Effects of Pb Smelting on the Soil Bacterial Community near a Secondary Lead Plant
Abstract
:1. Introduction
2. Materials and Methods
2.1. Study Area and Sample Collection
2.2. Soil Processing and Pollution Assessment
2.3. DNA Extraction, PCR Amplification, and Illumina MiSeq Sequencing
2.4. Bioinformatics and Statistical Analysis
3. Results
3.1. Effect of Secondary Lead Smelting on Soil Physicochemical Properties and Enzyme Activities
3.2. Soil Heavy Metal Concentrations and Containment Assessment near the Secondary Lead Plant
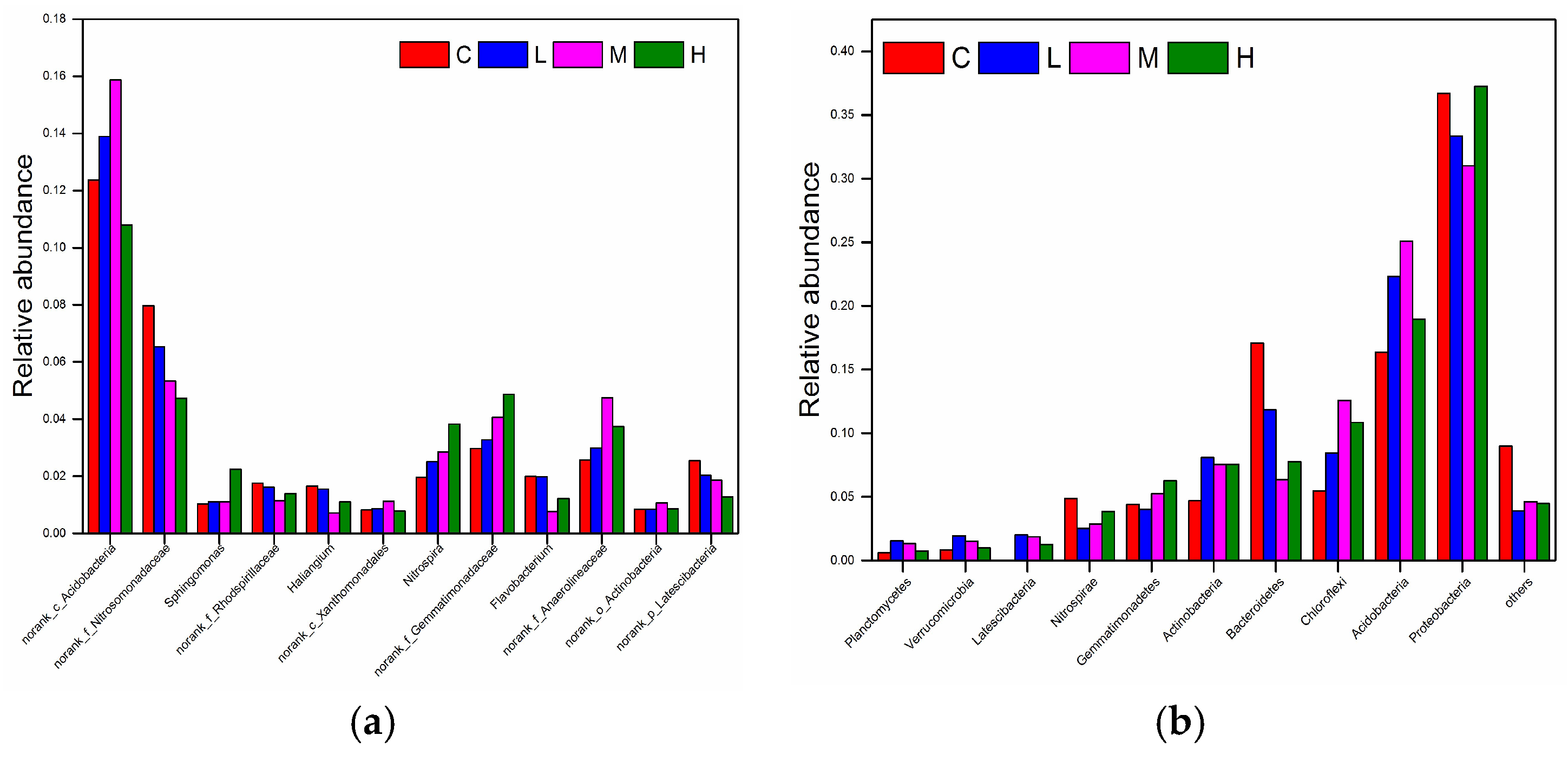
3.3. Effect of Secondary Lead Smelting on Soil Bacterial Community Diversity
3.4. Soil Bacterial Community Response to Changes in Environmental Factors
3.5. Potential Resistance of Soil Bacteria to Heavy Metals Contamination
4. Discussion
5. Conclusions
Author Contributions
Acknowledgments
Conflicts of Interest
References
- Pidatala, V.R.; Li, K.; Sarkar, D.; Ramakrishna, W.; Datta, R. Identification of biochemical pathways associated with lead tolerance and detoxification in Chrysopogon zizanioides L. Nash (vetiver) by metabolic profiling. Environ. Sci. Technol. 2016, 50, 2530–2537. [Google Scholar] [CrossRef] [PubMed]
- Thornton, I.; Rautiu, R.; Brush, S. Lead-the Facts; IC Consultants Ltd.: London, UK, 2001. [Google Scholar]
- Zhang, W.; Yang, J.; Wu, X.; Hu, Y.; Yu, W.; Wang, J.; Dong, J.; Li, M.; Liang, S.; Hu, J.; et al. A critical review on secondary lead recycling technology and its prospect. Renew. Sustain. Energy Rev. 2016, 61, 108–122. [Google Scholar] [CrossRef]
- Harrison, R. Lead Pollution: Causes and Control; Springer Science & Business Media: Berlin, Germany, 2012. [Google Scholar]
- Ellis, T.W.; Mirza, A.H. The refining of secondary lead for use in advanced lead–acid batteries. J. Power Sources 2010, 195, 4525–4529. [Google Scholar] [CrossRef]
- Tian, X.; Gong, Y.; Wu, Y.; Agyeiwaa, A.; Zuo, T. Management of used lead acid battery in China: Secondary lead industry progress, policies and problems. Resour. Conserv. Recycl. 2014, 93, 75–84. [Google Scholar] [CrossRef]
