Dual-Task Tests Predict Conversion to Dementia—A Prospective Memory-Clinic-Based Cohort Study
Abstract
1. Introduction
2. Methods
2.1. Setting and Participants
2.2. Data Collection
2.2.1. Data Collection at Baseline
2.2.2. Timed Up-and-Go Single- and Dual-Task Tests
2.3. Review of Medical Records
2.4. Data Preparation and Statistical Analyses
Data Preparation
2.5. Statistical Analyses
3. Results
3.1. Participant Characteristics and Conversion to Dementia
3.2. Prediction of Dementia Incidence
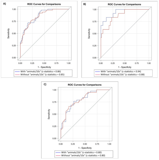
3.3. Improvement of Predictive Capacity Based on Demographic Characteristics and Standard Cognitive Tests
3.4. Added Predictive Capacity of a Dual-Task Test to Two Single-Task Tests
4. Discussion
5. Conclusions
Supplementary Materials
Author Contributions
Funding
Acknowledgments
Conflicts of Interest
References
- Alzheimer’s Disease International. World Alzheimer Report 2015: The Global Impact of Dementia. Available online: https://www.alz.co.uk/research/world-report-2015 (accessed on 26 August 2019).
- Fiest, K.M.; Jetté, N.; Roberts, J.I.; Maxwell, C.J.; Smith, E.E.; Black, S.E.; Blaikie, L.; Cohen, A.; Day, L.; Holroyd-Leduc, J.; et al. The Prevalence and Incidence of Dementia: A Systematic Review and Meta-analysis. Can. J. Neurol. Sci. Neurol. 2016, 43, S3–S50. [Google Scholar] [CrossRef] [PubMed]
- Harvey, R.J.; Skelton-Robinson, M.; Rossor, M.N. The prevalence and causes of dementia in people under the age of 65 years. J. Neurol. Neurosurg. Psychiatry 2003, 74, 1206–1209. [Google Scholar] [CrossRef] [PubMed]
- Van Vliet, D.; De Vugt, M.E.; Bakker, C.; Pijnenburg, Y.A.L.; Vernooij-Dassen, M.J.F.J.; Koopmans, R.T.C.M.; Verhey, F.R.J. Time to diagnosis in young-onset dementia as compared with late-onset dementia. Psychol. Med. 2012, 43, 423–432. [Google Scholar] [CrossRef] [PubMed]
- Mendez, M.F. The accurate diagnosis of early-onset dementia. Int. J. Psychiatry Med. 2006, 36, 401–412. [Google Scholar] [CrossRef] [PubMed]
- Reisberg, B.S. Current evidence for subjective cognitive impairment (SCI) as the pre-mild cognitive impairment (MCI) stage of subsequently manifest Alzheimer’s disease. Int. Psychogeriatr. 2008, 20, 1–16. [Google Scholar] [CrossRef]
- Petersen, R.C. Mild cognitive impairment as a diagnostic entity. J. Int. Med. 2004, 256, 183–194. [Google Scholar] [CrossRef]
- Colijn, M.A.; Grossberg, G.T. Amyloid and Tau Biomarkers in Subjective Cognitive Impairment. J. Alzheimer’s Dis. 2015, 47, 1–8. [Google Scholar] [CrossRef] [PubMed]
- Winblad, B.; Palmer, K.; Kivipelto, M.; Jelic, V.; Fratiglioni, L.; Wahlund, L.-O.; Nordberg, A.; Backman, L.; Albert, M.; Almkvist, O.; et al. Mild cognitive impairment-beyond controversies, towards a consensus: Report of the International Working Group on Mild Cognitive Impairment. J. Intern. Med. 2004, 256, 240–246. [Google Scholar] [CrossRef]
- Mitchell, A.J.; Beaumont, H.; Ferguson, D.M.; Stubbs, B. Risk of dementia and mild cognitive impairment in older people with subjective memory complaints: Meta-analysis. Acta Psychiatr. Scand. 2014, 130, 439–451. [Google Scholar] [CrossRef]
- Mitchell, A.J.; Shiri, M. Temporal trends in the long term risk of progression of mild cognitive impairment: A pooled analysis. J. Neurol. Neurosurg. Psychiatry 2008, 79, 1386–1391. [Google Scholar] [CrossRef] [PubMed]
- Barnes, D.E.K. The projected effect of risk factor reduction on Alzheimer’s disease prevalence. Lancet Neurol. 2011, 10, 819–828. [Google Scholar] [PubMed]
- Folstein, M.F.; Folstein, S.E.; McHugh, P.R. “Mini-mental state”. A practical method for grading the cognitive state of patients for the clinician. J. Psychiatr. Res. 1975, 12, 189–198. [Google Scholar] [CrossRef]
- Park, J.; Jeong, E.G. The clock drawing test: A systematic review and meta-analysis of diagnostic accuracy. J. Adv. Nurs. 2018, 74, 2742–2754. [Google Scholar] [CrossRef] [PubMed]
- Socialstyrelsen. Nationella Riktlinjer för Vård Och Omsorg vid Demenssjukdom (National Guidelines for Dementia Care). Available online: www.socialstyrelsen.se/globalassets/sharepoint-dokument/artikelkatalog/nationella-riktlinjer/2017–12-2.pdf (accessed on 1 May 2020).
