The Association between Frailty and Disability among the Elderly in Rural Areas of Korea
Abstract
1. Introduction
2. Materials and Methods
2.1. Subjects
2.2. Research Tools and Methods
- FrailtyThe Kaigo-Yobo checklist [19] was used to measure frailty because it has been evaluated to be a reliable and valid survey tool that covers social activity and daily living for elderly Korean subjects [20]. Kaigo-Yobo is a frailty measurement tool that combines domain and expression variables. Out of a total of 15 items, 4 evaluate nutrition status, 3 evaluate falling incidents, 2 evaluate tendency to take walks, 2 evaluate social relations and assistance from family or friends, and 1 item evaluates subjects’ general health condition, communication, ability to move around, and enjoyment of hobbies. All answers are binary (yes or no), and 1 point is added for each item, adding up to a potential highest score of 15; the higher the score, the greater the subject’s frailty.
- DisabilityThe World Health Organization (WHO) developed the WHODAS, which evaluates concepts from the International Classification of Functioning, Disability, and Health (ICF) to measure individual functioning and disability across a range of aspects [10]. WHODAS measures difficulty in six domains of daily life (cognition, mobility, self-care, getting along, life activities, and participation in social activities) and difficulty following disease onset, damage, and health conditions over short or long time periods. For this study, we adopted the WHODAS-12, Korean version [11], which has been shown to be reliable and valid. WHODAS-12 requires responses ranging from “no difficulty” (1) to “extreme difficulty” (5) and then asks subjects how difficult it has been to carry out the specific task over the last month. The total score can range from 0 to 100 points; higher scores represent more severe disability.
- Measurement of Musculoskeletal Disease(1) SarcopeniaDual-energy X-ray absorptiometry (DEXA; Discovery W, Hologic, Waltham, MA, USA) was used to measure the limb skeletal muscle index (SMI), which is obtained by dividing the appendicular skeletal mass (ASM) by the subject’s squared height (SMI = ASM/Ht²). For men, sarcopenia is defined as SMI < 7.0 kg/m2; for women, it is SMI < 5.4 kg/m2 [21].(2) Radiologic Knee Osteoarthritis (RKOA)Radiographic images of both knees were taken, and RKOA was defined as Level 2 or higher for at least one joint on the Kellgren–Lawrence (K/L) classification system. Radiographic images were read by two radiologists, each with more than 20 years’ experience in musculoskeletal evaluation at a teaching hospital. When their opinions conflicted, they discussed their opinions until an agreement was reached.(3) OsteoporosisUsing DEXA (Discovery W, Hologic), the bone density in the lumbar area was measured. A T score of −2.5 or less was defined as osteoporosis.
3. Data Analysis
4. Results
4.1. Subject Characteristics
4.2. Score Differences between Kaigo-Yobo and WHODAS-12 by Sex
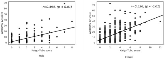
4.3. Correlation between WHODAS-12 and Kaigo-Yobo
5. Discussion
6. Conclusions
Author Contributions
Conflicts of Interest
References
- Statistics Korea. 2018. Available online: http://kostat.go.kr/portal/korea/kor_nw/1/1/index.board?bmode=read&aSeq=370779 (accessed on 6 April 2019).