- Indexfuture. Analysis on the Development Status of China’s Renewable Lead Industry in 2016. 2016. Available online: http://www.indexfuture.net/zklf/228.html (accessed on 1 May 2018).
- Bisessar, S. Effect of heavy metals on microorganisms in soils near a secondary lead smelter. Water Air Soil Pollut. 1982, 17, 305–308. [Google Scholar] [CrossRef]
- Farago, M.E.; Thornton, I.; White, N.D.; Tell, I.; Mårtensson, M.B. Environmental impacts of a secondary lead smelter in Landskrona, southern Sweden. Environ. Geochem. Health 1999, 21, 67–82. [Google Scholar] [CrossRef]
- Mao, J.S.; Cao, J.; Graedel, T.E. Losses to the environment from the multilevel cycle of anthropogenic lead. Environ. Pollut. 2009, 157, 2670–2677. [Google Scholar] [CrossRef] [PubMed]
- Schneider, A.R.; Cancès, B.; Ponthieu, M.; Sobanska, S.; Benedetti, M.F.; Pourret, O.; Conreux, A.; Calandra, I.; Martinet, B.; Morvan, X.; et al. Lead distribution in soils impacted by a secondary lead smelter: Experimental and modelling approaches. Sci. Total Environ. 2016, 568, 155–163. [Google Scholar] [CrossRef] [PubMed]
- Liu, G.; Yu, Y.; Hou, J.; Xue, W.; Liu, X.; Liu, Y.; Wang, W.; Alsaedi, A.; Hayat, T.; Liu, Z. An ecological risk assessment of heavy metal pollution of the agricultural ecosystem near a lead–acid battery factory. Ecol. Indic. 2014, 47, 210–218. [Google Scholar] [CrossRef]
- Chen, K.; Huang, L.; Yan, B.; Li, H.; Sun, H.; Bi, J. Effect of lead pollution control on environmental and childhood blood lead level in Nantong, China: An interventional study. Environ. Sci. Technol. 2014, 48, 12930–12936. [Google Scholar] [CrossRef] [PubMed]
- Cheng, H.; Hu, Y. Lead (Pb) isotopic fingerprinting and its applications in lead pollution studies in China: A review. Environ. Pollut. 2010, 158, 1134–1146. [Google Scholar] [CrossRef] [PubMed]
- Settle, D.; Patterson, C. Lead in albacore: Guide to lead pollution in Americans. Science 1980, 207, 1167–1176. [Google Scholar] [CrossRef] [PubMed]
- WHO. WHO/Europe. Environment and Health—Lead Poisoning Prevention Week: Ban Lead Paint. Available online: http://www.euro.who.int/en/health-topics/environment-and-health/pages/news/news/2016/10/lead-poisoning-prevention-week-ban-lead-paint (accessed on 12 May 2018).
