Multiyear Links between Water Chemistry, Algal Chlorophyll, Drought-Flood Regime, and Nutrient Enrichment in a Morphologically Complex Reservoir
Abstract
1. Introduction
2. Materials and Methods
2.1. Study Area
2.2. Analyses of Water Chemistry
2.3. Precipitation Regime and Flood-Drought Dynamics
2.4. Establishment of Tropic Status and Nutrient Enrichment
2.5. Statistical Analyses
3. Results and Discussion
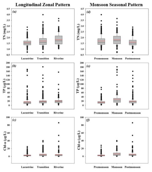
3.1. Longitudinal Zonal Dyanmics of Water Chemistry
3.2. Influence of Precipitation on Seasonal and Interannual Water Chemistry
3.3. Spatio-Seasonal Comparisons between TN, TP, and Chl-a
3.4. Spatio-Seasonal Empirical Modelling of Nutrients and Chl-a
3.5. Regression Analyses on Chl-a and Nutrients during Flood and Drought Conditions
3.6. Dynamics of Trophic Status
3.6.1. Seasonal and Annual Trophic State
3.6.2. Trophic State Index Deviation (TSID) Analyses
3.7. Seasonal Trend Analyses of Water Chemistry
3.8. Evaluation of Water Pollution Status
4. Conclusions
Supplementary Materials
Author Contributions
Funding
Conflicts of Interest
References
- Hogeboom, R.J.; Knook, L.; Hoekstra, A.Y. The blue water footprint of the world’s artificial reservoirs for hydroelectricity, irrigation, residential and industrial water supply, flood protection, fishing and recreation. Adv. Water Resour. 2018, 113, 285–294. [Google Scholar] [CrossRef]
- Atique, U.; An, K.G. Landscape heterogeneity impacts water chemistry, nutrient regime, organic matter and chlorophyll dynamics in agricultural reservoirs. Ecol. Indic. 2020, 110, 105813. [Google Scholar] [CrossRef]
- Bhateria, R.; Jain, D. Water quality assessment of lake water: A review. Sustain. Water Resour. Manag. 2016, 2, 161–173. [Google Scholar] [CrossRef]
- Atique, U.; An, K.G. Reservoir Water Quality Assessment Based on Chemical Parameters and the Chlorophyll Dynamics in Relation to Nutrient Regime. Pol. J. Environ. Stud. 2019, 28, 1043–1061. [Google Scholar] [CrossRef]
- Shiklomanov, I. World Water Resources—A New Appraisal and Assessment for the 21st Century; United Nations Educational Scientific and Cultural Organization (UNESCO) Report; UNESCO: London, UK, 2000; p. 40. [Google Scholar]
- Lehner, B.; Döll, P. Development and validation of a global database of lakes, reservoirs and wetlands. J. Hydrol. 2004, 296, 1–22. [Google Scholar] [CrossRef]
- Bhagwat, T.; Klein, I.; Huth, J.; Leinenkugel, P. Volumetric Analysis of Reservoirs in Drought-Prone Areas Using Remote Sensing Products. Remote Sens. 2019, 11, 1974. [Google Scholar] [CrossRef]
- Lee, G.; Lee, H.W.; Lee, Y.S.; Choi, J.H.; Yang, J.E.; Lim, K.J.; Kim, J. The Effect of Reduced Flow on Downstream Water Systems Due to the Kumgangsan Dam under Dry Conditions. Water 2019, 11, 739. [Google Scholar] [CrossRef]
- Atique, U.; An, K.G. Water Quality and Trophic State Index Analysis in Relation to Land Use Patterns in Agricultural Reservoirs. J. Korean Environ. Ecol. Soc. 2019, 2019, 110. (In Korean) [Google Scholar]
- Park, H.K.; Kwon, O.Y.; Shin, Y.N. Characteristics of organic matters in large reservoirs of distinct hydrological types. J. Korean Soc. Water. Environ. 2007, A-9, 72–80. (in Korean). [Google Scholar]
