Sign in to use this feature.

Years

Between: -

Subjects

remove_circle_outline
remove_circle_outline
remove_circle_outline
remove_circle_outline
remove_circle_outline
remove_circle_outline
remove_circle_outline
remove_circle_outline
remove_circle_outline

Journals

remove_circle_outline
remove_circle_outline
remove_circle_outline
remove_circle_outline
remove_circle_outline
remove_circle_outline
remove_circle_outline
remove_circle_outline
remove_circle_outline
remove_circle_outline
remove_circle_outline
remove_circle_outline
remove_circle_outline
remove_circle_outline
remove_circle_outline
remove_circle_outline
remove_circle_outline
remove_circle_outline
remove_circle_outline
remove_circle_outline
remove_circle_outline
remove_circle_outline
remove_circle_outline
remove_circle_outline
remove_circle_outline
remove_circle_outline
remove_circle_outline
remove_circle_outline
remove_circle_outline
remove_circle_outline
remove_circle_outline
remove_circle_outline
remove_circle_outline
remove_circle_outline
remove_circle_outline

Article Types

Countries / Regions

remove_circle_outline
remove_circle_outline
remove_circle_outline
remove_circle_outline
remove_circle_outline
remove_circle_outline
remove_circle_outline
remove_circle_outline
remove_circle_outline

Search Results (3,933)

Search Parameters:
Keywords = lead contamination

Order results
Result details
Results per page
Select all
Export citation of selected articles as:
15 pages, 3814 KB  
Article
Electrospun Polyurethane-Based Nanofibrous Membranes Functionalized with UiO-66-NH2 for Water Remediation
by Peio Martinez, Roberto Fernández de Luis, Jorge Sáiz, José Manuel Laza, Hugo Salazar, Alazne Gutiérrez, Rosa M. Alonso, José Andrés Fernández, Senentxu Lanceros-Mendez and Antonio Veloso-Fernández
Polymers 2026, 18(9), 1065; https://doi.org/10.3390/polym18091065 (registering DOI) - 28 Apr 2026
Abstract
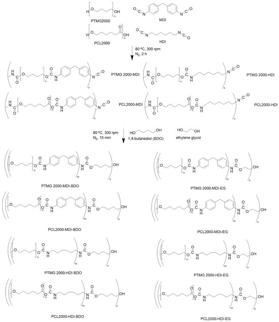
Water contamination resulting from anthropogenic activities poses a critical threat to ecosystems and human health. The development of efficient, sustainable, and selective materials for water purification has therefore become a pressing necessity. In this study, polyurethanes (PUs) with tailored soft and hard segments [...] Read more.
Water contamination resulting from anthropogenic activities poses a critical threat to ecosystems and human health. The development of efficient, sustainable, and selective materials for water purification has therefore become a pressing necessity. In this study, polyurethanes (PUs) with tailored soft and hard segments were synthesized and characterized to evaluate their suitability for the fabrication of electrospun membranes. ATR-FTIR confirmed successful polymerization, while thermal analyses revealed that molecular design strongly influences the polymers’ thermal behavior. Among the synthesized materials, only two PUs exhibited solubility and spinnability, leading to homogeneous nanofibrous mats with average fiber diameters of approximately 500 nm. To enhance the adsorption capacity, specific surface area and interaction diversity of the membranes, metal–organic framework (MOF) particles were incorporated into the polymer solutions prior to electrospinning, allowing their immobilization within the fibrous polymer matrix. The resulting hybrid membranes showed remarkable improvements in methylene blue uptake, increasing from 29 to 34 mg·m−2 in pristine membranes and 57 to 115 mg·m−2 in the MOF-containing ones. This enhancement was attributed to the synergistic effect between the aromatic urethane structures and the MOF linkers, as well as to the increased effective surface area provided by the nanofibrous architecture. The results demonstrate the potential of electrospun PU-based membranes as pollutant removal, combining structural versatility, functional tunability, and compatibility. Full article
(This article belongs to the Special Issue Advances in Biopolymer Research: Sustainability and Applications)
Show Figures

