Removing Organic Matter and Nutrients from Pig Farm Wastewater with a Constructed Wetland System
Abstract
1. Introduction
2. Materials and Methods
Operation of the System
- V = volume of water in the wetland (m3)
- Q = volumetric flow rate (m3·d−1)
- τn = nominal retention time (days)
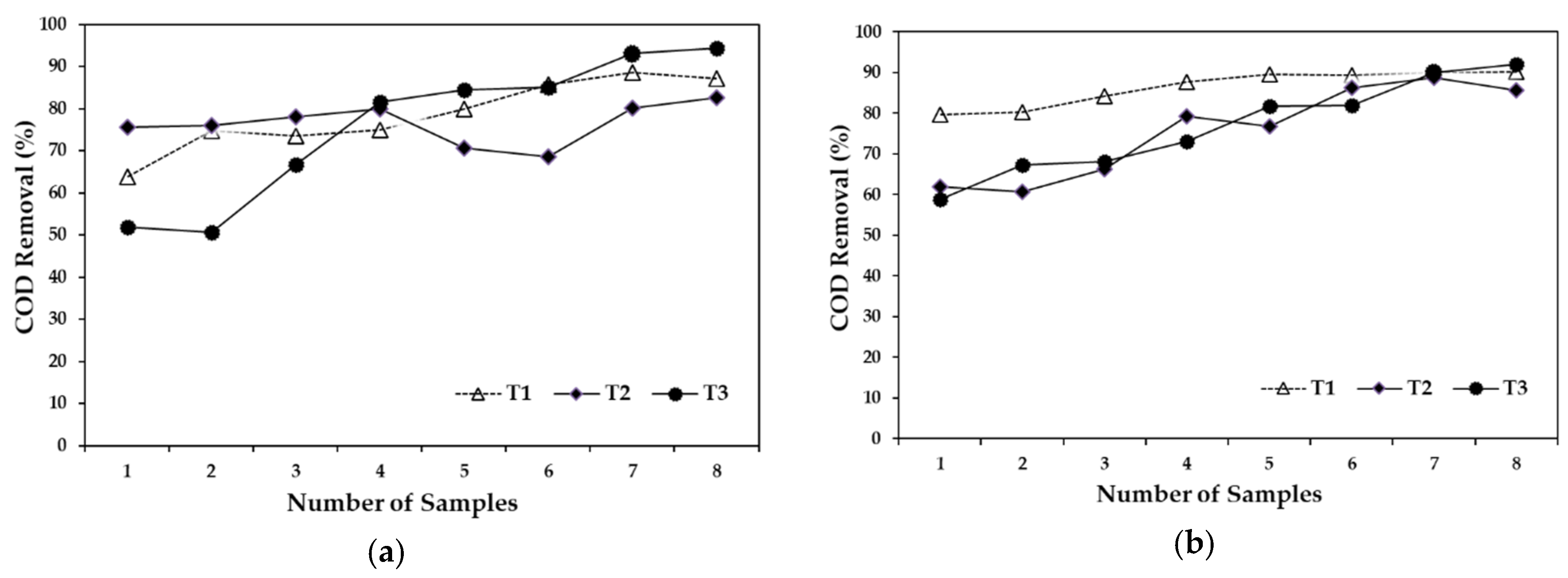
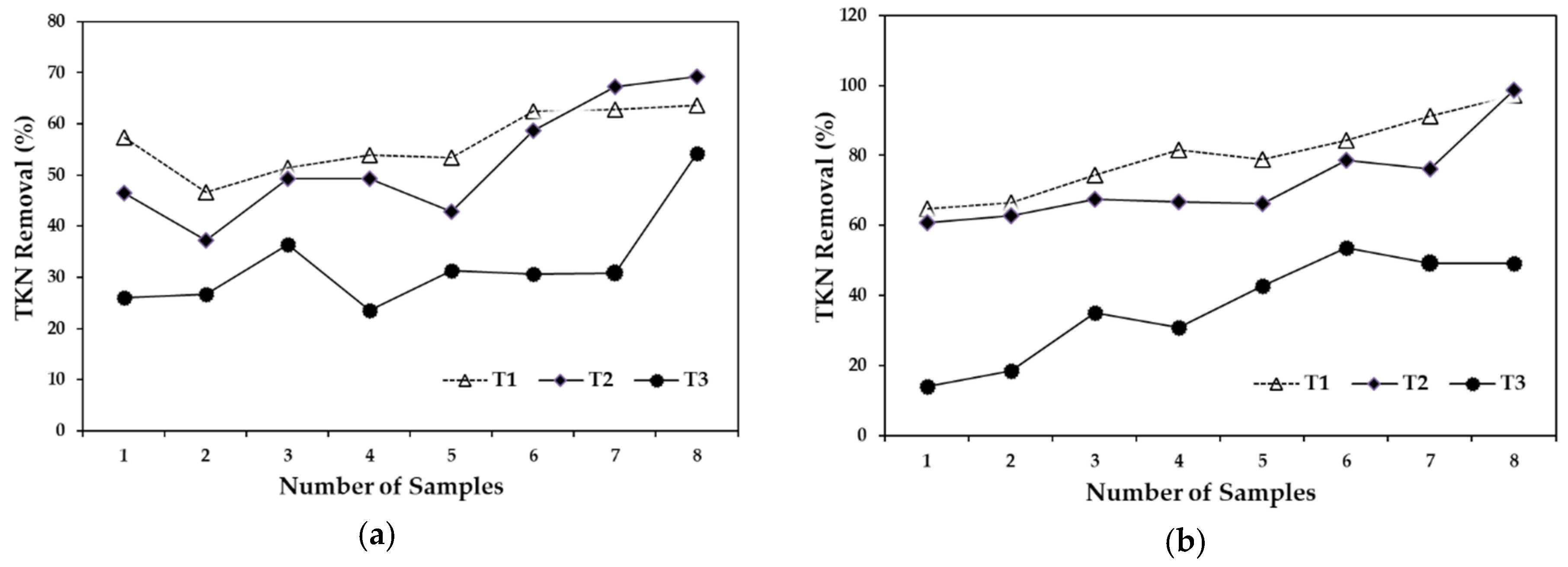
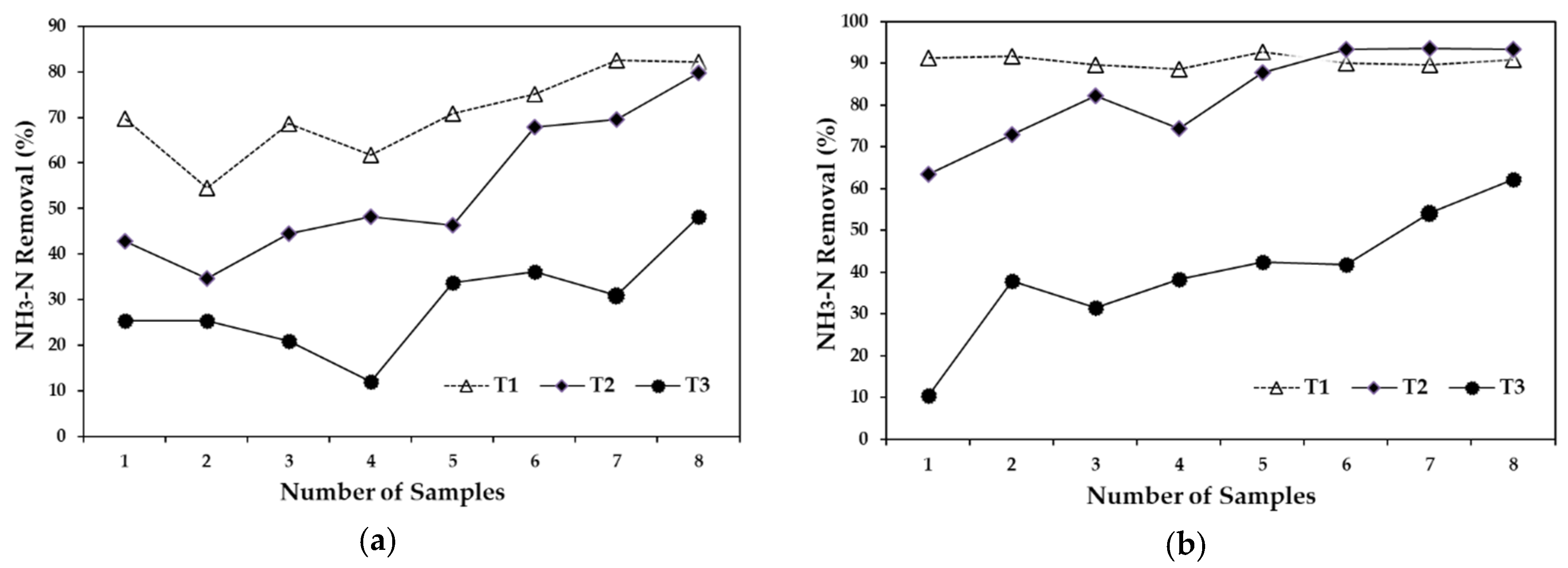
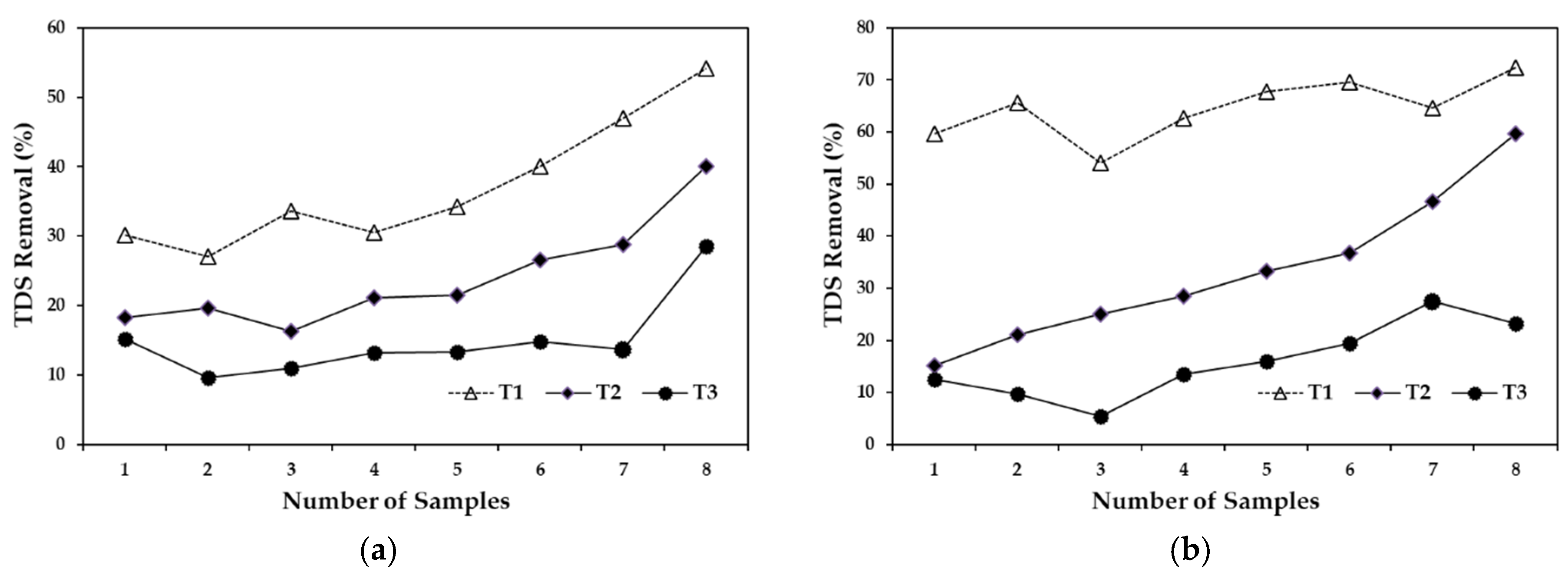
3. Results and Discussion
The Effect of the Hydraulic Retention Time (HRT) and the Treatments of the Removal Efficiencys of COD, TP, and TDS
4. Conclusions
Author Contributions
Acknowledgments
Conflicts of Interest
References
- Instituto Nacional de Estadística y Geografía. Comunicado de Prensa Núm 282/2017; Instituto Nacional de Estadística y Geografía: Aguascalientes, Mexico, 2017.
- SAGARPA. VIII Censo Agrícola, Ganadero y Forestal. Available online: http://www.inegi.org.mx/2008 (accessed on 20 August 2016).
- Gottschall, N.; Boutin, C.; Crolla, A.; Kinsley, C.; Champagne, P. The role of plants in the removal of nutrients at a constructed wetland treating agricultural (dairy) wastewater, Ontario, Canada. Ecol. Eng. 2007, 29, 154–163. [Google Scholar] [CrossRef]
- Ong, S.A.; Uchiyama, K.; Inadama, D.; Ishida, Y.; Yamagiwa, K. Performance evaluation of laboratory scale up-flow constructed wetlands with different designs and emergent plants. Bioresour. Technol. 2010, 10, 7239–7244. [Google Scholar] [CrossRef] [PubMed]
- Shutes, R.B.E.; Revitt, D.M.; Scholes, L.N.L.; Forshaw, M.; Winter, B. An experimental constructed wetland system for the treatment of highway runoff in the UK. Water Sci. Technol. 2001, 44, 571–578. [Google Scholar] [PubMed]
- Luukkonen, T.; Věžníková, K.; Tolonen, E.T.; Runtti, H.; Yliniemi, J.; Hu, T.; Kemppainen, K.; Lassi, U. Removal of ammonium from municipal wastewater with powdered and granulated metakaolin geopolymer. Environ. Technol. 2018, 39, 414–423. [Google Scholar] [CrossRef] [PubMed]
- Lee, S.; Bade, R.; Jo, S.; Chitapornpan, S.; Chiemchaisri, C.; Polprasert, C.; Ahn, K. Media configuration and recirculation of upflow anaerobic floating filter for piggery wastewater treatment. J. Chem. Eng. 2007, 24, 980–988. [Google Scholar] [CrossRef]
- Vanotti, M.B.; Rashash, D.M.C.; Hunt, P.G. Solid-Liquid Separation of Flushed Swine Manure with PAM: Effect of Wastewater Strength. Am. Soc. Agric. Biol. Eng. 2002, 48, 1–8. [Google Scholar]
- Manyuchi, M.M.; Phiri, A. Application of the vermifiltration technology in sewage wastewater treatment. Asian J. Eng. Technol. 2014, 1, 108–113. [Google Scholar]
