Next Article in Journal
Fetal Cerebral Artery Mitochondrion as Target of Prenatal Alcohol Exposure
Previous Article in Journal
Health System Responses to the Health Needs of Refugees and Asylum-seekers in Malaysia: A Qualitative Study
 
 
Font Type:
Arial Georgia Verdana
Font Size:
Aa Aa Aa
Line Spacing:
Column Width:
Background:
Article

Temporal Cross-Correlations between Ambient Air Pollutants and Seasonality of Tuberculosis: A Time-Series Analysis

1
Department of Infectious Disease Control, Kunshan Centers for Disease Control and Prevention, Kunshan 215300, China
2
Department of Public Health, Soochow University, Kunshan 215300, China
*
Authors to whom correspondence should be addressed.
Int. J. Environ. Res. Public Health 2019, 16(9), 1585; https://doi.org/10.3390/ijerph16091585
Submission received: 15 March 2019 / Revised: 22 April 2019 / Accepted: 2 May 2019 / Published: 6 May 2019

Abstract

:
The associations between ambient air pollutants and tuberculosis seasonality are unclear. We assessed the temporal cross-correlations between ambient air pollutants and tuberculosis seasonality. Monthly tuberculosis incidence data and ambient air pollutants (PM2.5, PM10, carbon monoxide (CO), nitrogen dioxide (NO2), ozone (O3), sulfur dioxide (SO2)) and air quality index (AQI) from 2013 to 2017 in Shanghai were included. A cross-correlogram and generalized additive model were used. A 4-month delayed effect of PM2.5 (0.55), PM10 (0.52), SO2 (0.47), NO2 (0.40), CO (0.39), and AQI (0.45), and a 6-month delayed effect of O3 (−0.38) on the incidence of tuberculosis were found. The number of tuberculosis cases increased by 8%, 4%, 18%, and 14% for a 10 μg/m3 increment in PM2.5, PM10, SO2, and NO2; 4% for a 10 unit increment in AQI; 8% for a 0.1 mg/m3 increment in CO; and decreased by 4% for a 10 μg/m3 increment in O3. PM2.5 concentrations above 50 μg/m3, 70 μg/m3 for PM10, 16 μg/m3 for SO2, 47 μg/m3 for NO2, 0.85 mg/m3 for CO, and 85 for AQI, and O3 concentrations lower than 95 μg/m3 were positively associated with the incidence of tuberculosis. Ambient air pollutants were correlated with tuberculosis seasonality. However, this sort of study cannot prove causality.

1. Introduction

Tuberculosis is an infectious disease caused by the bacillus, Mycobacterium tuberculosis. It typically affects the lungs (pulmonary tuberculosis), but can also affect other sites (extrapulmonary tuberculosis). The disease is spread when people who are sick with pulmonary tuberculosis expel bacteria into the air, for example, by coughing. Persons infected with Mycobacterium tuberculosis may develop latent tuberculosis infection, and about 10% of people with latent tuberculosis infection subsequently progress to active tuberculosis themselves [1]. The risk of progression to active disease is highest in the first two years after infection, but persists for life unless treated. The probability of developing tuberculosis disease is much higher among people infected with HIV, and also higher among people affected by risk factors, such as under-nutrition, diabetes, smoking, and alcohol consumption [2]. Without treatment, about 70% of individuals with sputum smear-positive pulmonary tuberculosis die within 10 years of being diagnosed, as do about 20% of people with culture-positive (but smear-negative) pulmonary tuberculosis [2].
Globally, the estimated years of life lost with tuberculosis was 407,188,000 in 2016 [3]. To reach the first milestones of the End Tuberculosis Strategy, the tuberculosis incidence is anticipated to fall at 4% to 5% per year, while it is falling at about 2% per year worldwide (http://www.who.int/tb/publications/global_report/en/, accessed on 15 March 2019). China is one of the 30 tuberculosis high burden countries, and the incidence of tuberculosis ranks second among all of the notifiable diseases in China (http://www.nhc.gov.cn/, accessed on 15 March 2019). Identification of the predictors or risk factors of tuberculosis is crucial for tuberculosis prevention and control. Tuberculosis is a seasonal disease worldwide [4,5]. Globally, a seasonal pattern of tuberculosis with a mostly predominant peak is seen during the spring and summer seasons, which leads to the assumption that the risk of transmission of Mycobacterium tuberculosis does appear to be the greatest during winter months [4]. There are several possible reasons of the seasonality of tuberculosis: Serum vitamin D level variability, indoor activities, seasonal changes in immune function, and patient or health care system delays in the diagnosis and treatment of tuberculosis [4]. Additionally, seasonal variation in food availability and food intake, age, and sex are important factors which can play a role in tuberculosis notification variability [4]. While there is consistent evidence that indoor air pollution exposure is associated with an increased risk of tuberculosis [6], a few recent observational studies with mixed findings investigated the effects of ambient air pollutants on the seasonality or risk of tuberculosis [7,8,9]. The highest rate of a major pollutant over China was particulate matter (PM) of PM2.5 followed by PM10, O3, NO2, SO2, and CO [10], and in 2014 (2015, 2016), 7% (14%, 19%), 17% (27%, 34%), 51% (67%, 70%), and 88% (97%, 98%) of the population in China lived in areas that meet the level of annual PM2.5, PM10, NO2, and SO2 standard metrics from Chinese Ambient Air Quality Standards-Grade II [11]. Therefore, even small health effects of ambient air pollutants on the risk of tuberculosis could have considerable public health consequences considering the population exposure in China. However, to our knowledge, there is only one study involving a city in mainland China suggesting that the outdoor PM2.5 concentration could be a potential risk factor for the seasonality of tuberculosis [7], and the effects of other major ambient air pollutants (PM10, O3, NO2, SO2, and CO) and the air quality index (AQI) on the seasonality of tuberculosis have not been assessed in mainland China. Therefore, with the hypotheses that ambient air pollutants may be associated with the seasonality of tuberculosis, we conducted a time-series analysis to assess the temporal cross-correlations between ambient air pollutants (PM2.5, PM10, O3, NO2, SO2, and CO) and the air quality index (AQI) and the seasonality of tuberculosis based on the monthly incidence data of tuberculosis and ambient air pollution data in Shanghai from 2013 to 2017.