Graphical abstract

34 pages, 1556 KB  
Review
Impact of Heavy Metal Sequestration During Phytoremediation of Textile Wastewater on Biogas Yield of Aquatic Plants: A Review
by Kaizar Hossain, Sayanti Kar, Dipsita Hati, Arpita Ghosh, Sinjini Sengupta, Souvik Paul, Avik De and Abhishek RoyChowdhury
Biomass 2026, 6(3), 34; https://doi.org/10.3390/biomass6030034 (registering DOI) - 28 Apr 2026
Abstract
The textile industry consumes a significant quantity of water and produces effluent containing water-soluble dyes and heavy metals such as Lead (Pb), Cadmium (Cd), Chromium (Cr), Copper (Cu), and Zinc (Zn), among others. Heavy metal contamination of water bodies and their impact on [...] Read more.
The textile industry consumes a significant quantity of water and produces effluent containing water-soluble dyes and heavy metals such as Lead (Pb), Cadmium (Cd), Chromium (Cr), Copper (Cu), and Zinc (Zn), among others. Heavy metal contamination of water bodies and their impact on aquatic life, as well as on human health, is of prime importance. This review examined the potential of phytoremediation, a low-cost and eco-friendly process for removing contaminants from textile effluent. This review also investigated the impact of heavy metal toxicity on aquatic plants used for biogas production post phytoremediation application. This review evaluated textile effluent characteristics, efficiency evaluation of phytoremediation of textile wastewater, metal uptake mechanisms of aquatic plants, and anaerobic digestion processes with emphasis on Water hyacinth (Eichhornia crassipes), Duckweed (Lemna minor), and Water lettuce (Pistia stratiotes). The findings indicated that these aquatic plants possess immense potential for removing heavy metals and other impurities by employing phytoextraction and rhizofiltration methods. Their rapid growth rate makes them preferred candidates for anaerobic digestion. However, accumulation of heavy metals in plant tissues inhibits microbial activities during anaerobic digestion, resulting in fluctuations in biogas and methane production. Findings also showed that these aquatic plants are efficient in the removal of heavy metals in water while yielding considerable biomass that can be used to produce bioenergy through anaerobic digestion. However, the sequestration of heavy metals in plant biomass may affect the rate of methane generation efficiency. The findings of this review suggest that phytoremediation has promising potential for the recycling of textile wastewater and, when coupled with biogas production, contributes towards a circular bioeconomy, an approach that integrates closed-loop resource utilization with renewable biological systems to minimize waste. Full article
Show Figures

Figure 1

20 pages, 3790 KB  
Article
Bioaccumulation and Trophic Transfer of Potentially Toxic Elements (As, Pb, and Cd) in Environmental Matrices and Sheep Tissues and Screening-Level Human Health Risk Assessment in the Ite Coastal Mining Wetland (Tacna, Peru)
by Abrahan Erasmo Apaza-Canqui, Diego Enrique Kassuha, Williams Sergio Almanza Quispe, María Elena Rodrigo Rojas, Nataniel Mario Linares-Gutiérrez, Carlos Genaro Morales-Aranibar, Álvaro Herrera Villanueva, Jorge González Aguilera, Alan Mario Zuffo and Luis Morales-Aranibar
Sustainability 2026, 18(9), 4334; https://doi.org/10.3390/su18094334 (registering DOI) - 28 Apr 2026
Abstract
Potentially toxic elements (PTEs) in mining-impacted wetlands can transfer from soil and water to forage and grazing livestock, resulting in dietary exposure for nearby communities. In this study, arsenic (As), lead (Pb), and cadmium (Cd) were quantified in key environmental matrices (soil, surface [...] Read more.
Potentially toxic elements (PTEs) in mining-impacted wetlands can transfer from soil and water to forage and grazing livestock, resulting in dietary exposure for nearby communities. In this study, arsenic (As), lead (Pb), and cadmium (Cd) were quantified in key environmental matrices (soil, surface water, and forage) and in sheep tissues (liver, kidney, and muscle) from six georeferenced grazing sites in the Ite coastal wetland (Tacna, Peru) during the dry season. Samples were acid-digested following U.S. EPA protocols and analyzed by atomic absorption spectrometry (AAS) under QA/QC procedures (certified reference materials, blanks, duplicates, and matrix spikes); matrix-specific detection and quantification limits are reported. Arsenic dominated the contamination profile (forage: 428.6 mg kg−1, dry weight; soil: 48.61 mg kg−1; water: 0.97 mg L−1) and was detected in sheep tissues (kidney: 0.1577 mg kg−1; muscle: 0.1538 mg kg−1; liver: 0.0644 mg kg−1). Lead and cadmium were <LOQ in muscle and liver but were measurable in kidney (Pb: 0.0415 mg kg−1; Cd: 0.0011 mg kg−1). To support the interpretation of trophic transfer, screening transfer/bioaccumulation metrics (soil-to-forage, forage-to-tissue, and water-to-tissue) were calculated. Human dietary exposure was screened using estimated daily intake (EDI), hazard quotient (HQ), and margin of exposure (MOE). Because arsenic speciation was not measured, inorganic arsenic (iAs) risk was evaluated as a conservative upper bound (100% iAs) and through sensitivity scenarios (10–50% iAs). Under a high-meat-consumption scenario (300 g day−1), the upper-bound assumption yielded HQ = 2.2 and MOE = 0.46; however, scenario analyses indicate that risk conclusions are highly dependent on the assumed iAs fraction. Overall, the results identify arsenic as a priority contaminant and support targeted grazing management, the provision of low-arsenic water sources, and remediation and monitoring actions to reduce exposure in vulnerable rural communities. Full article
(This article belongs to the Special Issue Impact of Heavy Metals on the Sustainable Environment—2nd Edition)
Show Figures

