Psychological Well-Being and Home Conditions during COVID-19 Confinement. Internet Addiction and Nostalgia as Mediators
Abstract
:1. Introduction
2. Materials and Methods
2.1. Sample
2.2. Procedure
2.3. Measures
2.3.1. Sociodemographic Data
2.3.2. Home Conditions
2.3.3. Nostalgia
2.3.4. Internet Addiction Test (IAT; Young, 1998)
2.3.5. General Health Questionnaire (GHQ-12; Goldberg and Williams, 1988)
2.4. Data Analysis
3. Results
3.1. Model Fit: Testing the Hypotheses
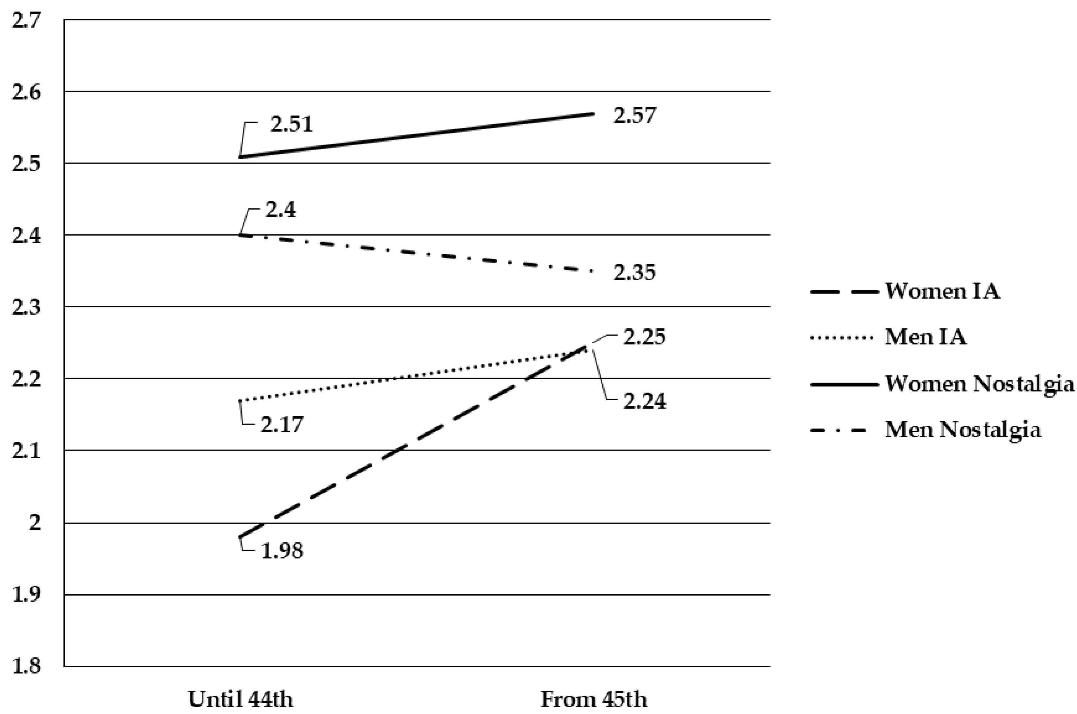
3.2. Interaction between Sex and Days of Confinement
4. Discussion
5. Conclusions
Author Contributions
Funding
Institutional Review Board Statement
Informed Consent Statement
Data Availability Statement
Acknowledgments
Conflicts of Interest
References
- World Health Organization. Available online: https://www.who.int/emergencies/diseases/novel-coronavirus-2019/events-as-they-happen (accessed on 22 June 2020).