- Manyuchi, M.M.; Kadzungura, L.; Boka, S. Pilot studies for vermifiltration of 1000 m3/day of sewage wastewater. Asian J. Eng. Technol. 2014, 1, 13–19. [Google Scholar]
- Kharwade, A.M.; Khedikar, I.P. Laboratory scale studies on domestic grey water through vermifilter and non-vermifilter. J. Eng. Res. Stud. 2011, 2, 35–39. [Google Scholar]
- Kjellin, J.; Wörman, A.; Johansson, H.; Lindahl, A. Controlling factors for water retention time and flow patterns in Ekeby treatment wetland, Sweden. Adv. Water Res. 2007, 30, 838–850. [Google Scholar] [CrossRef]
- Lin, Y.; Jing, S.; Lee, D. The potential use of constructed wetlands in a recirculating aquaculture system for shrimp culture. Environ. Pollut. 2003, 123, 107–113. [Google Scholar] [CrossRef]
- Kadlec, R.; Knight, R. Treatment Wetlands; Lewis Publishers: Boca Raton, FL, USA, 1996. [Google Scholar]
- McBride, G.B.; Tanner, C.C. Modelling Biofilm Nitrogen Transformations in Constructed Wetland Mesocosms with Fluctuating Water Levels. Ecol. Eng. 2000, 14, 93–106. [Google Scholar] [CrossRef]
- Shelef, O.; Gross, A.; Rachmilevitch, S. The use of Bassia indica for salt phytoremediation in constructed wetlands. Water Res. 2012, 46, 3967–3976. [Google Scholar] [CrossRef] [PubMed]
- Spieles, D.J.; Mitsch, W.J. The Effects of Season and Hydrologic and Chemical Loading on Nitrate Retention in Constructed Wetlands: A Comparison of Low and high-nutrient Riverine Systems. Ecol. Eng. 2000, 14, 77–91. [Google Scholar] [CrossRef]
- Li, L.; Li, Y.; Biswas, D.K.; Nian, Y.; Jiang, G. Potential of Constructed Wetlands in Treating the Eutrophic Water: Evidence from Taihu Lake of China. Bioresour. Technol. 2008, 99, 1656–1663. [Google Scholar] [CrossRef] [PubMed]
- Kovacic, D.A.; Twait, R.M.; Wallace, M.P.; Bowling, J.M. Use of Created Wetlands to Improve Water Quality in the Midwest—Lake Bloomington Case Study. Ecol. Eng. 2006, 28, 258–270. [Google Scholar] [CrossRef]
- Tapia, G.F.; Gíacoman, V.G.; Herrera, S.J.; Quintal, F.C.; García, J.; Puigagut, J. Treatment of swine wastewater with subsurface-flow constructed wetlands in Yucatán, Mexico: Influence of plant species and contact time. Water SA 2009, 35, 335–342. [Google Scholar]
- Meers, E.; Rousseau, D.P.L.; Blomme, N.; Lesage, E.; Laing, G.D.; Tack, F.; Verloo, M. Tertiary treatment of the liquid fraction of pig manure with Phragmites australis. Water Air Soil Pollut. 2005, 160, 15–26. [Google Scholar] [CrossRef]
- Meers, E.; Tack, F.M.G.; Tolpe, I.; Michels, E. Application of a full-scale constructed wetland for tertiary treatment of piggery manure: Monitoring results. Water Air Soil Pollut. 2008, 193, 15–24. [Google Scholar] [CrossRef]