Figure 1

17 pages, 3947 KB  
Article
Iron-Containing Flocs Derived from Environmental Emergency Response Influenced Nitrogen Cycling Driven by Microorganisms in River Sediments
by Zeqiang Huang, Sili Chen, An Fan, Yun Chen, Qijia Cai, Taotao Zeng, Weimin Zheng and Yuyin Yang
Microorganisms 2026, 14(5), 980; https://doi.org/10.3390/microorganisms14050980 (registering DOI) - 27 Apr 2026
Abstract
In situ coagulation is regarded as the most effective measure in response to the frequent metal spills in China. Excessive coagulant is often used in pursuit of extremely high removal rates of contaminants. Yet the secondary ecological impact of the iron-containing coagulation flocs [...] Read more.
In situ coagulation is regarded as the most effective measure in response to the frequent metal spills in China. Excessive coagulant is often used in pursuit of extremely high removal rates of contaminants. Yet the secondary ecological impact of the iron-containing coagulation flocs left on the river sediments after emergency response is still unclear. In the current study, we investigated the impact of flocs derived from three different iron-based coagulants, polymeric ferric sulfate (PFS), polymeric ferric chloride (PFC), and ferric chloride (FeCl3), on microbial communities in sediment based on microcosm experiments. Metagenomics, quantitative PCR, and determination of ammonia oxidation potential were adopted to elucidate community shifts. The results indicate that the community structure and function of microorganisms in sediments have been affected, especially processes and species related to nitrogen cycling, and the effect was coagulant-specific. Flocs retrieved from FeCl3 caused a more pronounced decline in diversity, shifts in community composition, and decreased potential ammonia oxidation. Ammonia-oxidizing archaea (AOA) was more sensitive to iron-containing flocs than ammonia-oxidizing bacteria (AOB), while PFS-flocs tended to reduce multiple genes involved in nitrate reduction. This indicates that the pre-polymerization of inorganic coagulants may be the primary factor leading to different microbial ecological effects. Sulfate, on the other hand, may affect specific biogeochemical processes due to its competition for electron donors. Our results confirmed that even without heavy metals as contaminants, coagulant flocs alone could present an effect on nitrogen cycling in sediments. The results will provide a scientific basis for environmental emergency decision-making: in emergency response to metal pollution incidents, the use of coagulants should be limited to only the necessary level. Full article
(This article belongs to the Section Environmental Microbiology)
Show Figures

