Abstract
Outdoor fungi are important components of airborne particulate matter (PM). However, the associations between pulmonary function and outdoor fungi are less well known compared to other airborne PM constituents. The objective of this study was to investigate the association between outdoor fungi and pulmonary function in children. Morning peak expiratory flow (PEF) rates were measured daily in 339 schoolchildren (including 36 with asthma), aged 10 to 12, 2 to 27 February 2015. Airborne PM was collected on filters, using a high volume air sampler, each day during the study period. The daily concentration of outdoor fungi-associated PM was calculated using a culture-based method. A linear mixed model was used to estimate the association between PEF values and daily concentrations of outdoor fungi, and the daily levels of suspended PM (SPM) and PM ≤ 2.5 μm (PM2.5). An increase in the interquartile range (46.2 CFU/m3) for outdoor fungal concentration led to PEF changes of −1.18 L/min (95% confidence interval, −2.27 to −0.08) in all children, 1.22 L/min (−2.96 to 5.41) in children without asthma, and −1.44 L/min (−2.57 to −0.32) in children with asthma. Outdoor fungi showed a significant negative correlation with PM2.5 levels (r = −0.4, p = 0.04), but not with SPM (r = ‒0.3, p = 0.10) levels. Outdoor fungi may be associated with pulmonary dysfunction in children. Furthermore, children with asthma may show greater pulmonary dysfunction than those without asthma.
1. Introduction
A number of epidemiological studies have demonstrated an association between airborne particulate matter (PM) and respiratory disorders [1,2]. Similarly, several reviews and meta–analyses have demonstrated the effects of airborne PM on pulmonary function in children [3,4,5,6]. However, the results of each study showed considerable variability. Airborne PM is a mixture of solid particles and liquid droplets originating from various natural and anthropogenic sources [7]. The constituents and components of airborne PM differ according to area and season [8,9]. The discordance in the results of various studies that have investigated the association between airborne PM and pulmonary function may be attributable to the disparity in the composition of airborne PM [3,4,5,6]. Additionally, to date, it remains unclear which constituents and components of airborne PM are most responsible for pulmonary dysfunction.
Bioaerosols are one component of airborne PM; fungi are included in bioaerosols [10]. Airborne PM is usually categorized according to particle size as PM10 or PM2.5, representing median aerodynamic diameters smaller than 10 μm or 2.5 μm, respectively [11]. Inhaled airborne PM can affect different parts of the respiratory tract, depending on particulate size [12]. While coarse PM (PM2.5–10) is deposited primarily in the bronchus, fine PM (PM2.5) is more likely to disperse deeper into the tracheobronchial and alveolar regions, where it is deposited [10,13]. Fungi are included in both coarse and fine PM [13], and can thus be responsible for various respiratory disorders, including asthma, allergic bronchial pulmonary mycosis, and hypersensitivity pneumonitis [14]. Materials of biological origin contribute as much as 25% to the atmospheric aerosol [15]. However, biological PM in the outdoor atmosphere has received less attention than other aerosol particles, such as sulfates and mineral dust [10]. In particular, relatively little is known about the association between short term exposure to outdoor fungi (as components of airborne PM) and pulmonary function in children.
The purpose of this study was to investigate the association between pulmonary function in schoolchildren and the daily concentrations of fungi present in PM. Airborne fungal spores are an important risk factor for asthma and can trigger asthma exacerbations, particularly in children [16,17]. The effects of exposure to fungi on pulmonary function may differ between children with and without asthma. Therefore, this study aimed to assess the difference in the effect of airborne fungi on pulmonary function in children with and without asthma.
2. Materials and Methods
2.1. Study Design
In this panel study, morning peak expiratory flow (PEF) rates were measured in schoolchildren daily 2 to 27 February 2015. The study was conducted in Matsue, the capital city of the Shimane Prefecture, in southwest Japan. Matsue has a population of approximately 200,000 inhabitants and covers a geographical area of 530.2 km². A total of 345 children, aged 10 to 12 years, participated in the study. They were enrolled from four (of a total of 35) elementary schools. The four schools were within 10 km of each other, and all participating children lived within a 1 km radius of their school.