- Mattioli, A.V.; Ballerini, M. Lifestyle at Time of COVID-19: How Could Quarantine Affect Cardiovascular Risk. Am. J. Lifestyle Med. 2020, 14, 240–242. [Google Scholar] [CrossRef]
- Gensini, G. The Concept of Quarantine in History: From Plague to SARS. J. Infect. 2004, 49, 257–261. [Google Scholar] [CrossRef] [PubMed]
- Lin, E.C.L.; Peng, Y.C.; Hung Tsai, J.C. Lessons Learned from the Anti-SARS Quarantine Experience in a Hospital-Based Fever Screening Station in Taiwan. Am. J. Infect. Control 2010, 38, 302–307. [Google Scholar] [CrossRef]
- Real Decreto 463/2020, Declaración del Estado de Alarma Para la Gestión de la Situación de Crisis Sanitaria Ocasionada por el COVID-19; B.O.E.: Madrid, Spain, 2020; Volume 67, pp. 25390–25400.
- Sandín, B.; Valiente, R.M.; García-Escalera, J.; Chorot, P. Impacto psicológico de la pandemia de COVID-19: Efectos negativos y positivos en población española asociados al periodo de confinamiento nacional. RPPC 2020, 25, 1. [Google Scholar] [CrossRef]
- Brooks, S.K.; Webster, R.K.; Smith, L.E.; Woodland, L.; Wessely, S.; Greenberg, N.; Rubin, G.J. The Psychological Impact of Quarantine and How to Reduce It: Rapid Review of the Evidence. Lancet 2020, 395, 912–920. [Google Scholar] [CrossRef] [Green Version]
- Xiang, Y.-T.; Yang, Y.; Li, W.; Zhang, L.; Zhang, Q.; Cheung, T.; Ng, C.H. Timely Mental Health Care for the 2019 Novel Coronavirus Outbreak Is Urgently Needed. Lancet Psychiatry 2020, 7, 228–229. [Google Scholar] [CrossRef] [Green Version]
- Elo, S.; Saarnio, R.; Isola, A. The Physical, Social and Symbolic Environment Supporting the Well-Being of Home-Dwelling Elderly People. Int. J. Circum. Health 2011, 70, 90–100. [Google Scholar] [CrossRef] [PubMed]
- Hickey, G.; McGilloway, S.; Leckey, Y.; Furlong, M.; Leavy, S.; Stokes, A.; O’Connor, S.; Bywater, T.; Donnelly, M. Mothers’ Well-being, Parenting Attitudes, and Home Environment: Cumulative Risk and Parity in Early Motherhood. Child Care Health Dev. 2019, 45, 523–530. [Google Scholar] [CrossRef]
- Løvoll, H.S.; Sæther, K.-W.; Graves, M. Feeling at Home in the Wilderness: Environmental Conditions, Well-Being and Aesthetic Experience. Front. Psychol. 2020, 11, 402. [Google Scholar] [CrossRef]
- Shahzad, L.; Tahir, A.; Sharif, F.; Khan, W.U.D.; Farooq, M.A.; Abbas, A.; Saqib, Z.A. Vulnerability, Well-Being, and Livelihood Adaptation under Changing Environmental Conditions: A Case from Mountainous Region of Pakistan. Environ. Sci. Pollut. Res. 2019, 26, 26748–26764. [Google Scholar] [CrossRef]
- Ellison, N.B.; Lampe, C.; Steinfield, C. Featuresocial Network Sites and Society: Current Trends and Future Possibilities. Interactions 2009, 16, 6. [Google Scholar] [CrossRef]
- Pouresmaeil, M.; Shahrokhi, A.; Hosseinzadeh, K.; Ziapour, A.; Rahimi, F. Presence in Virtual Social Networks and Health Promoting Behaviors of Medical Students. J. Public Health 2020. [Google Scholar] [CrossRef]
- Young, K. Internet Addiction Test (IAT); Stoelting: Wood Dale, IL, USA, 2016; ISBN 978-0-9982980-9-2. [Google Scholar]