- Creavin, S.T.; Wisniewski, S.; Noel-Storr, A.H.; Trevelyan, C.M.; Hampton, T.; Rayment, D.; Thom, V.M.; Nash, K.J.E.; Elhamoui, H.; Milligan, R.; et al. Mini-Mental State Examination (MMSE) for the detection of dementia in clinically unevaluated people aged 65 and over in community and primary care populations. Cochrane Database Syst. Rev. 2016, 1, CD011145. [Google Scholar]
- Laske, C.; Sohrabi, H.R.; Frost, S.M.; López-de-Ipiña, K.; Garrard, P.; Buscema, M.; Dauwels, J.; Soekadar, S.R.; Mueller, S.; Linnemann, C.; et al. Innovative diagnostic tools for early detection of Alzheimer’s disease. Alzheimer’s Dement. 2015, 11, 561–578. [Google Scholar] [CrossRef]
- Montero-Odasso, M.M.; Sarquis-Adamson, Y.; Speechley, M.; Borrie, M.J.; Hachinski, V.C.; Wells, J.; Riccio, P.M.; Schapira, M.; Sejdic, E.; Camicioli, R.M.; et al. Association of Dual-Task Gait With Incident Dementia in Mild Cognitive Impairment. JAMA Neurol. 2017, 74, 857–865. [Google Scholar] [CrossRef]
- Montero-Odasso, M.; Verghese, J.O.; Hausdorff, J.M. Gait and cognition: A complementary approach to understanding brain function and the risk of falling. J. Am. Geriatr. Soc. 2012, 60, 2127–2136. [Google Scholar]
- Montero-Odasso, M.; Oteng-Amoako, A.; Speechley, M.; Gopaul, K.; Beauchet, O.; Annweiler, C.; Muir-Hunter, S.W. The Motor Signature of Mild Cognitive Impairment: Results from the Gait and Brain Study. J. Gerontol. Ser. A Boil. Sci. Med. Sci. 2014, 69, 1415–1421. [Google Scholar]
- Beurskens, R.; Bock, O. Age-related deficits of dual-task walking: A review. J. Neural. Transplant. Plast. 2012, 2012, 131608. [Google Scholar]
- Beauchet, O.; Kressig, R.W.; Najafi, B.; Aminian, K.; Dubost, V.; Mourey, F. Age-related decline of gait control under a dual-task condition. J. Am. Geriatr. Soc. 2003, 51, 1187–1188. [Google Scholar] [PubMed]
- Srygley, J.M.; Mirelman, A.; Herman, T.; Giladi, N.; Hausdorff, J.M. When does walking alter thinking? Age and task associated findings. Brain Res. 2009, 1253, 92–99. [Google Scholar] [CrossRef]
- Brustio, P.R.; Magistro, D.; Zecca, M.; Rabaglietti, E.; Liubicich, M.E. Age-related decrements in dual-task performance: Comparison of different mobility and cognitive tasks. A cross sectional study. PLoS ONE 2017, 12, 1–15. [Google Scholar] [CrossRef]
- Gillain, S.; Dramé, M.; Lekeu, F.; Wojtasik, V.; Ricour, C.; Croisier, J.-L.; Salmon, E.; Petermans, J. Gait speed or gait variability, which one to use as a marker of risk to develop Alzheimer disease? A pilot study. Aging Clin. Exp. Res. 2015, 28, 249–255. [Google Scholar]
- Nielsen, M.S.; Simonsen, A.H.; Siersma, V.; Hasselbalch, S.G.; Hoegh, P. The Diagnostic and Prognostic Value of a Dual-Tasking Paradigm in a Memory Clinic. J. Alzheimer’s Dis. 2018, 61, 1189–1199. [Google Scholar] [CrossRef]