Patient data—including sex, age, height, weight, and the presence of asthma, allergic rhinitis, allergic conjunctivitis, atopic dermatitis, and food allergies—were recorded in February 2015. The participants were considered to have asthma if they met any of the following criteria during the preceding 12 months: diagnosis of asthma by a pediatrician, presence of wheezing, use of asthma medication, and/or a visit to a hospital for asthma. Furthermore, they were considered to have allergic rhinitis, allergic conjunctivitis, atopic dermatitis, and/or food allergy if they met any of the following criteria during the preceding 12 months: diagnosis of any of these conditions by a pediatrician, use of medication for any of these conditions, and/or a visit to a hospital for any of these conditions.
The study was approved by the institutional ethics committee (Ethics Committee of the Faculty of Medicine, Tottori University: Approval Number 2473). The study was also approved by the Matsue City Board of Education and the Parent Teacher Association of each elementary school involved in the study. The children and their parents provided written consent after receiving information about the study from their teachers.
2.2. Recording of Daily Morning Peak Expiratory Flow
The participating children and their teachers were taught how to measure PEF before the start of the study. From 2 to 27 February 2015, all children measured their PEF every morning using a peak flow meter (Mini-Wright, Harlow, UK, American Thoracic Society Scale). The children recorded their best PEF value after three attempts between the hours of 8:00 A.M. and 9:00 A.M. All children walked to school and were potentially exposed to air pollutants during their commute.
2.3. Measurement of Air Pollutant Levels
Suspended particulate matter (SPM) is defined under the National Air Quality Standard as any particle with a diameter smaller than 10 μm with a 100% cut-off [18]. In Japan, the Japanese Ministry of the Environment monitors the levels of SPM instead of PM10. The concentrations of SPM, PM2.5, sulfur dioxide (SO2), nitrogen dioxide (NO2), and ozone are monitored by the Japanese Ministry of the Environment in Matsue City, which is the sole monitoring station. Meteorological variables in Matsue City, such as daily temperature, relative humidity, and atmospheric pressure, were also measured by the Japan Meteorological Agency. The data for Matsue City obtained from the Japanese Ministry of the Environment and the Japan Meteorological Agency were used to examine the associations between changes in PEF and air pollutant levels. Daily average levels of air pollutants, such as SPM, PM2.5, SO2, NO2, and ozone, were calculated from 6:00 A.M. to 5:00 A.M. the following day.
2.4. Calculation of Daily Concentrations of Fungi-Associated PM
The daily concentration of outdoor fungi-associated PM was calculated using culture-based methods [10,19]. In Chuo Elementary School, one of schools participating in this study, total suspended particles were collected on 20 × 25 cm quartz filters (2500QAT-UP; Tokyo Dylec, Tokyo, Japan) at a flow rate of 1000 L/min using a high-volume air sampler (HV-1000R; Shibata, Tokyo, Japan) for 23 h—from 7:00 A.M. to 6:00 A.M. the following day. This sampling took place from 1 February to 28 February 2015. After sampling, a 4-cm2 filter was detached and PM was extracted with 4 mL of distilled, deionized water. For fungal culture, 500 μL of the 4 mL PM suspension was spread onto Sabouraud agar culture in 90 mm diameter dishes and incubated for 5 days at 28 °C. After 5 days, the growing colonies were counted and the mean value of five dishes was calculated. The daily concentrations of outdoor fungi-associated PM were expressed as colony forming units per cubic meter of air (CFU/m3).
2.5. Statistical Analysis
Linear mixed models that accounted for correlations in repeated measurements within an individual were used to estimate the effect of exposure to SPM, PM2.5, and fungi-associated PM on the daily PEF of children [20,21]. The linear mixed models included a random intercept, individual characteristics (gender, age, height, weight, asthma, allergic rhinitis, allergic conjunctivitis, atopic dermatitis, and food allergy); meteorological variables, such as daily temperature, relative humidity, and atmospheric pressure; gaseous air pollutants (SO2, NO2, and ozone); and the exposure variables. Linear mixed model analyses were performed using R statistical software (version 3.2.2, R Foundation for Statistical Computing, Vienna, Austria). Estimates were given as the absolute difference in PEF values per interquartile range (IQR) change in exposure, with 95% confidence intervals (CIs). Multiple imputation was used to deal with missing data, as this method adequately addresses the uncertainty around the prediction of missing values [22]. The two-pollutant model was applied to different combinations of pollutants to assess the stability of the effects of fungal concentrations on PEF after adjustment for individual characteristics (age, gender, height, weight, and presence of asthma, allergic rhinitis, allergic conjunctivitis, atopic dermatitis, and food allergies), and meteorological variables (temperature, humidity, and atmospheric pressure). Differences between children with and without asthma were evaluated by the ordinary interaction tests, Wald tests for differences of the regression coefficients between the two groups. Associations between fungal concentrations and SPM and PM2.5 levels were assessed by linear regression analysis, using SPSS statistical software (Japanese ver. 21.0 for Windows; IBM Japan, Tokyo, Japan). All p-values were two-sided, with a significance level of 0.05.
