The Impact of Greenspace on Thermal Comfort in a Residential Quarter of Beijing, China
Abstract
:1. Introduction
1.1. Micro-Scale Studies on the Urban Thermal Environment
1.2. Context of Urban and Residential Development of Beijing
1.3. Research Objectives
2. The Study Area and Methodology
2.1. Selection of High-Rise Residential Quarter for Case Study
2.2. Microclimate Simulation Model
2.3. Simulation Preparation
2.4. Development of Greening Modification Scenarios
2.5. Model Validation
2.6. Calculation of Universal Thermal Climate Index (UTCI)
3. Results and Analysis
3.1. Effect of Vegetation on Air Temperature
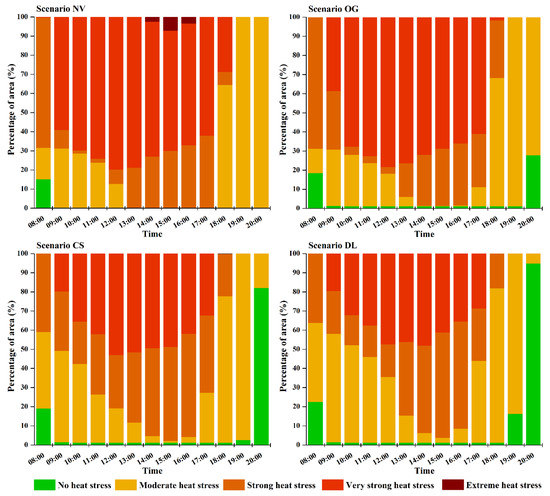
3.2. Effect of Vegetation on Thermal Sensation
4. Discussion
4.1. Issues about the Microclimate Modelling
4.2. Implications of Vegetation on Mitigating Microclimate
5. Conclusions
Acknowledgments
Author Contributions
Conflicts of Interest
References
- Oke, T.R. The Boundary Layer Climates, 2nd ed.; Methuen: London, UK; New York, NY, USA, 1987. [Google Scholar]
- Jamei, E.; Rajagopalan, P.; Seyedmahmoudian, M.; Jamei, Y. Review on the impact of urban geometry and pedestrian level greening on outdoor thermal comfort. Renew. Sustain. Energy Rev. 2016, 54, 1002–1017. [Google Scholar] [CrossRef]
- Shashua-Bar, L.; Hoffman, M.E. The green CTTC model for predicting the air temperature in small urban wooded sites. Build. Environ. 2002, 37, 1279–1288. [Google Scholar] [CrossRef]
- Jeong, S.; Yoon, S. Method to quantify the effect of apartment housing design parameters on outdoor thermal comfort in summer. Build. Environ. 2012, 53, 150–158. [Google Scholar] [CrossRef]
- Yang, X.; Li, Y. Development of a three-dimensional urban energy model for predicting and understanding surface temperature distribution. Bound.-Layer Meteorol. 2013, 149, 303–321. [Google Scholar] [CrossRef]
- Musy, M.; Malys, L.; Morille, B.; Inard, C. The use of solene-microclimat model to assess adaptation strategies at the district scale. Urban Clim. 2015, 14, 213–223. [Google Scholar] [CrossRef]
- Matzarakis, A.; Rutz, F.; Mayer, H. Modelling radiation fluxes in simple and complex environments—Application of the Rayman model. Int. J. Biometeorol. 2007, 51, 323–334. [Google Scholar] [CrossRef] [PubMed]
- Bruse, M.; Fleer, H. Simulating surface-plant-air interactions inside urban environments with a three dimensional numerical model. Environ. Modell. Softw. 1998, 13, 373–384. [Google Scholar] [CrossRef]
- Shashua-Bar, L.; Potchter, O.; Bitan, A.; Boltansky, D.; Yaakov, Y. Microclimate modelling of street tree species effects within the varied urban morphology in the mediterranean city of Tel Aviv, Israel. Int. J. Climatol. 2010, 30, 44–57. [Google Scholar] [CrossRef]
- Skelhorn, C.; Lindley, S.; Levermore, G. The impact of vegetation types on air and surface temperatures in a temperate city: A fine scale assessment in Manchester, UK. Landsc. Urban Plan. 2014, 121, 129–140. [Google Scholar] [CrossRef]
- Taleghani, M.; Kleerekoper, L.; Tenpierik, M.; van den Dobbelsteen, A. Outdoor thermal comfort within five different urban forms in The Netherlands. Build. Environ. 2015, 83, 65–78. [Google Scholar] [CrossRef]
- Lai, D.; Guo, D.; Hou, Y.; Lin, C.; Chen, Q. Studies of outdoor thermal comfort in Northern China. Build. Environ. 2014, 77, 110–118. [Google Scholar] [CrossRef]
