The Release of Antimony from Mine Dump Soils in the Presence and Absence of Forest Litter
Abstract
1. Introduction
2. Materials and Methods
2.1. Sampling Sites and Soils
2.2. Incubation Experiment
2.3. Forest Litter
2.4. Pore Water Analysis
2.5. Statistics
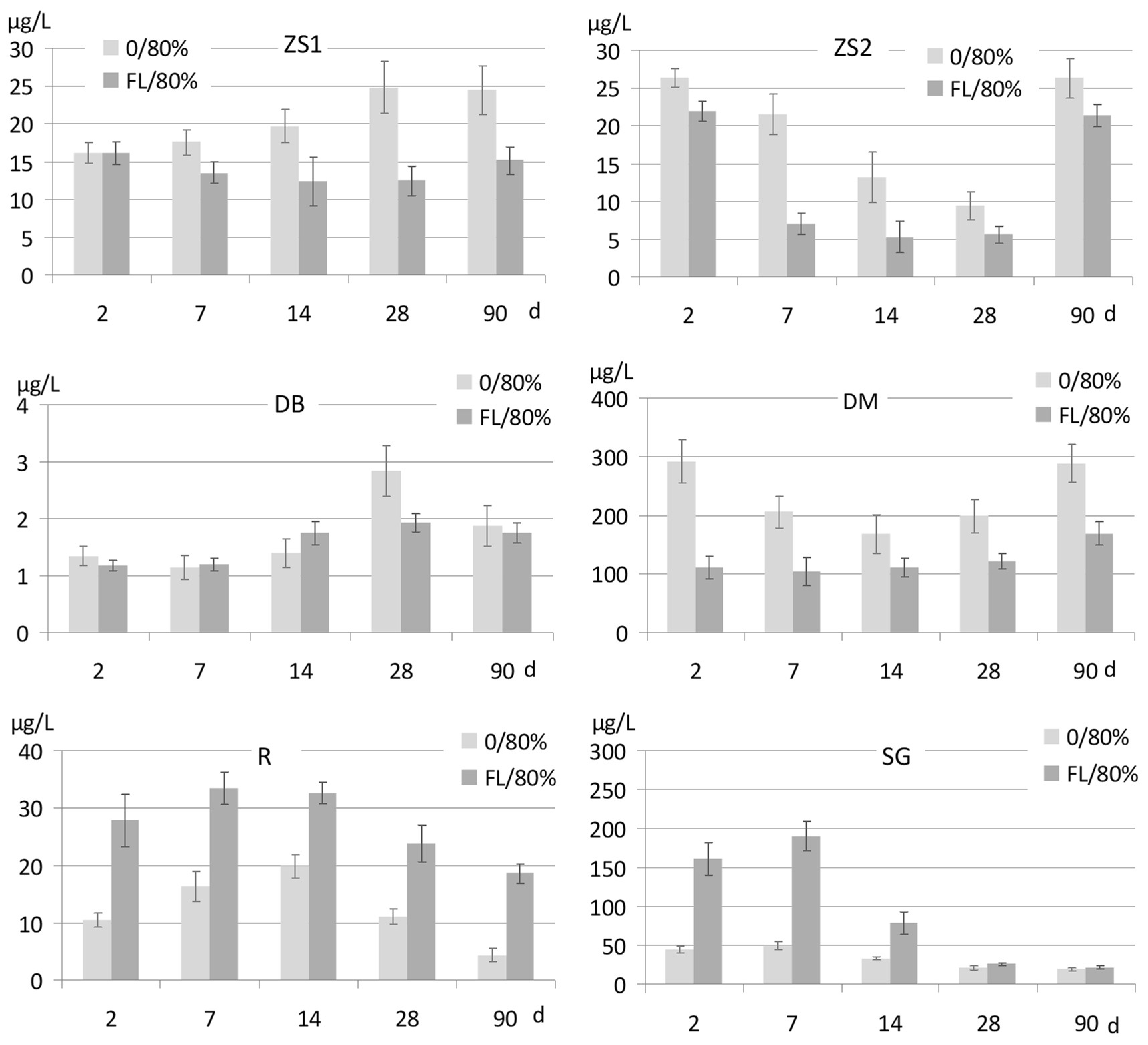
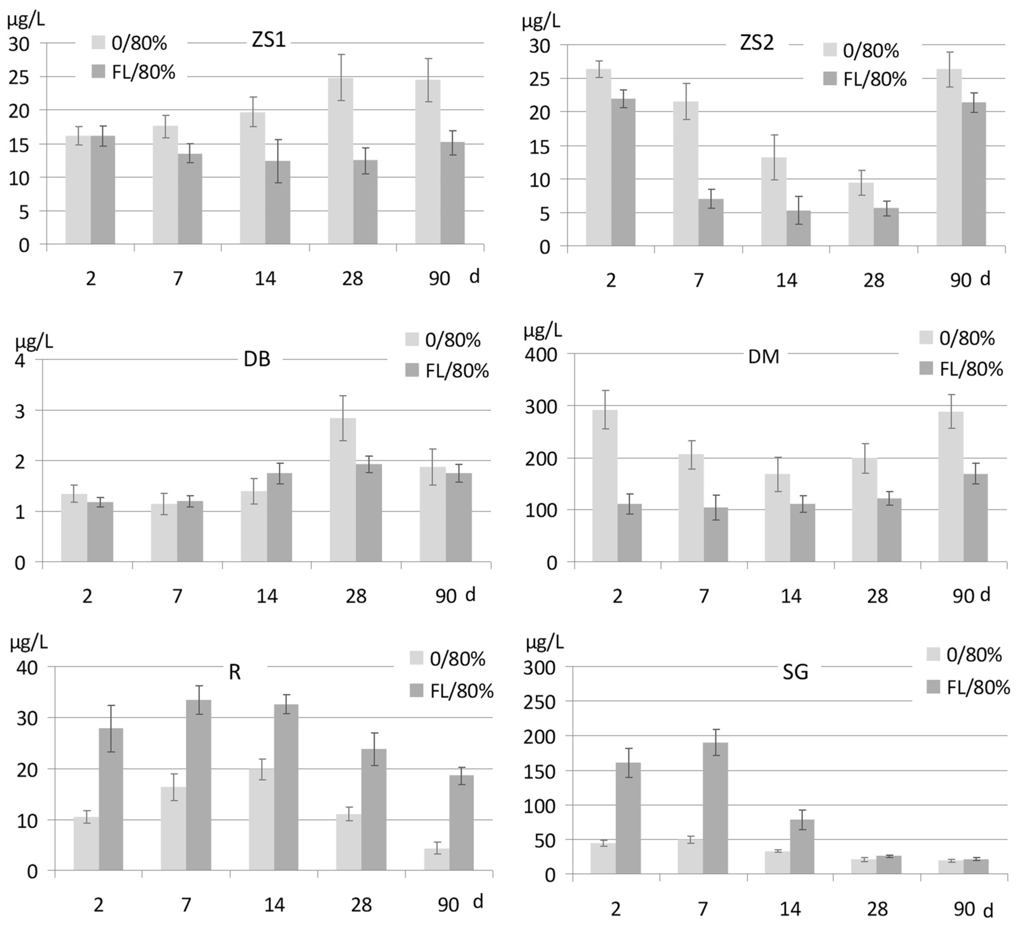
3. Results
3.1. Soils and Forest Litter
3.2. Sb Release into Pore Water
3.2.1. Sb Release in Oxic Conditions
3.2.2. Sb Release in Flooded Soils
4. Discussion
5. Conclusions
Supplementary Materials
Author Contributions
Funding
Conflicts of Interest
References
- Filella, M.; Williams, P.A.; Belzile, N. Antimony in the environment: Knowns and unknowns. Environ. Chem. 2009, 6, 95–105. [Google Scholar] [CrossRef]
- Wilson, S.C.; Lockwood, P.V.; Ashley, P.M.; Tighe, M. The chemistry and behaviour of antimony in the soil environment with comparisons to arsenic: A critical review. Environ. Pollut. 2010, 158, 1169–1181. [Google Scholar] [CrossRef] [PubMed]
- Clemente, R. Antimony. In Heavy Metals in Soils; Alloway, B., Ed.; Springer: Dordrecht, The Netherlands, 2013; pp. 497–506. ISBN 978-94-007-4469-1. [Google Scholar]
- Hockmann, K.; Lenz, M.; Tandy, S.; Nachtegaal, M.; Janousch, M.; Schulin, R. Release of antimony from contaminated soil induced by redox changes. J. Hazard. Mater. 2014, 275, 215–221. [Google Scholar] [CrossRef] [PubMed]
- Hockmann, K.; Tandy, S.; Lenz, M.; Reiser, R.; Conesa, H.M.; Keller, M.; Studer, B.; Schulin, R. Antimony retention and release from drained and waterlogged shooting range soil under field conditions. Chemosphere 2015, 134, 536–543. [Google Scholar] [CrossRef] [PubMed]
- Kabata-Pendias, A. Trace Elements in Soils and Plants, 4th ed.; CRC Press: Boca Raton, FL, USA, 2010; pp. 353–365. ISBN 978-1-4200-9368-1. [Google Scholar]
- Okkenhaug, G.; Zhu, Y.G.; Luo, L.; Lei, M.; Li, X.; Mulder, J. Distribution, speciation and availability of antimony (Sb) in soils and terrestrial plants from an active Sb mining area. Environ. Pollut. 2011, 159, 2427–2434. [Google Scholar] [CrossRef] [PubMed]
- Li, Y.; Wang, H.; Wang, H.; Yin, F.; Yang, X.; Hu, Y. Heavy metal pollution in vegetables grown in the vicinity of a multi-metal mining area in Gejiu, China: Total concentrations, speciation analysis, and health risk. Environ. Sci. Pollut. Res. 2014, 21, 12569–12582. [Google Scholar] [CrossRef] [PubMed]