- Fried, L.P.; Tangen, C.M.; Walston, J.; Newman, A.B.; Hirsch, C.; Gottdiener, J.; Seeman, T.; Tracy, R.; Kop, W.J.; Burke, G.; et al. Frailty in older adults: Evidence for a phenotype. J. Gerontol. A Biol. Sci. Med. Sci. 2001, 56, M146–M156. [Google Scholar] [CrossRef] [PubMed]
- Ferrucci, L.; Guralnik, J.M.; Studenski, S.; Fried, L.P.; Cutler, G.B., Jr.; Walston, J.D. Designing randomized, controlled trials aimed at preventing or delaying functional decline and disability in frail, older persons: A consensus report. J. Am. Geriatr. Soc. 2004, 52, 625–634. [Google Scholar] [CrossRef] [PubMed]
- Han, E.S.; Lee, Y.; Kim, J. Association of cognitive impairment with frailty in community-dwelling older adults. Int. Psychogeriatr. 2014, 26, 155–163. [Google Scholar] [CrossRef] [PubMed]
- Bunt, S.; Steverink, N.; Olthof, J.; van der Schans, C.P.; Hobbelen, J.S.M. Social frailty in older adults: A scoping review. Eur. J. Ageing 2017, 14, 323–334. [Google Scholar] [CrossRef] [PubMed]
- Ma, S.H.; Jeung, K.Y.; Hong, S.H.; Shim, E.Y.; Yoo, S.H.; Kim, M.Y.; Yoon, J.L. Correlation between Frailty Level and Disability of the Elderly and Frailty Related Factors. Korean J. Fam. Med. 2009, 30, 588–597. [Google Scholar] [CrossRef]
- Jeong, H.S.; Lee, D.W.; Park, K.H.; Lee, Y.K.; Bae, S.H.; Kang, M.J.; Shim, M.S.; Teong, C.H. Clinical Factors Related to Frailty Estimated by the Korean Frailty Index. J. Korean Geriatr. Soc. 2013, 17, 71–78. [Google Scholar] [CrossRef]
- Makizako, H.; Shimada, H.; Doi, T.; Tsutsumimoto, K.; Suzuki, T. Impact of physical frailty on disability in community dwelling older adults: A prospective cohort study. BMJ 2014, 26, 155–163. [Google Scholar] [CrossRef] [PubMed]
- World Health Organization. International Classification of Functioning, Disability, and Health (ICF); World Health Organization: Geneva, Switzerland, 2001. [Google Scholar]
- Ustün, T.B.; Chatterji, S.; Kostanjsek, N.; Rehm, J.; Kennedy, C.; Epping-Jordan, J.; Saxena, S.; von Korff, M.; Pull, C.; WHO/NIH Joint Project. Developing the World Health Organization Disability Assessment Schedule 2.0. Bull. World Health Organ. 2010, 88, 815–823. [Google Scholar]
- Lee, H.J.; Kim, D.J. Cultural Adaptation and Reliability Testing of Korean Version of the World Health Organization Disability Assessment Schedule 2.0: 12-item versions. J. Korean Soc. Phys. Med. 2011, 6, 475–488. [Google Scholar]
- Tyrovolas, S.; Koyanagi, A.; Olaya, B.; Ayuso-Mateos, J.L.; Miret, M.; Chatterji, S.; Tobiasz-Adamczyk, B.; Koskinen, S.; Leonardi, M.; Haro, J.M. The role of muscle mass and body fat on disability among older adults: A cross-national analysis. Exp. Gerontol. 2015, 69, 27–35. [Google Scholar] [CrossRef]
- Kutlay, S.; Küçükdeveci, A.; Elhan, A.; Oztuna, D.; Koc, N.; Tennant, A. Validation of the World Health Organization disability assessment schedule II (WHODAS-II) in patients with osteoarthritis. Rheumatol. Int. 2011, 31, 339–346. [Google Scholar] [CrossRef] [PubMed]
- Yoo, J.I.; Park, J.S.; Kim, R.B.; Seo, A.R.; Park, Y.J.; Kim, M.J.; Park, K.S. WHO disability assessment schedule 2.0 is related to upper and lower extremity disease-specific quality of life. Qual. Life Res. 2018, 27, 2243–2250. [Google Scholar] [CrossRef] [PubMed]