2. Materials and Methods

2.1. Data Collection

Serving as the center of economy and finance of China, Shanghai (31°53′ N/122°12′ E) is located in eastern China. According to the China Statistical Yearbook in 2017 (http://www.stats.gov.cn/, accessed on 15 March 2019), Shanghai GDP per capita (17,548 dollars) ranks second (after Beijing) among the 31 provinces in China, and the resident population in Shanghai is 24,197,000 in 2017. According to the Shanghai Statistical Yearbook (http://www.stats-sh.gov.cn/html/sjfb/201901/1003014.html, accessed on 15 March 2019), the population in Shanghai has been relatively stable, and the net growth rates of the population accounting for immigration and emigration were 0.553% in 2011, 0.397% in 2012, 0.424% in 2013, 0.403% in 2014, 0.437% in 2015, and 0.457% in 2016. During January 2008 to December 2011, the mean daily temperature was 17.3 °C (range, −3.4 to 35.7 °C), reflecting the subtropical climate in Shanghai [12]. In addition, the mean relative humidity was 69% (range, 23% to 95%), and the precipitation was 30.9 mm (range, 0 to 1284.0 mm), and the wind speed was 2.9 m/s (range, 0.8 to 7.3 m/s) [12]. In addition, during January 2013 to December 2014, the mean daily temperature was 15.0 °C (range, −4.2 to 31.3 °C), and the mean relative humidity was 71.3% (range, 31.8% to 97.4%) [13].
The monthly incidence data of tuberculosis are released by the Shanghai Commission of Health and Family Planning, and the monthly incidence data from 2013 to 2017 (i.e., 60 months) were included in this analysis. In China, all tuberculosis cases verified by clinical or laboratory diagnosis must be reported within 24 hours, and then must be checked by professionals from local centers for disease control and prevention. Duplicate cards from the same case must be checked and addressed by the end of each month.
Ambient air pollution data from 2013 to 2017 are obtained by the Shanghai Environmental Monitoring Center, including concentrations of particulate matter of PM2.5 (μg/m3) and PM10 (μg/m3), carbon monoxide (CO) (mg/m3), nitrogen dioxide (NO2) (μg/m3), ozone (O3) (μg/m3), sulfur dioxide (SO2) (μg/m3), and the air quality index (AQI), which considers PM2.5, PM10, CO, NO2, O3, and SO2 simultaneously. Daily values of air pollution data were averaged to monthly figures (i.e., 60 months) in this analysis, and then moving averages ranging from 1 to 12 months prior to the current month were calculated. The Shanghai Environmental Monitoring Center is the government agency in charge of the collection of air pollution data in Shanghai. The database from the Shanghai Environmental Monitoring Center included 24 h average measurements of PM2.5, PM10, CO, NO2, and SO2 concentrations, as well as the daily maximum O3 figure based on an 8 h running mean. All data used in this study were based on the average assessment of nine air quality monitoring stations in Shanghai, located in Putuo, Yangpu, Huangpu, Qingpu, Hongkou, Xuhui, Jing’an, and Pudong New Area, and all data were covered by China National Quality Control [14]. These monitoring stations are mandated to be located away from major roads, industrial sources, buildings, or residential sources of emissions from the burning of coal, waste, or oil; thus, these monitoring results reflect the background urban air pollution level in Shanghai rather than local sources, such as traffic or industrial combustion [13,14]. Ethical approval is not required for this study because these are secondary data for public access.

2.2. Statistical Analysis

In the descriptive analysis, scatter plots of both the exposure (PM2.5, PM10, CO, NO2, O3, SO2, and AQI) and the number of tuberculosis cases over time for the entire study period (2013–2017) were provided to reveal high-level patterns in the data. Cross-correlograms help to explore relationships between two time series [15]. To assess the effects of ambient air pollutants on the risk of tuberculosis, we first conducted cross-correlation analysis over a range of time lags. We listed the ambient air pollutants fist and then the tuberculosis incidence data second in the analysis, then the positive lags denote correlations between ambient air pollutants at time t and the incidence of tuberculosis at time t + 1, t + 2, etc. [10]. Both the concentrations from a single month and moving average concentrations of PM2.5, PM10, CO, NO2, O3, SO2, and AQI were used in this analysis. Of those infected, approximately 90% will be latently infected, 5% will progress to active tuberculosis within one year, and an additional 5% will progress to active tuberculosis within their lifetime [16,17]. There is also evidence showing that recent tuberculosis transmission is more influenced by the season than tuberculosis resulting from activation of a latent infection [18]. Therefore, the number of lags was defined to be 0 to 2 months in this analysis.
Generalized additive models (GAM) are flexible extensions of generalized linear models. Whereas the link function in a generalized linear models is a linear combination of the predictors, in a GAM, the link function may include flexible functions of arbitrary complexity based (for example) on smoothing splines. GAM is useful for exploratory analysis when one knows very little about the functional forms in a dataset, such as the relationship between ambient air pollutants and influenza like-illness [19,20]. In this analysis, cubic regression spline functions of nonlinear terms (df = 3), including PM2.5, PM10, CO, NO2, O3, SO2, and AQI one at a time, were incorporated into the generalized additive models. The number of tuberculosis cases per month is assumed to follow a Poisson distribution [5], thus Poisson regression analysis was used in GAM, and the most commonly used log link function was adopted for ease of interpretation [19]. To explore the delayed impact of ambient air pollutants on the risk of tuberculosis, GAM was conducted with ambient air pollutants that lagged at a single month (0–12 months) or moving average (2–12 months), ranging from 0 to 4 months prior to the tuberculosis notification date. Flexible spline functions were adopted to allow control of seasonality and long-term trends [21]. To fit a spline function in practice, we first generated a set of basis variables, which are functions of the main time variable, and then included these basis variables in the Poisson model. Relative risk and 95% confidence intervals (IRR (95%CI)) from the GAM model were provided. All analysis was conducted with Stata version 10.0, with p-values < 0.05 considered significant.