3. Results
3.1. Participant Characteristics
Of the 345 children recruited, six were excluded because they failed to maintain a daily record of their PEF rates. The characteristics of the remaining 339 children, including those with asthma (n = 36) and without asthma (n = 303), are shown in Table 1. Data were missing for sex, age, height, and body weight for 2, 3, 6, and 8 children without asthma, respectively.
Table 1.
Characteristics of the 339 children included in this study.
3.2. SPM and PM2.5 Levels and the Relationship between SPM, PM2.5, and Fungi
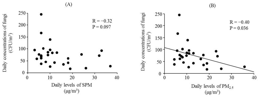
Figure 1 presents the daily levels of SPM, PM2.5, and concentrations of fungi, 1 February to 28 February 2015. Figure 2 shows the associations between the daily fungal concentrations and the daily averages of SPM and PM2.5 during this period. There was a significant negative relationship between daily fungal concentrations and daily averages of PM2.5. However, no association was found between SPM and fungal concentrations.

Figure 1.
Daily concentrations of fungi (A); average levels of suspended particulate matter (SPM) (B); and particulate matter smaller than 2.5 μm in diameter (PM2.5) (C) 1 to 28 February 2015.
Figure 2.
Associations between daily concentrations of fungi and the daily levels of (A) suspended particulate matter (SPM) and (B) particulate matter less than 2.5 μm (PM2.5). Associations between fungal concentrations and daily levels of SPM and PM2.5 levels were assessed by linear regression analyses.
3.3. Peak Expiratory Flow
Results of the estimated changes in PEF values for IQR increases in exposure to SPM, PM2.5, and fungi are presented in Table 2. The daily fungal concentrations were significantly associated with PEF values in all children and in children with asthma, with an increase of 46.2 CFU/m3 in fungal concentration reducing the PEF value by 1.18 L/min and 1.44 L/min, respectively. However, in children without asthma, there was no significant association between the PEF value and fungal concentration. Although there was no significant difference between children without and with asthma by the interaction test (p = 0.228), their subgroup estimates were clearly different. Increases of 12.0 μg/m3 in SPM led to changes in the PEF value of −1.36 L/min in all children, −1.38 L/min in children with asthma, and −1.14 L/min in children without asthma. There was no significant association with SPM and PEF value. Similarly, PM2.5 was not significantly associated with the PEF value, with a 10.0 μg/m3 increase in PM2.5, decreasing the PEF value by −1.72 L/min in the total study cohort (−1.56 L/min in children with asthma and −3.41 L/min in children without asthma). In a two-pollutant model adjusted for SPM and PM2.5, the daily fungal concentrations were significantly associated with PEF values in all children and in children with asthma (Table 3).
Table 2.
Multivariate analysis using linear mixed models of the association between peak expiratory flow (PEF) and suspended particulate matter (SPM), particulate matter ≤2.5 μm in diameter (PM2.5), and fungal concentrations, by interquartile range (IQR).
Table 3.
Estimated effects of fungal concentrations on peak expiratory flow (PEF) in a two-pollutant model after adjustment for suspended particulate matter (SPM), and particulate matter ≤2.5 μm in diameter (PM2.5) by interquartile range (IQR).
4. Discussion
Several reviews and meta-analyses have demonstrated the association between short-term exposure to airborne PM and pulmonary function in children, especially those children with asthma [3,4,5,6]. Airborne PM originates from various anthropogenic and natural sources [23], including fungi [10]. However, there has been limited investigation of the association between outdoor fungi and pulmonary function. Our key finding was that increased outdoor fungal concentrations were associated with decreased pulmonary function in schoolchildren. This places a high priority on determining which constituents and components of airborne PM are responsible for health disorders [24,25]. The findings of this study suggest that outdoor fungi may play an important role in respiratory disorders induced by exposure to airborne PM.