- Chang, K.H.; Liao, H.F.; Yen, C.F.; Hwang, A.W.; Chi, W.C.; Escorpizo, R.; Liou, T.H. Association between muscle power impairment and WHODAS 2.0 in older adults with physical disability in Taiwan. Disabil. Rehabil. 2015, 37, 712–720. [Google Scholar] [CrossRef] [PubMed]
- Wong, C.H.; Weiss, D.; Sourial, N.; Karunananthan, S.; Quail, J.M.; Wolfson, C.; Bergman, H. Frailty and its association with disability and comorbidity in a community-dwelling sample of seniors in Montreal: A cross-sectional study. Aging Clin. Exp. Res. 2010, 22, 54–62. [Google Scholar] [CrossRef] [PubMed]
- Han, J.W.; Kim, T.H.; Jhoo, J.H.; Park, J.H.; Kim, J.L.; Ryu, S.H.; Moon, S.W.; Choo, I.H.; Lee, D.W.; Yoon, J.C.; et al. A Normative Study of the Mini-Mental State Examination for Dementia Screening (MMSE-DS) and Its Short form (SMMSE-DS) in the Korean Elderly. J. Korean Geriatr. Psychiatry 2010, 14, 27–37. [Google Scholar]
- Rodriguez-Laso, A.; Abellan, A.; Sancho, M.; Pujol, R.; Montorio, I.; Diaz-Veiga, P. Perceived economic situation, but not education level, is associated with disability prevalence in the Spanish elderly: Observational study. BMC Geriatr. 2014, 14, 60. [Google Scholar] [CrossRef] [PubMed][Green Version]
- Shinkai, S.; Watanabe, N.; Yoshida, H.; Fujiwara, Y.; Amano, H.; Lee, S.; Nishi, M.; Tsuchiya, Y. Research on screening for frailty: Development of “the Kaigo-Yobo Checklist”. Nihon Koshu Eisei Zasshi 2010, 57, 345–354. [Google Scholar]
- Hwang, H.S.; Yoon, J.L.; Park, B.J.; Choi, H.R.; Kwon, I.S.; Shinkai, S.; Takahashi, R. The validity and reliability of the Kaigo-Yobo Checklist in Korean Elderly. J. Korean Geriatr. Soc. 2012, 16, 121–132. [Google Scholar]
- Chen, L.K.; Liu, L.K.; Woo, J.; Assantachai, P.; Auyeung, T.W.; Bahyah, K.S.; Chou, M.Y.; Chen, L.Y.; Hsu, P.S.; Krairit, O.; et al. Sarcopenia in Asia: Consensus report of the Asian Working Group for Sarcopenia. J. Am. Med. Dir. Assoc. 2014, 15, 95–101. [Google Scholar] [CrossRef]
- Tavares, D.; Corrêa, T.; Dias, F.; Ferreira, P.; Pegorari, M. Frailty syndrome and socioeconomic and health characteristics among older adults. Colomb. Med. 2017, 48, 125–130. [Google Scholar]
- Ávila-Funes, J.A.; Carcaillon, L.; Helmer, C.; Carrière, I.; Ritchie, K.; Rouaud, O.; Tzourio, C.; Dartigues, J.F.; Amieva, H. Is Frailty a Prodromal Stage of Vascular Dementia? Results from the Three-City Study. J. Am. Geriatr. Soc. 2012, 60, 1708–1712. [Google Scholar] [CrossRef] [PubMed]
- Gobbens, R.J.; Luijkx, K.G.; Wijnen-Sponselee, M.T.; Schols, J.M. Towards an integral conceptual model of frailty. J. Nutr. Health Aging 2010, 14, 175–181. [Google Scholar] [CrossRef] [PubMed]
- Gutierrez-Robledo, L.M.; Avila-Funes, J.A. How to include the social factor for determining frailty? J. Frailty Aging 2012, 1, 13–17. [Google Scholar] [PubMed]
- Fragala, M.S.; Clark, M.H.; Walsh, S.J.; Kleppinger, A.; Judge, J.O.; Kuchel, G.A.; Kenny, A.M. Gender Differences in Anthropometric Predictors of Physical Performance in Older Adults. Gend. Med. 2012, 9, 445–456. [Google Scholar] [CrossRef] [PubMed]



| Characteristics | Categories | Total | Male | Female | |||
|---|---|---|---|---|---|---|---|
| n | % | n | % | n | % | ||
| Sex | Male | 164 | 32.6 | ||||
| Female | 339 | 67.4 | |||||
| Mean age (years) ± SD | 72.7 ± 5.0 | 71.6 ± 4.9 | 73.2 ± 4.9 | ||||
| Spouse | Yes | 295 | 58.6 | 148 | 90.2 | 147 | 43.4 |
| No | 208 | 41.4 | 16 | 9.8 | 192 | 56.6 | |
| Subjective economic status | Low | 169 | 33.6 | 43 | 26.2 | 126 | 37.2 |