- Kim, E.M.; Shin, C.M.; Han, S.H.; Kang, P.G.; Park, H.K.; Kong, D.S. Phosphorus dynamics in Lake Soyang. J. Korean Soc. Water. Environ. 2007, A-7, 56–63. [Google Scholar]
- Bonacci, O.; Andrić, I. Impact of an inter-basin water transfer and reservoir operation on a karst open streamflow hydrological regime: An example from the Dinaric karst (Croatia). Hydrol. Process. 2010, 24, 3852–3863. [Google Scholar] [CrossRef]
- Iglesias, A.; Garrote, L.; Flores, F.; Moneo, M. Challenges to Manage the Risk of Water Scarcity and Climate Change in the Mediterranean. Water Resour. Manag. 2007, 21, 775–788. [Google Scholar] [CrossRef]
- Deitch, M.J.; Dolman, B. Restoring Summer Base Flow under a Decentralized Water Management Regime: Constraints, Opportunities, and Outcomes in Mediterranean-Climate California. Water 2017, 9, 29. [Google Scholar] [CrossRef]
- Wang, H.; Wu, M.; Deng, Y.; Tang, C.; Yang, R. Surface water quality monitoring site optimization for Poyang Lake, the largest freshwater lake in China. Int. J. Environ. Res. Public Health 2014, 11, 11833–11845. [Google Scholar] [CrossRef] [PubMed]
- Atique, U.; An, K.G. Stream Health Evaluation Using a Combined Approach of Multi-Metric Chemical Pollution. Water 2018, 10, 661. [Google Scholar] [CrossRef]
- Park, H.K.; Kwon, O.Y.; Jung, D.I. Characteristics of allochthonous organic matter in large dam reservoir, Lake Soyang. Korean J. Limnol. 2011, 27, 88–97, (In Korean with English abstract). [Google Scholar]
- Cho, H.; Marrs, R.H.; Alday, J.G.; Cho, K.H. Vertical and longitudinal variations in plant communities of drawdown zone of a monsoonal riverine reservoir in South Korea. J. Ecol. Environ. 2019, 43, 27. [Google Scholar] [CrossRef]
- Thornton, K.W.; Kimmel, B.L.; Payne, F.E. Reservoir Limnology: Ecological Perspectives; Wiley-Interscience Press: Hoboken, NJ, USA, 1990; pp. 133–194. [Google Scholar]
- An, K.G. Hydrological significance on interannual variability of cations, anions, and conductivity in a large reservoir ecosystem. K. J. Limnol. 2001, 3, 1–8, (In English with Korean abstract). [Google Scholar]
- An, K.G.; Park, S.S. Indirect influence of the summer monsoon on chlorophyll-total phosphorus models in reservoirs: A case study. Ecol. Modell. 2002, 152, 191–203. [Google Scholar] [CrossRef]
- Knowlton, M.F.; Jones, J.R. Temporal and spatial dynamics of suspended sediment, nutrients, and algal biomass in Mark Twain Lake, Missouri. Arch. Hydrobiol. 1995, 135, 145–178. [Google Scholar]
- Gao, L.; Li, D.J.; Zhang, Y.W. Nutrients and particulate organic matter discharged by the Changjiang (Yangtze River): Seasonal variations and temporal trends. J. Geophys. Res. Biogeosci. 2015. [Google Scholar] [CrossRef]
- Kim, J.J.; Atique, U.; An, K.G. Long-Term Ecological Health Assessment of a Restored Urban Stream Based on Chemical Water Quality, Physical Habitat Conditions and Biological Integrity. Water 2019, 11, 114. [Google Scholar] [CrossRef]
- Atique, U.; Iqbal, S.; Khan, N.; Qazi, B.; Javeed, A.; Anjum, K.M.; Haider, M.S.; Khan, T.A.; Mahmood, S.; Sherzada, S. Multivariate Assessment of Water Chemistry and Metals in a River Impacted by Tanning Industry. Fresenius Environ. Bull. 2020, 29, 3013–3025. [Google Scholar]