3. Results

The mean concentration (standard deviation) of PM2.5 was 49.95 (18.85) μg/m3, and the values were 67.44 (22.38) μg/m3 for PM10, 16.85 (8.15) μg/m3 for SO2, 45.38 (13.00) μg/m3 for NO2, 0.80 (0.16) mg/m3 for CO, 103.99 (28.84) μg/m3 for O3, and 86.35 (18.27) for AQI. Supplementary Figure S1 shows scatter plots of both the exposures and number of tuberculosis cases over time for the entire study period, and seasonality and trends with the flexible cubic spline model are also shown in Supplementary Figure S1. The plots show that both the ambient air pollutants and the number of tuberculosis cases seem to be dominated by annual seasonal patterns, with PM2.5, PM10, CO, NO2, SO2, and AQI highest in winter and lowest in summer, and the opposite pattern for O3, while the highest number of tuberculosis cases was observed in spring–summer (May, June, July, and August) and was lowest in winter. The magnitude of cross-correlation coefficients between PM2.5, PM10, SO2, NO2, CO, and AQI increased with prolonged lagged time from 0 to 4 months and then decreased thereafter. The 4-month lagged cross-correlation coefficients of PM2.5, PM10, SO2, NO2, CO, and AQI with the seasonality of tuberculosis were 0.55, 0.52, 0.47, 0.40, 0.39, and 0.45, respectively. In addition, while a cross-correlation coefficient of 0.41 was observed between the 0 to 1 month lag of O3 and tuberculosis, the magnitude of the cross-correlation coefficients increased to −0.38 at the 6-month lag of O3 and then decreased thereafter (Table 1).
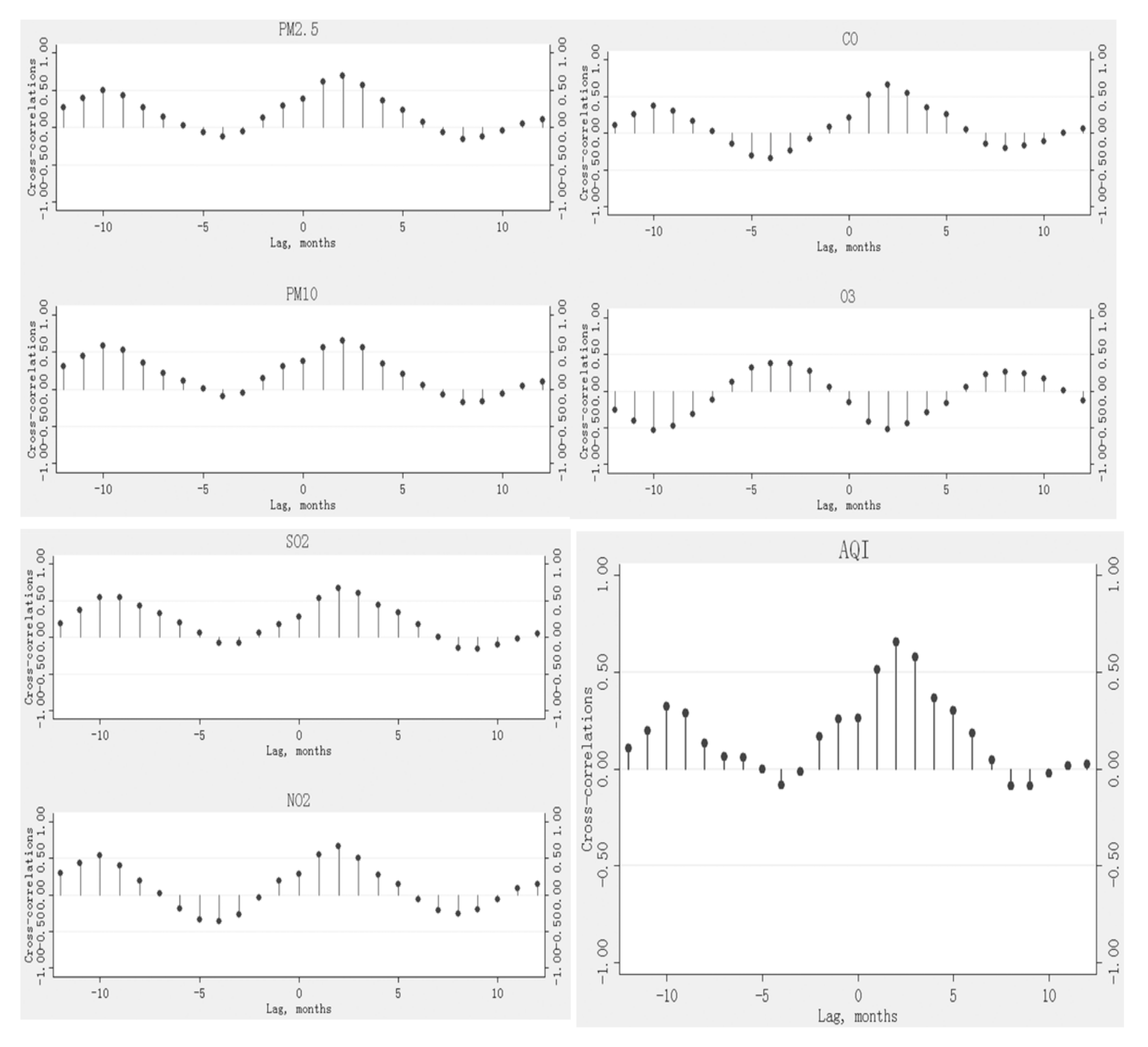
The largest magnitude cross-correlation coefficients were found between 6-month moving average concentrations of PM2.5, PM10, SO2, and AQI and the seasonality of tuberculosis two months later, and the cross-correlation coefficients were 0.69, 0.65, 0.67, and 0.66, respectively. Largest