- Liao, X.; Luo, S. Treatment effect of constructed wetlands on organic matter in wastewater from pig farm. J. Appl. Ecol. 2002, 13, 113–117. [Google Scholar]
- Muñoz, M.A.; Rosales, R.M.; Gabarrón, M.; Faz, A.; Acosta, J.A. Effects of the Hydraulic Retention Time on Pig Slurry Purification by Constructed Wetlands and Stabilization Ponds. Water Air Soil Pollut. 2016, 227, 293. [Google Scholar] [CrossRef]
- Scholz, M. Piggery Wastewater Treatment with Integrated Constructed Wetlands. In Wetlands for Water Pollution Control; Elsevier: New York, NY, USA, 2016; pp. 419–432. [Google Scholar]
- Arias, S.; Ferney, M.; Gómez, G.; Salazar, J.; Hernández, M. Fitorremediación con humedales artificiales para el tratamiento de aguas residuales porcinas. Inform. Técn. 2010, 74, 15–23. [Google Scholar]
- Tejeda, A.; Torres-Bojorges, Á.X.; Zurita, F. Carbamazepine removal in three pilot-scale hybrid wetlands planted with ornamental species. Ecol. Eng. 2017, 98, 410–417. [Google Scholar] [CrossRef]
- Rodríguez Díaz, E.; Salcedo Pérez, E.; Rodríguez Macias, R.; González Eguiarte, D.; Mena Munguía, S. Reúso del tezontle: Efecto en sus características físicas y en la producción de tomate (Lycopersicon esculentum Mill). TERRA Latinoam. 2013, 31, 275–284. [Google Scholar]
- Ojodeagua Arredondo, J.; Castellanos Ramos, J.; Muñoz Ramos, J.; Alcántar González, G.; Tijerina Chávez, L.; Vargas Tapia, P.; Enríquez Reyes, S. Eficiencia de suelo y tezontle en sistemas de producción de tomate eninvernadero. Rev. Fitotec. Mex. 2008, 31, 367–374. [Google Scholar]
- Trejo-Téllez, L.; Ramírez-Martínez, M.; Gómez-Merino, F.; García-Albarado, J.; Baca-Castillo, G.; Tejeda-Sartorius, O. Evaluación física y química de tezontle y su uso en la producción de tulipán. Rev. Mex. Cienc. Agríc. 2013, 4, 863–876, (In Spanish and English). [Google Scholar]
- Tejeda, A.; Barrera, A.; Zurita, F. Adsorption Capacity of a Volcanic Rock—Used in Constructed Wetlands—For Carbamazepine Removal, and Its Modification with Biofilm Growth. Water 2017, 9, 721. [Google Scholar] [CrossRef]
- Ishida, C.K.; Kelly, J.J.; Gray, K.A. Effects of variable hydroperiods and water level fluctuations on denitrification capacity, nitrate removal, and benthic-microbial community structure in constructed wetlands. Ecol. Eng. 2006, 28, 363–373. [Google Scholar] [CrossRef]
- Marais, D.; Jenkins, D. The effects of MCRT and temperature on enhanced biological phosphorus removal. Water Sci. Technol. 1992, 26, 955–965. [Google Scholar]