Figure 1

38 pages, 837 KB  
Review
Targeting Mycotoxin Toxicity: From Molecular Mechanisms to Nutritional Interventions
by Shirui Huang, Yiqin Gao, Thobela Louis Tyasi, Abdelkareem A. Ahmed, In Ho Kim, Hao-Yu Liu, Saber Y. Adam and Demin Cai
Vet. Sci. 2026, 13(5), 421; https://doi.org/10.3390/vetsci13050421 (registering DOI) - 26 Apr 2026
Viewed by 204
Abstract
Mycotoxin contamination is an important threat to food and feed safety as well as human and animal health, with particular emphasis on oxidative stress, apoptosis, autophagy, inflammation, and dysbiosis. Mycotoxins represent major health threats because they disturb cellular homeostasis and induce oxidative damage. [...] Read more.
Mycotoxin contamination is an important threat to food and feed safety as well as human and animal health, with particular emphasis on oxidative stress, apoptosis, autophagy, inflammation, and dysbiosis. Mycotoxins represent major health threats because they disturb cellular homeostasis and induce oxidative damage. Nutritional factors, such as dietary antioxidants and bioactive chemicals, can influence the body’s reaction to mycotoxin exposure, either reducing or increasing its effects. This study discusses how mycotoxins (aflatoxin B1, deoxynivalenol, and ochratoxin A) induce oxidative stress by producing reactive oxygen species (ROS)-mediated DNA damage, which induces cellular damage and activates apoptosis, an intended cell death process that is critical for tissue integrity. Furthermore, mycotoxins alter autophagy, a cellular degradation process that can be beneficial or destructive depending on the situation, affecting cell survival. The inflammatory response is particularly important because mycotoxin-induced oxidative stress and cell damage activate inflammatory pathways, which contribute to tissue injury and disease progression. Nutritional factors high in antioxidants, anti-inflammatory substances (Lycopene, Curcumin, Thyme oil, Gum Arabic, and Ginger), probiotics, and prebiotics show potential in mitigating these negative consequences by reducing oxidative stress and inflammation. Advances in molecular biology and omics technologies (transcriptomics, proteomics, metabolomics, and single-cell sequencing) can lead to better knowledge of the underlying pathways, allowing for more tailored nutritional recommendations and medicinal interventions. Finally, combining dietary modulation with mycotoxin risk management is a viable path for protecting health and increasing resilience to mycotoxin-related toxicities in animals. Full article
Show Figures

Figure 1

22 pages, 3010 KB  
Article
Role of Plant Growth-Promoting Bacteria in Reshaping Rhizosphere Bacterial and Fungal Microbiomes Under Multi-Metal–Microplastic Composite Pollution in Spinach
by Xiao-Lu Luo, Jing-Yi Wang, Yan-Qin Tang, Ze-Hua Hu, Han Liu, Bai-Lian Larry Li, Yu-Ying Li, Xue-Min Ren, Hui Han, Yan Chen and Zhao-Jin Chen
Microorganisms 2026, 14(5), 972; https://doi.org/10.3390/microorganisms14050972 (registering DOI) - 26 Apr 2026
Viewed by 76
Abstract
Microplastics (MPs) often co-occur with heavy metals (HMs), posing combined stress that inhibits plant growth. While plant growth-promoting bacteria (PGPB) are known to alleviate heavy metal toxicity, their role under MP–HM co-contamination and the differential responses of rhizosphere microbial communities remain unclear. This [...] Read more.
Microplastics (MPs) often co-occur with heavy metals (HMs), posing combined stress that inhibits plant growth. While plant growth-promoting bacteria (PGPB) are known to alleviate heavy metal toxicity, their role under MP–HM co-contamination and the differential responses of rhizosphere microbial communities remain unclear. This study evaluated the effects of cadmium (Cd) and lead (Pb), polylactic acid (PLA) MPs, and their combined contamination on spinach growth using pot experiments, and assessed the mitigation potential of two PGPB strains. PGPB inoculation significantly increased plant height and dry weight. High-throughput sequencing revealed that pollution treatments and PGPB altered rhizosphere bacterial and fungal community composition and diversity. Microbial shifts were closely associated with soil chemical properties and plant growth. Notably, bacteria and fungi exhibited distinct response patterns to combined stress and remediation. Functional prediction (PICRUSt2) indicated that microbial communities enhanced metabolic processes and nutrient (N and P) cycling to cope with stress. PGPB inoculation reduced heavy metal toxicity, improved soil nutrient status (P and K), increased microbial diversity, and regulated microbial functions, thereby supporting soil ecological stability. These findings provide insights into rhizosphere microbial mechanisms and support the application of PGPB for remediation of MP–HM co-contaminated soils. Full article
(This article belongs to the Section Environmental Microbiology)
Show Figures