magnitude cross-correlation coefficients were found between 7-month moving average concentrations of NO2, CO, and O3 and the seasonality of tuberculosis two months later, and the cross-correlation coefficients were 0.67, 0.66, and −0.52, respectively. In addition, the relatively strong positive cross-correlations between O3 lagged at a single month (0–1 month) and the seasonality of tuberculosis were not observed in the analysis with moving average concentrations (Table 2). The above cross-correlograms are shown in Figure 1.
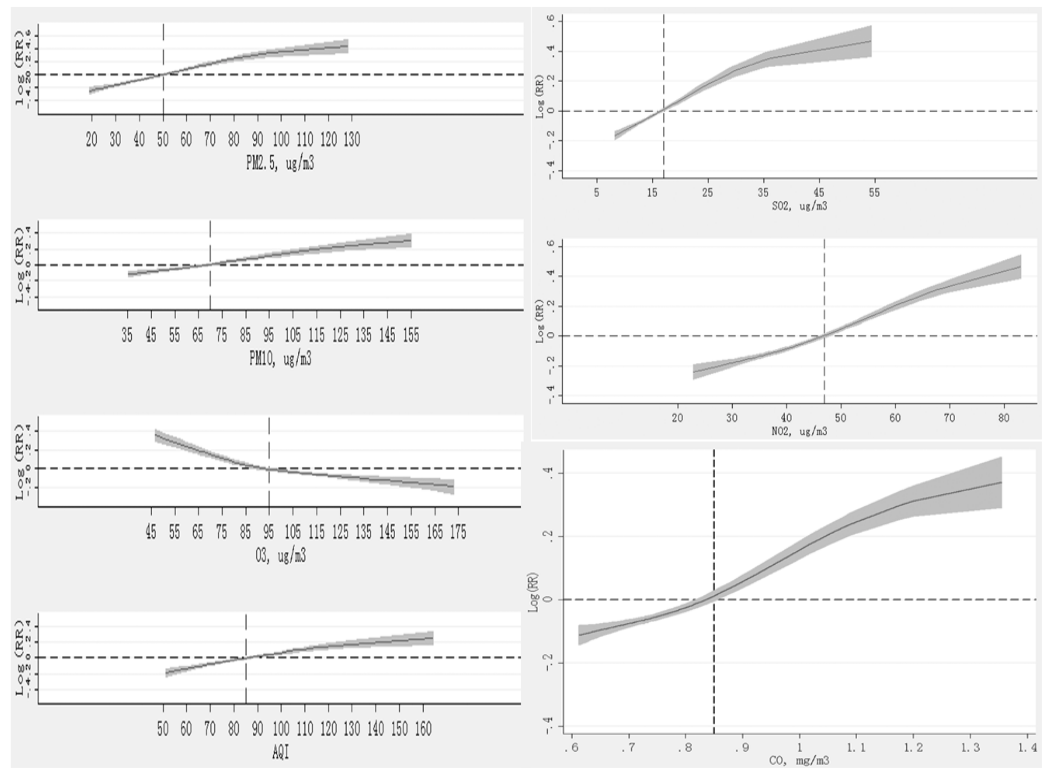
The non-linear relationships (all p-values for non-linear tests are <0.01) between ambient air pollutants and the risk of tuberculosis after controlling for seasonality and long-term trends are shown in Figure 2. PM2.5 concentrations above 50 μg/m3, 70 μg/m3 for PM10, 16 μg/m3 for SO2, 47 μg/m3 for NO2, 0.85 mg/m3 for CO, and 85 for AQI, and O3 concentrations lower than 95 μg/m3 were significantly positively associated with the incidence of tuberculosis. The departure from a linear relationship may be mainly caused by the relatively large number of tuberculosis cases included in the model (i.e., the pointwise 95% confidence intervals are very narrow). After controlling for seasonality and long-term trends, the number of tuberculosis cases increased by 8% (RR (95% CI): 1.08 (1.05–1.10), p = 0.01), 4% (1.04 (1.01–1.06), p = 0.03), 18% (1.18 (1.10–1.26), p < 0.01), and 14% (1.14 (1.10–1.19), p < 0.01) for a 10 μg/m3 increment in PM2.5, PM10, SO2, and NO2; and 4% (1.04 (1.01–1.06), p = 0.03) for a 10 unit increment in AQI; 8% (1.08 (1.04–1.11), p < 0.01) for a 0.1 mg/m3 increment in CO; and decreased by 4% (0.96 (0.92–0.99), p = 0.04) for a 10 μg/m3 increment in O3. Similar results were found in the analysis of moving average concentrations (Supplementary Figure S2).