- Yang, H.; He, M.; Wang, X. Concentration and speciation of antimony and arsenic in soil profiles around the world’s largest antimony metallurgical area in China. Environ. Geochem. Health 2015, 37, 21–33. [Google Scholar] [CrossRef] [PubMed]
- Hiller, E.; Lalinská, B.; Chovan, M.; Jurkovič, Ľ.; Klimko, T.; Jankulár, M.; Ondrejková, I. Arsenic and antimony contamination of waters, stream sediments and soils in the vicinity of abandoned antimony mines in the Western Carpathians, Slovakia. Appl. Geochem. 2012, 27, 598–614. [Google Scholar] [CrossRef]
- Álvarez-Ayuso, E.; Otones, V.; Murciego, A.; García-Sánchez, A. Evaluation of different amendments to stabilize antimony in mining polluted soils. Chemosphere 2013, 90, 2233–2239. [Google Scholar] [CrossRef] [PubMed]
- Courtin-Nomade, A.; Rakotoarisoa, O.; Bril, H.; Grybos, M.; Forestier, L.; Foucher, F.; Kunz, M. Weathering of Sb-rich mining and smelting residues: Insight in solid speciation and soil bacteria toxicity. Chem. der Erde-Geochem. 2012, 72, 29–39. [Google Scholar] [CrossRef]
- Lewińska, K.; Karczewska, A.; Siepak, M.; Gałka, B.; Stysz, M.; Kaźmierowski, C. Recovery and leachability of antimony from mine- and shooting range soils. J. Elem. 2017, 22, 79–90. [Google Scholar] [CrossRef]
- Pasieczna, A. Contents of antimony and bismuth in agricultural soils of Poland. Pol. J. Agron. 2012, 10, 21–29. [Google Scholar]
- Mitsunobu, S.; Harada, T.; Takahashi, Y. Comparison of antimony behavior with that of arsenic under various soil redox conditions. Environ. Sci. Technol. 2006, 40, 7270–7276. [Google Scholar] [CrossRef] [PubMed]
- Lehr, C.R.; Kashyap, D.R.; McDermott, T.R. New insights into microbial oxidation of antimony and arsenic. Appl. Environ. Microbiol. 2007, 73, 2386–2389. [Google Scholar] [CrossRef] [PubMed]
- Li, J.; Wang, Q.; Oremland, R.S.; Kulp, T.R.; Rensing, C.; Wang, G. Microbial antimony biogeochemistry-enzymes, regulation and related metabolic pathways. Appl. Environ. Microbiol. 2016, 82, 5482–5495. [Google Scholar] [CrossRef] [PubMed]
- Kulp, T.R.; Miller, L.G.; Braiotta, F.; Webb, S.M.; Kocar, B.D.; Blum, J.S.; Oremland, R.S. Microbiological reduction of Sb(V) in anoxic freshwater sediments. Environ. Sci. Technol. 2014, 48, 218–226. [Google Scholar] [CrossRef] [PubMed]