- Borges, S.M.; Radanovic, M.; Forlenza, O.V. Functional mobility in a divided attention task in older adults with cognitive impairment. J. Mot. Behav. 2015, 47, 378–385. [Google Scholar]
- Åhman, H.B.; Giedraitis, V.; Cedervall, Y.; Lennhed, B.; Berglund, L.; McKee, K.; Kilander, L.; Rosendahl, E.; Ingelsson, M.; Åberg, A.C. Dual-Task Performance and Neurodegeneration: Correlations Between Timed Up-and-Go Dual-Task Test Outcomes and Alzheimer’s Disease Cerebrospinal Fluid Biomarkers. J. Alzheimer’s Dis. 2019, 71, S75–S83. [Google Scholar]
- Cedervall, Y.; Kilander, L.; Aberg, A.C. Declining physical capacity but maintained aerobic activity in early Alzheimer’s disease. Am. J. Alzheimer’s Dis. Other Demen. 2012, 27, 180–187. [Google Scholar]
- Podsiadlo, D.; Richardson, S. The timed “Up & Go”: A test of basic functional mobility for frail elderly persons. J. Am. Geriatr. Soc. 1991, 39, 142–148. [Google Scholar] [PubMed]
- Tallberg, I.M.; Ivachova, E.; Jones, T.K.; Ostberg, P. Swedish norms for word fluency tests: FAS, animals and verbs. Scand. J. Psychol. 2008, 49, 479–485. [Google Scholar]
- Åhman, H.B.; Cedervall, Y.; Kilander, L.; Giedraitis, V.; Berglund, L.; McKee, K.J.; Rosendahl, E.; Ingelsson, M.; Åberg, A.C. Dual-task tests discriminate between dementia, mild cognitive impairment, subjective cognitive impairment, and healthy controls—A cross-sectional cohort study. BMC Geriatr. 2020, 20, 1–10. [Google Scholar]
- Cedervall, Y.; Stenberg, A.M.; Åhman, H.B.; Giedraitis, V.; Tinmark, F.; Berglund, L.; Halvorsen, K.; Ingelsson, M.; Rosendahl, E.; Åberg, A.C. Timed Up-and-Go Dual-Task Testing in the Assessment of Cognitive Function: A Mixed Methods Observational Study for Development of the UDDGait Protocol. Int. J. Environ. Res. Public Health 2020, 17, 1715. [Google Scholar] [CrossRef] [PubMed]
- Aberg, A.C.; Lindmark, B.; Lithell, H. Development and reliability of the General Motor Function Assessment Scale (GMF)—A performance-based measure of function-related dependence, pain and insecurity. Disabil. Rehabil. 2003, 25, 462–472. [Google Scholar] [CrossRef]
- Bohannon, R.W.; Larkin, P.A.; Cook, A.C.; Gear, J.; Singer, J. Decrease in timed balance test scores with aging. Phys. Ther. 1984, 64, 1067–1070. [Google Scholar] [CrossRef]
- Bohannon, R.W. Test-Retest Reliability of Measurements of Hand-Grip Strength Obtained by Dynamometry from Older Adults: A Systematic Review of Research in the PubMed Database. J. Frailty Aging 2017, 6, 83–87. [Google Scholar]
- Almeida, O.P.; Almeida, S.A. Short versions of the geriatric depression scale: A study of their validity for the diagnosis of a major depressive episode according to ICD-10 and DSM-IV. Int. J. Geriatr. Psychiatry 1999, 14, 858–865. [Google Scholar] [CrossRef]
- Solomon, P.R.; Brush, M.; Calvo, V.; Adams, F.; Deveaux, R.D.; Pendlebury, W.W.; Sullivan, D.M. Identifying dementia in the primary care practice. Int. Psychogeriatr. 2000, 12, 483–493. [Google Scholar] [CrossRef] [PubMed]