In this study, we estimated the effects of outdoor fungi on pulmonary function stratified by the presence of asthma, and were unable to find an association with outdoor fungi and pulmonary function in children without asthma. In addition, we did not find any other study that focused on outdoor fungi or molds, non-asthmatic children, and pulmonary function. Thus, our findings cannot be directly compared to other study results. In contrast, a number of studies have reported that outdoor fungi can increase emergency department visits and hospitalization for asthma exacerbations, and can aggravate asthma symptoms [17,26,27]. This study showed that outdoor fungi were associated with pulmonary function in asthmatic children, consistent with findings by Beaumont et al. showing that heavy exposure to outdoor (but not indoor) fungi can decrease pulmonary function patients with asthma [28]. These findings suggest that children with asthma may show a greater decrease in pulmonary function related to outdoor fungal exposure than those without asthma. Although there was no significant difference between children with and without asthma via the interaction test, it is known that the interaction tests have low statistical power generally [29]. Thus, the non-significant result should not be interpreted as indicating no difference of exposure effects between the two populations. Notably, results of the subgroup analyses indicated a clear difference. In order to establish more reliable evidence, further studies would be required for this problem.
This study did not find any association between pulmonary function and SPM or PM2.5 in children with or without asthma. In contrast, our previous studies showed significant associations with pulmonary function and SPM and PM2.5, especially in children with asthma [30,31]. However, these discrepancies are not unexpected, given that the effects of PM on pulmonary function are not the same across studies [3,4,5,6]. In this study, although there was no significant relationship between fungal concentrations and SPM, the fungal concentrations showed a significant negative association with PM2.5. This result corresponds with a study by Alghamdi et al [10], which found an association with inverse PM2.5 concentrations (1/PM2.5) and outdoor fungi. These findings indicate that the fungal concentrations do not depend on PM mass concentrations. The associations with outdoor fungi and respiratory status—such as pulmonary function and respiratory symptoms—were greatly dependent on fungal type [32]. Additionally, PM bound with airborne pollen and fungal spores can change its biological and morphological characteristics [10,33]. The effects of airborne PM on pulmonary function in children may depend more on the composition of airborne PM, including the types of fungi present, than on its mass concentration.
Our previous study investigated the effects of Asian dust (which is sand dust emissions originating in East Asian deserts) on PEF and respiratory symptoms in asthma [34,35]. There was no significant relationship between Asian dust and PEF, despite the worsening of respiratory symptoms. Chan-Yeung et al. suggested that peak expiratory flow was not a sensitive parameter for detecting subtle changes in asthma compared to respiratory symptoms [36]. In the present study, the absolute changes in the PEF values may be not high when compared with the average PEF value. However, there was a significant association between pulmonary function and daily fungal concentrations. Outdoor fungi may have a greater effect on respiratory symptoms than on pulmonary function. Therefore, we should endeavor to monitor the detrimental health effects of outdoor fungi.
Nasopharyngeal dysfunction caused by allergic rhinitis is a cause of bronchoconstriction [37]. In children, atopy is associated with airway hyper-responsiveness, which can increase airway sensitivity [38]. In addition, the sex of an individual may influence the risk of wheezing and the prevalence of asthma throughout childhood [39]. Therefore, in this study as in our previous study, we adjusted the analyses for allergic diseases because the presence of allergic disease may affect the results.
There are several limitations in this study. First, we were unable to diagnose asthma on the basis of airway hyper-responsiveness to methacholine and reversible airflow limitation. However, the prevalence of asthma among study participants was 10.6%, comparable to the reported prevalence of current wheeze in Japanese children of the same age (9.3% to 9.9%) [40]. This suggests that the diagnosis of asthma in this study may be valid. Second, the study was conducted during winter. There have been many reports concerning seasonal and monthly variations in outdoor fungi, because meteorological conditions (such as temperature, precipitation, and relative humidity) are accompanied by changes in both the strain and concentration of outdoor fungi [27,41]. Many studies have demonstrated peak concentrations of fungi during summer and early fall months, with the lowest concentrations during the winter months [41,42,43]. Thus, this study may have underestimated the effect of outdoor fungi on pulmonary function in schoolchildren. Third, the study was unable to measure individual levels of exposure to outdoor fungi and air pollution for each child. Fourth, we were unable to test sensitivity to fungal allergens in individual children. Sensitization to fungi may potentiate the association between outdoor fungi and pulmonary dysfunction. For example, in hypersensitized asthmatic children, Alternaria spores can induce pulmonary dysfunction [44]. Alternaria and Cladosporium spores are the most common fungal airborne particles in outdoor air [41,42,43]. However, isolated allergy to Alternaria spores can be detected in only a very small percentage of patients [45]. Additionally, the percentage of children sensitized to Cladosporium, Aspergillus, and Penicillium spores was lower than that sensitized to Alternaria spores [46]. Therefore, although we were unable to investigate individual sensitivity to fungal allergens, this may not have had much influence on the results. Fifth, the culture-based method used for measuring outdoor fungi was unable to detect all outdoor fungi strains, because several strains cannot grow on Sabouraud agar culture. Therefore, the study underestimated the concentrations of fungi. In future, to estimate the association between outdoor fungi and pulmonary function, we should also study outdoor fungi strains.