- Hayes, N.M.; Deemer, B.R.; Corman, J.R.; Razavi, N.R.; Strock, K.E. Key differences between lakes and reservoirs modify climate signals: A case for a new conceptual model. Limnol. Oceanogr. 2017, 2, 47–62. [Google Scholar] [CrossRef]
- Hong, G.H.; Cho, S.L.; Park, S.Q. Nutrients and particulate organic matters in Lake Soyang during the thermally stratified period. J. Korean Soc. Water. Environ. 1989, 5, 35–46. [Google Scholar]
- Choi, J.W.; Han, J.H.; Park, C.S.; Ko, D.G.; Kang, H.I.; Kim, J.Y.; Yun, Y.J.; Kwon, H.H.; An, K.G. Nutrients and sestonic chlorophyll dynamics in Asian lotic ecosystems and ecological stream health in relation to land-use patterns and water chemistry. Ecol. Eng. 2015, 79, 15–31. [Google Scholar] [CrossRef]
- Bae, D.Y.; Atique, U.; Yoon, J.; Lim, B.; An, K.G. Ecological Risk Assessment of Urban Streams Using Fish Biomarkers of DNA Damages and Physiological Responses. Pol. J. Environ. Stud. 2020, 29, 1–10. [Google Scholar] [CrossRef]
- Atique, U.; Byungjin, L.; Johee, Y.; Kwang-Guk, A. Biological Health Assessments of Lotic Waters by Biotic Integrity Indices and their Relations to Water Chemistry. Water 2019, 11, 436. [Google Scholar] [CrossRef]
- Moon, W.K.; Atique, U.; An, K.G. Ecological risk assessments and eco-toxicity analyses using chemical, biological, physiological responses, DNA damages and gene-level biomarkers in Zebrafish (Danio rerio) in an urban stream. Chemosphere 2019, 239, 124754. [Google Scholar] [CrossRef]
- An, K.G.; Kim, D.S. Response of reservoir water quality to nutrient inputs from streams and in-lake fishfarms. Water Air Soil Pollut. 2003, 149, 27–49. [Google Scholar] [CrossRef]
- An, K.G.; Park, S.S. Influence of seasonal monsoon on the trophic state deviation in an Asian reservoir. Water Air Soil Pollut. 2003, 145, 267–287. [Google Scholar] [CrossRef]
- Heo, W.M.; Kim, B.C.; Kim, Y.N.; Choi, K.S. Storm runoff of phosphorus from nonpoint sources into Lake Soyang and transportation of turbid watermass within the lake. Korean J. Limnol. 1998, 31, 1–8, (In Korean with English abstract). [Google Scholar]
- Lee, Y.; Kim, J.K.; Jung, S.; Eum, J.; Kim, C.; Kim, B. Development of a water quality index model for lakes and reservoirs. Paddy Water Environ. 2014, 12, S19–S28. [Google Scholar] [CrossRef]
- Haider, M.S.; Ashraf, M.; Azmat, H.; Khalique, A.; Javid, A.; Atique, U.; Zia, M.; Iqbal, K.J.; Akram, S. Nutritive evaluation of fish acid silage in Labeo rohita fingerlings feed. J. Appl. Anim. Res. 2016, 44, 158–164. [Google Scholar] [CrossRef]
- Iqbal, S.; Atique, U.; Mughal, M.S.; Khan, N.; Haider, M.S.; Iqbal, K.J.; Akmal, M. Effect of Selenium Incorporated in Feed on the Hematological Profile of Tilapia (Oreochromis niloticus). J. Aquac. Res. Dev. 2017, 8, 1000513. [Google Scholar] [CrossRef]
- Batool, S.S.; Khan, N.; Atique, U.; Azmat, H.; Iqbal, K.J.; Mughal, D.H.; Ahmad, M.S.; Batool, S.; Munawar, S.; Dogar, S.; et al. Impact of Azomite Supplemented Diets on the Growth and Body Composition of Catfish (Pangasius hypophthalmus). Pak. J. Zool. 2018, 13, 8–12. [Google Scholar]
- Saeed, F.; Iqbal, K.J.; Atique, U.; Javid, A.; Khan, N.; Iqbal, S.; Majeed, H.; Azmat, H.; Khan, B.Y.A.; Baboo, I.; et al. Toxic trace metals assessment in selected organs of edible fish species, sediment and water in Head Punjnad, Punjab, Pakistan. Punjab Univ. J. Zool. 2020, 35. (in press).