- Kataoka, T.; Mitsunobu, S.; Hamamura, N. Influence of the chemical form of antimony on soil microbial community structure and arsenite oxidation activity. Microbes Environ. 2018, 33, 214–221. [Google Scholar] [CrossRef] [PubMed]
- Casiot, C.; Ujevic, M.; Munoz, M.; Seidel, J.L.; Elbaz-Poulichet, F. Antimony and arsenic mobility in a creek draining an antimony mine abandoned 85 years ago (upper Orb basin, France). Appl. Geochem. 2007, 22, 788–798. [Google Scholar] [CrossRef]
- Filella, M.; Belzile, N.; Lett, M.C. Antimony in the environment: A review focused on natural waters. III. Microbiota relevant interactions. Earth-Sci. Rev. 2007, 80, 195–217. [Google Scholar] [CrossRef]
- Telford, K.; Maher, W.; Krikowa, F.; Foster, S.; Ellwood, M.J.; Ashley, P.M.; Lockwood, P.V.; Wilson, S. Bioaccumulation of antimony and arsenic in a highly contaminated stream adjacent to the Hillgrove Mine, NSW, Australia. Environ. Chem. 2009, 6, 133–143. [Google Scholar] [CrossRef]
- Serfor-Armah, Y.; Nyarko, B.J.B.; Dampare, S.B.; Adomako, D. Levels of arsenic and antimony in water and sediment from Prestea, a gold mining town in Ghana and its environs. Water Air Soil Pollut. 2006, 175, 181. [Google Scholar] [CrossRef]
- Liu, F.; Le, X.C.; McKnight-Whitford, A.; Xia, Y.; Wu, F.; Elswick, E.; Johnson, C.C.; Zhu, C. Antimony speciation and contamination of waters in the Xikuangshan antimony mining and smelting area, China. Environ. Geochem. Health 2010, 32, 401–413. [Google Scholar] [CrossRef] [PubMed]
- Hozhina, E.I.; Khramov, A.A.; Gerasimov, P.A.; Kumarkov, A.A. Uptake of heavy metals, arsenic, and antimony by aquatic plants in the vicinity of ore mining and processing industries. J. Geochem. Explor. 2001, 74, 153–162. [Google Scholar] [CrossRef]
- Fu, Z.; Wu, F.; Amarasiriwardena, D.; Mo, C.; Liu, B.; Zhu, J.; Deng, Q.; Liao, H. Antimony, arsenic and mercury in the aquatic environment and fish in a large antimony mining area in Hunan, China. Sci. Total Environ. 2010, 408, 3403–3410. [Google Scholar] [CrossRef] [PubMed]
- Baroni, F.; Boscagli, A.; Protano, G.; Riccobono, F. Antimony accumulation in Achillea ageratum, Plantago lanceolata and Silene vulgaris growing in an old Sb-mining area. Environ. Pollut. 2000, 109, 347–352. [Google Scholar] [CrossRef]