- Li, F.; Lu, L.; Zheng, X.; Ngo, H.H.; Liang, S.; Guo, W.; Zhang, X. Enhanced nitrogen removal in constructed wetlands: Effects of dissolved oxygen and step-feeding. Bioresour. Technol. 2014, 169, 395–402. [Google Scholar] [CrossRef] [PubMed]
- Dubuc, A.; Waltham, N.; Malerba, M.; Sheaves, M. Extreme dissolved oxygen variability in urbanised tropical wetlands: The need for detailed monitoring to protect nursery ground values. Estuar. Coast. Shelf Sci. 2017, 198, 163–171. [Google Scholar] [CrossRef]
- Brooks, P.C. Investigation of Temperature Effects on Denitrifying Bacterial Populations in Biological Nutrient Removal (BNR) System. Master’s Thesis, Virginia Polytechnic Institute and State University, Blacksburg, VI, USA, 1996. [Google Scholar]
- Kadlec, R.H.; Reddy, K.R. Temperature effects in treatment wetlands. Water Environ. Res. 2001, 73, 543–557. [Google Scholar] [CrossRef] [PubMed]
- Akratos, C.S.; Tsihrintzis, V.A. Effect of temperature, HRT, vegetation and porous media on removal efficiency of pilot-scale horizontal subsurface flow constructed wetlands. Ecol. Eng. 2007, 29, 173–191. [Google Scholar] [CrossRef]
- Langergraber, G. Simulation of the treatment performance of outdoor subsurface flow constructed wetlands in temperate climates. Sci. Total Environ. 2007, 380, 210–219. [Google Scholar] [CrossRef] [PubMed]
- Zawaideh, L.L.; Zhang, T.C. The effects of pH and addition of an organic buffer (HEPES) on nitrate transformation in Feo water systems. Water Sci. Technol. 1998, 38, 107–115. [Google Scholar]
- Yan, L.; Yinguang, C.; Qi, Z. Effect of initial pH control on enhanced biological phosphorus removal from wastewater containing acetic and propionic acids. Chemosphere 2007, 66, 123–129. [Google Scholar]
- Jing, S.R.; Lin, Y.F. Seasonal effect on ammonia nitrogen removal by constructed wetlands treating polluted river water in southern Taiwan. Environ. Pollut. 2004, 127, 291–301. [Google Scholar] [CrossRef]
- Lin, Y.F.; Jing, S.R.; Lee, D.Y. Constructed Wetlands for Water Pollution Management of Aquaculture Farms Conducting Earthen Pond Culture. Water Environ. Res. 2010, 82, 759–768. [Google Scholar] [CrossRef] [PubMed]
- Knight, R.L.; Payne, V.W.E.; Borer, R.E.; Clarke, R.A.; Priese, J.H. Constructed wetlands for livestock wastewater management. Ecol. Eng. 2000, 15, 41–55. [Google Scholar] [CrossRef]
- Kaseva, M.E. Performance of a sub-surface flow constructed wetland in polishing pre-treated wastewater—A tropical case study. Water Res. 2004, 38, 681–687. [Google Scholar] [CrossRef] [PubMed]
- Sawyer, C.N.; McCarty, P.L.; Parkin, G.F. Chemistry for Environmental Engineering; McGraw-Hill: New York, NY, USA, 1994. [Google Scholar]