- WHO. Childhood Lead Poisoning. Available online: http://www.who.int/ceh/publications/leadguidance.pdf (accessed on 12 May 2018).
- Šmirjákova, S.; Ondrašovičová, O.; Kašková, A.; Lakticova, K. The effect of cadmium and lead pollution on human and animal health. Folia Vet. 2005, 49, 31–32. [Google Scholar]
- Pan, S.; Lin, L.; Zeng, F.; Zhang, J.; Dong, G.; Yang, B.; Jing, Y.; Chen, S.; Zhang, G.; Yu, Z. Effects of lead, cadmium, arsenic, and mercury co-exposure on children’s intelligence quotient in an industrialized area of southern China. Environ. Pollut. 2018, 235, 47–54. [Google Scholar] [CrossRef] [PubMed]
- Brunekreef, B.; Veenstra, S.J.; Biersteker, K.; Boleij, J.S.M. The Arnhem lead study: I. Lead uptake by 1- to 3-year-old children living in the vicinity of a secondary lead smelter in Arnhem, The Netherlands. Environ. Res. 1981, 25, 441–448. [Google Scholar] [CrossRef]
- Pattee, O.H.; Pain, D.J. Lead in the environment. Handb. Ecotoxicol. 2003, 2, 373–399. [Google Scholar]
- De Freitas, C.U.; De Capitani, E.M.; Gouveia, N.; Simonetti, M.H.; de Paula e Silva, M.R.; Kira, C.S.; Sakuma, A.M.; de Fátima Henriques Carvalho, M.; Duran, M.C.; Tiglea, P.; et al. Lead exposure in an urban community: Investigation of risk factors and assessment of the impact of lead abatement measures. Environ. Res. 2007, 103, 338–344. [Google Scholar] [CrossRef] [PubMed]
- Zhang, F.; Liu, Y.; Zhang, H.; Ban, Y.; Wang, J.; Liu, J.; Zhong, L.; Chen, X.; Zhu, B. Investigation and evaluation of children’s blood lead levels around a lead battery factory and influencing factors. Int. J. Environ. Res. Public Health 2016, 13, 541. [Google Scholar] [CrossRef] [PubMed]
- Rieuwerts, J.; Farago, M. Heavy metal pollution in the vicinity of a secondary lead smelter in the Czech Republic. Appl. Geochem. 1996, 11, 17–23. [Google Scholar] [CrossRef]
- Luo, C.; Liu, C.; Wang, Y.; Liu, X.; Li, F.; Zhang, G.; Li, X. Heavy metal contamination in soils and vegetables near an e-waste processing site, south China. J. Hazard. Mater. 2011, 186, 481–490. [Google Scholar] [CrossRef] [PubMed]
- Gottesfeld, P.; Were, F.H.; Adogame, L.; Gharbi, S.; San, D.; Nota, M.M.; Kuepouo, G. Soil contamination from lead battery manufacturing and recycling in seven African countries. Environ. Res. 2018, 161, 609–614. [Google Scholar] [CrossRef] [PubMed]
- Gottesfeld, P.; Pokhrel, A.K. Review: Lead exposure in battery manufacturing and recycling in developing countries and among children in nearby communities. J. Occup. Environ. Hyg. 2011, 8, 520–532. [Google Scholar] [CrossRef] [PubMed]
- Daniell, W.E.; Van Tung, L.; Wallace, R.M.; Havens, D.J.; Karr, C.J.; Bich Diep, N.; Croteau, G.A.; Beaudet, N.J.; Duy Bao, N. Childhood lead exposure from battery recycling in Vietnam. BioMed Res. Int. 2015, 2015, 193715. [Google Scholar] [CrossRef] [PubMed]
- Chen, F.; Zhang, W.; Ma, J.; Yang, Y.; Zhang, S.; Chen, R. Experimental study on the effects of underground CO2 leakage on soil microbial consortia. Int. J. Greenh. Gas Control 2017, 63, 241–248. [Google Scholar] [CrossRef]
- Chen, F.; Tan, M.; Ma, J.; Zhang, S.; Li, G.; Qu, J. Efficient remediation of PAH-metal co-contaminated soil using microbial-plant combination: A greenhouse study. J. Hazard. Mater. 2016, 302, 250–261. [Google Scholar] [CrossRef] [PubMed]