- Shulman, K.I. Clock-drawing: Is it the ideal cognitive screening test? Int. J. Geriatr. Psychiatry 2000, 15, 548–561. [Google Scholar] [CrossRef]
- American Psychiatric Association. Diagnostic and Statistical Manual of Mental Disorders, 4th ed.; American Psychiatric Assoc: Washington, DC, USA, 1994. [Google Scholar]
- McKhann, G.M.; Albert, M.S.; Grossman, M.; Miller, B.; Dickson, D.; Trojanowski, J.Q. Clinical and Pathological Diagnosis of Frontotemporal Dementia: Report of the Work Group on Frontotemporal Dementia and Pick’s Disease. Arch. Neurol. 2001, 58, 1803–1809. [Google Scholar] [CrossRef]
- Chui, H.C.; Victoroff, J.I.; Margolin, D.; Jagust, W.; Shankle, R.; Katzman, R. Criteria for the diagnosis of ischemic vascular dementia proposed by the State of California Alzheimer’s Disease Diagnostic and Treatment Centers. Neurology 1992, 42, 473–480. [Google Scholar] [CrossRef]
- McKeith, I.G. Consensus guidelines for the clinical and pathologic diagnosis of dementia with Lewy bodies (DLB): Report of the Consortium on DLB International Workshop. J. Alzheimer’s Dis. 2006, 9, 417–423. [Google Scholar] [CrossRef]
- McKhann, G.M.; Knopman, D.S.; Chertkow, H.; Hyman, B.T.; Jack, C.R.; Kawas, C.H.; Klunk, W.E.; Koroshetz, W.J.; Manly, J.J.; Mayeux, R.; et al. The diagnosis of dementia due to Alzheimer’s disease: Recommendations from the National Institute on Aging-Alzheimer’s Association workgroups on diagnostic guidelines for Alzheimer’s disease. Alzheimer’s Dement. 2011, 7, 263–269. [Google Scholar]
- Hensel, A.; Luck, T.; Luppa, M.; Glaesmer, H.; Angermeyer, M.C.; Riedel-Heller, S.G. Does a reliable decline in Mini Mental State Examination total score predict dementia? Diagnostic accuracy of two reliable change indices. Dement. Geriatr. Cogn. Disord. 2009, 27, 50–58. [Google Scholar]
- Hosmer, J.D.W.; Lemeshow, S.; Sturdivant, R.X. Applied Logistic Regression, 3rd ed.; John Wiley & Sons, Incorporated: New York, NY, USA, 2013; p. 177. [Google Scholar]
- Holtzer, R.; Epstein, N.; Mahoney, J.R.; Izzetoglu, M.; Blumen, H.M. Neuroimaging of Mobility in Aging: A Targeted Review. J. Gerontol. Ser. A Boil. Sci. Med. Sci. 2014, 69, 1375–1388. [Google Scholar]
- Theill, N.; Martin, M.; Schumacher, V.; Bridenbaugh, S.; Kressig, R.W. Simultaneously Measuring Gait and Cognitive Performance in Cognitively Healthy and Cognitively Impaired Older Adults: The Basel Motor-Cognition Dual-Task Paradigm. J. Am. Geriatr. Soc. 2011, 59, 1012–1018. [Google Scholar]
- Gillain, S.; Warzee, E.; Lekeu, F.; Wojtasik, V.; Maquet, D.; Croisier, J.-L.; Salmon, E.; Petermans, J. The value of instrumental gait analysis in elderly healthy, MCI or Alzheimer’s disease subjects and a comparison with other clinical tests used in single and dual-task conditions. Ann. Phys. Rehabil. Med. 2009, 52, 453–474. [Google Scholar] [PubMed]