- Caselles-Osorio, A.; García, J. Performance of experimental horizontal subsurface flow constructed wetlands fed with dissolved or particulate organic matter. Water Res. 2006, 40, 3603–3611. [Google Scholar] [CrossRef] [PubMed]
- Smith, M.P.; Kalin, M. Floating Wetland Vegetation Covers for Suspended Solids Removal. In Treatment Wetlands for Water Quality Improvement, Quebec 2000 Conference Proceedings; CH2M Hill Canada Ltd.: Ottawa, ON, Canada, 2000. [Google Scholar]
- Headley, T.R.; Tanner, C.C. Constructed Wetlands with Floating Emergent Macrophytes: An Innovative Stormwater Treatment Technology. Crit. Rev. Environ. Sci. Technol. 2011, 42, 2261–2310. [Google Scholar] [CrossRef]
- Vázquez, M.A.; De La Varga, D.; Plana, R.; Soto, M. Vertical flow constructed wetland treating high strength wastewater from swine slurry composting. Ecol. Eng. 2012, 50, 37–43. [Google Scholar] [CrossRef]
- Drizo, A.; Frost, C.A.; Smith, K.A.; Grace, J. Phosphate and ammonium removal by constructed wetlands with horizontal subsurface flow, using shale as a substrate. Water Sci. Technol. 1997, 35, 95–102. [Google Scholar]
- Cameron, K.; Madramootoo, C.; Crolla, A.; Kinsley, C. Pollutant removal from municipal sewage lagoon effluents with a free-surface wetland. Water Res. 2003, 37, 2803–2812. [Google Scholar] [CrossRef]
- Babourina, O.; Rengel, Z. Nitrogen Removal from Eutrophicated Water by Aquatic Plants. In Eutrophication: Causes, Consequences and Control; Ansari, A.A., Gill, S.S., Lanza, G.R., Rast, W., Eds.; Springer: Berlin, Germany, 2011; Chapter 18; pp. 355–372. [Google Scholar]
- He, Y.; Yang, S.; Xu, J.; Wang, Y.; Peng, S. Ammonia Volatilization Losses from Paddy Fields under Controlled Irrigation with Different Drainage Treatments. Sci. World J. 2014, 7. [Google Scholar] [CrossRef] [PubMed]
- Caballero, A.; Faz, A.; Lobera, J.B. Bioremediation of pig farm wastewater using constructed wetlands. In Land Degradation and Rehabilitation: Dryland Ecosystems; Faz-Cano, A., Mermut, A.R., Arocena, J.M., Ortiz-Silla, R., Eds.; Catena Verlag: Reiskirchen, DE, USA, 2009; pp. 391–398. [Google Scholar]
- Prochaska, C.A.; Zouboulis, A.I. Removal of phosphates by pilot vertical-flow constructed wetlands using a mixture of sand and dolomite as substrate. Ecol. Eng. 2006, 26, 293–303. [Google Scholar] [CrossRef]
- Van de Moortel, A.M.K.; Erik Meers, E.; De Pauw, N.; Tack, F.M.G. Effects of Vegetation, Season and Temperature on the Removal of Pollutants in Experimental Floating Treatment Wetlands. Water Air Soil Pollut. 2010, 212, 281–297. [Google Scholar] [CrossRef]