4. Discussion

To our knowledge, this is the first time series analysis investigating the cross-correlations and non-linear relationships of ambient air pollutants with the seasonality of tuberculosis in China. In this study, ambient air pollutants of PM2.5, PM10, SO2, NO2, CO, and AQI were found to be positively associated with the seasonality of tuberculosis, while O3 was inversely associated with the seasonality of tuberculosis, and delayed effects of ambient air pollutants on the incidence of tuberculosis were found. Moving average concentrations of ambient air pollutants yielded better predictive power than concentrations of pollutants from a single month. Furthermore, threshold effects of ambient air pollutants on the incidence of tuberculosis were detected.
The effects of ambient air pollutants on the risk or seasonality of tuberculosis have been investigated in a few studies with mixed findings. An ecologic study conducted in Beijing and Hong Kong suggested that outdoor PM2.5 concentration could be a potential risk factor for the seasonality of tuberculosis [7], and a 10 mg/m3 increase in PM2.5 concentrations was significantly associated with a 3% increase in the number of tuberculosis cases [7]. A cohort study with a median follow-up of 6.7 years in Taiwan found that the risk of active tuberculosis was 1.39 (0.95–2.03) and 0.95 (0.78–1.17) with a 10 μg/m3 increase in PM2.5 and PM10; 1.33 (1.04–1.70), 1.21 (1.04–1.41), and 0.69 (0.48–0.98) with a 10 ppb increase in NO2, nitrogen oxides, and O3; and 1.89 (0.78–4.58) with a 10 ppm increase in CO, respectively [8]. In a nested case-control study in the USA, tuberculosis was found to be positively associated with ambient CO (highest vs. lowest quintile: 1.50 (1.15–1.95)) and NO2 (1.42 (1.10–1.84)), while no association was found with PM2.5, PM10, SO2, and O3 [9]. An ecological study in the USA indicated a potential association between PM2.5 and PM10 and tuberculosis [22]. A retrospective cohort study in South Korea found no associations between PM10, CO, NO2, and O3 and tuberculosis, while the interquartile increase in the SO2 concentration was associated with a 7% increment in tuberculosis incidence [23]. A significant correlation of smear-positive tuberculosis and PM2.5 was found after a retrospective medical records review, but no association was found with O3 in a USA study [24]. Tuberculosis showed a highly significant correlation with PM2.5 in a cross-sectional study in Japan [20]. In addition, exposure to PM2.5 [25] and residential proximity to road traffic volumes and traffic density [26] were also found to increase the risk of death in tuberculosis patients.
Approximately 20% of the individuals who come into close contact with patients with smear-positive tuberculosis will subsequently be infected. Of those infected, approximately 90% will be latently infected, 5% will progress to active tuberculosis within one year, and an additional 5% will progress to active tuberculosis within their lifetime [16,17]. In this study, pollutants of PM2.5, PM10, SO2, NO2, CO, and AQI were associated with an increased number of tuberculosis notification four months later. In China, monthly changes in both the air pollution ratio and continuous air pollution ratio has a U-shaped variation, indicating that the highest levels of air pollution occur in winter and the lowest levels happen in summer [27]. A recent review showed that the inter-quartile range of tuberculosis diagnostic delay was 44 to 77.8 days in low- and middle-income countries [28], and there is also evidence showing that recent tuberculosis transmission is more influenced by season than tuberculosis resulting from activation of a latent infection [18]. Therefore, the lagged effects in this study are consistent with the evidence available given the preclinical period, from infection to development of active tuberculosis, may last from a few weeks to several months [4].
Particulate matter may modulate the innate immune system and increase susceptibility to infection through (a) alveolar macrophage-driven inflammation, recruitment of neutrophils, and disruption of barrier defenses; (b) alterations in alveolar macrophage phagocytosis and intracellular killing; and (c) increased susceptibility to infection via upregulation of receptors involved in pathogen invasion [29]. In addition, a recent study found that particulate matter could adsorb antimicrobial proteins and peptides and create negative complexes, thereby decreasing the functional amount of antimicrobial proteins and peptides capable of killing pathogens [30]. Furthermore, recent findings also showed that the mixture of components in ambient air particulate matter may explain some seasonal differences in associations between health outcomes and particulate matter in epidemiologic studies by their pro-inflammatory potential [31]. The detailed mechanisms underlying other ambient air pollutants of NO2, SO2, and O3 and tuberculosis warrant further investigation.
There are several limitations. First, this analysis aimed to explore the temporal cross-correlations between ambient air pollutants and seasonality of tuberculosis, and causality cannot be confirmed by this type of analysis. Second, detailed information of tuberculosis cases are missing, such as age and sex, which precludes further analysis in this study. Third, meteorological factors that may improve the GAM were not available to us. Fourth, although all tuberculosis cases verified by the clinical or laboratory diagnosis must be reported within 24 hours in China, non-notified cases who do not seek health care may also influence our results. Fifth, tuberculosis is generally associated with poverty and deprivation, and household crowding is one manifestation of poverty and could be a mechanism that mediates the link between deprivation and tuberculosis [1]. Reducing levels of household crowding is likely to be most important for those populations with both high rates of tuberculosis and high rates of household crowding [1]. Therefore, further analysis incorporating indoor air quality, and meteorological (temperature, relative humidity, wind, and rain), social, and economic parameters is warranted, with the identification of high-risk groups. Finally, tuberculosis incidence data are released each month, thus we did not explore the short-term associations that could be modeled with the distributed lag models [21,32]. However, for an outcome, like tuberculosis, the period from latent tuberculosis infection to active tuberculosis usually lasts for several months or longer. Therefore, in this analysis, we used the cross-correlograms to explore the long-term cross-correlations.

5. Conclusions

In summary, ambient air pollutants of PM2.5, PM10, SO2, NO2, CO, O3, and AQI were associated with the seasonality of tuberculosis in Shanghai, China. The findings need to be confirmed in other provinces in China, and also in other countries. In addition, this sort of study cannot prove causality and several other factors, including indoor air quality, and meteorological (temperature, relative humidity, wind, and rain), social, and economic parameters are not available in this analysis, which should be considered in further studies. Overall, this study marks the beginning of deeper investigations and more research is needed before any substantial recommendations can be made for environmental policy.

Supplementary Materials

The following are available online at https://www.mdpi.com/1660-4601/16/9/1585/s1, Figure S1: title, Table S1: title, Video S1: title. Figure S1: Seasonal and long-term patterns of outcome (TB cases) and exposure (PM2.5, PM10, O3, SO2, NO2, CO, AQI) data over time. Gray circle: raw data, solid black line: flexible cubic spline model. Figure S2: The non-linear relationships between 6-month moving average concentrations of PM2.5, PM10, SO2 and AQI, as well as 7-month moving average concentrations of NO2, CO and O3 and risk of tuberculosis. The solid lines indicate the estimated log relative risk of tuberculosis and the dashed lines indicate the corresponding 95 % confidence intervals.

Author Contributions

Conceptualization: H.W. and T.C.; Resources: H.W. and T.C.; Analysis: H.W. and T.C.; Writing: H.W. and T.C.; Revise: W.W. and X.L.

