Scholar] [CrossRef]
- Kim, Y.; Choi, K.; Jung, J.; Park, S.; Kim, P.G.; Park, J. Aquatic toxicity of acetaminophen, carbamazepine, cimetidine, diltiazem and six major sulfonamides, and their potential ecological risks in Korea. Environ. Int. 2007, 33, 370–375. [Google Scholar] [CrossRef] [PubMed]
- Ferrari, B.; Mons, R.; Vollat, B.; Fraysse, B.; Paxéus, N.; Lo Giudice, R.; Pollio, A.; Garric, J. Environmental risk assessment of six human pharmaceuticals: Are the current environmental risk assessment procedures sufficient for the protection of the aquatic environment? Environ. Toxicol. Chem. 2004, 23, 1344–1354. [Google Scholar] [CrossRef] [PubMed] [Green Version]
- Brandts, I.; Teles, M.; Gonçalves, A.P.; Barreto, A.; Franco-Martinez, L.; Tvarijonaviciute, A.; Martins, M.A.; Soares, A.M.V.M.; Tort, L.; Oliveira, M. Effects of nanoplastics on Mytilus galloprovincialis after individual and combined exposure with carbamazepine. Sci. Total Environ. 2018, 643, 775–784. [Google Scholar] [CrossRef]
- Gambardella, C.; Morgana, S.; Ferrando, S.; Bramini, M.; Piazza, V.; Costa, E.; Garaventa, F.; Faimali, M. Effects of polystyrene microbeads in marine planktonic crustaceans. Ecotox. Environ. Saf. 2017, 145, 250–257. [Google Scholar] [CrossRef] [PubMed]
- Siebel, A.M.; Rico, E.P.; Capiotti, K.M.; Piato, A.L.; Cusinato, C.T.; Franco, T.M.A.; Bogo, M.R.; Bonan, C.D. Toxicology in Vitro In vitro effects of antiepileptic drugs on acetylcholinesterase and ectonucleotidase activities in zebrafish (Danio rerio) brain. Toxicol. In Vitro 2010, 24, 1279–1284. [Google Scholar] [CrossRef]
- Nkoom, M.; Lu, G.; Liu, J.; Yang, H.; Dong, H. Bioconcentration of the antiepileptic drug carbamazepine and its physiological and biochemical effects on Daphnia magna. Ecotox. Environ. Saf. 2019, 172, 11–18. [Google Scholar] [CrossRef]
- Xu, X.; Lu, Y.; Zhang, D.; Wang, Y.; Zhou, X.; Xu, H.; Mei, Y. Toxic Assessment of Triclosan and Triclocarban on Artemia salina. Bull. Environ. Contam. Toxicol. 2015, 95, 728–733. [Google Scholar] [CrossRef]
- Iannacone, J.J.; Alvariño, L.; Valle Riestra, V.; Ymaña, B.; Argota, G.; Fimia, F.; Carhuapoma, M.; Castañeda, L. Toxicidad de agentes antiparasitarios, antimicrobianos e insecticidas sobre larvas del camarón salino Artemia franciscana (Crustacea: Artemiidae). Rev. Toxicol. 2016, 33, 1–38. [Google Scholar]
- Oliveira, R.; Domingues, I.; Grisolia, C.K.; Soares, A.M. Effects of triclosan on zebrafish early-life stages and adults. Environ. Sci. Pollut. Res. Int. 2009, 16, 679–688. [Google Scholar] [CrossRef]
- Syberg, K.; Nielsen, A.; Khan, F.R.; Banta, G.T.; Palmqvist, A.; Jepsen, P.M. Microplastic potentiates triclosan toxicity to the marine copepod Acartia tonsa. J. Toxicol. Environ. Health 2017, 80, 23–24. [Google Scholar] [CrossRef]
- Osuna, I.; López, D.; Galindo, J.G.; Riva, M.C. Evaluación ecológica del metilparatión, metilazinfós, clorpirifos, diazinón y metamidofos, en camarones del género Penaueus sp. Bol. Intexter 1997, 111, 65–71. [Google Scholar]
- Varó, I.; Serrano, R.; Navarro, J.C.; Lopez, F.J.; Amat, F. Acute lethal toxicity of the organophosphorus pesticide Chlorpyrifos to different species and strains of Artemia. Bull. Environ. Contam. Toxicol. 1998, 61, 778–785. [Google Scholar] [CrossRef] [Green Version]
- Baek, I.; Choi, H.J.; Rhee, J.S. Inhibitory effects of biocides on hatching and acetylcholinesterase activity in the brine shrimp Artemia salina. Toxicol. Environ. Health Sci. 2015, 7, 303–308. [Google Scholar] [CrossRef]
- Oliveira, M.; Ribeiro, A.; Hylland, K.; Guilhermino, L. Single and combined effects of microplastic and pyrene on juveniles (0+ group) of the common goby Pomatoschistus microps. Ecol. Indic. 2013, 34, 641–647. [Google Scholar] [CrossRef]