Figure 1

27 pages, 624 KB  
Systematic Review
Heavy Metal Contamination in Foods: Advances in Detection Technologies, Regulatory Challenges, Health Risks, and Implications for Sustainable Food Safety
by Diego A. Hernández-Montoya, Ana G. Castañeda-Miranda, Margarita L. Martinez-Fierro, Alfonso Talavera-Lopez, Remberto Sandoval-Aréchiga, Jose. R. Gomez-Rodriguez, Víktor I. Rodríguez-Abdalá, Rodrigo Castañeda-Miranda, Luis Alberto Flores-Chaires, Sodel Vazquez-Reyes and Salvador Ibarra Delgado
Sustainability 2026, 18(9), 4280; https://doi.org/10.3390/su18094280 (registering DOI) - 25 Apr 2026
Viewed by 638
Abstract
Heavy metal contamination of foods remains a persistent global challenge for food safety and public health, driven by industrialization, mining activities, intensive agriculture, and ongoing environmental degradation. This scoping review synthesizes peer-reviewed literature on the occurrence of priority toxic metals—arsenic, cadmium, lead, mercury, [...] Read more.
Heavy metal contamination of foods remains a persistent global challenge for food safety and public health, driven by industrialization, mining activities, intensive agriculture, and ongoing environmental degradation. This scoping review synthesizes peer-reviewed literature on the occurrence of priority toxic metals—arsenic, cadmium, lead, mercury, and nickel—in food matrices, with emphasis on contamination pathways, analytical detection strategies, and documented human health effects. The reviewed studies reveal widespread accumulation of heavy metals in staple foods, including cereals, vegetables, seafood, and processed products, with concentrations frequently approaching or exceeding international regulatory limits, particularly in regions exposed to strong anthropogenic pressure. Conventional laboratory-based techniques, such as atomic absorption spectrometry and inductively coupled plasma methods, remain the reference standards for quantitative determination and regulatory compliance; however, their application to large-scale or continuous monitoring is often constrained by cost, infrastructure, and operational complexity. Consequently, increasing attention has been directed toward emerging detection approaches, including portable X-Ray fluorescence, Raman/SERS spectroscopy, electrochemical biosensors, electronic tongues, and in situ magnetic measurements, as complementary tools for rapid screening and field-based surveillance. Among these, environmental magnetism and in situ magnetic techniques stand out as non-destructive, low-cost proxies capable of identifying metal-associated particulate contamination linked to food production systems. Chronic dietary exposure to heavy metals is consistently associated with neurotoxicity, nephrotoxicity, carcinogenicity, and oxidative stress, underscoring the need for integrated, multi-tiered monitoring frameworks to support early detection, risk assessment, and prevention. Full article
Show Figures

Figure 1

25 pages, 2305 KB  
Article
Pesticides and Trace Element Residues in Honey from Northern Croatia
by Damir Pavliček, Marija Sedak, Nina Bilandžić, Ivana Varenina, Ivana Tlak Gajger, Anton Gradišek, Mariša Ratajec and Maja Đokić
Foods 2026, 15(9), 1502; https://doi.org/10.3390/foods15091502 - 25 Apr 2026
Viewed by 173
Abstract
The rapid translocation of pesticide and metal residues in the environment and their entry into the food chain pose a significant risk to human health. Given the high global consumption of honey, quality control emphasizes the need for continuous monitoring and risk assessment. [...] Read more.
The rapid translocation of pesticide and metal residues in the environment and their entry into the food chain pose a significant risk to human health. Given the high global consumption of honey, quality control emphasizes the need for continuous monitoring and risk assessment. To evaluate contamination levels in honey from northern Croatia, a region with intensive agricultural land use, 38 comb honey and 22 extracted honey samples were collected by purposive one-time sampling in June 2023. These samples were analyzed for 190 pesticides using liquid chromatography–tandem mass spectrometry (LC-MS/MS) and gas chromatography–tandem mass spectrometry (GC-MS/MS), and for 17 trace metal(loid)s using inductively coupled plasma mass spectrometry (ICP-MS). The highest detection frequencies were observed for fipronil-sulfone, trifloxystrobin, and coumaphos in comb honey, and for N-(2,4-dimethylphenyl)-formamide (DMF) and N-(2,4-dimethylphenyl)-N′-methylformamidine (DPMF) in extracted honey. Glyphosate was the only pesticide to exceed the European Union (EU) maximum residue level (MRL) of 0.05 mg/kg in three honey samples. Elemental analysis quantified most target metals, with aluminum (Al), copper (Cu), iron (Fe), manganese (Mn), nickel (Ni) and zinc (Zn) being the most abundant, while silver (Ag), arsenic (As), and selenium (Se) were not detected in this study. None of the samples contained lead (Pb) above the regulatory limit for honey established in the EU (0.1 mg/kg). To ensure food safety, further efforts are required to assess the health risks associated with exposure to these contaminants through consumption of the evaluated food. Full article
(This article belongs to the Section Food Toxicology)
Show Figures