- Chen, F.; Yang, B.; Ma, J.; Qu, J.; Liu, G. Decontamination of electronic waste-polluted soil by ultrasound-assisted soil washing. Environ. Sci. Pollut. Res. 2016, 23, 20331–20340. [Google Scholar] [CrossRef] [PubMed]
- Chen, F.; Luo, Z.; Liu, G.; Yang, Y.; Zhang, S.; Ma, J. Remediation of electronic waste polluted soil using a combination of persulfate oxidation and chemical washing. J. Environ. Manag. 2017, 204, 170–178. [Google Scholar] [CrossRef] [PubMed]
- Bao, S.D. Soil and Agricultural Chemistry Analysis; China Agriculture Press: Beijing, China, 2000. [Google Scholar]
- Chen, F.; Luo, Z.; Ma, J.; Zeng, S.; Yang, Y.; Zhang, S. Interaction of cadmium and polycyclic aromatic hydrocarbons in co-contaminated soil. Water Air Soil Pollut. 2018, 229, 114. [Google Scholar] [CrossRef]
- Ma, J.; Zhang, W.; Zhang, S.; Zhu, Q.; Feng, Q.; Chen, F. Short-term effects of CO2 leakage on the soil bacterial community in a simulated gas leakage scenario. PeerJ 2017, 5, e4024. [Google Scholar] [CrossRef] [PubMed]
- Norman, R.J.; Edberg, J.C.; Stucki, J.W. Determination of nitrate in soil extracts by dual-wavelength ultraviolet spectrophotometry 1. Soil Sci. Soc. Am. J. 1985, 49, 1182–1185. [Google Scholar] [CrossRef]
- Guan, S. Soil Enzyme and Its Research Methods; China Agriculture Press: Beijing, China, 1986. [Google Scholar]
- Ahmadi, M.; Jorfi, S.; Azarmansuri, A.; Jaafarzadeh, N.; Mahvi, A.H.; Darvishi Cheshmeh Soltani, R.; Akbari, H.; Akhbarizadeh, R. Zoning of heavy metal concentrations including Cd, Pb and As in agricultural soils of Aghili plain, Khuzestan province, Iran. Data Brief 2017, 14, 20–27. [Google Scholar] [CrossRef] [PubMed]
- SEPAC (State Environmental Protection Agency of China). GB15618-1995: Environmental Quality Standard for Soils; MEP: Beijing, China, 1996. [Google Scholar]
- Bolger, A.M.; Lohse, M.; Usadel, B. Trimmomatic: A flexible trimmer for Illumina sequence data. Bioinformatics 2014, 30, 2114–2120. [Google Scholar] [CrossRef] [PubMed]
- USEARCH. Available online: http://www.drive5.com/usearch/ (accessed on 1 May 2018).
- RDP Resources. Available online: http://rdp.cme.msu.edu/misc/resources.jsp (accessed on 1 May 2018).
- Mothur. Available online: https://www.mothur.org/ (accessed on 1 May 2018).
- Chao, A. Nonparametric estimation of the number of classes in a population. Scand. J. Stat. 1984, 11, 265–270. [Google Scholar]
- Shannon, C.E. A mathematical theory of communication. ACM SIGMOBILE Mob. Comput. Commun. Rev. 2001, 5, 3–55. [Google Scholar] [CrossRef]
- Whittaker, R.H. Vegetation of the Siskiyou mountains, Oregon and California. Ecol. Monogr. 1960, 30, 279–338. [Google Scholar] [CrossRef]
- Da C Jesus, E.; Marsh, T.L.; Tiedje, J.M.; de S Moreira, F.M. Changes in land use alter the structure of bacterial communities in Western Amazon soils. ISME J. 2009, 3, 1004–1011. [Google Scholar] [CrossRef] [PubMed]
- Udikovic-Kolic, N.; Wichmann, F.; Broderick, N.A.; Handelsman, J. Bloom of resident antibiotic-resistant bacteria in soil following manure fertilization. Proc. Natl. Acad. Sci. USA 2014, 111, 15202–15207. [Google Scholar] [CrossRef] [PubMed]
- Chang, W. R Graphics Cookbook: Practical Recipes for Visualizing Data; O’Reilly Media, Inc.: Newton, MA, USA, 2012. [Google Scholar]
- QIIME. Available online: http://qiime.org/ (accessed on 1 May 2018).