- He, M. Distribution and phytoavailability of antimony at an antimony mining and smelting area, Hunan, China. Environ. Geochem. Health 2007, 29, 209–219. [Google Scholar] [CrossRef] [PubMed]
- Hammel, W.; Debus, R.; Steubing, L. Mobility of antimony in soil and its availability to plants. Chemosphere 2000, 41, 1791–1798. [Google Scholar] [CrossRef]
- Feng, R.; Wei, C.; Tu, S.; Ding, Y.; Wang, R.; Guo, J. The uptake and detoxification of antimony by plants: A review. Environ. Exp. Bot. 2013, 96, 28–34. [Google Scholar] [CrossRef]
- Vaculík, M.; Jurkovič, Ľ.; Matejkovič, P.; Molnárová, M.; Lux, A. Potential risk of arsenic and antimony accumulation by medicinal plants naturally growing on old mining sites. Water Air Soil Pollut. 2013, 224, 1546–1562. [Google Scholar] [CrossRef]
- Fawcett, S.E.; Jamieson, H.E.; Nordstrom, D.K.; McCleskey, R.B. Arsenic and antimony geochemistry of mine wastes, associated waters and sediments at the Giant Mine, Yellowknife, Northwest Territories, Canada. Appl. Geochem. 2015, 62, 3–17. [Google Scholar] [CrossRef]
- Filella, M.; Belzile, N.; Chen, Y. Antimony in the environment: A review focused on natural waters. II. Relevant solution chemistry. Earth Sci. Rev. 2002, 59, 265–285. [Google Scholar] [CrossRef]
- Ashley, P.M.; Craw, D.; Graham, B.P.; Chappell, D.A. Environmental mobility of antimony around mesothermal stibnite deposits, New South Wales, Australia and southern New Zealand. J. Geochem. Explor. 2003, 77, 1–14. [Google Scholar] [CrossRef]
- Johnson, C.A.; Moench, H.; Wersin, P.; Kugler, P.; Wenger, C. Solubility of antimony and other elements in samples taken from shooting ranges. J. Environ. Qual. 2005, 34, 248–254. [Google Scholar] [PubMed]
- Leuz, A.K.; Monch, H.; Johnson, C.A. Sorption of Sb(III) and Sb(V) to goethite: Influence on Sb(III) oxidation and mobilization. Environ. Sci. Technol. 2006, 40, 7277–7282. [Google Scholar] [CrossRef] [PubMed]
- Tandy, S.; Hockmann, K.; Keller, M.; Studer, B.; Papritz, A.; Schulin, R. Antimony mobility during prolonged waterlogging and reoxidation of shooting range soil: A field experiment. Sci. Total Environ. 2018, 624, 838–844. [Google Scholar] [CrossRef] [PubMed]
- Nakamaru, Y.M.; Peinado, F.J.M. Effect of soil organic matter on antimony bioavailability after the remediation process. Environ. Pollut. 2017, 228, 425–432. [Google Scholar] [CrossRef] [PubMed]