- Bali, M.; Bakhshi, A. Influence of Internet Addiction on Psychological Well-Being of Emerging Adults in Jammu|Studies in Indian Place Names. Stud. Indian Place Names 2020, 40, 645–654. [Google Scholar]
- Callea, A.; Cacioppo, M.; Lucchetti, F.; Caretti, V. Internet Use and Psychosocial Well-Being in an Italian Adult Sample. Clin. Neuropsychiatry J. Treat. Eval. 2016, 13, 3–6. [Google Scholar]
- Bessière, K.; Kiesler, S.; Kraut, R.; Boneva, B.S. Effects of Internet Use and Social Resources on Changes in Depression. Inf. Commun. Soc. 2008, 11, 47–70. [Google Scholar] [CrossRef]
- Moody, E.J. Internet Use and Its Relationship to Loneliness. CyberPsychol. Behav. 2001, 4, 393–401. [Google Scholar] [CrossRef] [PubMed]
- Wildschut, T.; Sedikides, C.; Arndt, J.; Routledge, C. Nostalgia: Content, Triggers, Functions. J. Personal. Soc. Psychol. 2006, 91, 975–993. [Google Scholar] [CrossRef] [PubMed] [Green Version]
- Baldwin, M.; Landau, M.J. Exploring Nostalgia’s Influence on Psychological Growth. Self Identity 2014, 13, 162–177. [Google Scholar] [CrossRef]
- Routledge, C.; Arndt, J.; Wildschut, T.; Sedikides, C.; Hart, C.M.; Juhl, J.; Vingerhoets, A.J.J.M.; Schlotz, W. The Past Makes the Present Meaningful: Nostalgia as an Existential Resource. J. Personal. Soc. Psychol. 2011, 101, 638–652. [Google Scholar] [CrossRef] [PubMed]
- Cox, C.R.; Kersten, M.; Routledge, C.; Brown, E.M.; Van Enkevort, E.A. When Past Meets Present: The Relationship between Website-induced Nostalgia and Well-being. J. Appl. Soc. Psychol. 2015, 45, 282–299. [Google Scholar] [CrossRef]
- Zhou, X.; Sedikides, C.; Wildschut, T.; Gao, D.-G. Counteracting Loneliness: On the Restorative Function of Nostalgia. Psychol. Sci. 2008, 19, 1023–1029. [Google Scholar] [CrossRef]
- Juhl, J.; Routledge, C.; Arndt, J.; Sedikides, C.; Wildschut, T. Fighting the Future with the Past: Nostalgia Buffers Existential Threat. J. Res. Personal. 2010, 44, 309–314. [Google Scholar] [CrossRef]
- Routledge, C.; Arndt, J.; Sedikides, C.; Wildschut, T. A Blast from the Past: The Terror Management Function of Nostalgia. J. Exp. Soc. Psychol. 2008, 44, 132–140. [Google Scholar] [CrossRef] [Green Version]
- Alaminos, A.; Castejón, J.L. Elaboración, Análisis e Interpretación de Encuestas, Cuestionarios y Escalas de Opinión; Marfil: Alcoy, Spain, 2006; ISBN 84-268-1267-8. [Google Scholar]
- Puerta-Cortés, D.X.; Carbonell, X.; Chamarro, A. Análisis de las propiedades psicométricas de la versión en español del Internet Addiction Test. Trast. Adict. 2012, 14, 99–104. [Google Scholar] [CrossRef]
- Rocha, K.B.; Pérez, K.; Rodríguez-Sanz, M.; Borrell, C.; Jordi, E. Obiols Propiedades psicométricas y valores normativos del General Health Questionnaire (GHQ-12) en población general española. Int. J. Clin. Health Psychol. 2011, 11, 125–139. [Google Scholar]
- Chin, W.W. How to Write Up and Report PLS Analyses. In Handbook of Partial Least Squares: Concepts, Methods and Applications; Springer Handbooks of Computational Statistics; Esposito Vinzi, V., Chin, W.W., Henseler, J., Wang, H., Eds.; Springer: Berlin/Heidelberg, Gernmany, 2010; pp. 655–690. ISBN 978-3-540-32827-8. [Google Scholar]