- Noval Rivas, M.; Burton, O.T.; Wise, P.; Zhang, Y.-Q.; Hobson, S.A.; Garcia Lloret, M.; Chehoud, C.; Kuczynski, J.; DeSantis, T.; Warrington, J.; et al. A microbiota signature associated with experimental food allergy promotes allergic sensitization and anaphylaxis. J. Allergy Clin. Immunol. 2013, 131, 201–212. [Google Scholar] [CrossRef] [PubMed]
- Hong, C.; Si, Y.; Xing, Y.; Li, Y. Illumina miseq sequencing investigation on the contrasting soil bacterial community structures in different iron mining areas. Environ. Sci. Pollut. Res. 2015, 22, 10788–10799. [Google Scholar] [CrossRef] [PubMed]
- SSCO. Soil Chronicles in Suburban Xuzhou City, Jiangsu Province; Xuzhou Suburb Soil Census Office: Xuzhou, China, 1985. [Google Scholar]
- Tian, J.; Lou, Y.; Gao, Y.; Fang, H.; Liu, S.; Xu, M.; Blagodatskaya, E.; Kuzyakov, Y. Response of soil organic matter fractions and composition of microbial community to long-term organic and mineral fertilization. Biol. Fertil. Soils 2017, 53, 523–532. [Google Scholar] [CrossRef]
- Karimi Nezhad, M.T.; Tabatabaii, S.M.; Gholami, A. Geochemical assessment of steel smelter-impacted urban soils, Ahvaz, Iran. J. Geochem. Explor. 2015, 152, 91–109. [Google Scholar] [CrossRef]
- Shen, F.; Liao, R.; Ali, A.; Mahar, A.; Guo, D.; Li, R.; Xining, S.; Awasthi, M.K.; Wang, Q.; Zhang, Z. Spatial distribution and risk assessment of heavy metals in soil near a Pb/Zn smelter in Feng county, China. Ecotoxicol. Environ. Saf. 2017, 139, 254–262. [Google Scholar] [CrossRef] [PubMed]
- Karaca, A.; Cetin, S.C.; Turgay, O.C.; Kizilkaya, R. Effects of heavy metals on soil enzyme activities. In Soil Heavy Metals; Springer: Berlin/Heidelberg, Germany, 2010; pp. 237–262. [Google Scholar]
- Tate, R.L., III. Microbiology and enzymology of carbon and nitrogen cycling. In Enzymes Environment, Activity, Ecology and Applications; Taylor & Francis: Boca Raton, FL, USA, 2002; pp. 227–248. [Google Scholar]
- Caldwell, B.A. Enzyme activities as a component of soil biodiversity: A review. Pedobiologia 2005, 49, 637–644. [Google Scholar] [CrossRef]
- Ba, T.; Zheng, M.; Zhang, B.; Liu, W.; Xiao, K.; Zhang, L. Estimation and characterization of PCDD/Fs and dioxin-like PCBS from secondary copper and aluminum metallurgies in China. Chemosphere 2009, 75, 1173–1178. [Google Scholar] [CrossRef] [PubMed]
- Yin, X.; Yao, C.; Song, J.; Li, Z.; Zhang, C.; Qian, W.; Bi, D.; Li, C.; Teng, Y.; Wu, L.; et al. Mercury contamination in vicinity of secondary copper smelters in Fuyang, Zhejiang province, China: Levels and contamination in topsoils. Environ. Pollut. 2009, 157, 1787–1793. [Google Scholar] [CrossRef] [PubMed]
- Kuo, S.-C.; Hsieh, L.-Y.; Tsai, C.-H.; Tsai, Y.I. Characterization of PM2.5 fugitive metal in the workplaces and the surrounding environment of a secondary aluminum smelter. Atmos. Environ. 2007, 41, 6884–6900. [Google Scholar] [CrossRef]
- Li, R.; Tao, R.; Ling, N.; Chu, G. Chemical, organic and bio-fertilizer management practices effect on soil physicochemical property and antagonistic bacteria abundance of a cotton field: Implications for soil biological quality. Soil Tillage Res. 2017, 167, 30–38. [Google Scholar] [CrossRef]
- Rousk, J.; Bååth, E.; Brookes, P.C.; Lauber, C.L.; Lozupone, C.; Caporaso, J.G.; Knight, R.; Fierer, N. Soil bacterial and fungal communities across a pH gradient in an arable soil. ISME J. 2010, 4, 1340–1351. [Google Scholar] [CrossRef] [PubMed]