- Yang, F.; Lau, S.S.Y.; Qian, F. Summertime heat island intensities in three high-rise housing quarters in inner-city Shanghai China: Building layout, density and greenery. Build. Environ. 2010, 45, 115–134. [Google Scholar] [CrossRef]
- Yang, F.; Lau, S.S.Y.; Qian, F. Urban design to lower summertime outdoor temperatures: An empirical study on high-rise housing in Shanghai. Build. Environ. 2011, 46, 769–785. [Google Scholar] [CrossRef]
- Giridharan, R.; Lau, S.S.Y.; Ganesanb, S.; Givoni, B. Lowering the outdoor temperature in high-rise high-density residential developments of coastal Hong Kong: The vegetation influence. Build. Environ. 2008, 43, 1583–1595. [Google Scholar] [CrossRef]
- Wang, Z.; Zhang, L.; Zhao, J.; He, Y. Thermal comfort for naturally ventilated residential buildings in Harbin. Energy Build. 2010, 42, 2406–2415. [Google Scholar] [CrossRef]
- Lee, H.; Mayer, H.; Chen, L. Contribution of trees and grasslands to the mitigation of human heat stress in a residential district of Freiburg, Southwest Germany. Landsc. Urban Plan. 2016, 148, 37–50. [Google Scholar] [CrossRef]
- Chow, W.T.L.; Brazel, A.J. Assessing xeriscaping as a sustainable heat island mitigation approach for a desert city. Build. Environ. 2012, 47, 170–181. [Google Scholar] [CrossRef]
- Wu, W.; Zhao, S.; Zhu, C.; Jiang, J. A comparative study of urban expansion in Beijing, Tianjin and Shijiazhuang over the past three decades. Landsc. Urban Plan. 2015, 134, 93–106. [Google Scholar] [CrossRef]
- Jia, Q. Beijing Statistics Yearbook; China Statistical Press: Beijing, China, 2014.
- Wang, X.; Wang, Z.; Guo, H. The study of the urban heat island in Beijing City. Clim. Environ. Res. 2006, 11, 627–636. [Google Scholar]
- Zhang, G.; Xu, X.; Yang, Y.; Wang, J. A study of characteristics and evolution of urban heat island over Beijing and its surrounding area. J. Appl. Meteorol. Sci. 2002, 13, 43–49. [Google Scholar]
- Zhao, L.; Guo, J. Review and expectation on design of residential tower in Beijing. Urban Archit. 2008, 1, 33–36. (In Chinese) [Google Scholar]
- Åström, D.O.; Forsberg, B.; Rocklöv, J. Heat wave impact on morbidity and mortality in the elderly population: A review of recent studies. Maturitas 2011, 69, 90–105. [Google Scholar]
- Gao, J.; Sun, Y.; Liu, Q.; Zhou, M.; Lu, Y.; Li, L. Impact of extreme high temperature on mortality and regional level definition of heat wave: A multi-city study in China. Sci. Total Environ. 2015, 505, 535–544. [Google Scholar] [CrossRef] [PubMed]
- Ministry of Construction. GB 50180-1993: Code of Urban Residential Areas Planning and Design; The Ministry of Construction: Beijing, China, 2002.
- Ministry of Construction. GB 50096-2011: Design Code for Residential Buildings; The Ministry of Construction: Beijing, China, 2011.
- Grimmond, C.S.B.; Blackett, M.; Best, M.J.; Barlow, J.; Baik, J.J.; Belcher, S.E.; Bohnenstengel, S.I.; Calmet, I.; Chen, F.; Dandou, A.; et al. The international urban energy balance models comparison project: First results from phase 1. J. Appl. Meteorol. Clim. 2010, 49, 1268–1292. [Google Scholar] [CrossRef]
- Bruse, M. Envi-Met Simulation Program. Available online: http://www.envi-met.com (accessed on 14 March 2014).
