Modeling Pediatric Body Mass Index and Neighborhood Environment at Different Spatial Scales
Abstract
:1. Introduction
2. Materials and Methods
2.1. Study Data
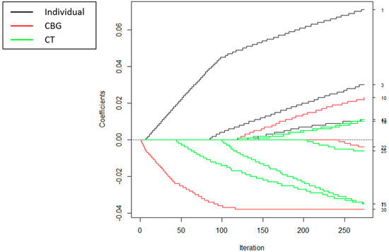
2.2. Statistical Analysis
3. Results
3.1. Spatial Scale Main Effects Models
3.2. Random Effects
3.3. Interactions
4. Discussion
5. Conclusions
Supplementary Materials
Acknowledgments
Author Contributions
Conflicts of Interest
Appendix A
Appendix A.1. R Code for Data Processing
Appendix A.2. R Code for Spatial Scale Algorithms
References
- Diez Roux, A.V. Investigating neighborhood and area effects on health. Am. J. Public Health 2011, 91, 1783–1789. [Google Scholar] [CrossRef]
- Kawachi, I.; Berkman, L. (Eds.) Introduction. In Neighborhoods and Health; Oxford University Press: New York, NY, USA, 2003; pp. 1–19. [Google Scholar]
- Flowerdew, R.; Manley, D.J.; Sabel, C.E. Neighborhood effects on health: Does it matter where you draw the boundaries? Soc. Sci. Med. 2008, 66, 1241–1255. [Google Scholar] [CrossRef] [PubMed]
- Krieger, N.; Chen, J.T.; Waterman, P.D.; Soobader, M.J.; Subramanian, S.V.; Carson, R. Geocoding and monitoring of US socioeconomic inequalities in mortality and cancer incidence: Does the choice of area-based measure and geographic level matter? The Public Health Disparities Geocoding Project. Am. J. Epidemiol. 2002, 156, 471–482. [Google Scholar] [CrossRef] [PubMed]
- Krieger, N.; Chen, J.T.; Waterman, P.D.; Soobader, M.J.; Subramanian, S.V.; Carson, R. Choosing area based socioeconomic measures to monitor social inequalities in low birth weight and childhood lead poisoning: The Public Health Disparities Geocoding Project (US). J. Epidemiol. Community Health 2003, 57, 186–199. [Google Scholar] [CrossRef] [PubMed]
- Root, E.D. Moving neighborhoods and health research forward: Using geographic methods to examine the role of spatial scale in neighborhood effects on health. Ann. Assoc. Am. Geogr. 2012, 102, 986–995. [Google Scholar] [CrossRef] [PubMed]
- Root, E.D.; Meyer, R.E.; Emch, M. Socioeconomic context and gastroschisis: Exploring associations at various geographic scales. Soc. Sci. Med. 2011, 72, 625–633. [Google Scholar] [CrossRef] [PubMed]
- Davison, K.K.; Birch, L.L. Childhood overweight: A contextual model and recommendations for future research. Obes. Rev. 2001, 2, 159–171. [Google Scholar] [CrossRef] [PubMed]
- Galvez, M.P.; Pearl, M.; Yen, I.H. Childhood obesity and the built environment: A review of the literature from 2008–2009. Curr. Opin. Pediatr. 2010, 22, 202–207. [Google Scholar] [CrossRef] [PubMed]
- Rahman, T.; Cushing, R.A.; Jackson, R.J. Contributions of built environment to childhood obesity. Mt. Sinai J. Med. 2011, 78, 49–57. [Google Scholar] [CrossRef] [PubMed]
- Toprani, A.; Hadler, J.L. Selecting and Applying a Standard Area-Based Socioeconomic Status Measure for Public Health Data: Analysis for New York City; Epi Research Report 2013; New York City Department of Health and Mental Hygiene: New York, NY, USA, 2013; pp. 1–11. [Google Scholar]
- Crowder, K.; South, S.J. Spatial and temporal dimensions of neighborhood effects on high school graduation. Soc. Sci. Res. 2011, 40, 87–106. [Google Scholar] [CrossRef] [PubMed]
- Rupert, M.G. Probability of Detecting Atrazine/Desethyl-Atrazine and Elevated Concentrations of Nitrate in Ground Water in Colorado; USGS Water-Resources Investigations Report 03-4269; USGS: Reston, VA, USA, 2003.