- De la Paz Jimenez, M.; de la Horra, A.; Pruzzo, L.; Palma, M.R. Soil quality: A new index based on microbiological and biochemical parameters. Biol. Fertil. Soils 2002, 35, 302–306. [Google Scholar] [CrossRef]
- Rodríguez-Caballero, G.; Caravaca, F.; Alguacil, M.M.; Fernández-López, M.; Fernández-González, A.J.; Roldán, A. Striking alterations in the soil bacterial community structure and functioning of the biological N cycle induced by Pennisetum setaceum invasion in a semiarid environment. Soil Biol. Biochem. 2017, 109, 176–187. [Google Scholar] [CrossRef]
- Wang, S.; Cheng, X. Changes in proteolytic bacteria in paddy soils in response to organic management. Acta Agric. Scand. Sect. B Soil Plant Sci. 2017, 67, 583–589. [Google Scholar] [CrossRef]
- Xie, X.-H.; Fan, F.-X.; Yuan, X.-W.; Zhu, W.-X.; Liu, N.; Ping, J.; Liu, J.-S. Impact on microbial diversity of heavy metal pollution in soils near dexing copper mine tailings. Weishengwuxue Tongbao 2012, 39, 624–637. [Google Scholar]
- Jiang, Y.M.; Zhang, C.; Huang, X.L.; Ni, C.Y.; Wang, J.F.; Song, P.F.; Zhang, Z.B. Effect of heavy metals in the sediment of Poyang Lake estuary on microbial communities structure base on Mi-seq sequencing. China Environ. Sci. 2016, 36, 3475–3486. [Google Scholar]
- Sobolev, D.; Begonia, M. Effects of heavy metal contamination upon soil microbes: Lead-induced changes in general and denitrifying microbial communities as evidenced by molecular markers. Int. J. Environ. Res. Public Health 2008, 5, 450–456. [Google Scholar] [CrossRef] [PubMed]
- Doelman, P.; Haanstra, L. Short-term and long-term effects of cadmium, chromium, copper, nickel, lead and zinc on soil microbial respiration in relation to abiotic soil factors. Plant Soil 1984, 79, 317–327. [Google Scholar] [CrossRef]
- Kouchou, A.; Rais, N.; Elsass, F.; Duplay, J.; Fahli, N.; Ghachtouli, N. Effects of long-term heavy metals contamination on soil microbial characteristics in calcareous agricultural lands (Saiss plain, North Morocco). J. Mater. Environ. Sci. 2017, 8, 691–695. [Google Scholar]
- Narendrula-Kotha, R.; Nkongolo, K.K. Bacterial and fungal community structure and diversity in a mining region under long-term metal exposure revealed by metagenomics sequencing. Ecol. Genet. Genom. 2017, 2, 13–24. [Google Scholar] [CrossRef]
- Gremion, F.; Chatzinotas, A.; Kaufmann, K.; von Sigler, W.; Harms, H. Impacts of heavy metal contamination and phytoremediation on a microbial community during a twelve-month microcosm experiment. FEMS Microbiol. Ecol. 2004, 48, 273–283. [Google Scholar] [CrossRef] [PubMed]
- Duan, X.; Min, H. Physiological toxicity of Cd2+ to representative microbial species in submerged paddy soil. Ecol. Environ.-Ment. Sci. 2005, 14, 865–869. [Google Scholar]
- Li, J.; Mu, Y. Research advances on the microbial effects of cadmium polluted soil. Environ. Sci. Manag. 2008, 33, 59–61. [Google Scholar]
- Feris, K.; Ramsey, P.; Frazar, C.; Moore, J.N.; Gannon, J.E.; Holben, W.E. Differences in hyporheic-zone microbial community structure along a heavy-metal contamination gradient. Appl. Environ. Microbiol. 2003, 69, 5563–5573. [Google Scholar] [CrossRef] [PubMed]
- Gillan, D.C.; Danis, B.; Pernet, P.; Joly, G.; Dubois, P. Structure of sediment-associated microbial communities along a heavy-metal contamination gradient in the marine environment. Appl. Environ. Microbiol. 2005, 71, 679–690. [Google Scholar] [CrossRef] [PubMed]