5. Conclusions
The present study found a significant association between pulmonary function in schoolchildren and daily concentrations of outdoor fungi-associated airborne PM to which the children were exposed.
Acknowledgments
This research was supported by the Environmental Research and Technology Development Fund (5-1453) of the Japanese Ministry of the Environment and Tottori prefecture. We would like to thank Editage (www.editage.jp) for English-language editing.
Author Contributions
Masanari Watanabe, and Jun Kurai conceived the study. Masanari Watanabe, Hisashi Noma, Jun Kurai, Sachiko Nakamoto, Naoto Burioka, Hiroyuki Sano, and Eiji Shimizu designed the study. Masanari Watanabe and Hisashi Noma wrote the manuscript. Masanari Watanabe, Jun Kurai, Degejirihu Hantan, and Jumpei Taniguchi contributed to data collection. Masanari Watanabe, Jun Kurai, Degejirihu Hantan, Naoto Burioka, and Sachiko Nakamoto performed the laboratory work. Masanari Watanabe and Hisashi Noma performed the statistical analysis and interpretation of the results. Masanari Watanabe, and Hisashi Noma contributed to critical revision of important intellectual content. All authors read and approved the final manuscript.
Conflicts of Interest
The founding sponsors had no role in the design of the study; in the collection, analyses, or interpretation of data; in the writing of the manuscript, and in the decision to publish the results.
Abbreviations
The following abbreviations are used in this manuscript:
| CI | confidence interval |
| IQR | interquartile range |
| NO2 | nitrogen dioxide |
| PM | particulate matter |
| PEF | peak expiratory flow |
| PM10 | particulate matter smaller than 10 micrometer |
| PM2.5 | particulate matter smaller than 2.5 micrometer |
| SD | standard deviation |
| SO2 | sulfur dioxide |
| SPM | suspended particulate matter |
References
- Loomis, D.; Grosse, Y.; Lauby-Secretan, B.; El Ghissassi, F.; Bouvard, V.; Benbrahim-Tallaa, L.; Guha, N.; Baan, R.; Mattock, H.; Straif, K. The carcinogenicity of outdoor air pollution. Lancet Oncol. 2013, 14, 1262–1263. [Google Scholar] [CrossRef]
- Lim, S.S.; Vos, T.; Flaxman, A.D.; Danaei, G.; Shibuya, K.; Adair-Rohani, H.; Amann, M.; Anderson, H.R.; Andrews, K.G.; Aryee, M.; et al. A comparative risk assessment of burden of disease and injury attributable to 67 risk factors and risk factor clusters in 21 regions, 1990–2010: A systematic analysis for the global burden of disease study 2010. Lancet 2012, 380, 2224–2260. [Google Scholar] [CrossRef]
- Ward, D.J.; Ayres, J.G. Particulate air pollution and panel studies in children: A systematic review. Occup. Environ. Med. 2004, 61, e13. [Google Scholar] [CrossRef] [PubMed]
- Weinmayr, G.; Romeo, E.; De Sario, M.; Weiland, S.K.; Forastiere, F. Short-term effects of PM10 and NO2 on respiratory health among children with asthma or asthma-like symptoms: A systematic review and meta-analysis. Environ. Health Perspect. 2010, 118, 449–457. [Google Scholar] [CrossRef] [PubMed]
- Li, S.; Williams, G.; Jalaludin, B.; Baker, P. Panel studies of air pollution on children’s lung function and respiratory symptoms: A literature review. J. Asthma 2012, 49, 895–910. [Google Scholar] [CrossRef] [PubMed]
- Anderson, J.O.; Thundiyil, J.G.; Stolbach, A. Clearing the air: A review of the effects of particulate matter air pollution on human health. J. Med. Toxicol. 2012, 8, 166–175. [Google Scholar] [CrossRef] [PubMed]