- Grant, L.; Gennings, C.; Wheeler, D.C. Selecting spatial scale of covariates in regression models of environmental exposures. Cancer Inform. 2015, 14, 81–96. [Google Scholar] [CrossRef] [PubMed]
- U.S. Census Bureau. Metropolitan and Micropolitan Statistical Areas and Components, December 2009, with Codes, 2010. Available online: https://www.census.gov/population/metro/files/lists/2009/List1.txt (accessed on 3 March 2015).
- Centers for Disease Control and Prevention. Defining Childhood Obesity, 2015. Available online: http://www.cdc.gov/obesity/childhood/defining.html (accessed on 3 March 2015).
- Gubbels, J.S.; Kremers, S.P.J.; Stafleu, A.; Dagnelie, P.C.; de Vries, N.K.; van Buuren, S.; Thijs, C. Child-care use and the association with body mass index and overweight in children from 7 months to 2 years of age. Int. J. Obes. 2010, 34, 1480–1486. [Google Scholar] [CrossRef] [PubMed]
- Burnham, K.; Anderson, D. Model Selection and Multimodel Inference; Springer: New York, NY, USA, 2002. [Google Scholar]
- R Core Team. R: A Language and Environment for Statistical Computing; R Foundation for Statistical Computing: Vienna, Austria, 2014; Available online: http://www.R-project.org/ (accessed on 3 March 2015).
- Grant, L.; Wheeler, D.C. Spselect: Selecting Spatial Scale of Covariates in Regression Models. R Package Version 0.01. 2016. Available online: https://cran.r-project.org/web/packages/spselect/index.html (accessed on 1 August 2016).
- Bates, D.; Maechler, M.; Bolker, B.; Walker, S. Fitting linear mixed-effects models using lme4. J. Stat. Softw. 2015, 67, 1–48. [Google Scholar] [CrossRef]
- Kuznetsova, A.; Brockhoff, P.B.; Christensen, R.H.B. lmerTest: Tests in Linear Mixed Effects Models: R Package Version 2.0-30, 2016. Available online: http://CRAN.R-project.org/package=lmerTest (accessed on 1 March 2016).
- Gelman, A. Scaling regression inputs by dividing by two standard deviations. Stat. Med. 2008, 27, 2865–2873. [Google Scholar] [CrossRef] [PubMed]
- Davis, A.M.; Boles, R.E.; James, R.L.; Sullivan, D.K.; Donnelly, J.E.; Swirczynski, D.L.; Goetz, J. Health behaviors and weight status among urban and rural children. Rural Remote Health 2008, 8, 810. [Google Scholar] [PubMed]
- Liu, J.; Bennett, K.J.; Harun, N.; Probst, J.C. Urban-rural differences in overweight status and physical inactivity among US children aged 10–17 years. J. Rural Health 2008, 24, 408–415. [Google Scholar] [CrossRef] [PubMed]
- Rundle, A.; Field, S.; Park, Y.; Freeman, L.; Weiss, C.; Neckerman, K. Personal and neighborhood socioeconomic status and indices of neighborhood walk-ability predict body mass index in New York City. Soc. Sci. Med. 2008, 67, 1951–1958. [Google Scholar] [CrossRef] [PubMed]
- Robert, S.A.; Reither, E.N. A multilevel analysis of race, community disadvantage, and body mass index among adults in the US. Soc. Sci. Med. 2004, 59, 2421–2434. [Google Scholar] [CrossRef] [PubMed]
- King, T.; Kavanagh, A.M.; Jolley, D.; Turrell, G.; Crawford, D. Weight and place: A multilevel cross-sectional survey of area-level social disadvantage and overweight/obesity in Australia. Int. J. Obes. 2006, 30, 281–287. [Google Scholar] [CrossRef] [PubMed]
- Sobal, J.; Stunkard, A.J. Socioeconomic status and obesity: A review of the literature. Psychol. Bull. 1989, 105, 260–275. [Google Scholar] [CrossRef] [PubMed]
- Iceland, J.; Steinmetz, E. The Effects of Using Census Block Groups Instead of Census Tracts When Examining Residential Housing Patterns. U.S. Census Bureau Working Paper; 2003. Available online: https://www.census.gov/housing/patterns/publications/unit_of_analysis.pdf (accessed on 3 March 2015).