- Bentler, P.M.; Yuan, K.-H. Structural Equation Modeling with Small Samples: Test Statistics. Mul. Behav. Res. 1999, 34, 181–197. [Google Scholar] [CrossRef]
- Iverson, R.D.; Maguire, C. The Relationship between Job and Life Satisfaction: Evidence from a Remote Mining Community. Human Relat. 2000, 53, 807–839. [Google Scholar] [CrossRef]
- Stanca, L. Suffer the Little Children: Measuring the Effects of Parenthood on Well-Being Worldwide. J. Econ. Behav. Organ. 2012, 81, 742–750. [Google Scholar] [CrossRef] [Green Version]
- Umberson, D.; Pudrovska, T.; Reczek, C. Parenthood, Childlessness, and Well-Being: A Life Course Perspective. J. Marr. Fam. 2010, 72, 612–629. [Google Scholar] [CrossRef] [Green Version]
- Cusinato, M.; Iannattone, S.; Spoto, A.; Poli, M.; Moretti, C.; Gatta, M.; Miscioscia, M. Stress, Resilience, and Well-Being in Italian Children and Their Parents during the COVID-19 Pandemic. Int. J. Environ. Res. Public Health 2020, 17, 8297. [Google Scholar] [CrossRef]
- Roeters, A.; Mandemakers, J.J.; Voorpostel, M. Parenthood and Well-Being: The Moderating Role of Leisure and Paid Work. Eur. J. Popul. 2016, 32, 381–401. [Google Scholar] [CrossRef] [Green Version]
- Nomaguchi, K.M. Parenthood and Psychological Well-Being: Clarifying the Role of Child Age and Parent-Child Relationship Quality. Soc. Sci. Res. 2012, 41, 489–498. [Google Scholar] [CrossRef] [Green Version]
- Kraut, R.; Kiesler, S.; Boneva, B.; Cummings, J.; Helgeson, V.; Crawford, A. Internet Paradox Revisited. J. Soc. Issues 2002, 58, 49–74. [Google Scholar] [CrossRef]
- McKenna, K.Y.A.; Bargh, J.A. Plan 9 From Cyberspace: The Implications of the Internet for Personality and Social Psychology. Pers. Soc. Psychol. Rev. 2000, 4, 57–75. [Google Scholar] [CrossRef]
- Valkenburg, P.M.; Peter, J. Online Communication and Adolescent Well-Being: Testing the Stimulation versus the Displacement Hypothesis. J. Comput. Mediat. Commun. 2007, 12, 1169–1182. [Google Scholar] [CrossRef] [Green Version]
- Nie, N.; Hillygus, D.S.; Erbring, L. Internet use, interpersonal rela tions, and sociability: A time diary study. In The Internet in Everyday Life; John Wiley & Sons, Ltd.: Hoboken, NJ, USA, 2002. [Google Scholar]
- Sanders, C.E.; Field, T.M.; Diego, M.; Kaplan, M. The relationship of internet use to depression and social isolation among adolescents. Adolescence 2000, 35, 237. [Google Scholar]
- Amichai-Hamburger, Y.; Ben-Artzi, E. Loneliness and Internet Use. Comput. Human Behav. 2003, 19, 71–80. [Google Scholar] [CrossRef]
- Campbell, A.J.; Cumming, S.R.; Hughes, I. Internet Use by the Socially Fearful: Addiction or Therapy? CyberPsychol. Behav. 2006, 9, 69–81. [Google Scholar] [CrossRef]
- Hepper, E.G.; Wildschut, T.; Sedikides, C.; Ritchie, T.D.; Yung, Y.-F.; Hansen, N.; Abakoumkin, G.; Arikan, G.; Cisek, S.Z.; Demassosso, D.B.; et al. Pancultural Nostalgia: Prototypical Conceptions across Cultures. Emotion 2014, 14, 733–747. [Google Scholar] [CrossRef]
- Iyer, A.; Jetten, J. What’s Left behind: Identity Continuity Moderates the Effect of Nostalgia on Well-Being and Life Choices. J.Personal. Soc. Psychol. 2011, 101, 94–108. [Google Scholar] [CrossRef] [Green Version]