Figure 1

16 pages, 17645 KB  
Article
Lime and Fly Ash Co-Solidification Treatment of Oil-Contaminated Soil: Characteristics in Different Water Environments and Evaluation of Engineering Reuse
by Hemiao Yu, Pei Gao, Hui Li and Min Li
Toxics 2026, 14(5), 357; https://doi.org/10.3390/toxics14050357 - 23 Apr 2026
Viewed by 629
Abstract
Stabilization/solidification (S/S) is a crucial technology for the engineering reuse of oil-contaminated soil. A key challenge, however, is preventing the migration of residual oil under varying hydraulic conditions. This study investigates the efficacy of a lime and fly ash binder in treating oil-contaminated [...] Read more.
Stabilization/solidification (S/S) is a crucial technology for the engineering reuse of oil-contaminated soil. A key challenge, however, is preventing the migration of residual oil under varying hydraulic conditions. This study investigates the efficacy of a lime and fly ash binder in treating oil-contaminated soil. We systematically compared the performance of untreated (UOCS) and treated (TOCS) soils under different aqueous environments (humidity injection, water injection, and permeation). We evaluated oil migration, water-holding capacity, and permeability characteristics. The results demonstrate that the lime–fly ash treatment effectively adsorbed and immobilized oil contaminants, restricting their mobility to a remarkably low range of 0.54% to 4.90%. Furthermore, the S/S treatment significantly improved the soil’s hydraulic properties: it enhanced the water-holding capacity, reduced the soil-water characteristic curve hysteresis, and counteracted the oil-induced hydrophobicity. Consequently, the effective permeation channels were restored, leading to a higher permeability coefficient in TOCS compared to UOCS. Crucially, the hydro-mechanical performance of the treated soil met the criteria of the Solidification/Stabilization Resource Guide, confirming its suitability for engineering applications. Full article
Show Figures

Figure 1

19 pages, 918 KB  
Review
Microplastics—The Microbiota Interactions: Mechanisms, Multi-Omics Insights and Health Implications
by Martina Valachovičová and Csilla Mišľanová
Appl. Sci. 2026, 16(9), 4110; https://doi.org/10.3390/app16094110 - 22 Apr 2026
Viewed by 201
Abstract
Microplastics (MPs) are pervasive environmental contaminants detected in terrestrial, aquatic, and human systems. Emerging evidence indicates that MPs interact with microbiota through biofilm formation, induction of oxidative stress, enrichment of antibiotic resistance genes (ARGs), and disruption of short-chain fatty acid metabolism, leading to [...] Read more.
Microplastics (MPs) are pervasive environmental contaminants detected in terrestrial, aquatic, and human systems. Emerging evidence indicates that MPs interact with microbiota through biofilm formation, induction of oxidative stress, enrichment of antibiotic resistance genes (ARGs), and disruption of short-chain fatty acid metabolism, leading to dysbiosis and altered host immune responses. These interactions contribute to dysbiosis, altered immune responses, and increased dissemination of ARGs, which pose health risks. This review synthesizes current knowledge on mechanisms of microplastic–microbiota interactions, highlighting evidence from in vitro, in vivo, and environmental studies. We discuss methodological challenges, including variability in particle types, concentrations, aging, and analytical approaches. Recent advances in multi-omics techniques provide deeper mechanistic understanding and reveal functional consequences of MP exposure. We outline key knowledge gaps and propose future research directions to assess the impact of microplastic exposure on ecosystems and human health. Full article
(This article belongs to the Special Issue Advanced Research on Microplastics, Human Exposure and Food Safety)
26 pages, 1586 KB  
Article
Microbial Biodegradation of Chlorothalonil Residual Pollutants in Soil and Tomato Plants by Microencapsulated Proteus terrae ZQ02
by Sajjad Ahmad, Jie Liu and Murugesan Chandrasekaran
Toxics 2026, 14(5), 352; https://doi.org/10.3390/toxics14050352 - 22 Apr 2026
Viewed by 515
Abstract
Chlorothalonil is a widely used fungicide in agriculture, but its excessive application can lead to environmental contamination. This study investigated the biodegradation potential of Proteus terrae ZQ02 in free and immobilized forms. Under optimal conditions (37 °C, pH 7), free cells degraded 97.2–98.7% [...] Read more.
Chlorothalonil is a widely used fungicide in agriculture, but its excessive application can lead to environmental contamination. This study investigated the biodegradation potential of Proteus terrae ZQ02 in free and immobilized forms. Under optimal conditions (37 °C, pH 7), free cells degraded 97.2–98.7% of chlorothalonil (50 mg/L) within seven days. Bacterial microcapsules were prepared using 3% sodium alginate, 2% calcium chloride, and 60 g/L wet biomass, with encapsulation times ranging from 6 to 12 h. The microcapsules displayed uniform size, high mechanical strength, porous structure, and excellent mass transfer, ensuring stable degradation activity. Encapsulated cells demonstrate enhanced tolerance to variations in pH, temperature, and salinity compared to free cells. In soil, microcapsules reduced chlorothalonil half-lives to 1.33–5.45 days for concentrations of 10–30 mg/L, achieving 92–96% degradation over 14–35 days. In tomato-planted soils, encapsulated and free cells degraded 96.3% and 81.6% of residues, respectively, after 28 days, significantly exceeding the control. These findings highlight that immobilization improves the stability, reusability, and efficiency of P. terrae ZQ02, making it a promising strategy for sustainable chlorothalonil biodegradation. The study demonstrates the potential of combining microbial strains with carrier materials for effective pesticide remediation and environmental protection, providing a foundation for large-scale applications in contaminated agroecosystems. Full article
(This article belongs to the Special Issue Degradation and Remediation of Environmental Pollutants)
Show Figures