- Zhang, Y.; Ban, X.; Li, E.; Wang, Z.; Xiao, F. Evaluating ecological health in the middle-lower reaches of the Hanjiang River with cascade reservoirs using the Planktonic index of biotic integrity (P-IBI). Ecol. Indic. 2020, 114, 106282. [Google Scholar] [CrossRef]
- Liu, B.; McLean, C.E.; Long, D.T.; Steinman, A.D.; Stevenson, R.J. Eutrophication and recovery of a Lake inferred from sedimentary diatoms originating from different habitats. Sci. Total Environ. 2018, 628, 1352–1361. [Google Scholar] [CrossRef]
- Rühland, K.M.; Paterson, A.M.; Smol, J.P. Lake diatom responses to warming: Reviewing the evidence. J. Paleolimnol. 2015, 54, 1–35. [Google Scholar]
- Liu, B.; Chen, S.; Liu, H.; Guan, Y. Changes in the ratio of benthic to planktonic diatoms to eutrophication status of Muskegon Lake through time: Implications for a valuable indicator on water quality. Ecol. Indic. 2020, 114, 106284. [Google Scholar] [CrossRef]
- Korea Water Resources Corporation. A Study of Water Quality Improvement and Algae Ocurance Mitigation at the Downstream Reach Considering to the Imnam Dam of DMZ Upstream and Soyang Dam Located in the North Han River; Korea Water Resources Corporation: Daejeon, Korea, 2013. [Google Scholar]
- Eaton, A.D.; Franson, M.A.H. Standard Methods for the Examination of Water and Wastewater; American Public Health Association: Washington, DC, USA, 2005. [Google Scholar]
- Crumpton, W.G.; Isenhart, T.M.; Mitchell, P.D. Nitrate and organic N analyses with second-derivative spectroscopy. Limnol. Oceanogr. 1992, 37, 907–913. [Google Scholar] [CrossRef]
- Prepas, E.E.; Rigler, F.A. Improvements in qualifying the phosphorus concentration in lake water. Can. J. Fish. Aquat. Sci. 1982, 39, 822–829. [Google Scholar] [CrossRef]
- APHA. Standard Methods for the Examination of Water and Wastewater, 23rd ed.; American Public Health Association: New York, NY, USA, 2017. [Google Scholar]
- MOE. Standard Methods for the Examination of Water Quality Contamination, 7th ed.; MOE: Gwacheon, Korea, 2000; p. 435. (In Korean) [Google Scholar]
- Carlson, R.E. A Trophic State Index for Lakes. Limnol. Oceanogr. 1977, 22, 361–369. [Google Scholar] [CrossRef]
- Kratzer, C.R.; Brezonik, P.L. A Carlson-type trophic state index for nitrogen in Florida lakes. Water Resour. Bull. 1981, 17, 713–715. [Google Scholar] [CrossRef]
- Helsel, D.R.; Mueller, D.K.; Slack, J.R. Computer Program for the Kendall Family of Trend Tests; Scientific Investigations Report 2005–5275; U.S. Geological Survey: Reston, VA, USA, 2006. [Google Scholar]
- Hammer, Ø.; Harper, D.A.T.; Ryan, P.D. PAST: Paleontological Statistics Software Package for Education and Data Analysis. Palaeontologia Electronica 2001, 4, 9. [Google Scholar]
- Dąbrowska, J.; Bawiec, A.; Pawęska, K.; Kamińska, J.; Stodolak, R. Assessing the Impact of Wastewater Effluent Diversion on Water Quality. Pol. J. Environ. Stud. 2017, 26, 9. [Google Scholar] [CrossRef]
- Sood, A.; Singh, K.D.; Pandey, P.; Sharma, S. Assessment of bacterial indicators and physicochemical parameters to investigate pollution status of Gangetic river system of Uttarakhand (India). Ecol. Indic. 2008, 8, 709. [Google Scholar] [CrossRef]