- Gerritse, R.G.; Vriesema, R.; Dalenberg, J.W.; de Roos, H.P. Effect of sewage sludge on trace element mobility in soils. J. Environ. Qual. 1982, 11, 359–364. [Google Scholar] [CrossRef]
- Clemente, R.; Hartley, W.; Riby, P.; Dickinson, N.M.; Lepp, N.W. Trace element mobility in a contaminated soil two years after field-amendment with a greenwaste compost mulch. Environ. Pollut. 2010, 158, 1644–1651. [Google Scholar] [CrossRef] [PubMed]
- Lomaglio, T.; Hattab-Hambli, N.; Bret, A.; Miard, F.; Trupiano, D.; Scippa, G.S.; Morabito, D. Effect of biochar amendments on the mobility and (bio)availability of As, Sb and Pb in a contaminated mine technosol. J. Geochem. Explor. 2017, 182, 138–148. [Google Scholar] [CrossRef]
- Buschmann, J.; Sigg, L. Antimony (III) binding to humic substances: Influence of pH and type of humic acid. Environ. Sci. Technol. 2004, 38, 4535–4541. [Google Scholar] [CrossRef] [PubMed]
- Ettler, V.; Mihaljevič, M.; Šebek, O.; Nechutný, Z. Antimony availability in highly polluted soils and sediments—A comparison of single extractions. Chemosphere 2007, 68, 455–463. [Google Scholar] [CrossRef] [PubMed]
- Steely, S.; Amarasiriwardena, D.; Xing, B. An investigation of inorganic antimony species and antimony associated with soil humic acid molar mass fractions in contaminated soils. Environ. Pollut. 2007, 148, 590–598. [Google Scholar] [CrossRef] [PubMed]
- van Vleek, B.; Amarasiriwardena, D.; Xing, B. Investigation of distribution of soil antimony using sequential extraction and antimony complexed to soil-derived humic acids molar mass fractions extracted from various depths in a shooting range soil. Microchem. J. 2011, 97, 68–73. [Google Scholar] [CrossRef]
- Karczewska, A.; Bogda, A.; Gałka, B.; Szulc, A.; Czwarkiel, D.; Duszyńska, D. Natural and anthropogenic soil enrichment in heavy metals in the areas of former metallic ore mining in the Sudety Mts. Pol. J. Soil Sci. 2006, 39, 131–142. [Google Scholar]
- Kabała, C.; Karczewska, A.; Medyńska-Juraszek, A. Variability and relationships between Pb, Cu, and Zn concentrations in soil solutions and forest floor leachates at heavily polluted sites. J. Plant Nutr. Soil Sci. 2014, 177, 573–584. [Google Scholar] [CrossRef]