- Wilson, W.E.; Chow, J.C.; Claiborn, C.; Fusheng, W.; Engelbrecht, J.; Watson, J.G. Monitoring of particulate matter outdoors. Chemosphere 2002, 49, 1009–1043. [Google Scholar] [CrossRef]
- Kumar, R.K.; Shadie, A.M.; Bucknall, M.P.; Rutlidge, H.; Garthwaite, L.; Herbert, C.; Halliburton, B.; Parsons, K.S.; Wark, P.A. Differential injurious effects of ambient and traffic-derived particulate matter on airway epithelial cells. Respirology 2015, 20, 73–79. [Google Scholar] [CrossRef] [PubMed]
- Salonen, R.O.; Hälinen, A.I.; Pennanen, A.S.; Hirvonen, M.R.; Sillanpää, M.; Hillamo, R.; Shi, T.; Borm, P.; Sandell, E.; Koskentalo, T.; et al. Chemical and in vitro toxicologic characterization of wintertime and springtime urban-air particles with an aerodynamic diameter below 10 micron in Helsinki. Scand. J. Work Environ. Health 2004, 30, 80–90. [Google Scholar] [PubMed]
- Alghamdi, M.A.; Shamy, M.; Redal, M.A.; Khoder, M.; Awad, A.H.; Elserougy, S. Microorganisms associated particulate matter: A preliminary study. Sci. Total Environ. 2014, 479–480, 109–116. [Google Scholar] [CrossRef] [PubMed]
- Kim, K.H.; Kabir, E.; Kabir, S. A review on the human health impact of airborne particulate matter. Environ. Int. 2015, 74, 136–143. [Google Scholar] [CrossRef] [PubMed]
- Brook, R.D.; Franklin, B.; Cascio, W.; Hong, Y.; Howard, G.; Lipsett, M.; Luepker, R.; Mittleman, M.; Samet, J.; Smith, S.C., Jr.; et al. Air pollution and cardiovascular disease: A statement for healthcare professionals from the expert panel on population and prevention science of the American heart association. Circulation 2004, 109, 2655–2671. [Google Scholar] [CrossRef] [PubMed]
- Cao, C.; Jiang, W.; Wang, B.; Fang, J.; Lang, J.; Tian, G.; Jiang, J.; Zhu, T.F. Inhalable microorganisms in Beijing’s PM2.5 and PM10 pollutants during a severe smog event. Environ. Sci. Technol. 2014, 48, 1499–1507. [Google Scholar] [CrossRef] [PubMed]
- Knutsen, A.P.; Bush, R.K.; Demain, J.G.; Denning, D.W.; Dixit, A.; Fairs, A.; Greenberger, P.A.; Kariuki, B.; Kita, H.; Kurup, V.P.; et al. Fungi and allergic lower respiratory tract diseases. J. Allergy Clin. Immunol. 2012, 129, 280–291. [Google Scholar] [CrossRef] [PubMed]
- Jaenicke, R. Abundance of cellular material and proteins in the atmosphere. Science 2005, 308, 73. [Google Scholar] [CrossRef] [PubMed]
- Raphoz, M.; Goldberg, M.S.; Garneau, M.; Héguy, L.; Valois, M.F.; Guay, F. Associations between atmospheric concentrations of spores and emergency department visits for asthma among children living in Montreal. Arch. Environ. Occup. Health 2010, 65, 201–210. [Google Scholar] [CrossRef] [PubMed]
- Tham, R.; Dharmage, S.C.; Taylor, P.E.; Katelaris, C.H.; Vicendese, D.; Abramson, M.J.; Erbas, B. Outdoor fungi and child asthma health service attendances. Pediatr. Allergy Immunol. 2014, 25, 439–449. [Google Scholar] [CrossRef] [PubMed]
- Omori, T.; Fujimoto, G.; Yoshimura, I.; Nitta, H.; Ono, M. Effects of particulate matter on daily mortality in 13 Japanese cities. J. Epidemiol. 2003, 13, 314–322. [Google Scholar] [CrossRef] [PubMed]
- Lee, T.; Grinshpun, S.A.; Martuzevicius, D.; Adhikari, A.; Crawford, C.M.; Luo, J.; Reponen, T. Relationship between indoor and outdoor bio-aerosols collected with a button inhalable aerosol sampler in urban homes. Indoor Air 2006, 16, 37–47. [Google Scholar] [CrossRef] [PubMed]
- Laird, N.M.; Ware, J.H. Random-effects models for longitudinal data. Biometrics 1982, 38, 963–974. [Google Scholar] [CrossRef] [PubMed]