- Efron, B.; Hastie, T.; Johnstone, I.; Tibshirani, R. Least angle regression. Ann. Stat. 2004, 32, 407–451. [Google Scholar]
- Friedman, J.; Hastie, T.; Tibshirani, R. Regularization paths for generalized linear models via coordinate descent. J. Stat. Softw. 2010, 33, 1–22. [Google Scholar] [CrossRef] [PubMed]
- Hastie, T.; Qian, J. Glmnet Vignette. Technical Report, Stanford. 2015. Available online: https://web.stanford.edu/~hastie/Papers/Glmnet_Vignette.pdf (accessed on 3 March 2015).




| Variable Number | Name | Description |
|---|---|---|
| 1 | VisitAge | Age at visit in years |
| 2 | Male | Indicator variable for male |
| 3 | Black | Indicator variable for black |
| 4 | MCVdist | Distance to VCU Medical Center (miles) |
| 5–7 | POPDENS | Population density (people/square mile) in 2010 CBK/CBG/CT |
| 8–9 | PBLACK | Percent of population that is black in CBG/CT |
| 10–11 | PHWHITE | Percent of population that is Hispanic white in CBG/CT |
| 12–13 | PHBLACK | Percent of population that is Hispanic black in CBG/CT |
| 14–15 | MEDHINC | Median household income in CBG/CT |
| 16–17 | PRENTER | Percent of households that are rented in CBG/CT |
| 18–19 | PVACANT | Percent of households that are vacant in CBG/CT |
| 20–21 | CRMCYTOTC | Total crime index in CBG/CT |
| 22–23 | CRMCYPERC | Crimes against persons index in CBG/CT |
| 24–25 | CRMCYPROC | Property crime index in CBG/CT |
| 26–27 | PARKDENS | Park density in CBG/CT |
| 28–29 | RESTDENS | Restaurant density in CBG/CT |
| 30–31 | EX_EQ | Expenditures per capita spent on sports/exercise equipment in CBG/CT |
| Individual-Level | Area-Level | Number Selected | |||
|---|---|---|---|---|---|
| CBK | CBG | CT | |||
| SS Stepwise | 3 | 0 | 2 | 7 | 12 |
| SS Stagewise | 3 | 0 | 3 | 5 | 11 |
| SS LARS/Lasso | 3 | 0 | 3 | 7 | 13 |
| No. of available variables | 4 | 13 | 17 | ||
| Explanatory Variable | SS Stepwise | SS Stagewise | SS LARS/Lasso |
|---|---|---|---|
| Visit Age | 0.080 (*) | 0.071 (*) | 0.077 (*) |
| Black | 0.043 (*) | 0.030 (*) | 0.039 (*) |
| Distance to Medical Center | 0.013 (+) | 0.011 (*) | 0.013 (+) |
| Population Density_CT | −0.033 (*) | −0.035 (*) | −0.034 (*) |
| % Hispanic White_CBG | 0.023 (*) | 0.029 (*) | |
| % Hispanic White_CT | 0.034 (*) | ||
| % Hispanic Black_CT | 0.022 (*) | 0.011 (*) | 0.020 (*) |
| Median Household Income_CT | −0.058 (*) | −0.035 (*) | −0.052 (*) |
| % Renter_CT | −0.035 (*) | −0.023 (*) | |
| % Vacant_CT | 0.016 (*) | 0.010 (*) | 0.013 (+) |
| Personal Crime Index_CBG | −0.021 (*) | −0.004 | −0.010 |
| Property Crime Index_CT | −0.006 | −0.010 | |
| Park Density_CT | 0.011 (+) | 0.008 (+) | |