- Karczewska, A.; Gałka, B.; Dradrach, A.; Lewińska, K.; Mołczan, M.; Cuske, M.; Gersztyn, L.; Litak, K. Solubility of arsenic and its uptake by ryegrass from polluted soils amended with organic matter. J. Geochem. Explor. 2017, 182, 193–200. [Google Scholar] [CrossRef]
- Karczewska, A.; Lewińska, K.; Siepak, M.; Gałka, B.; Dradrach, A.; Szopka, K. Transformation of beech forest litter as a factor that triggers arsenic solubility in soils developed on historical mine dumps. J. Soils Sediments 2018, 18, 2749–2758. [Google Scholar] [CrossRef]
- Karczewska, A.; Lewińska, K.; Siepak, M.; Gałka, B. Lanthanides in soils of historical mining sites in the Sudetes, SW Poland. Pol. J. Environ. Stud. 2019, in press. [Google Scholar] [CrossRef]
- Tan, K.H. Soil Sampling, Preparation and Analysis, 2nd ed.; CRC Press: Boca Raton, FL, USA, 2005; pp. 135–364. ISBN 0-8493-3499-3. [Google Scholar]
- Wenzel, W.W.; Kirchbaumer, N.; Prohaska, T.; Stingeder, G.; Lombi, E.; Adriano, D.C. Arsenic fractionation in soils using an improved sequential extraction procedure. Anal. Chim. Acta 2001, 436, 309–323. [Google Scholar] [CrossRef]
- Müller, K.; Daus, B.; Morgenstern, P.; Wennrich, R. Mobilization of antimony and arsenic in soil and sediment samples—Evaluation of different leaching procedures. Water Air Soil Pollut. 2007, 183, 427–436. [Google Scholar] [CrossRef]
- Cuske, M.; Karczewska, A.; Gałka, B. Speciation of Cu, Zn and Pb in soil solutions extracted from strongly polluted soils treated with organic materials. Pol. J. Environ. Stud. 2017, 26, 567–575. [Google Scholar] [CrossRef]
- Gregorich, E.G.; Beare, M.H.; Stoklas, U.; St-Georges, P. Biodegradability of soluble organic matter in maize-cropped soils. Geoderma 2003, 113, 237–252. [Google Scholar] [CrossRef]
- Swift, R.S. Organic matter characterization. In Methods of Soil Analysis. Part 3—Chemical Methods; Sparks, D.L., Ed.; Book Series 5; Soil Science Society of America Soil: Madison, WI, USA, 1996; pp. 1011–1069. [Google Scholar]
- Craw, D.; Wilson, N.; Ashley, P.M. Geochemical controls on the environmental mobility of Sb and As at mesothermal antimony and gold deposits. Appl. Earth Sci. 2004, 113, 3–10. [Google Scholar] [CrossRef]