- Verbeke, G.; Molenberghs, G. Linear Mixed Models for Longitudinal Data, 2nd ed.; Springer: New York, NY, USA, 2009. [Google Scholar]
- Rubin, D.B. Multiple Imputation for Nonresponse in Surveys; John Wiley: New York, NY, USA, 1987. [Google Scholar]
- Fuzzi, S.; Andreae, M.O.; Huebert, B.J.; Kulmala, M.; Bond, T.C.; Boy, M.; Doherty, S.J.; Guenther, A.; Kanakidou, M.; Kawamura, K. Critical assessment of the current state of scientific knowledge, terminology, and research needs concerning the role of organic aerosols in the atmosphere, climate, and global change. Atmos. Chem. Phys. 2006, 6, 2017–2038. [Google Scholar] [CrossRef]
- World Health Organization (WHO). Health Relevance of Particulate Matter from Various Sources. In Proceedings of the Report on a WHO Workshop, Bonn, Germany, 26‒27 March 2007; WHO: Copenhagen, Denmark, 2007. [Google Scholar]
- Thurston, G.D.; Burnett, R.T.; Turner, M.C.; Shi, Y.; Krewski, D.; Lall, R.; Ito, K.; Jerrett, M.; Gapstur, S.M.; Diver, W.R.; et al. Ischemic heart disease mortality and long-term exposure to source-related components of U.S. fine particle air pollution. Environ. Health Perspect. 2015. [Google Scholar] [CrossRef] [PubMed]
- Pongracic, J.A.; O'Connor, G.T.; Muilenberg, M.L.; Vaughn, B.; Gold, D.R.; Kattan, M.; Morgan, W.J.; Gruchalla, R.S.; Smartt, E.; Mitchell, H.E. Differential effects of outdoor vs. indoor fungal spores on asthma morbidity in inner-city children. J. Allergy Clin. Immunol. 2010, 125, 593–599. [Google Scholar] [CrossRef] [PubMed]
- Inal, A.; Karakoc, G.B.; Altintas, D.U.; Pinar, M.; Ceter, T.; Yilmaz, M.; Kendirli, S.G. Effect of outdoor fungus concentrations on symptom severity of children with asthma and/or rhinitis monosensitized to molds. Asian Pac. J. Allergy Immunol. 2008, 26, 11–17. [Google Scholar] [PubMed]
- Beaumont, F.; Kauffman, H.F.; Sluiter, H.J.; De Vries, K. Sequential sampling of fungal air spores inside and outside the homes of mould-sensitive, asthmatic patients: A search for a relationship to obstructive reactions. Ann. Allergy 1985, 55, 740–746. [Google Scholar] [PubMed]
- Rothman, K.J.; Greenland, G.; Lash, T.L. Modern Epidemiology, 3rd ed.; Lippincott Williams & Wilkins: Philadelphia, PA, USA, 2008. [Google Scholar]
- Watanabe, M.; Noma, H.; Kurai, J.; Kato, K.; Sano, H.; Tatsukawa, T.; Nakazaki, H.; Yamasaki, A.; Shimizu, E. Association between pulmonary function and daily levels of sand dust particles assessed by light detection and ranging in schoolchildren in western Japan: A panel study. Allergol. Int. 2016, 65, 56–61. [Google Scholar] [CrossRef] [PubMed]
- Watanabe, M.; Noma, H.; Kurai, J.; Sano, H.; Kitano, H.; Saito, R.; Kimura, Y.; Aiba, S.; Oshimura, M.; Shimizu, E. Variation in the effect of particulate matter on pulmonary function in schoolchildren in western Japan and its relation with interleukin-8. Int. J. Environ. Res. Public Health 2015, 12, 14229–14243. [Google Scholar] [CrossRef] [PubMed]
- Delfino, R.J.; Zeiger, R.S.; Seltzer, J.M.; Street, D.H.; Matteucci, R.M.; Anderson, P.R.; Koutrakis, P. The effect of outdoor fungal spore concentrations on daily asthma severity. Environ. Health Perspect. 1997, 105, 622–635. [Google Scholar] [CrossRef] [PubMed]
- Glikson, M.; Rutherford, S.; Simpson, R.W.; Mitchell, C.A.; Yago, A. Microscopic and submicron components of atmospheric particulate matter during high asthma periods in Brisbane, Queensland, Australia. Atmos. Environ. 1995, 29, 549–562. [Google Scholar] [CrossRef]