Figure 1

19 pages, 6390 KB  
Article
Green Synthesis of CHA Zeolite from Expanded Perlite Waste for Rapid and Selective Pb2+ and Cd2+ Removal
by Changchang Fan, Binyu Wang, Pan Xu, Jiaojiao Lv, Haoyang Zhang, Zixuan Liang and Wenfu Yan
Molecules 2026, 31(9), 1377; https://doi.org/10.3390/molecules31091377 - 22 Apr 2026
Viewed by 245
Abstract
The increasing release of non-biodegradable heavy metals, particularly lead (Pb2+) and cadmium (Cd2+), poses severe risks to ecosystems and human health. Herein, we present a sustainable “treating-waste-with-waste” strategy that simultaneously addresses heavy-metal contamination in water and the accumulation of [...] Read more.
The increasing release of non-biodegradable heavy metals, particularly lead (Pb2+) and cadmium (Cd2+), poses severe risks to ecosystems and human health. Herein, we present a sustainable “treating-waste-with-waste” strategy that simultaneously addresses heavy-metal contamination in water and the accumulation of expanded perlite waste. Expanded perlite waste was directly converted into a high-purity, low-silica CHA zeolite via a simple, one-pot, template-free hydrothermal conversion. The resulting sodium-exchanged material (Na-CHA-p) demonstrated excellent Pb2+ and Cd2+ removal performance, featuring ultrafast adsorption kinetics (reaching equilibrium within 5 min for both ions), high adsorption capacities (555.6 mg·g−1 for Pb2+ and 211.0 mg·g−1 for Cd2+), and superior selectivity. This study demonstrates an efficient pathway for the high-value utilization of perlite waste and highlights the strong potential of waste-derived CHA zeolites as advanced adsorbents for heavy-metal wastewater remediation. Full article
Show Figures