- Merino-Solis, M.L.; Villegas, E.; De Anda, J.; López-López, A. The Effect of the Hydraulic Retention Time on the Performance of an Ecological Wastewater Treatment System: An Anaerobic Filter with a Constructed Wetland. Water 2015, 7, 1149–1163. [Google Scholar] [CrossRef]
- George, T.; Metcalf, E. Wastewater Engineering: Treatment, Disposal and Reuse, 3rd ed.; Tchobanoglous, G., Burton, F.L., Eds.; McGraw-Hill, Inc.: New York, NY, USA, 1991. [Google Scholar]








| 400 mg·L−1 | |||||||||||||||
| COD | TKN | NH3–N | TP | TDS | |||||||||||
| 5-day HTR | Ci | Co | RE (%) | Ci | Co | RE (%) | Ci | Co | RE (%) | Ci | Co | RE (%) | Ci | Co | RE (%) |
| mean | 454 | 97.2 | 78.6 | 44.3 | 19.1 | 56.5 | 32.2 | 9.40 | 70.7 | 12.7 | 4.10 | 67.4 | 452 | 288 | 37.1 |
| sdv | 15.0 | 38.0 | 8.30 | 5.00 | 2.50 | 6.10 | 2.20 | 2.90 | 9.60 | 1.50 | 0.80 | 7.04 | 100 | 94.3 | 9.31 |
| min | 430 | 53.0 | 64.0 | 35.0 | 16.0 | 46.7 | 29.5 | 5.50 | 54.5 | 11.7 | 3.30 | 56.6 | 315 | 195 | 27.1 |
| max | 480 | 165 | 88.5 | 51.0 | 24.0 | 63.6 | 35.0 | 14.2 | 82.5 | 16.4 | 5.30 | 79.6 | 610 | 426 | 54.1 |
| 10-day HRT | Ci | Co | RE (%) | Ci | Co | RE (%) | Ci | Co | RE (%) | Ci | Co | RE (%) | Ci | Co | RE (%) |
| mean | 413 | 56.2 | 86.3 | 30.6 | 6.3 | 79.8 | 15.5 | 1.50 | 90.5 | 10.2 | 2.20 | 77.9 | 357 | 126 | 64.5 |
| sdv | 9.90 | 17.6 | 4.30 | 5.70 | 4.20 | 11.2 | 1.20 | 0.20 | 1.40 | 0.70 | 1.30 | 12.9 | 23.5 | 25.0 | 5.81 |
| min | 394 | 40.2 | 79.8 | 22.8 | 1.00 | 64.8 | 13.1 | 1.10 | 88.5 | 9.60 | 0.50 | 62.2 | 320 | 98.0 | 54.1 |
| max | 425 | 84.0 | 90.1 | 39.2 | 12.8 | 97.1 | 17.1 | 1.70 | 92.8 | 11.5 | 4.21 | 95.7 | 401 | 170 | 72.4 |
| 800 mg·L−1 | |||||||||||||||
| COD | TKN | NH3–N | TP | TDS | |||||||||||
| 5-day HRT | Ci | Co | RE (%) | Ci | Co | RE (%) | Ci | Co | RE (%) | Ci | Co | RE (%) | Ci | Co | RE (%) |
| mean | 810 | 185 | 76.5 | 94.4 | 45.0 | 52.6 | 66.3 | 30.4 | 54.2 | 20.5 | 6.4 | 68.0 | 591 | 447 | 24.0 |
| sdv | 117 | 12.6 | 4.80 | 15.3 | 14.7 | 11.5 | 10.6 | 12.5 | 15.9 | 4.60 | 3.20 | 16.4 | 76.2 | 61.9 | 7.71 |
| min | 69.0 | 28.0 | 37.3 | 69.0 | 28.0 | 37.3 | 48.3 | 13.5 | 34.6 | 13.6 | 1.20 | 45.1 | 490 | 390 | 16.3 |
| max | 114 | 69.0 | 69.2 | 114 | 69.0 | 69.2 | 77.4 | 48.6 | 79.7 | 26.0 | 10.6 | 94.0 | 710 | 580 | 40.0 |
| 10-day HRT | Ci | Co | RE (%) | Ci | Co | RE (%) | Ci | Co | RE (%) | Ci | Co | RE (%) | Ci | Co | RE (%) |
| mean | 740 | 177 | 75.7 | 71.6 | 19.7 | 72.2 | 35.9 | 6.51 | 82.6 | 17.2 | 1.51 | 91.1 | 49.0 | 329 | 33.3 |
| sdv | 89.4 | 79.0 | 11.3 | 10.0 | 9.20 | 12.4 | 5.50 | 4.41 | 11.4 | 2.10 | 1.00 | 6.60 | 34.6 | 66.7 | 14.4 |