- Sinkko, H.; Lukkari, K.; Sihvonen, L.M.; Sivonen, K.; Leivuori, M.; Rantanen, M.; Paulin, L.; Lyra, C. Bacteria contribute to sediment nutrient release and reflect progressed eutrophication-driven hypoxia in an organic-rich continental sea. PLoS ONE 2013, 8, e67061. [Google Scholar] [CrossRef] [PubMed]
- Hayat, R.; Ali, S.; Amara, U.; Khalid, R.; Ahmed, I. Soil beneficial bacteria and their role in plant growth promotion: A review. Ann. Microbiol. 2010, 60, 579–598. [Google Scholar] [CrossRef]
- Mishra, A.; Malik, A. Recent advances in microbial metal bioaccumulation. Crit. Rev. Environ. Sci. Technol. 2013, 43, 1162–1222. [Google Scholar] [CrossRef]
- Pereira, S.; Zille, A.; Micheletti, E.; Moradas-Ferreira, P.; De Philippis, R.; Tamagnini, P. Complexity of cyanobacterial exopolysaccharides: Composition, structures, inducing factors and putative genes involved in their biosynthesis and assembly. FEMS Microbiol. Rev. 2009, 33, 917–941. [Google Scholar] [CrossRef] [PubMed]
- Pereira, S.; Micheletti, E.; Zille, A.; Santos, A.; Moradas-Ferreira, P.; Tamagnini, P.; De Philippis, R. Using extracellular polymeric substances (EPS)-producing cyanobacteria for the bioremediation of heavy metals: Do cations compete for the EPS functional groups and also accumulate inside the cell? Microbiology 2011, 157, 451–458. [Google Scholar] [CrossRef] [PubMed]
- Sessitsch, A.; Kuffner, M.; Kidd, P.; Vangronsveld, J.; Wenzel, W.W.; Fallmann, K.; Puschenreiter, M. The role of plant-associated bacteria in the mobilization and phytoextraction of trace elements in contaminated soils. Soil Biol. Biochem. 2013, 60, 182–194. [Google Scholar] [CrossRef] [PubMed]







| Site | Soil Physicochemical Properties | Soil Enzyme Activity | ||||||||
|---|---|---|---|---|---|---|---|---|---|---|
| pH | SOM a | AK b | AP c | NO3−-N d | Urease e | Protease f | Dehydrolase g | FDA Dehydrogenase h | Polyphenol Oxidase i | |
| (%) | (mg·kg−1) | (mg·kg−1) | (mg·kg−1) | (mg·g−1·d−1) | (mg·g−1·d−1) | (g·g−1·h−1) | (g·kg−1·h−1) | (mg·g−1·h−1) | ||
| C j | 8.26i | 4.07m | 163.9c | 14.09k | 1.06a | 0.27a | 0.18a | 0.59c | 0.23c | 0.07f |
| S1 | 7.26ef | 1.27b | 232.1i | 5.05b | 2.66d | 0.49j | 0.91j | 1.05j | 0.26d | 0.29l |
| S2 | 7.32f | 1.79e | 249.44k | 7.11e | 3.86g | 0.61o | 0.74g | 0.64ef | 0.53i | 0.28k |
| S3 | 6.89a | 1.53d | 141.77a | 22.33n | 13.58n | 0.3b | 0.64b | 0.63de | 0.49g | 0.09g |
| S4 | 7.03bc | 1.76e | 173.23d | 35.8o | 9.69m | 0.41f | 0.71ef | 0.64ef | 0.63m | 0.28k |
| S5 | 7.28ef | 1.06a | 247.02k | 6.71d | 2.35c | 0.42g | 0.71ef | 0.65f | 0.26d | 0.1h |
| S6 | 7.13cd | 3.28k | 174.84d | 9.03g | 4.75h | 0.57l | 0.7de | 0.59c | 0.59l | 0.15i |
| S7 | 7.27ef | 4.11m | 240.16j | 16.01m | 6.4k | 0.49j | 0.72f | 0.54b | 0.56j | 0.02b |
| S8 | 7.18de | 2.54i | 198.23f | 12.24j | 3.47e | 0.58m | 0.74g | 0.62d | 0.57k | 0.03c |
| S9 | 6.99ab | 2.54i | 165.56c | 10.51h | 3.61f | 0.33c | 0.66c | 0.48a | 0.52h | 0.01a |
| S10 | 6.89a | 3.07j | 184.92e | 11.4i | 5.46i | 0.59n | 0.69d | 0.74h | 0.47f | 0.21j |
| S11 | 7.72h | 3.31k | 147.02b | 6.48d | 6.92l | 0.58m | 0.74g | 0.74h | 0.8o | 0.01a |
| S12 | 7.58g | 2.44h | 182.9e | 58.37p | 5.94j | 0.46h | 0.72f | 0.71g | 0.69n | 0.01a |