| Exercise Equipment_CBG | −0.040 (*) | −0.038 (*) | −0.035 (*) |
| SS Stepwise | SS Stagewise | SS LARS/Lasso | |
|---|---|---|---|
| Model 1: CBG | 77,666 | 77,673 | 77,668 |
| Model 2: CT | 77,658 | 77,668 | 77,657 |
| Model 3: CBG and CT | 77,648 | 77,657 | 77,647 |
| Explanatory Variable | CBG | CT | SS |
|---|---|---|---|
| Visit Age | 0.080 | 0.080 | 0.080 |
| Black | 0.045 | 0.044 | 0.043 |
| Distance to Medical Center | 0.017 | 0.014 | 0.013 |
| Population Density | −0.033 | −0.033 | −0.033 t |
| % Hispanic White | 0.035 | 0.035 | 0.034 t |
| % Hispanic Black | 0.020 | 0.021 | 0.022 t |
| Median Household Income | −0.043 | −0.063 | −0.058 t |
| % Renter | −0.028 | −0.035 | −0.035 t |
| % Vacant | 0.017 | 0.015 | 0.016 t |
| Personal Crime Index | −0.020 | −0.017 | −0.021 b |
| Park Density | 0.007 | 0.011 | 0.011 t |
| Exercise Equipment | −0.047 | −0.032 | −0.040 b |
| Variable | CBG | CT | SS |
|---|---|---|---|
| Visit Age | 0.081 | 0.081 | 0.081 |
| Black | 0.044 | 0.042 | 0.042 |
| Distance to Medical Center | 0.017 | 0.014 | 0.014 |
| Population Density | −0.043 | −0.048 | −0.047 t |
| % Hispanic White | 0.035 | 0.032 | 0.031 b |
| % Hispanic Black | 0.014 | 0.016 | 0.019 t |
| Median Household Income | −0.028 | −0.046 | −0.044 t |
| % Vacant | 0.018 | 0.017 | 0.017 t |
| Personal Crime Index | −0.019 | −0.010 | −0.014 b |
| Property Crime Index | −0.001 | −0.011 | −0.009 t |
| Exercise Equipment | −0.050 | −0.032 | −0.036 b |
| Explanatory Variable | CBG | CT | SS |
|---|---|---|---|
| Visit Age | 0.080 | 0.080 | 0.081 |
| Black | 0.045 | 0.044 | 0.043 |
| Distance to Medical Center | 0.017 | 0.014 | 0.014 |
| Population Density | −0.033 | −0.033 | −0.033 t |
| % Hispanic White | 0.035 | 0.034 | 0.033 b |
| % Hispanic Black | 0.020 | 0.022 | 0.025 t |
| Median Household Income | −0.044 | −0.065 | −0.061 t |
| % Renter | −0.028 | −0.037 | −0.035 t |
| % Vacant | 0.017 | 0.014 | 0.015 t |
| Personal Crime Index | −0.018 | −0.007 | −0.013 b |
| Property Crime Index | −0.002 | −0.014 | −0.012 t |
| Park Density | 0.007 | 0.011 | 0.012 t |
| Exercise Equipment | −0.047 | −0.029 | −0.034 b |
| Explanatory Variable | No RE | RE at CBG | RE at CT | RE at CBG and CT |
|---|---|---|---|---|
| Visit Age | 0.080 (*) | 0.081 (*) | 0.081 (*) | 0.081 (*) |
| Black | 0.043 (*) | 0.042 (*) | 0.042 (*) | 0.042 (*) |
| Distance to Medical Center | 0.013 (+) | 0.014 (+) | 0.013 (+) | 0.014 (+) |
| Population Density_CT | −0.033 (*) | −0.028 (*) | −0.028 (*) | −0.027 (*) |
| % Hispanic White_CT | 0.034 (*) | 0.032 (*) | 0.032 (*) | 0.032 (*) |
| % Hispanic Black_CT | 0.022 (*) | 0.016 (+) | 0.019 (*) | 0.017 (+) |