- Majzlan, J.; Števko, M.; Lánczos, T. Soluble secondary minerals of antimony in Pezinok and Kremnica (Slovakia) and the question of mobility or immobility of antimony in mine waters. Environ. Chem. 2016, 13, 927–935. [Google Scholar] [CrossRef]
- Jamieson, H.; Radkova, A.B.; Fawcett, S. Controls on the Mobility of Antimony in Mine Waste from Three Deposit Types. In AGU Fall Meeting Abstracts; AGU: Washington, DC, USA, 2017. [Google Scholar]
- Herath, I.; Vithanage, M.; Bundschuh, J. Antimony as a global dilemma: Geochemistry, mobility, fate and transport. Environ. Pollut. 2017, 223, 545–559. [Google Scholar] [CrossRef] [PubMed]
- Frohne, T.; Rinklebe, J.; Diaz-Bone, R.A.; Du Laing, G. Controlled variation of redox conditions in a floodplain soil: Impact on metal mobilization and biomethylation of arsenic and antimony. Geoderma 2011, 160, 414–424. [Google Scholar] [CrossRef]
- Rowland, H.A.L.; Pederick, R.L.; Polya, D.A.; Pancost, R.D.; Van Dongen, B.E.; Gault, A.G.; Lloyd, J.R. The control of organic matter on microbially mediated iron reduction and arsenic release in shallow alluvial aquifers, Cambodia. Geobiology 2007, 5, 281–292. [Google Scholar] [CrossRef]






| Parameter | Soil | ||||||
|---|---|---|---|---|---|---|---|
| Symbol | ZS1 | ZS2 | DB | DM | R | SG | |
| Origin | Locality | Złoty Stok | Dębowina | Dziećmorowice | Radzimowice | Srebrna Góra | |
| Mined ores | Au and As | Sb | polymetallic | ||||
| Skeleton (>2 mm)—on site, % | 80 | 50 | 45 | 60 | 60 | 55 | |
| Fine gravel (2–5 mm) | 45 | 25 | 36 | 48 | 32 | 27 | |
| Sand (0.05–2 mm) | in fine soil, % | 68 | 76 | 41 | 75 | 73 | 70 |
| Silt (0.002–0.05 mm) | 29 | 22 | 52 | 23 | 22 | 22 | |
| Clay (<0.002 mm) | 3 | 2 | 7 | 2 | 5 | 8 | |
| Textural group of fine soil (USDA) | SL | LS | L | LS | SL | SL | |
| Corg., g/kg | 14.1 | 16.3 | 51.4 | 29.5 | 18.0 | 13.2 | |
| N total, g/kg | 1.05 | 1.23 | 3.28 | 1.81 | 1.22 | 1.12 | |
| pH (H2O) | 7.1 | 7.6 | 3.7 | 6.5 | 4.8 | 7.8 | |
| CaCO3, % | 0.1 | 1.3 | - | - | - | 7.6 | |
| Feox, g/kg | 28.5 | 23.9 | 7.0 | 3.5 | 23.7 | 5.5 | |
| Total As (aqua regia) | 45,500 | 50,000 | 68 | 196 | 12,150 | 56 | |
| Total Sb (aqua regia) | 27.3 | 29.5 | 12.8 | 195 | 148 | 65 | |
| Sb extracted with 1 M NH4NO3 | mg/kg | 0.06 | 0.06 | <0.01 | 0.43 | 0.03 | 0.10 |
| % of total | 0.22 | 0.20 | <0.08 | 0.66 | 0.02 | 0.06 | |