Funding

This research was supported by Kunshan Special Fund for Social Development and Science & Technology (No.: KS1452) and the APC was funded by Kunshan Special Fund for Social Development and Science & Technology (No.: KS1452).

Acknowledgments

None.

Conflicts of Interest

The authors declare no conflict of interest.

References

  1. Braubach, M.; Jacobs, D.E.; Ormandy, D. Environmental Burden of Disease Associated with Inadequate Housing—A Method Guide to the Quantification of Health Effects of Selected Housing Risks; World Health Organization: Geneva, Switzerland, 2011. [Google Scholar]
  2. WHO. Global Tuberculosis Report 2017. Available online: http://www.who.int/tb/publications/global_report/en/ (accessed on 3 January 2018).
  3. GBD 2016 Causes of Death Collaborators. Global, regional, and national age-sex specific mortality for 264 causes of death, 1980–2016: A systematic analysis for the Global Burden of Disease Study 2016. Lancet 2017, 390, 1151–1210. [Google Scholar] [CrossRef]
  4. Fares, A. Seasonality of tuberculosis. J. Glob. Infect. Dis. 2011, 3, 46–55. [Google Scholar] [CrossRef] [PubMed]
  5. Wang, H.; Tian, C.W.; Wang, W.M.; Luo, X.M. Time-series analysis of tuberculosis from 2005 to 2017 in China. Epidemiol. Infect. 2018, 146, 935–939. [Google Scholar] [CrossRef] [PubMed]
  6. Lin, H.H.; Ezzati, M.; Murray, M. Tobacco smoke, indoor air pollution and tuberculosis: A systematic review and meta-analysis. PLoS Med. 2007, 4, e20. [Google Scholar] [CrossRef] [PubMed]
  7. You, S.; Tong, Y.W.; Neoh, K.G.; Dai, Y.; Wang, C.H. On the association between outdoor PM2.5 concentration and the seasonality of tuberculosis for Beijing and Hong Kong. Environ. Pollut. 2016, 218, 1170–1179. [Google Scholar] [CrossRef] [PubMed]
  8. Lai, T.C.; Chiang, C.Y.; Wu, C.F.; Yang, S.L.; Liu, D.P.; Chan, C.C.; Lin, H.H. Ambient air pollution and risk of tuberculosis: A cohort study. Occup. Environ. Med. 2016, 73, 56–61. [Google Scholar] [CrossRef]
  9. Smith, G.S.; Van Den Eeden, S.K.; Garcia, C.; Shan, J.; Baxter, R.; Herring, A.H.; Richardson, D.B.; Van Rie, A.; Emch, M.; Gammon, M.D. Air Pollution and Pulmonary Tuberculosis: A Nested Case-Control Study among Members of a Northern California Health Plan. Environ. Health Perspect. 2016, 124, 761–768. [Google Scholar] [CrossRef] [PubMed]
  10. He, J.; Gong, S.; Yu, Y.; Yu, L.; Wu, L.; Mao, H.; Song, C.; Zhao, S.; Liu, H.; Li, X.; et al. Air pollution characteristics and their relation to meteorological conditions during 2014–2015 in major Chinese cities. Environ. Pollut. 2017, 223, 484–496. [Google Scholar] [CrossRef]
  11. Song, C.; Wu, L.; Xie, Y.; He, J.; Chen, X.; Wang, T.; Lin, Y.; Jin, T.; Wang, A.; Liu, Y.; et al. Air pollution in China: Status and spatiotemporal variations. Environ. Pollut. 2017, 227, 334–347. [Google Scholar] [CrossRef] [PubMed]
  12. Liu, Y.; Kan, H.; Xu, J.; Rogers, D.; Peng, L.; Ye, X.; Chen, R.; Zhang, Y.; Wang, W. Temporal relationship between hospital admissions for pneumonia and weather conditions in Shanghai, China: A time-series analysis. BMJ Open 2014, 4, e004961. [Google Scholar] [CrossRef] [PubMed]
  13. Xu, A.; Mu, Z.; Jiang, B.; Wang, W.; Yu, H.; Zhang, L.; Li, J. Acute Effects of Particulate Air Pollution on Ischemic Heart Disease Hospitalizations in Shanghai, China. Int. J. Environ. Res. Public Health 2017, 14, 168. [Google Scholar] [CrossRef] [PubMed]
  14. Kan, H.; London, S.J.; Chen, G.; Zhang, Y.; Song, G.; Zhao, N.; Jiang, L.; Chen, B. Season, sex, age, and education as modifiers of the effects of outdoor air pollution on daily mortality in Shanghai, China: The Public Health and Air Pollution in Asia (PAPA) Study. Environ. Health Perspect. 2008, 116, 1183–1188. [Google Scholar] [CrossRef]
  15. Hamilton, L.C. Statistics with STATA. Updated for Version 10; Cengage Learning: Boston, MA, USA, 2009. [Google Scholar]
  16. Menzies, D.; Nahid, P. Update in tuberculosis and nontuberculous mycobacterial disease 2012. Am. J. Respir. Crit. Care Med. 2013, 188, 923–927. [Google Scholar] [CrossRef]
  17. Getahun, H.; Matteelli, A.; Chaisson, R.E.; Raviglione, M. Latent Mycobacterium tuberculosis infection. N. Engl. J. Med. 2015, 372, 2127–2135. [Google Scholar] [CrossRef] [PubMed]
  18. Willis, M.D.; Winston, C.A.; Heilig, C.M.; Cain, K.P.; Walter, N.D.; Mac Kenzie, W.R. Seasonality of tuberculosis in the United States, 1993–2008. Clin. Infect. Dis. 2012, 54, 1553–1560. [Google Scholar] [CrossRef] [PubMed]
  19. Feng, C.; Li, J.; Sun, W.; Zhang, Y.; Wang, Q. Impact of ambient fine particulate matter (PM2.5) exposure on the risk of influenza-like-illness: A time-series analysis in Beijing, China. Environ. Health 2016, 15, 17. [Google Scholar] [CrossRef]
  20. Huang, L.; Zhou, L.; Chen, J.; Chen, K.; Liu, Y.; Chen, X.; Tang, F. Acute effects of air pollution on influenza-like illness in Nanjing, China: A population-based study. Chemosphere 2016, 147, 180–187. [Google Scholar] [CrossRef] [PubMed]
  21. Bhaskaran, K.; Gasparrini, A.; Hajat, S.; Smeeth, L.; Armstrong, B. Time series regression studies in environmental epidemiology. Int. J. Epidemiol. 2013, 42, 1187–1195. [Google Scholar] [CrossRef]
  22. Smith, G.S.; Schoenbach, V.J.; Richardson, D.B.; Gammon, M.D. Particulate air pollution and susceptibility to the development of pulmonary tuberculosis disease in North Carolina: An ecological study. Int. J. Environ. Health Res. 2014, 24, 103–112. [Google Scholar] [CrossRef] [PubMed]
  23. Hwang, S.S.; Kang, S.; Lee, J.Y.; Lee, J.S.; Kim, H.J.; Han, S.K.; Yim, J.J. Impact of outdoor air pollution on the incidence of tuberculosis in the Seoul metropolitan area, South Korea. Korean J. Intern. Med. 2014, 29, 183–190. [Google Scholar] [CrossRef] [PubMed]
  24. Jassal, M.S.; Bakman, I.; Jones, B. Correlation of ambient pollution levels and heavily-trafficked roadway proximity on the prevalence of smear-positive tuberculosis. Public Health 2013, 127, 268–274. [Google Scholar] [CrossRef]
  25. Peng, Z.; Liu, C.; Xu, B.; Kan, H.; Wang, W. Long-term exposure to ambient air pollution and mortality in a Chinese tuberculosis cohort. Sci. Total Environ. 2017, 580, 1483–1488. [Google Scholar] [CrossRef]