- Kong, K.H.; Lee, J.H.; An, K.G. The analysis of water quality and suspended solids effects against transparency of major artificial reservoirs in Korea. Korean J. Limnol. 2009, 42, 221–231, (In Korean with English abstract). [Google Scholar]
- An, K.G.; Seo, J.W.; Park, S.S. Influences of seasonal rainfall on physical, chemical and biological conditions near the intake tower of Taechung Reservoir. Korean J. Limnol. 2001, 34, 327–336. [Google Scholar]
- Rickson, R.J. Can control of soil erosion mitigate water pollution by sediments? Sci Total Environ. 2014, 468, 1187–1197. [Google Scholar] [CrossRef] [PubMed]
- Rapin, A.; Rabiet, M.; Mourier, B.; Grybos, M.; Deluchat, V. Sedimentary phosphorus accumulation and distribution in the continuum of three cascade dams (Creuse River, France). Environ. Sci. Pollut. Res. 2020, 27, 6526–6539. [Google Scholar] [CrossRef] [PubMed]
- Carlson, R.E. Expanding the Trophic State Concept to Identify Non-Nutrient Limited Lakes and Reservoirs. In Proceedings of the National Conference on Enhancing the States Lake Management Programs, Chicago, IL, USA, 12–13 May 1988; North American Lake Management Society: Chicago, IL, USA, 1991; pp. 59–71. [Google Scholar]
- Lind, O.T.; Terrell, T.T.; Kimmel, B.L. Problems in Reservoir Trophic-State Classification and Implications for Reservoir Management. In Comparative Reservoir Limnology and Water Quality Management; Straskraba, M., Tundisi, J.G., Duncan, A., Eds.; Kluwer Academic Publishers: Dordrecht, The Netherlands, 1993; pp. 57–67. [Google Scholar]
- Hill, W.R.; Ryon, M.G.; Schilling, E.M. Light limitation in a stream ecosystem: Responses by primary producers and consumers. Ecology 1995, 76, 1297–1309. [Google Scholar] [CrossRef]
- Ren, K.; Huang, S.; Huang, Q.; Wang, H.; Leng, G.; Fang, W.; Li, P. Assessing the reliability, resilience and vulnerability of water supply system under multiple uncertain sources. J. Clean. Prod. 2020, 252, 119806. [Google Scholar] [CrossRef]
- Han, Z.; Huang, S.; Huang, Q.; Leng, G.; Wang, H.; He, L.; Fang, W.; Li, P. Assessing GRACE-based terrestrial water storage anomalies dynamics at multi-timescales and their correlations with teleconnection factors in Yunnan Province, China. J. Hydrol. 2019, 574, 836–850. [Google Scholar] [CrossRef]
- Taranu, Z.E.; Gregory-Eaves, I.; Steele, R.J.; Beaulieu, M.; Legendre, P. Predicting microcystin concentrations in lakes and reservoirs at a continental scale: A new framework for modelling an important health risk factor. Glob. Ecol. Biogeogr. 2017, 26, 625–637. [Google Scholar] [CrossRef]
- An, K.G.; Jones, J.R. Temporal and spatial patterns in ionic salinity and suspended solids in a reservoir influenced by the Asian monsoon. Hydrobiologia 2000, 436, 179–189. [Google Scholar] [CrossRef]
- Yue, S.; Pilon, P.; Cavadias, G. Power of the Mann ± Kendall and Spearman s rho tests for detecting monotonic trends in hydrological series. J. Hydrol. 2002, 259, 254. [Google Scholar] [CrossRef]
- Muangthong, S.; Shrestha, S. Assessment of surface water quality using multivariate statistical techniques: Case study of the Nampong River and Songkhram River, Thailand. Environ. Monit. Assess. 2015, 187, 548. [Google Scholar] [CrossRef]