- Barrett, F.S.; Grimm, K.J.; Robins, R.W.; Wildschut, T.; Sedikides, C.; Janata, P. Music-Evoked Nostalgia: Affect, Memory, and Personality. Emotion 2010, 10, 390–403. [Google Scholar] [CrossRef] [Green Version]
- Routledge, C.; Wildschut, T.; Sedikides, C.; Juhl, J. Nostalgia as a Resource for Psychological Health and Well-Being. Soc. Personal. Psychol. Compass 2013, 7, 808–818. [Google Scholar] [CrossRef]
- Sedikides, C.; Wildschut, T.; Arndt, J.; Routledge, C. Nostalgia: Past, Present, and Future. Curr. Dir. Psychol. Sci. 2008, 17, 304–307. [Google Scholar] [CrossRef]
- Stephan, E.; Sedikides, C.; Wildschut, T. Mental Travel into the Past: Differentiating Recollections of Nostalgic, Ordinary, and Positive Events. Eur. J. Soc. Psychol. 2012, 42, 290–298. [Google Scholar] [CrossRef]
- Kim, D.; Jang, S. Stress and Food Choices: Examining Gender Differences and the Time Horizon Framing Effect. Int. J. Hospital. Manag. 2017, 67, 134–142. [Google Scholar] [CrossRef]
- Douglas, A.C.; Mills, J.E.; Niang, M.; Stepchenkova, S.; Byun, S.; Ruffini, C.; Lee, S.K.; Loutfi, J.; Lee, J.-K.; Atallah, M.; et al. Internet Addiction: Meta-Synthesis of Qualitative Research for the Decade 1996–2006. Comput. Human Behav. 2008, 24, 3027–3044. [Google Scholar] [CrossRef]
- Fumero, A.; Marrero, R.J.; Voltes, D.; Peñate, W. Personal and Social Factors Involved in Internet Addiction among Adolescents: A Meta-Analysis. Comput. Human Behav. 2018, 86, 387–400. [Google Scholar] [CrossRef]
- Koo, H.J.; Kwon, J.-H. Risk and Protective Factors of Internet Addiction: A Meta-Analysis of Empirical Studies in Korea. Yonsei Med. J. 2014, 55, 1691–1711. [Google Scholar] [CrossRef] [PubMed] [Green Version]
- Soh, P.C.-H.; Chew, K.W.; Koay, K.Y.; Ang, P.H. Parents vs Peers’ Influence on Teenagers’ Internet Addiction and Risky Online Activities. Telemat. Inf. 2018, 35, 225–236. [Google Scholar] [CrossRef]
- Bargh, J.A.; McKenna, K.Y.A. The Internet and Social Life. Ann. Rev. Psychol. 2004, 55, 573–590. [Google Scholar] [CrossRef] [Green Version]
- Shaw, L.H.; Gant, L.M. In Defense of the Internet: The Relationship between Internet Communication and Depression, Loneliness, Self-Esteem, and Perceived Social Support. CyberPsychol. Behav. 2002, 5, 157–171. [Google Scholar] [CrossRef] [PubMed] [Green Version]
- Kuss, D.J.; Lopez-Fernandez, O. Internet Addiction and Problematic Internet Use: A Systematic Review of Clinical Research. WJP 2016, 6, 143. [Google Scholar] [CrossRef] [PubMed]
- Chakraborty, K.; Basu, D.; Vijaya Kumar, K.G. Internet Addiction: Consensus, Controversies, and the Way Ahead. East Asian Arch. Psychiatry 2010, 20, 123–132. [Google Scholar] [PubMed]
- Frangos, C.C.; Frangos, C.C.; Sotiropoulos, I. Problematic Internet Use among Greek University Students: An Ordinal Logistic Regression with Risk Factors of Negative Psychological Beliefs, Pornographic Sites, and Online Games. Cyberpsychol. Behav. Soc. Netw. 2011, 14, 51–58. [Google Scholar] [CrossRef] [Green Version]
- Kuss, D.J.; Griffiths, M.D.; Binder, J.F. Internet Addiction in Students: Prevalence and Risk Factors. Comput. Human Behav. 2013, 29, 959–966. [Google Scholar] [CrossRef] [Green Version]