| Middle | 239 | 47.5 | 80 | 48.8 | 159 | 46.9 | |
| High | 95 | 18.9 | 41 | 25.0 | 54 | 15.9 | |
| Hypertension | Yes | 282 | 43.9 | 80 | 48.8 | 202 | 59.6 |
| No | 221 | 56.1 | 84 | 51.2 | 137 | 40.4 | |
| Diabetes | Yes | 132 | 26.2 | 46 | 28.0 | 86 | 25.4 |
| No | 371 | 73.8 | 118 | 72.0 | 253 | 74.6 | |
| Osteoporosis | Yes | 405 | 80.6 | 154 | 93.9 | 251 | 74.1 |
| No | 98 | 19.4 | 10 | 6.1 | 88 | 25.9 | |
| RKOA | Yes | 137 | 28.5 | 146 | 90.7 | 197 | 61.8 |
| No | 343 | 71.5 | 15 | 9.3 | 122 | 38.2 | |
| Sarcopenia | Yes | 89 | 17.7 | 19 | 11.6 | 70 | 20.6 |
| No | 414 | 82.3 | 145 | 88.4 | 269 | 79.4 | |
| Total | 503 | 100 | 164 | 100 | 339 | 100 | |
| Variables | Male | Female | ||||||||||||||
|---|---|---|---|---|---|---|---|---|---|---|---|---|---|---|---|---|
| Model 1 | Model 2 | Model 1 | Model 2 | |||||||||||||
| Nonstandard Coefficient | Standard Coefficient | p-value | Nonstandard Coefficient | Standard Coefficient | p-value | Nonstandard Coefficient | Standard Coefficient | p-value | Nonstandard Coefficient | Standard Coefficient | p-value | |||||
| B | SE | β | B | SE | β | B | SE | β | B | SE | β | |||||
| K-Y score | 3.109 | 0.393 | 0.536 | < 0.001 | 2.667 | 0.401 | 0.461 | < 0.001 | 3.206 | 0.315 | 0.476 | < 0.001 | 3.200 | 0.344 | 0.461 | < 0.001 |
| Sarcopenia | 7.658 | 2.072 | 0.254 | < 0.001 | 0.243 | 1.663 | 0.007 | 0.884 | ||||||||
| (yes/no) | ||||||||||||||||
| Osteoporosis | 2.363 | 2.512 | 0.060 | 0.348 | −2.483 | 1.544 | −0.080 | 0.109 | ||||||||
| (yes/no) | ||||||||||||||||
| RKOA | 3.205 | 1.997 | 0.098 | 0.111 | 1.793 | 1.344 | 0.064 | 0.183 | ||||||||
| (yes/no) | ||||||||||||||||
| Adjusted R2 = 0.421 (p < 0.001) | Adjusted R2 = 0.479 (p < 0.001) | R2 = 0.369 (p < 0.001) | R2 = 0.376 (p < 0.001) | |||||||||||||
| ΔR2 = 0.058 (p = 0.001) | ΔR2 = 0.007 (p = 0.202) | |||||||||||||||
© 2019 by the authors. Licensee MDPI, Basel, Switzerland. This article is an open access article distributed under the terms and conditions of the Creative Commons Attribution (CC BY) license (http://creativecommons.org/licenses/by/4.0/).
Share and Cite
Choi, Y.-S.; Kim, M.-J.; Lee, G.-Y.; Seo, Y.-M.; Seo, A.-R.; Kim, B.; Yoo, J.-I.; Park, K.S. The Association between Frailty and Disability among the Elderly in Rural Areas of Korea. Int. J. Environ. Res. Public Health 2019, 16, 2481. https://doi.org/10.3390/ijerph16142481
Choi Y-S, Kim M-J, Lee G-Y, Seo Y-M, Seo A-R, Kim B, Yoo J-I, Park KS. The Association between Frailty and Disability among the Elderly in Rural Areas of Korea. International Journal of Environmental Research and Public Health. 2019; 16(14):2481. https://doi.org/10.3390/ijerph16142481
Chicago/Turabian StyleChoi, Yeun-Soon, Mi-Ji Kim, Gyeong-Ye Lee, Young-Mi Seo, Ae-Rim Seo, Bokyoung Kim, Jun-Il Yoo, and Ki Soo Park. 2019. "The Association between Frailty and Disability among the Elderly in Rural Areas of Korea" International Journal of Environmental Research and Public Health 16, no. 14: 2481. https://doi.org/10.3390/ijerph16142481
APA StyleChoi, Y.-S., Kim, M.-J., Lee, G.-Y., Seo, Y.-M., Seo, A.-R., Kim, B., Yoo, J.-I., & Park, K. S. (2019). The Association between Frailty and Disability among the Elderly in Rural Areas of Korea. International Journal of Environmental Research and Public Health, 16(14), 2481. https://doi.org/10.3390/ijerph16142481