- Yogev-Seligmann, G.; Hausdorff, J.M.; Giladi, N. The role of executive function and attention in gait. Mov. Disord. 2008, 23, 329–342. [Google Scholar]
- Nasreddine, Z.S.; Phillips, N.A.; Bedirian, V.; Charbonneau, S.; Whitehead, V.; Collin, I.; Cummings, J.L.; Chertkow, H. The Montreal Cognitive Assessment, MoCA: A Brief Screening Tool for Mild Cognitive Impairment. J. Am. Geriatr. Soc. 2005, 53, 695–699. [Google Scholar]
- Kim, K.W.; Woo, S.Y.; Kim, S.; Jang, H.; Kim, Y.; Cho, S.H.; Kim, S.E.; Kim, S.J.; Shin, B.-S.; Kim, H.J.; et al. Disease progression modeling of Alzheimer’s disease according to education level. Sci. Rep. 2020, 10, 16808. [Google Scholar] [PubMed]



| Characteristic | Total Sample; SCI or MCI (n = 172) | Converted to Dementia (n = 51) | Did not Convert to Dementia (n = 121) |
|---|---|---|---|
| Age, mean ± SD (min-max) | 71.0 ± 8.7 (39–91) | 75.7 ± 7.3 (56–91) | 69.0 ± 8.6 (39–88) |
| Age groups, n (%) | |||
| 30–39 years | 1 (0.6) | 0 (0) | 1 (0.8) |
| 40–49 years | 1 (0.6) | 0 (0) | 1 (0.8) |
| 50–59 years | 14 (8.1) | 2 (3.9) | 12 (9.9) |
| 60–69 years | 47 (27.3) | 6 (11.8) | 41 (33.9) |
| 70–79 years | 84 (48.8) | 27 (52.9) | 57 (47.1) |
| ≥80 years | 24 (15.7) | 16 (31.4) | 9 (7.4) |
| Female, n (%) | 78 (45.3) | 28 (54.9) | 50 (41.3) |
| University education, n (%) | 72 (41.9) | 21 (41.2) | 51 (42.1) |
| Married or cohabiting, n (%) | 114 (66.3) | 32 (62.7) | 82 (67.8) |
| Test result | |||
| MMSE | 27 (25–29) | 25 (23–27) | 28 (26–29) |
| Clock Drawing | 7 (6–7) | 6 (4–7) | 7 (6–7) |
| Verbal Fluency | 17 (13–23) | 14 (12–18) | 19 (14–24) |
| Depressive symptoms *, n (%) | 40 (23.3) | 11 (21.6) | 29 (24.0) |
| TUG single-task, s | 12.0 (10.2–14.2) | 13.5 (11.5–16.2) | 11.3 (9.9–13.1) |
| TUGdt NA, s | 13.3 (11.3–15.9) | 15.2 (13.3–18.2) | 12.3 (11.0–14.9) |
| TUGdt NA cost, % | 11.4 (2.3–18.2) | 9.9 (2.2–24.7) | 12.3 (2.5–17.7) |
| TUGdt NA, number of animals | 6.0 (5.0–7.3) | 5.0 (4.0–7.0) | 6.0 (5.0–8.0) |
| TUGdt NA, animals/10 s | 4.5 (3.3–6.1) | 3.3 (2.4–4.4) | 5.2 (3.7–6.4) |
| TUGdt MB, s | 13.5 (11.5–16.5) | 14.8 (13.0–19.1) | 12.8 (10.9–15.6) |
| TUGdt MB cost, % | 13.3 (3.1–27.7) | 18.6 (2.2–26.2) | 12.5 (3.3–28.7) |
| TUGdt MB, number of months | 7.0 (4.0–9.0) | 5.5 (3.0–8.3) | 7.0 (5.9–9.0) |
| TUGdt MB, months/10 s | 4.8 (2.9–6.8) | 3.3 (1.8–5.4) | 5.2 (3.6–7.6) |
| Characteristic | Patients < 72 years | Patients ≥ 72 years | |
|---|---|---|---|
| Number of patients, n (%) | Baseline SCI or MCI | 84 (100) | 88 (100) |
| Conversion | 12 (14.3) | 39 (44.3) | |
| Non-conversion | 72 (85.7) | 49 (55.7) | |
| Age, mean ± SD (min-max) | Baseline SCI or MCI | 64.1 ± 6.5 (39–71) | 77.6 ± 4.6 (72–91) |
| Conversion | 66.3 ± 5.0 (56–71) | 78.6 ± 5.2 (72–91) | |
| Non-conversion | 63.7 ± 6.6 (39–71) | 76.7 ± 3.9 (72–88) | |
| Female, n (%) | Baseline SCI or MCI | 39 (46.4) | 39 (44.3) |