- Saraiva, J.; Esgalhado, G.; Pereira, H.; Monteiro, S.; Afonso, R.M.; Loureiro, M. The Relationship Between Emotional Intelligence and Internet Addiction Among Youth and Adults. J. Addict. Nurs. 2018, 29, 13–22. [Google Scholar] [CrossRef]
- Sirois, F.M.; Kitner, R.; Hirsch, J.K. Self-Compassion, Affect, and Health-Promoting Behaviors. Health Psychol. 2015, 34, 661–669. [Google Scholar] [CrossRef] [PubMed]


| Dimension | Participants | Correlations | ||||||||||
|---|---|---|---|---|---|---|---|---|---|---|---|---|
| n | M | SD | m | (1) | (2) | (3) | (4) | (5) | (6) | (7) | (8) | |
| 1. Number of children | 444 | 1.67 | 0.62 | 2 | 1 | - | - | - | - | - | - | - |
| 2. Square meters house | 1509 | 107.36 | 70.35 | 90 | 0.89 ** | 1 | - | - | - | - | - | - |
| 3. Square meters terrace | 744 | 108.01 | 647.18 | 19 | 0.05 * | 0.15 ** | 1 | - | - | - | - | - |
| 4. IA | 1509 | 2.16 | 0.69 | 2.1 | −0.11 ** | −0.01 | 0.01 | 1 | - | - | - | - |
| 5. Leisure-time activities | 1509 | 2.62 | 0.65 | 2.57 | −0.21 ** | 0.01 | 0.01 | 0.25 ** | 1 | - | - | - |
| 6. Intellectual activities | 1509 | 1.99 | 0.75 | 2 | −0.03 | −0.02 | 0.05 | 0.13 ** | 0.35 ** | 1 | - | - |
| 7. Basic activities | 1509 | 2.65 | 0.66 | 2.67 | 0.02 | −0.06 * | −0.05 | 0.01 | 0.15 ** | 0.21 ** | 1 | - |
| 8. PWB | 1509 | 2.84 | 0.78 | 2.91 | 0.13 ** | 0.02 | 0.03 | −0.34 ** | −0.18 ** | −0.14 ** | −0.05 | 1 |
Publisher’s Note: MDPI stays neutral with regard to jurisdictional claims in published maps and institutional affiliations. |
© 2021 by the authors. Licensee MDPI, Basel, Switzerland. This article is an open access article distributed under the terms and conditions of the Creative Commons Attribution (CC BY) license (https://creativecommons.org/licenses/by/4.0/).
Share and Cite
Del Líbano, M.; Corbí, M.; Gutiérrez-García, A.; Alonso-Centeno, A. Psychological Well-Being and Home Conditions during COVID-19 Confinement. Internet Addiction and Nostalgia as Mediators. Int. J. Environ. Res. Public Health 2021, 18, 7386. https://doi.org/10.3390/ijerph18147386
Del Líbano M, Corbí M, Gutiérrez-García A, Alonso-Centeno A. Psychological Well-Being and Home Conditions during COVID-19 Confinement. Internet Addiction and Nostalgia as Mediators. International Journal of Environmental Research and Public Health. 2021; 18(14):7386. https://doi.org/10.3390/ijerph18147386
Chicago/Turabian StyleDel Líbano, Mario, Miguel Corbí, Aida Gutiérrez-García, and Almudena Alonso-Centeno. 2021. "Psychological Well-Being and Home Conditions during COVID-19 Confinement. Internet Addiction and Nostalgia as Mediators" International Journal of Environmental Research and Public Health 18, no. 14: 7386. https://doi.org/10.3390/ijerph18147386
APA StyleDel Líbano, M., Corbí, M., Gutiérrez-García, A., & Alonso-Centeno, A. (2021). Psychological Well-Being and Home Conditions during COVID-19 Confinement. Internet Addiction and Nostalgia as Mediators. International Journal of Environmental Research and Public Health, 18(14), 7386. https://doi.org/10.3390/ijerph18147386