Figure 1

3 pages, 133 KB  
Editorial
Artificial Intelligence for the Food Industry
by Malik A. Hussain and Azharul Karim
Foods 2026, 15(9), 1456; https://doi.org/10.3390/foods15091456 - 22 Apr 2026
Viewed by 226
Abstract
Artificial Intelligence (AI) is transforming the food industry by enhancing food safety (contamination detection, traceability), optimizing supply chains (demand forecasting, waste reduction, logistics), personalizing nutrition (customized recommendations), and driving product innovation (new flavor creation, formulation) through data analysis, machine vision, and predictive analytics, [...] Read more.
Artificial Intelligence (AI) is transforming the food industry by enhancing food safety (contamination detection, traceability), optimizing supply chains (demand forecasting, waste reduction, logistics), personalizing nutrition (customized recommendations), and driving product innovation (new flavor creation, formulation) through data analysis, machine vision, and predictive analytics, leading to greater efficiency, sustainability, and consumer satisfaction from farm to fork [...] Full article
(This article belongs to the Special Issue Artificial Intelligence for the Food Industry)
18 pages, 938 KB  
Article
Spatial Land Use Dynamics Driving Molecular Stress and Unacceptable Human Health Risks in Standardized Catfish Aquaculture Systems
by Ukam Uno, Worapong Singchat, Thitipong Panthum, Aingorn Chaiyes, Ekerette Ekerette, Uduak Edem, Saharuetai Jeamsripong, Anurak Uchuwittayakul, Weekit Sirisaksoontorn, Chomdao Sinthuvanich and Kornsorn Srikulnath
Environments 2026, 13(4), 231; https://doi.org/10.3390/environments13040231 - 21 Apr 2026
Viewed by 609
Abstract
Aquaculture sustainability in rapidly urbanizing regions is increasingly threatened by heavy metal contamination originating from complex anthropogenic land-use patterns. This study used an integrated model to evaluate the molecular-to-human health continuum in hybrid catfish (Clarias gariepinus × Clarias macrocephalus) sourced from [...] Read more.
Aquaculture sustainability in rapidly urbanizing regions is increasingly threatened by heavy metal contamination originating from complex anthropogenic land-use patterns. This study used an integrated model to evaluate the molecular-to-human health continuum in hybrid catfish (Clarias gariepinus × Clarias macrocephalus) sourced from Pathum Thani, Thailand’s primary aquaculture hub. We integrated geospatial land-use data with heavy-metal quantification, oxidative-stress biomarkers, and transcriptional profiling to assess how canal-specific water quality modulates fish health and consumer risk. The results revealed significant spatial heterogeneity in metal concentrations, corresponding to the province’s 27% urban–industrial land-use footprint. While water quality generally met regulatory limits, a pronounced aqueous–biotic discrepancy, “bioaccumulation paradox” was identified at certain sites, where muscle and hepatic tissues exhibited lead (Pb), chromium (Cr), and nickel (Ni) levels that substantially exceeded international safety standards. Biochemical and molecular analyses provided functional evidence of physiological distress, specifically significantly elevated malondialdehyde (MDA) levels, and the transcriptional modulation of cat, cyp1a, gpx, met, tnf, and star genes indicated that chronic metal exposure overwhelmed antioxidant defenses and induced potential endocrine disruption. Moreover, human health risk assessments revealed that the hazard index (HI) and target cancer risk (TR) exceeded unacceptable thresholds at multiple hotspots, indicating that Cr is a primary carcinogenic driver. These findings highlight a “GAP Paradox,” where farm-level certifications are insufficient to mitigate risks posed by the surrounding canal network. This study presents vital evidence-based risk profiles that necessitate a transition to a spatially based regulatory framework, incorporating geospatial land-use monitoring into national food safety policies to protect both aquaculture viability and public health. Full article
Show Figures

Figure 1

31 pages, 1480 KB  
Review
Removal of Contaminants of Emerging Concern from Wastewater Using Photocatalytic Membranes: Current Status and Challenges
by Nelson Kipchumba, Innocentia G. Mkhize, Benton Otieno, Hilary L. Rutto and Seteno K. Ntwampe
Membranes 2026, 16(4), 153; https://doi.org/10.3390/membranes16040153 - 21 Apr 2026
Viewed by 433
Abstract
The increasing presence of contaminants of emerging concern (CECs) in surface and groundwater is a global concern due to their toxicity, persistence, and bioaccumulation, which lead to undesired effects. Conventional wastewater treatment processes are unable to remove these CECs, necessitating advanced treatment strategies [...] Read more.
The increasing presence of contaminants of emerging concern (CECs) in surface and groundwater is a global concern due to their toxicity, persistence, and bioaccumulation, which lead to undesired effects. Conventional wastewater treatment processes are unable to remove these CECs, necessitating advanced treatment strategies to remove them effectively. Among advanced strategies, photocatalytic membrane treatment has attracted considerable interest among researchers. This review critically examines the fundamental principles governing the performance of photocatalytic membranes. It identifies significant challenges, including photocatalyst leaching, light accessibility, intermediates’ toxicity, and scalability of synthesis and immobilisation techniques. It explains why these factors significantly hinder long-term stability, scalability, and practical deployment of photocatalytic membrane systems and provides potential solutions. Through gap analysis, the review has identified rigorous techno-economic analysis, real-world wastewater validation, and systematic toxicity assessment of degradation intermediates as areas of further study. These targeted actions provide clear pathways to enhance the viability, safety, and commercial readiness of photocatalytic membrane systems. Full article
(This article belongs to the Section Membrane Applications for Water Treatment)
Show Figures

Graphical abstract

Back to TopTop