| Conversion | 9 (75.0) | 19 (48.7) | |
| Non-conversion | 30 (41.7) | 20 (40.8) | |
| University education, n (%) | Baseline SCI or MCI | 40 (47.6) | 32 (36.4) |
| Conversion | 7 (58.3) | 14 (35.9) | |
| Non-conversion | 33 (45.8) | 18 (36.7) | |
| Married or cohabiting, n (%) | Baseline SCI or MCI | 58 (69.0) | 56 (63.6) |
| Conversion | 8 (66.7) | 42 (61.5) | |
| Non-conversion | 50 (69.4) | 32 (65.3) | |
| Test result | |||
| MMSE, score | Baseline SCI or MCI | 28 (25–29) | 26 (24–28) |
| (Score range 0–30) | Conversion | 25 (23–27) | 25 (23–27) |
| Non-conversion | 28 (26–29) | 28 (26–29) | |
| Clock Drawing test, score | Baseline SCI or MCI | 7 (6–7) | 7 (6–7) |
| (Score range 0–7) | Conversion | 6 (4–7) | 6 (5–7) |
| Non-conversion | 7 (7–7) | 7 (6–7) | |
| Verbal Fluency test *, score | Baseline SCI or MCI | 19 (13–24) | 16 (12–22) |
| Conversion | 13 (11–18) | 15 (12–17) | |
| Non-conversion | 20 (14–25) | 19 (15–23) | |
| Depressive symptoms **, n (%) | Baseline SCI or MCI | 26 (31.0) | 14 (15.9) |
| Conversion | 3 (25.0) | 8 (20.5) | |
| Non-conversion | 23 (31.9) | 6 (12.2) | |
| TUG single-task, s | Baseline SCI or MCI | 11.0 (9.6–12.9) | 12.6 (11.1–14.5) |
| Conversion | 13.0 (11.9–17.0) | 13.9 (11.4–16.1) | |
| Non-conversion | 10.6 (9.6–12.6) | 12.3 (10.8–13.9) | |
| TUGdt NA, s | Baseline SCI or MCI | 11.8 (10.3–15.0) | 14.0 (12.3–16.6) |
| Conversion | 15.8 (13.0–19.0) | 14.9 (13.4–17.7) | |
| Non-conversion | 11.5 (10.2–14.2) | 13.8 (12.1–15.6) | |
| TUGdt NA cost, % | Baseline SCI or MCI | 9.8 (1.3–14.9) | 13.2 (4.0–23.3) |
| Conversion | 5.9 (1.5–25.5) | 10.9 (2.3–23.6) | |
| Non-conversion | 10.1 (1.3–14.6) | 14.0 (5.3–23.2) | |
| TUGdt NA, number of animals | Baseline SCI or MCI | 6.0 (5.0–8.0) | 6.0 (5.0–7.0) |
| Conversion | 4.5 (4.0–6.8) | 6.0 (4.0–7.0) | |
| Non-conversion | 6.5 (6.0–8.0) | 6.0 (5.0–8.0) | |
| TUGdt NA, animals/10 s | Baseline SCI or MCI | 5.5 (3.6–6.7) | 4.0 (2.8–5.2) |
| Conversion | 3.0 (2.2–3.6) | 3.5 (2.4–4.4) | |
| Non-conversion | 5.9 (4.4–6.9) | 4.5 (3.4–5.6) | |
| TUGdt MB, s | Baseline SCI or MCI | 12.6 (10.8–15.4) | 14.8 (12.5–17.8) |
| Conversion | 15.5 (12.6–18.8) | 14.8 (13.4–20.4) | |
| Non-conversion | 12.3 (10.4–14.4) | 13.7 (12.4–16.6) | |
| TUGdt MB cost, % | Baseline SCI or MCI | 11.1 (3.2–21.3) | 21.4 (2.3–30.7) |
| Conversion | 16.5 (1.2–21.6) | 20.4 (2.1–31.2) | |
| Non-conversion | 11.0 (3.3–21.3) | 21.8 (2.3–30.7) | |
| TUGdt MB, number of months | Baseline SCI or MCI | 7.0 (5.0–8.0) | 7.0 (4.0–9.0) |
| Conversion | 5.0 (3.0–7.8) | 5.5 (3.0–9.0) | |
| Non-conversion | 7.0 (5.0–8.8) | 7.5 (4.3–9.0) | |
| TUGdt MB, months/10 s | Baseline SCI or MCI | 5.4 (3.7–7.3) | 4.3 (2.4–6.1) |
| Conversion | 3.1 (2.0–5.4) | 3.5 (1.7–5.4) | |
| Non-conversion | 5.5 (4.1–7.6) | 4.7 (2.8–7.6) |
| Model 1 | Model 2 | Model 3 | ||||