| S13 | 7.48g | 3.78l | 226.05h | 14.77l | 6.92l | 0.55k | 0.76h | 0.53b | 0.49g | 0.04d |
| S14 | 7.57g | 1.42c | 234.52i | 4.5a | 1.32b | 0.48i | 0.84i | 0.7g | 0.38e | 0.15i |
| S15 | 7.48g | 1.91f | 234.11i | 5.38c | 1.09a | 0.35e | 0.71ef | 0.76i | 0.12a | 0.03c |
| S16 | 7.71h | 2.12g | 204.27g | 7.51f | 1.04a | 0.34d | 0.71ef | 0.53b | 0.18b | 0.06e |
| Study Site | Cu (mg·kg−1) | Cd (mg·kg−1) | Pb (mg·kg−1) | Zn (mg·kg−1) | Cr (mg·kg−1) | PLI a |
|---|---|---|---|---|---|---|
| C | 43.7a | 0.37a | 24.1a | 74.3a | 47.3a | 0.91a |
| S1 | 103.62j | 1.86c | 164.64f | 134.52h | 111.95f | 2.93j |
| S2 | 60.69e | 6.97i | 125.23d | 94.32d | 83.96d | 2.86i |
| S3 | 60.69e | 4.18g | 144.94e | 95.12d | 69.97c | 2.57ef |
| S4 | 52.89c | 2.79e | 164.64f | 76.63b | 125.94g | 2.54e |
| S5 | 48.98b | 6.04h | 105.53c | 106.38e | 55.98b | 2.43d |
| S6 | 56.79d | 2.32d | 85.82b | 79.85c | 69.97c | 1.96c |
| S7 | 84.11g | 2.32d | 85.82b | 112.81f | 139.93h | 2.61f |
| S8 | 56.79d | 1.86c | 85.82b | 79.85c | 69.97c | 1.87b |
| S9 | 91.91i | 4.18g | 105.53c | 117.63g | 139.93h | 3.14l |
| S10 | 80.21f | 1.39b | 105.53c | 112.01f | 139.93h | 2.43d |
| S11 | 80.23f | 1.86c | 85.82b | 117.63g | 153.93i | 2.54e |
| S12 | 119.23l | 1.86c | 164.64f | 139.34i | 69.97c | 2.76h |
| S13 | 127.03n | 1.86c | 184.35g | 141.75j | 83.96d | 2.98k |
| S14 | 123.13m | 2.32d | 164.64f | 145.77k | 97.96e | 3.14l |
| S15 | 111.42k | 3.25f | 223.76h | 132.91h | 139.93h | 3.69m |
| S16 | 88.01h | 1.39b | 125.23d | 203.66l | 97.96e | 2.68g |
| Study Sites | Chao1 Estimator | Shannon Diversity |
|---|---|---|
| C | 3060.79h | 8.87j |
| S1 | 1763.92a | 6.01a |
| S2 | 2190.08cde | 6.49efgh |
| S3 | 2406.76ef | 6.55fghi |
| S4 | 2369.26ef | 6.64hi |
| S5 | 2328.9def | 6.60ghi |
| S6 | 2040.8bc | 6.19abc |
| S7 | 2181.89cde | 6.40defg |
| S8 | 2108.03bcd | 6.32bcde |
| S9 | 1984.25bc | 6.18abc |
| S10 | 2118.81bcd | 6.23bcd |
| S11 | 2194.34cde | 6.29bcde |
| S12 | 2305.61def | 6.46efgh |
| S13 | 1909.72ab | 6.14ab |
| S14 | 2043.28bc | 6.53fghi |
| S15 | 2484.26g | 6.68i |
| S16 | 2314.3def | 6.38cdef |
© 2018 by the authors. Licensee MDPI, Basel, Switzerland. This article is an open access article distributed under the terms and conditions of the Creative Commons Attribution (CC BY) license (http://creativecommons.org/licenses/by/4.0/).
Share and Cite
Luo, Z.; Ma, J.; Chen, F.; Li, X.; Zhang, S. Effects of Pb Smelting on the Soil Bacterial Community near a Secondary Lead Plant. Int. J. Environ. Res. Public Health 2018, 15, 1030. https://doi.org/10.3390/ijerph15051030
Luo Z, Ma J, Chen F, Li X, Zhang S. Effects of Pb Smelting on the Soil Bacterial Community near a Secondary Lead Plant. International Journal of Environmental Research and Public Health. 2018; 15(5):1030. https://doi.org/10.3390/ijerph15051030
Chicago/Turabian StyleLuo, Zhanbin, Jing Ma, Fu Chen, Xiaoxiao Li, and Shaoliang Zhang. 2018. "Effects of Pb Smelting on the Soil Bacterial Community near a Secondary Lead Plant" International Journal of Environmental Research and Public Health 15, no. 5: 1030. https://doi.org/10.3390/ijerph15051030
APA StyleLuo, Z., Ma, J., Chen, F., Li, X., & Zhang, S. (2018). Effects of Pb Smelting on the Soil Bacterial Community near a Secondary Lead Plant. International Journal of Environmental Research and Public Health, 15(5), 1030. https://doi.org/10.3390/ijerph15051030