| min | 607 | 87.0 | 60.6 | 56.0 | 1.00 | 60.7 | 26.0 | 1.70 | 63.5 | 14.5 | 0.40 | 76.8 | 450 | 226 | 15.2 |
| max | 869 | 299 | 88.7 | 89.0 | 29.0 | 98.7 | 42.7 | 13.4 | 93.5 | 19.9 | 3.52 | 97.5 | 560 | 410 | 59.6 |
| 1200 mg·L−1 | |||||||||||||||
| COD | TKN | NH3–N | TP | TDS | |||||||||||
| 5-day HRT | Ci | Co | RE (%) | Ci | Co | RE (%) | Ci | Co | RE (%) | Ci | Co | RE (%) | Ci | Co | RE (%) |
| mean | 1247 | 296 | 76.0 | 131 | 88.0 | 32.5 | 97.0 | 67.9 | 29.1 | 32.6 | 22.8 | 30.1 | 918 | 781 | 14.9 |
| sdv | 57.3 | 205 | 17.4 | 13.5 | 15.5 | 9.60 | 11.2 | 7.70 | 10.9 | 2.10 | 4.60 | 14.2 | 50.0 | 62.0 | 5.81 |
| min | 1153 | 68.0 | 50.7 | 116 | 54.0 | 23.6 | 82.3 | 52.6 | 12.0 | 30.0 | 14.3 | 12.7 | 830 | 650 | 9.60 |
| max | 1339 | 578 | 94.5 | 154 | 102 | 54.2 | 111 | 78.0 | 48.3 | 35.8 | 28.0 | 53.1 | 1010 | 860 | 28.6 |
| 10-day HRT | Ci | Co | RE (%) | Ci | Co | RE (%) | Ci | Co | RE (%) | Ci | Co | RE (%) | Ci | Co | RE (%) |
| mean | 1089 | 537 | 76.6 | 112 | 69.3 | 36.7 | 84.4 | 49.9 | 39.8 | 27.7 | 14.7 | 44.7 | 786 | 657 | 15.9 |
| sdv | 147 | 154 | 11.7 | 18.2 | 9.50 | 14.7 | 9.70 | 9.50 | 15.4 | 4.40 | 2.30 | 17.1 | 81.4 | 48.3 | 7.21 |
| min | 814 | 65.0 | 58.9 | 78.0 | 52.0 | 14.1 | 67.2 | 33.2 | 10.4 | 19.4 | 10.8 | 12.4 | 640 | 560 | 5.31 |
| max | 1232 | 500 | 92.0 | 130 | 83.0 | 53.6 | 101 | 60.2 | 62.2 | 31.9 | 17.9 | 65.0 | 910 | 710 | 27.5 |
| 400 mg·L−1 | ||||||||
| Temperature (°C) | pH | DO mg·L−1 | CE µS·cm−1 | |||||
| 5-day HTR | in | out | in | out | in | out | in | out |
| mean | 22.0 | 19.9 | 8.2 | 7.20 | 0.68 | 2.14 | 629 | 502 |
| sdv | 0.60 | 0.60 | 0.10 | 0.10 | 0.12 | 0.31 | 72.3 | 50.0 |
| min | 21.1 | 18.9 | 8.10 | 7.10 | 0.50 | 1.80 | 540 | 430 |
| max | 22.8 | 21.0 | 8.3 | 7.30 | 0.80 | 2.60 | 712 | 600 |
| 10-day HRT | in | out | in | out | in | out | in | out |
| mean | 22.1 | 21.4 | 8.14 | 7.16 | 0.94 | 2.51 | 637 | 503 |
| sdv | 1.90 | 2.00 | 0.09 | 0.07 | 0.28 | 0.98 | 78.0 | 50.0 |
| min | 20.0 | 19.4 | 8.00 | 7.10 | 0.40 | 2.00 | 540 | 430 |
| max | 25.9 | 26.0 | 8.30 | 7.30 | 1.40 | 3.10 | 720 | 600 |
| 800 mg·L−1 | ||||||||
| Temperature (°C) | pH | DO mg·L−1 | CE µS·cm−1 | |||||
| 5-day HTR | in | out | in | out | in | out | in | out |
| mean | 22.0 | 19.9 | 8.20 | 7.30 | 0.71 | 1.20 | 1170 | 937 |
| sdv | 0.60 | 0.60 | 0.10 | 0.10 | 0.10 | 0.50 | 155 | 128 |
| min | 21.1 | 18.9 | 8.10 | 7.10 | 0.50 | 0.60 | 970 | 780 |
| max | 22.8 | 21.0 | 8.30 | 7.50 | 0.80 | 2.00 | 1410 | 1170 |
| 10-day HRT | in | out | in | out | in | out | in | out |
| mean | 22.1 | 21.4 | 8.14 | 7.21 | 0.90 | 2.10 | 1008 | 655 |