| Median Household Income_CT | −0.058 (*) | −0.052 (*) | −0.053 (*) | −0.052 (*) |
| % Renter_CT | −0.035 (*) | −0.031 (*) | −0.030 (*) | −0.030 (*) |
| % Vacant_CT | 0.016 (*) | 0.016 (+) | 0.018 (*) | 0.017 (*) |
| Personal Crime Index_CBG | −0.021 (*) | −0.021 (*) | −0.024 (*) | −0.022 (*) |
| Park Density_CT | 0.011 (+) | 0.010 | 0.010 | 0.009 |
| Exercise Equipment_CBG | −0.040 (*) | −0.046 (*) | −0.043 (*) | −0.046 (*) |
| Explanatory Variable | No RE | RE at CBG | RE at CT | RE at CBG and CT |
|---|---|---|---|---|
| Visit Age | 0.071 (*) | 0.081 (*) | 0.081 (*) | 0.081 (*) |
| Black | 0.030 (*) | 0.041 (*) | 0.041 (*) | 0.041 (*) |
| Distance to Medical Center | 0.011 (*) | 0.015 (+) | 0.014 (+) | 0.014 (+) |
| Population Density_CT | −0.035 (*) | −0.039 (*) | −0.038 (*) | −0.037 (*) |
| % Hispanic White_CBG | 0.023 (*) | 0.029 (*) | 0.030 (*) | 0.029 (*) |
| % Hispanic Black_CT | 0.011 (*) | 0.013 | 0.016 (+) | 0.013 |
| Median Household Income_CT | −0.035 (*) | −0.040 (*) | −0.042 (*) | −0.040 (*) |
| % Vacant_CT | 0.010 (*) | 0.017 (*) | 0.019 (*) | 0.018 (*) |
| Personal Crime Index_CBG | −0.004 | −0.015 | −0.018 | −0.016 |
| Property Crime Index_CT | −0.006 | −0.010 | −0.009 | −0.009 |
| Exercise Equipment_CBG | −0.038 (*) | −0.044 (*) | −0.040 (*) | −0.044 (*) |
| Explanatory Variable | No RE | RE at CBG | RE at CT | RE at CBG and CT |
|---|---|---|---|---|
| Visit Age | 0.077 (*) | 0.081 (*) | 0.081 (*) | 0.081 (*) |
| Black | 0.039 (*) | 0.042 (*) | 0.042 (*) | 0.042 (*) |
| Distance to Medical Center | 0.013 (+) | 0.014 (+) | 0.014 (+) | 0.014 (+) |
| Population Density_CT | −0.034 (*) | −0.028 (*) | −0.028 (*) | −0.027 (*) |
| % Hispanic White_CBG | 0.029 (*) | 0.031 (*) | 0.031 (*) | 0.031 (*) |
| % Hispanic Black_CT | 0.020 (*) | 0.020 (*) | 0.022 (*) | 0.020 (*) |
| Median Household Income_CT | −0.052 (*) | −0.055 (*) | −0.056 (*) | −0.055 (*) |
| % Renter_CT | −0.023 (*) | −0.031 (*) | −0.030 (*) | −0.030 (*) |
| % Vacant_CT | 0.013 (+) | 0.015 (+) | 0.016 (*) | 0.015 (+) |
| Personal Crime Index_CBG | −0.010 | −0.013 | −0.016 | −0.014 |
| Property Crime Index_CT | −0.010 | −0.012 | −0.011 | −0.012 |
| Park Density_CT | 0.008 (+) | 0.010 | 0.010 | 0.010 |
| Exercise Equipment_CBG | −0.035 (*) | −0.041 (*) | −0.038 (*) | −0.041 (*) |
| SS Stepwise | SS Stagewise | SS LARS/Lasso | |
|---|---|---|---|
| No RE | 77,648 | 77,657 | 77,647 |
| RE at CBG | 77,636 | 77,640 | 77,635 |
| RE at CT | 77,640 | 77,643 | 77,639 |
| RE at CBG and CT | 77,637 | 77,640 | 77,638 |
| Explanatory Variable | SS Stepwise | SS Stagewise | SS LARS/Lasso |
|---|---|---|---|
| Intercept | 0.584 (*) | 0.587 (*) | 0.584 (*) |
| Visit Age | 0.161 (*) | 0.163 (*) | 0.161 (*) |