|---|---|---|---|---|---|---|
| sOR (95% CI) | p-Value | sOR (95% CI) | p-Value | sOR (95% CI) | p-Value | |
| TUGst time score, s | 2.73 (1.74–4.30) | <0.001 | 1.93 (1.16–3.20) | 0.011 | 1.49 (0.82–2.70) | 0.189 |
| TUGdt NA time score, s | 2.64 (1.68–4.15) | <0.001 | 1.93 (1.15–3.21) | 0.012 | 1.49 (0.83–2.67) | 0.183 |
| * TUGdt NA, number of animals | 2.03 (1.31–3.15) | <0.001 | 1.96 (1.24–3.10) | 0.004 | 1.41 (0.84–2.35) | 0.190 |
| * TUGdt NA, animals/10 s | 4.06 (2.28–7.23) | <0.001 | 3.14 (1.70–5.81) | <0.001 | 1.89 (0.95–3.73) | 0.067 |
| TUGdt NA cost, % | 1.03 (0.76–1.40) | 0.840 | 0.99 (0.73–1.33) | 0.939 | 0.97 (0.70–1.34) | 0.866 |
| TUGdt MB time score, s | 2.16 (1.40–3.33) | <0.001 | 1.40 (0.85–2.31) | 0.185 | 0.95 (0.52–1.73) | 0.857 |
| * TUGdt MB, number of months | 1.56 (1.07–2.28) | 0.021 | 1.56 (1.05–2.32) | 0.029 | 0.86 (0.52–1.41) | 0.553 |
| * TUGdt MB, months/10 s | 2.53 (1.57–4.08) | <0.001 | 2.05 (1.23–3.39) | 0.006 | 0.96 (0.52–1.78) | 0.893 |
| TUGdt MB cost, % | 0.89 (0.65–1.23) | 0.484 | 0.76 (0.53–1.10) | 0.142 | 0.62 (0.36–1.05) | 0.073 |
Publisher’s Note: MDPI stays neutral with regard to jurisdictional claims in published maps and institutional affiliations. |
© 2020 by the authors. Licensee MDPI, Basel, Switzerland. This article is an open access article distributed under the terms and conditions of the Creative Commons Attribution (CC BY) license (http://creativecommons.org/licenses/by/4.0/).
Share and Cite
B Åhman, H.; Berglund, L.; Cedervall, Y.; Kilander, L.; Giedraitis, V.; McKee, K.J.; Ingelsson, M.; Rosendahl, E.; Åberg, A.C. Dual-Task Tests Predict Conversion to Dementia—A Prospective Memory-Clinic-Based Cohort Study. Int. J. Environ. Res. Public Health 2020, 17, 8129. https://doi.org/10.3390/ijerph17218129
B Åhman H, Berglund L, Cedervall Y, Kilander L, Giedraitis V, McKee KJ, Ingelsson M, Rosendahl E, Åberg AC. Dual-Task Tests Predict Conversion to Dementia—A Prospective Memory-Clinic-Based Cohort Study. International Journal of Environmental Research and Public Health. 2020; 17(21):8129. https://doi.org/10.3390/ijerph17218129
Chicago/Turabian StyleB Åhman, Hanna, Lars Berglund, Ylva Cedervall, Lena Kilander, Vilmantas Giedraitis, Kevin J. McKee, Martin Ingelsson, Erik Rosendahl, and Anna Cristina Åberg. 2020. "Dual-Task Tests Predict Conversion to Dementia—A Prospective Memory-Clinic-Based Cohort Study" International Journal of Environmental Research and Public Health 17, no. 21: 8129. https://doi.org/10.3390/ijerph17218129
APA StyleB Åhman, H., Berglund, L., Cedervall, Y., Kilander, L., Giedraitis, V., McKee, K. J., Ingelsson, M., Rosendahl, E., & Åberg, A. C. (2020). Dual-Task Tests Predict Conversion to Dementia—A Prospective Memory-Clinic-Based Cohort Study. International Journal of Environmental Research and Public Health, 17(21), 8129. https://doi.org/10.3390/ijerph17218129