- Watanabe, M.; Igishi, T.; Burioka, N.; Yamasaki, A.; Kurai, J.; Takeuchi, H.; Yoshida, A.; Yoneda, K.; Fukuoka, Y.; Nakamoto, M.; et al. Pollen augments the influence of desert dust on symptoms of adult asthma patients. Allergol. Int. 2011, 60, 517–524. [Google Scholar] [CrossRef] [PubMed]
- Watanabe, M.; Kurai, J.; Tomita, K.; Sano, H.; Abe, S.; Saito, R.; Minato, S.; Igishi, T.; Burioka, N.; Sako, T.; et al. Effects on asthma and induction of interleukin-8 caused by Asian dust particles collected in western Japan. J. Asthma 2014, 51, 595–602. [Google Scholar] [CrossRef] [PubMed]
- Chan-Yeung, M.; Chang, J.H.; Manfreda, J.; Ferguson, A.; Becker, A. Changes in peak flow, symptom score, and the use of medications during acute exacerbations of asthma. Am. J. Respir. Crit. Care Med. 1996, 154, 889–893. [Google Scholar] [CrossRef] [PubMed]
- Shturman-Ellstein, R.; Zeballos, R.J.; Buckley, J.M.; Souhrada, J.F. The beneficial effect of nasal breathing on exercise-induced bronchoconstriction. Am. Rev. Respir. Dis. 1978, 118, 65–73. [Google Scholar] [PubMed]
- Wiesch, D.G.; Meyers, D.A.; Bleecker, E.R. Genetics of asthma. J. Allergy Clin. Immunol. 1999, 104, 895–901. [Google Scholar] [CrossRef]
- Gerge, P.J.; Mullally, D.I.; Evans, R. National survey of prevalence of asthma among children in the United States, 1976 to 1980. Pediatrics 1988, 81, 1–7. [Google Scholar]
- Miyashita, M.; Kikuya, M.; Yamanaka, C.; Ishikuro, M.; Obara, T.; Sato, Y.; Metoki, H.; Nakaya, N.; Nagami, F.; Tomita, H.; et al. Eczema and asthma symptoms among schoolchildren in coastal and inland areas after the 2011 great east Japan earthquake: The ToMMo child health study. Tohoku J. Exp. Med. 2015, 237, 297–305. [Google Scholar] [CrossRef] [PubMed]
- Saito, A.; Takatori, M.; Takatori, K.; Taniguchi, M. Transition of airborne fungi during 20-years from 1993 to 2013 in Sagamihara. Arerugi 2015, 64, 1313–1322. [Google Scholar] [PubMed]
- Shelton, B.G.; Kirkland, K.H.; Flanders, W.D.; Morris, G.K. Profiles of airborne fungi in buildings and outdoor environments in the United States. Appl. Environ. Microbiol. 2002, 68, 1743–1753. [Google Scholar] [CrossRef] [PubMed]
- Cosentino, S.; Pisano, P.L.; Fadda, M.E.; Palmas, F. Pollen and mold allergy: Aerobiologic survey in the atmosphere of Cagliari, Italy. Ann. Allergy 1990, 5, 393–400. [Google Scholar]
- Kilic, M.; Ufuk Altintas, D.; Yilmaz, M.; Güneşer, K.S.; Bingöl, K.G.; Taskin, E.; Ceter, T.; Pinar, N.M. The effects of meteorological factors and Alternaria spore concentrations on children sensitised to Alternaria. Allergol. Immunopathol. 2010, 38, 122–128. [Google Scholar] [CrossRef] [PubMed]
- Corsico, R.; Cinti, B.; Feliziani, V.; Gallesio, M.T.; Liccardi, G.; Loreti, A.; Lugo, G.; Marcucci, F.; Marcer, G.; Meriggi, A.; et al. Prevalence of sensitization to Alternaria in allergic patients in Italy. Ann. Allergy Asthma Immunol. 1998, 80, 71–76. [Google Scholar] [CrossRef]
- Park, S.H.; Lim, D.H.; Son, B.K.; Kim, J.H.; Song, Y.E.; Oh, I.B.; Kim, Y.H.; Lee, K.H.; Kim, S.Y.; Hong, S.C. Sensitization rates of airborne pollen and mold in children. Korean J. Pediatr. 2012, 55, 322–329. [Google Scholar] [CrossRef] [PubMed]
© 2016 by the authors; licensee MDPI, Basel, Switzerland. This article is an open access article distributed under the terms and conditions of the Creative Commons Attribution (CC-BY) license (http://creativecommons.org/licenses/by/4.0/).