| sdv | 1.90 | 2.00 | 0.07 | 0.10 | 0.25 | 0.72 | 89.0 | 160 |
| min | 20.0 | 19.4 | 8.00 | 7.10 | 0.70 | 1.40 | 900 | 350 |
| max | 25.9 | 26.0 | 8.20 | 7.40 | 1.40 | 3.50 | 1140 | 830 |
| 1200 mg·L−1 | ||||||||
| Temperature (°C) | pH | DO mg·L−1 | CE µS·cm−1 | |||||
| 5-day HTR | in | out | in | out | in | out | in | out |
| mean | 19.4 | 16.0 | 8.50 | 7.70 | 0.58 | 0.44 | 1836 | 1718 |
| sdv | 1.91 | 1.92 | 0.11 | 0.20 | 0.20 | 0.32 | 92.1 | 185 |
| min | 16.7 | 13.8 | 8.40 | 7.50 | 0.30 | 0.10 | 1660 | 1300 |
| max | 21.7 | 18.5 | 8.60 | 8.00 | 0.90 | 0.90 | 1990 | 1890 |
| 10-day HRT | in | out | in | out | in | out | in | out |
| mean | 20.7 | 17.7 | 8.25 | 7.28 | 0.89 | 0.98 | 1573 | 1395 |
| sdv | 1.31 | 1.80 | 0.05 | 0.13 | 0.28 | 0.24 | 181 | 90.1 |
| min | 19.1 | 15.4 | 8.20 | 7.10 | 0.50 | 0.60 | 1290 | 1270 |
| max | 22.8 | 20.4 | 8.30 | 7.50 | 1.40 | 1.40 | 1910 | 1520 |
© 2018 by the authors. Licensee MDPI, Basel, Switzerland. This article is an open access article distributed under the terms and conditions of the Creative Commons Attribution (CC BY) license (http://creativecommons.org/licenses/by/4.0/).
Share and Cite
De La Mora-Orozco, C.; González-Acuña, I.J.; Saucedo-Terán, R.A.; Flores-López, H.E.; Rubio-Arias, H.O.; Ochoa-Rivero, J.M. Removing Organic Matter and Nutrients from Pig Farm Wastewater with a Constructed Wetland System. Int. J. Environ. Res. Public Health 2018, 15, 1031. https://doi.org/10.3390/ijerph15051031
De La Mora-Orozco C, González-Acuña IJ, Saucedo-Terán RA, Flores-López HE, Rubio-Arias HO, Ochoa-Rivero JM. Removing Organic Matter and Nutrients from Pig Farm Wastewater with a Constructed Wetland System. International Journal of Environmental Research and Public Health. 2018; 15(5):1031. https://doi.org/10.3390/ijerph15051031
Chicago/Turabian StyleDe La Mora-Orozco, Celia, Irma Julieta González-Acuña, Ruben Alfonso Saucedo-Terán, Hugo Ernesto Flores-López, Hector Osbaldo Rubio-Arias, and Jesús Manuel Ochoa-Rivero. 2018. "Removing Organic Matter and Nutrients from Pig Farm Wastewater with a Constructed Wetland System" International Journal of Environmental Research and Public Health 15, no. 5: 1031. https://doi.org/10.3390/ijerph15051031
APA StyleDe La Mora-Orozco, C., González-Acuña, I. J., Saucedo-Terán, R. A., Flores-López, H. E., Rubio-Arias, H. O., & Ochoa-Rivero, J. M. (2018). Removing Organic Matter and Nutrients from Pig Farm Wastewater with a Constructed Wetland System. International Journal of Environmental Research and Public Health, 15(5), 1031. https://doi.org/10.3390/ijerph15051031