- Dodds, W.K.; Jones, J.R.; Welch, E.B. Suggested classification of stream trophic state: Distributions of temperate stream types by chlorophyll, total nitrogen and phosphorus. Water Res. 1998, 32, 1455. [Google Scholar] [CrossRef]
- Dieter, D.; Herzog, C.; Hupfer, M. Effects of drying on phosphorus uptake in reflooded lake sediments. Environ. Sci. Pollut. Res. 2015, 22, 17065. [Google Scholar] [CrossRef] [PubMed]
- Kanownik, W.; Policht-Latawiec, A. Changeability of oxygen and biogenic indices in waters flowing through areas under various anthropopressures. Pol. J. Environ. Stud. 2015, 24, 1633. [Google Scholar] [CrossRef]
- Ramos, T.B.; Gonçalves, M.C.; Branco, M.A.; Brito, D.; Rodrigues, S.; Sánchez-Pérez, J.M.; Sauvage, S.; Prazeres, Â.; Martins, J.C.; Fernandes, M.L.; et al. Sediment and nutrient dynamics during storm events in the Enxoé temporary river, southern Portugal. Catena 2015, 127, 177. [Google Scholar] [CrossRef]









| Water Quality Attributes | Lacustrine Zone (Lz) | Transition Zone (Tz) | Riverine Zone (Rz) | |||
|---|---|---|---|---|---|---|
| Min-Max | Mean ± Stand Dev | Min-Max | Mean ± Stand Dev | Min-Max | Mean ± Stand Dev | |
| pH | 5.4–9.4 | 7.12 ± 0.57 | 5.2–9.5 | 7.23 ± 0.55 | 5–9.2 | 7.37 ± 0.57 |
| WT | 4–28 | 9.54 ± 5.83 | 1–28 | 12.03 ± 6.61 | 0–30 | 13.92 ± 7.75 |
| DO | 1.1–13.6 | 8.86 ± 2.14 | 0.8–89.6 | 9.4 ± 5 | 3.5–17.7 | 9.87 ± 2.06 |
| BOD | 0.3–2.5 | 1.04 ± 0.3 | 0.1–2.7 | 1.19 ± 0.27 | 0.6–2.6 | 1.27 ± 0.32 |
| COD | 1.1–7.6 | 2.16 ± 0.62 | 1.3–12.8 | 2.27 ± 0.61 | 1.1–5.3 | 2.33 ± 0.56 |
| TN | 0.73–2.9 | 1.50 ± 0.29 | 0.71–4.18 | 1.74 ± 0.44 | 1.01–3.65 | 1.81 ± 0.47 |
| NH4-N | 0–0.34 | 0.02 ± 0.03 | 0–2.05 | 0.03 ± 0.07 | 0–0.14 | 0.03 ± 0.02 |
| TDN | 0.63–2.02 | 1.4 ± 0.23 | 0.77–3.64 | 1.57 ± 0.38 | 0.85–3.42 | 1.58 ± 0.43 |
| NO3-N | 0.09–3.38 | 1.2 ± 0.25 | 0.02–845 | 2.25 ± 27.8 | 0.63–2.7 | 1.36 ± 0.35 |
| TP | 1–237 | 16.5 ± 23.1 | 2–386 | 19.8 ± 23.2 | 2–156 | 20.7 ± 16.7 |
| TDP | 0–1.73 | 0.02 ± 0.15 | 0–1.89 | 0.02 ± 0.16 | 0–0.04 | 0.01 ± 0.01 |
| PO4-P | 0–0.06 | 0 ± 0.01 | 0–0.11 | 0 ± 0.01 | 0–0.03 | 0 ± 0 |
| TN:TP | 6.35–1239 | 158.4 ± 110.3 | 5.72–663 | 129.4 ± 80.6 | 15.9–558 | 120.4 ± 74.6 |
| SD | 3.4–100 | 43.8 ± 32.5 | 0.2–60 | 17.4 ± 15.3 | 0.2–45 | 6 ± 5.69 |
| TSS | 0–168 | 4.58 ± 13.7 | 0.1–216 | 6.16 ± 16.2 | 0.2–179 | 7.38 ± 18.9 |
| EC | 41–432 | 68.37 ± 23.84 | 10–127 | 70.16 ± 14.75 | 0–128 | 70.88 ± 16.25 |
| TCB | 0–350 | 48.13 ± 59.01 | 0–1600 | 112.5 ± 211.1 | 2–2400 | 170.6 ± 305.6 |
| Chl-a | 0–24.8 | 2.9 ± 3.29 | 0–40.1 | 4.61 ± 4.98 | 0–85.8 | 4.55 ± 7.52 |
| Season | TSI (TN) | TSI (TP) | TSI (Chl-a) |
|---|---|---|---|
| Premonsoon | 61 | 43 | 40 |
| Monsoon | 61 | 52 | 48 |
| Postmonsoon | 61 | 47 | 46 |
| Parameters | Tau Correlation | S | Z | p-value | Empirical Model | Trend Analysis |
|---|---|---|---|---|---|---|
| WT | −0.158 | −411 | −3.517 | 0.0416 | WT = 12.07 − 0.5000E-01 × T | − |
| pH | 0.238 | 620 | 5.304 | 0.0092 | pH = 6.958 + 0.1667E-01 × T | + |
| DO | −0.036 | −94 | −0.793 | 0.5107 | DO = 9.372 − 0.6250E-02 × T | − |