| Sb extracted with 0.01 M CaCl2 | mg/kg | 0.16 | 0.15 | <0.02 | 0.73 | 0.16 | 0.08 |
| % of total | 0.59 | 0.51 | <0.16 | 1.12 | 0.11 | 0.05 | |
| Parameter | Unit | Mean Value |
|---|---|---|
| Total organic carbon | g/kg | 418 |
| pH (H2O) | - | 5.95 |
| N total | g/kg | 17.4 |
| DOC (cold water) | g/kg | 3.95 |
| DOC (hot water) | g/kg | 15.7 |
| Fulvic fraction | % of total C | 45.7 |
| Humic fraction | 32.7 | |
| Non-extractable C | 21.6 |
| Soil | Sb Released, μg/kg | Sb Released, % of Total Sb | ||||||
|---|---|---|---|---|---|---|---|---|
| 0/80% | FL/80% | 0/100% | FL/100% | 0/80% | FL/80% | 0/100% | FL/100% | |
| ZS1 | 11.3 | 7.3 | 20.6 | 7.0 | 0.04 | 0.03 | 0.08 | 0.03 |
| ZS2 | 11.4 | 8.4 | 12.4 | 4.8 | 0.04 | 0.03 | 0.04 | 0.02 |
| DB | 0.9 | 0.8 | 19.7 | 22.7 | 0.01 | 0.01 | 0.16 | 0.18 |
| DM | 130 | 72.8 | 278 | 424 | 0.07 | 0.04 | 0.14 | 0.22 |
| R | 4.2 | 11.5 | 8.6 | 12.9 | <0.01 | 0.01 | 0.01 | 0.01 |
| SG | 13.2 | 29.2 | 18.2 | 25.6 | 0.02 | 0.04 | 0.03 | 0.04 |
© 2018 by the authors. Licensee MDPI, Basel, Switzerland. This article is an open access article distributed under the terms and conditions of the Creative Commons Attribution (CC BY) license (http://creativecommons.org/licenses/by/4.0/).
Share and Cite
Lewińska, K.; Karczewska, A.; Siepak, M.; Gałka, B. The Release of Antimony from Mine Dump Soils in the Presence and Absence of Forest Litter. Int. J. Environ. Res. Public Health 2018, 15, 2631. https://doi.org/10.3390/ijerph15122631
Lewińska K, Karczewska A, Siepak M, Gałka B. The Release of Antimony from Mine Dump Soils in the Presence and Absence of Forest Litter. International Journal of Environmental Research and Public Health. 2018; 15(12):2631. https://doi.org/10.3390/ijerph15122631
Chicago/Turabian StyleLewińska, Karolina, Anna Karczewska, Marcin Siepak, and Bernard Gałka. 2018. "The Release of Antimony from Mine Dump Soils in the Presence and Absence of Forest Litter" International Journal of Environmental Research and Public Health 15, no. 12: 2631. https://doi.org/10.3390/ijerph15122631
APA StyleLewińska, K., Karczewska, A., Siepak, M., & Gałka, B. (2018). The Release of Antimony from Mine Dump Soils in the Presence and Absence of Forest Litter. International Journal of Environmental Research and Public Health, 15(12), 2631. https://doi.org/10.3390/ijerph15122631