  26. Blount, R.J.; Pascopella, L.; Catanzaro, D.G.; Barry, P.M.; English, P.B.; Segal, M.R.; Flood, J.; Meltzer, D.; Jones, B.; Balmes, J.; et al. Traffic-Related Air Pollution and All-Cause Mortality during Tuberculosis Treatment in California. Environ. Health Perspect. 2017, 125, 097026. [Google Scholar] [CrossRef] [PubMed]
  27. Zhan, D.; Kwan, M.P.; Zhang, W.; Wang, S.; Yu, J. Spatiotemporal Variations and Driving Factors of Air Pollution in China. Int. J. Environ. Res. Public Health 2017, 14, 1538. [Google Scholar] [CrossRef]
  28. Getnet, F.; Demissie, M.; Assefa, N.; Mengistie, B.; Worku, A. Delay in diagnosis of pulmonary tuberculosis in low-and middle-income settings: Systematic review and meta-analysis. BMC Pulm. Med. 2017, 17, 202. [Google Scholar] [CrossRef] [PubMed]
  29. Lee, A.; Kinney, P.; Chillrud, S.; Jack, D. A Systematic Review of Innate Immunomodulatory Effects of Household Air Pollution Secondary to the Burning of Biomass Fuels. Ann. Glob. Health 2015, 81, 368–374. [Google Scholar] [CrossRef]
  30. Vargas Buonfiglio, L.G.; Mudunkotuwa, I.A.; Abou Alaiwa, M.H.; Vanegas Calderon, O.G.; Borcherding, J.A.; Gerke, A.K.; Zabner, J.; Grassian, V.H.; Comellas, A.P. Effects of Coal Fly Ash Particulate Matter on the Antimicrobial Activity of Airway Surface Liquid. Environ. Health Perspect. 2017, 125, 077003. [Google Scholar] [CrossRef]
  31. Manzano-Leon, N.; Serrano-Lomelin, J.; Sanchez, B.N.; Quintana-Belmares, R.; Vega, E.; Vazquez-Lopez, I.; Rojas-Bracho, L.; Lopez-Villegas, M.T.; Vadillo-Ortega, F.; De Vizcaya-Ruiz, A.; et al. TNFalpha and IL-6 Responses to Particulate Matter in Vitro: Variation According to PM Size, Season, and Polycyclic Aromatic Hydrocarbon and Soil Content. Environ. Health Perspect. 2016, 124, 406–412. [Google Scholar] [CrossRef] [PubMed]
  32. Gasparrini, A. Modeling exposure-lag-response associations with distributed lag non-linear models. Stat. Med. 2014, 33, 881–899. [Google Scholar] [CrossRef] [PubMed]
Figure 1. Cross-correlograms between 6-month moving average concentrations of PM2.5, PM10, SO2, and AQI and the seasonality of tuberculosis, and cross-correlograms between 7-month moving average concentrations of NO2, CO, and O3 and the seasonality of tuberculosis.
Figure 1. Cross-correlograms between 6-month moving average concentrations of PM2.5, PM10, SO2, and AQI and the seasonality of tuberculosis, and cross-correlograms between 7-month moving average concentrations of NO2, CO, and O3 and the seasonality of tuberculosis.
Ijerph 16 01585 g001
Figure 2. The non-linear relationships between concentrations of PM2.5, PM10, SO2, NO2, CO, O3, and AQI and the risk of tuberculosis after controlling for seasonality and long-term trends. The solid lines indicate the estimated log relative risk of tuberculosis and the dashed lines indicate the corresponding 95% confidence intervals.
Figure 2. The non-linear relationships between concentrations of PM2.5, PM10, SO2, NO2, CO, O3, and AQI and the risk of tuberculosis after controlling for seasonality and long-term trends. The solid lines indicate the estimated log relative risk of tuberculosis and the dashed lines indicate the corresponding 95% confidence intervals.
Ijerph 16 01585 g002
Table 1. Cross-correlation coefficients between concentrations of PM2.5, PM10, SO2, NO2, CO, O3, and air quality index (AQI) at a single month over a range of time lags (0–12 months) and seasonality of tuberculosis.
Table 1. Cross-correlation coefficients between concentrations of PM2.5, PM10, SO2, NO2, CO, O3, and air quality index (AQI) at a single month over a range of time lags (0–12 months) and seasonality of tuberculosis.
LagsPM2.5PM10SO2NO2COO3AQI
CorrCorrCorrCorrCorrCorrCorr
0−0.030.02−0.04−0.17−0.210.410.08
1−0.12−0.08−0.18−0.29−0.370.41−0.11
20.03−0.03−0.11−0.22−0.290.28−0.05
30.350.260.250.150.10−0.040.22
40.550.520.470.400.39−0.230.45
50.450.440.400.400.33−0.290.30
60.370.320.380.380.34−0.380.21
70.260.240.370.260.34−0.350.17
80.130.180.270.170.19−0.130.22
9−0.05−0.010.10−0.020.01−0.000.05
10−0.23−0.22−0.15−0.31−0.200.15−0.16
11−0.19−0.18−0.17−0.30−0.230.32−0.06
12−0.15−0.12−0.15−0.17−0.190.29−0.04
Table 2. Cross-correlation coefficients between moving average (MV) concentrations ranging from 2 to 12 months of PM2.5, PM10, SO2, NO2, CO, O3, and AQI over a range of time lags (0–4) and the seasonality of tuberculosis.
Table 2. Cross-correlation coefficients between moving average (MV) concentrations ranging from 2 to 12 months of PM2.5, PM10, SO2, NO2, CO, O3, and AQI over a range of time lags (0–4) and the seasonality of tuberculosis.
Lag
(Months)
MV2MV3MV4MV5MV6MV7MV8MV9MV10MV11MV12
CorrCorrCorrCorrCorrCorrCorrCorrCorrCorrCorr
PM2.5
0−0.080.060.220.320.390.430.440.420.370.330.30
10.220.410.510.600.620.630.610.570.540.510.48
20.530.610.660.680.690.660.610.580.560.530.51
30.570.600.610.600.570.510.470.450.420.410.44
40.460.470.460.420.360.320.300.270.270.310.35
PM10
0−0.080.030.200.310.380.420.450.430.380.340.31
10.140.340.460.520.560.590.580.520.480.460.42
20.470.560.600.630.650.630.570.530.510.480.45
30.560.570.580.590.560.490.450.430.390.370.39
40.440.450.460.420.340.300.280.240.230.250.30
SO2
0−0.19−0.060.100.200.270.340.390.400.360.330.30
10.090.280.380.460.530.580.600.560.530.510.46
20.430.510.570.630.670.670.640.610.580.530.50
30.500.540.590.610.610.560.520.500.450.420.43
40.440.490.510.500.440.400.370.320.290.320.35
NO2
0−0.32−0.19−0.020.110.210.290.340.350.270.190.14
1−0.020.170.310.410.490.550.580.530.480.460.40
20.350.460.540.600.640.660.610.580.580.540.51
30.480.540.560.590.570.500.460.450.420.410.45
40.460.460.470.430.340.280.260.210.200.270.34
CO
0−0.41−0.27−0.100.020.110.200.250.260.210.160.12
1−0.080.130.250.360.460.520.540.510.470.440.38
20.320.410.500.590.640.650.620.590.570.520.47
30.430.490.560.590.590.540.500.480.430.390.42
40.390.450.470.450.400.350.320.270.240.270.33
O3
00.400.280.160.05−0.06−0.15−0.20−0.21−0.18−0.09−0.01
10.12−0.03−0.14−0.26−0.36−0.42−0.45−0.45−0.41−0.36−0.28
2−0.18−0.27−0.38−0.46−0.50−0.52−0.52−0.49−0.46−0.41−0.37
3−0.31−0.39−0.46−0.47−0.47−0.45−0.40−0.37−0.32−0.30−0.34
4−0.38−0.43−0.42−0.40−0.36−0.29−0.25−0.20−0.17−0.23−0.30
AQI
0−0.13−0.030.140.230.260.290.320.320.270.250.24
10.110.330.430.490.510.560.550.510.490.480.44
20.440.530.580.620.660.650.590.570.560.530.50
30.480.500.540.590.580.510.480.470.430.410.43
40.320.360.430.430.360.340.330.290.270.300.34
MV: moving average.