| BOD | −0.139 | −362 | −3.104 | 0.2543 | BOD = 1.246 − 0.8333E-02 × T | − |
| COD | 0.287 | 748 | 6.400 | 0.0048 | COD = 1.913 + 0.2500E-01 × T | + |
| TSS | −0.046 | −121 | −1.023 | 0.6476 | TSS = 2.680 − 0.2000E-01 × T | − |
| EC | 0.344 | 897 | 7.642 | 0.0026 | EC = 58.33 + 0.6667 × T | + |
| TN | 0.167 | 436 | 3.702 | 0.1673 | TN = 1.411 + 0.1131E-01 × T | + |
| TP | −0.058 | −152 | −1.289 | 0.5190 | TP = 15.82 − 0.7143E-01 × T | − |
| Chl-a | −0.131 | −342 | −2.906 | 0.1361 | Chl-a = 3.200 − 0.5000E-01 × T | − |
| Category | Model Metrics (M) | Scoring Criteria | Mean ± Standard DeviationScores | ||||
|---|---|---|---|---|---|---|---|
| 5 | 3 | 1 | Rz | Tz | Lz | ||
| Nutrient Regime | M1: Total Nitrogen (mg/L) | <1.5 | 1.5–3.0 | >3 | 1.81 ± 0.47 (3) | 1.74 ± 0.44 (3) | 1.50 ± 0.29 (5) |
| M2: Total Phosphorus (µg/L) | <30 | 30–100 | >100 | 20.7 ± 16.7 (5) | 19.8 ± 23.2 (5) | 16.5 ± 23.1 (5) | |
| M3: TN:TP ratio | >50 | 20–50 | <20 | 120.4 ± 74.6 (5) | 129.4 ± 80.6 (5) | 158.4 ± 110.3 (5) | |
| Organic Matter | M4: Biological Oxygen Demand (mg/L) | <1 | 1–2.5 | >2.5 | 1.27 ± 0.32 (3) | 1.19 ± 0.27 (3) | 1.04 ± 0.3 (3) |
| Ionic Contents and Solids | M5: Total Suspended Solid (mg/L) | <4 | 4–10 | >10 | 7.38 ± 18.9 (3) | 6.16 ± 16.2 (3) | 4.58 ± 13.7 (3) |
| M6: Electrical Conductivity (µS/cm) | <180 | 180–300 | >300 | 70.88 ± 16.25 (5) | 70.16 ± 14.75 (5) | 68.37 ± 23.84 (5) | |
| Primary Production Indicator | M7: Sestonic Chlorophyll (µg/L) | <3 | 3–10 | >10 | 4.55 ± 7.52 (3) | 4.61 ± 4.98 (3) | 2.9 ± 3.29 (5) |
| Final Scores of WPI | 27 | 27 | 31 | ||||
| Water Quality | Good | Good | Excellent | ||||
© 2020 by the authors. Licensee MDPI, Basel, Switzerland. This article is an open access article distributed under the terms and conditions of the Creative Commons Attribution (CC BY) license (http://creativecommons.org/licenses/by/4.0/).
Share and Cite
HaRa, J.; Atique, U.; An, K.-G. Multiyear Links between Water Chemistry, Algal Chlorophyll, Drought-Flood Regime, and Nutrient Enrichment in a Morphologically Complex Reservoir. Int. J. Environ. Res. Public Health 2020, 17, 3139. https://doi.org/10.3390/ijerph17093139
HaRa J, Atique U, An K-G. Multiyear Links between Water Chemistry, Algal Chlorophyll, Drought-Flood Regime, and Nutrient Enrichment in a Morphologically Complex Reservoir. International Journal of Environmental Research and Public Health. 2020; 17(9):3139. https://doi.org/10.3390/ijerph17093139
Chicago/Turabian StyleHaRa, Jang, Usman Atique, and Kwang-Guk An. 2020. "Multiyear Links between Water Chemistry, Algal Chlorophyll, Drought-Flood Regime, and Nutrient Enrichment in a Morphologically Complex Reservoir" International Journal of Environmental Research and Public Health 17, no. 9: 3139. https://doi.org/10.3390/ijerph17093139
APA StyleHaRa, J., Atique, U., & An, K.-G. (2020). Multiyear Links between Water Chemistry, Algal Chlorophyll, Drought-Flood Regime, and Nutrient Enrichment in a Morphologically Complex Reservoir. International Journal of Environmental Research and Public Health, 17(9), 3139. https://doi.org/10.3390/ijerph17093139