- Albendín, G.; Cabrera-Pozo, I.; Coello, D.; Rodríguez-Barroso, R.; Quiroga, J.M.; Arellano, J.M. Effects of triclosan and its mixed with microplastics on acetylcholinesterase present on head of Solea senegalensis. In XIX Seminario Ibérico de Química Marina; Cobelo, A., Nieto, O., Viñas, L., Álvarez-Salgado, X.A., Eds.; Universidade de Vigo: Vigo, Spain, 2018; pp. 97–98. [Google Scholar]
- Eder, M.L.; Oliva-Teles, L.; Pinto, R.; Carvalho, A.P.C.; Almeida, C.M.; Hornek-Gausterer, R.; Guimaraes, L. Microplastics as a vehicle of exposure to chemical contamination in freshwater systems: Current research status and way forward. J. Hazard. Mater. 2017, 417, 125980. [Google Scholar] [CrossRef] [PubMed]
- Wang, F.; Zhang, M.; Sha, W.; Wang, Y.; Hao, H.; Dou, Y.; Li, Y. Rewiew: Sorption behaviour and mechanisms of organic contaminants to nano and microplastics. Molecules 2020, 25, 1827. [Google Scholar] [CrossRef] [PubMed]
- Bhagat, J.; Nishimura, N.; Shimada, Y. Toxicological interactions of microplastics/nanoplastics and environmental contaminants: Current knowledge and future perspectives. J. Hazard. Mater. 2020, 405, 123913. [Google Scholar] [CrossRef]





| Sample Replication | Total | |||
|---|---|---|---|---|
| MP | MP/No MP | MP/No MP | MPs/No MP | MPs/No MP |
| 0.26 mg/dm3 | 2/8 | 2/8 | 1/9 | 5/30 |
| 0.69 mg/dm3 | 4/6 | 5/5 | 2/8 | 11/30 |
| 1.5 mg/dm3 | 3/7 | 7/3 | 9/1 | 19/30 |
| Emergent Contaminants | LC50 (mg/dm3) | 95% Limits |
|---|---|---|
| Simvastatin | 9.35 | 8.58–10.43 |
| Simvastatin + MP | 10.29 | 9.34–12.02 |
| Carbamazepine | 43.25 | 39.59–49.04 |
| Carbamazepine + MP | 46.50 | 41.95–55.72 |
| CPF | 0.006 | 0.002–0.009 |
| CPF + MP | 0.012 | 0.001–0.018 |
| TCS | 4.979 | 2.096–6.0872 |
| TCS + MP | 4.957 | 2.431–7.093 |
Publisher’s Note: MDPI stays neutral with regard to jurisdictional claims in published maps and institutional affiliations. |
© 2021 by the authors. Licensee MDPI, Basel, Switzerland. This article is an open access article distributed under the terms and conditions of the Creative Commons Attribution (CC BY) license (https://creativecommons.org/licenses/by/4.0/).
Share and Cite
Albendín, M.G.; Aranda, V.; Coello, M.D.; González-Gómez, C.; Rodríguez-Barroso, R.; Quiroga, J.M.; Arellano, J.M. Pharmaceutical Products and Pesticides Toxicity Associated with Microplastics (Polyvinyl Chloride) in Artemia salina. Int. J. Environ. Res. Public Health 2021, 18, 10773. https://doi.org/10.3390/ijerph182010773
Albendín MG, Aranda V, Coello MD, González-Gómez C, Rodríguez-Barroso R, Quiroga JM, Arellano JM. Pharmaceutical Products and Pesticides Toxicity Associated with Microplastics (Polyvinyl Chloride) in Artemia salina. International Journal of Environmental Research and Public Health. 2021; 18(20):10773. https://doi.org/10.3390/ijerph182010773
Chicago/Turabian StyleAlbendín, María Gemma, Vanessa Aranda, María Dolores Coello, Carmen González-Gómez, Rocío Rodríguez-Barroso, José María Quiroga, and Juana María Arellano. 2021. "Pharmaceutical Products and Pesticides Toxicity Associated with Microplastics (Polyvinyl Chloride) in Artemia salina" International Journal of Environmental Research and Public Health 18, no. 20: 10773. https://doi.org/10.3390/ijerph182010773
APA StyleAlbendín, M. G., Aranda, V., Coello, M. D., González-Gómez, C., Rodríguez-Barroso, R., Quiroga, J. M., & Arellano, J. M. (2021). Pharmaceutical Products and Pesticides Toxicity Associated with Microplastics (Polyvinyl Chloride) in Artemia salina. International Journal of Environmental Research and Public Health, 18(20), 10773. https://doi.org/10.3390/ijerph182010773