Share and Cite

MDPI and ACS Style

Wang, H.; Tian, C.; Wang, W.; Luo, X. Temporal Cross-Correlations between Ambient Air Pollutants and Seasonality of Tuberculosis: A Time-Series Analysis. Int. J. Environ. Res. Public Health 2019, 16, 1585. https://doi.org/10.3390/ijerph16091585

AMA Style

Wang H, Tian C, Wang W, Luo X. Temporal Cross-Correlations between Ambient Air Pollutants and Seasonality of Tuberculosis: A Time-Series Analysis. International Journal of Environmental Research and Public Health. 2019; 16(9):1585. https://doi.org/10.3390/ijerph16091585

Chicago/Turabian Style

Wang, Hua, Changwei Tian, Wenming Wang, and Xiaoming Luo. 2019. "Temporal Cross-Correlations between Ambient Air Pollutants and Seasonality of Tuberculosis: A Time-Series Analysis" International Journal of Environmental Research and Public Health 16, no. 9: 1585. https://doi.org/10.3390/ijerph16091585

APA Style

Wang, H., Tian, C., Wang, W., & Luo, X. (2019). Temporal Cross-Correlations between Ambient Air Pollutants and Seasonality of Tuberculosis: A Time-Series Analysis. International Journal of Environmental Research and Public Health, 16(9), 1585. https://doi.org/10.3390/ijerph16091585

Note that from the first issue of 2016, this journal uses article numbers instead of page numbers. See further details here.

Article Metrics

Back to TopTop