| Male | −0.006 | −0.006 | −0.006 |
| Black | 0.084 (*) | 0.085 (*) | 0.085 (*) |
| Distance to Medical Center | 0.023 | 0.023 | 0.023 |
| Population Density_CT | −0.038 (*) | −0.052 (*) | −0.038 (*) |
| % Hispanic White_CBG | 0.038 (*) | 0.041 (*) | |
| % Hispanic White_CT | 0.040 (*) | ||
| % Hispanic Black_CT | 0.039 (*) | 0.035 (*) | 0.042 (*) |
| Median Household Income_CT | −0.070 (*) | −0.053 (+) | −0.075 (*) |
| % Renter_CT | −0.034 | −0.035 | |
| % Vacant_CT | 0.043 (*) | 0.043 (*) | 0.041 (*) |
| Personal Crime Index_CBG | −0.039 (*) | −0.017 | −0.024 |
| Property Crime Index_CT | −0.021 | −0.021 | |
| Park Density_CT | 0.010 | 0.011 | |
| Exercise Equipment_CBG | −0.078 (*) | −0.071 (*) | −0.071 (*) |
| Male:MHI_CT | 0.097 (*) | 0.097 (*) | 0.097 (*) |
| Black:Population Density_CT | −0.073 (*) | −0.062 (*) | −0.073 (*) |
| Black:Park Density_CT | 0.079 (*) | 0.078 (*) | |
| Black:Exercise Equipment_CBG | 0.167 (*) | 0.185 (*) | 0.167 (*) |
| SS Stepwise | SS Stagewise | SS LARS/Lasso | |
|---|---|---|---|
| No RE | 77,128 | 77,137 | 77,127 |
| RE at CBG | 77,123 | 77,131 | 77,123 |
| RE at CT | 77,126 | 77,133 | 77,125 |
| RE at CBG and CT | 77,125 | 77,132 | 77,124 |
© 2018 by the authors. Licensee MDPI, Basel, Switzerland. This article is an open access article distributed under the terms and conditions of the Creative Commons Attribution (CC BY) license (http://creativecommons.org/licenses/by/4.0/).
Share and Cite
Grant, L.P.; Gennings, C.; Wickham, E.P.; Chapman, D.; Sun, S.; Wheeler, D.C. Modeling Pediatric Body Mass Index and Neighborhood Environment at Different Spatial Scales. Int. J. Environ. Res. Public Health 2018, 15, 473. https://doi.org/10.3390/ijerph15030473
Grant LP, Gennings C, Wickham EP, Chapman D, Sun S, Wheeler DC. Modeling Pediatric Body Mass Index and Neighborhood Environment at Different Spatial Scales. International Journal of Environmental Research and Public Health. 2018; 15(3):473. https://doi.org/10.3390/ijerph15030473
Chicago/Turabian StyleGrant, Lauren P., Chris Gennings, Edmond P. Wickham, Derek Chapman, Shumei Sun, and David C. Wheeler. 2018. "Modeling Pediatric Body Mass Index and Neighborhood Environment at Different Spatial Scales" International Journal of Environmental Research and Public Health 15, no. 3: 473. https://doi.org/10.3390/ijerph15030473
APA StyleGrant, L. P., Gennings, C., Wickham, E. P., Chapman, D., Sun, S., & Wheeler, D. C. (2018). Modeling Pediatric Body Mass Index and Neighborhood Environment at Different Spatial Scales. International Journal of Environmental Research and Public Health, 15(3), 473. https://doi.org/10.3390/ijerph15030473