- Yahia, M.W.; Johansson, E. Landscape interventions in improving thermal comfort in the hot dry city of Damascus, Syria—The example of residential spaces with detached buildings. Landsc. Urban Plan. 2014, 125, 1–16. [Google Scholar] [CrossRef]
- Mirzaei, P.A.; Haghighat, F. Approaches to study urban heat island—Abilities and limitations. Build. Environ. 2010, 45, 2192–2201. [Google Scholar] [CrossRef]
- Arnfield, A.J. Two decades of urban climate research: A review of turbulence, exchanges of energy and water, and the urban heat island. Int. J. Climatol. 2003, 23, 1–26. [Google Scholar] [CrossRef]
- Landsberg, H.E. The Urban Climate; Academic Press: New York, NY, USA, 1981. [Google Scholar]
- Jonckheere, I.; Fleck, S.; Nackaerts, K.; Muys, B.; Coppin, P.; Weiss, M.; Baret, F. Review of methods for in situ leaf area index determination: Part I. Theories, sensors and hemispherical photography. Agric. For. Meteorol. 2004, 121, 19–35. [Google Scholar] [CrossRef]
- Lalic, B.; Mihailovic, D.T. An empirical relation describing leaf-area density inside the forest for environmental modelling. J. Appl. Meteorol. Clim. 2004, 43, 641–645. [Google Scholar] [CrossRef]
- Duarte, D.H.S.; Shinzato, P.; Gusson, C.D.S.; Alves, C.A. The impact of vegetation on urban microclimate to counterbalance built density in a subtropical changing climate. Urban Clim. 2015, 14, 224–239. [Google Scholar] [CrossRef]
- Jendritzky, G.; de Dear, R.; Havenith, G. UTCI—Why another thermal index? Int. J. Biometeorol. 2012, 56, 421–428. [Google Scholar] [CrossRef] [PubMed]
- UTCI Universal Thermal Climate Index. Available online: http://www.utci.org/ (accessed on 22 February 2015).
- Blazejczyk, K.; Epstein, Y.; Jendritzky, G.; Staiger, H.; Tinz, B. Comparison of UTCI to selected thermal indices. Int. J. Biometeorol. 2012, 56, 515–535. [Google Scholar] [CrossRef] [PubMed]
- Memon, R.A.; Leung, D.Y.C.; Chunho, L. A review on the generation, determination and mitigation of urban heat island. J. Environ. Sci. 2008, 20, 120–128. [Google Scholar]
- Santamouris, M. Regulating the damaged thermostat of the cities—Status, impacts and mitigation challenges. Energy Build. 2015, 91, 43–56. [Google Scholar] [CrossRef]
- Taleghani, M.; Sailor, D.J.; Tenpierik, M.; Dobbelsteen, A.V.D. Thermal assessment of heat mitigation strategies: The case of Portland State University, Oregon, USA. Build. Environ. 2014, 73, 138–150. [Google Scholar] [CrossRef]
- Stewart, I.D.; Oke, T.R. Local climate zones for urban temperature studies. Bull. Am. Meteorol. Soc. 2012, 93, 1879–1900. [Google Scholar] [CrossRef]
- Stewart, I.D.; Oke, T.R.; Krayenhoff, E.S. Evaluation of the ”local climate zone” scheme using temperature observations and model simulations. Int. J. Climatol. 2014, 34, 1062–1080. [Google Scholar] [CrossRef]
- Middel, A.; Häb, K.; Brazel, A.J.; Martin, C.A.; Guhathakurta, S. Impact of urban form and design on mid-afternoon microclimate in Phoenix local climate zones. Landsc. Urban Plan. 2014, 122, 16–28. [Google Scholar] [CrossRef]
- Middel, A.; Chhetri, N.; Quay, R. Urban forestry and cool roofs: Assessment of heat mitigation strategies in Phoenix residential neighborhoods. Urban For. Urban Green. 2015, 14, 178–186. [Google Scholar] [CrossRef]
- Perini, K.; Magliocco, A. Effects of vegetation, urban density, building height, and atmospheric conditions on local temperatures and thermal comfort. Urban For. Urban Green. 2014, 13, 495–506. [Google Scholar] [CrossRef]
- Yang, X.; Li, Y. The impact of building density and building height heterogeneity on average urban albedo and street surface temperature. Build. Environ. 2015, 90, 146–156. [Google Scholar] [CrossRef]










| Items | User Input during Simulations |
|---|---|
| Simulation day | 11 August 2014 |
| Simulation time | 24 h |
| Initial temperature | 24.5 °C |
| Relative humidity 2 m aboveground | 45% |
| Wind speed | 1.5 m/s |
| Wind direction | 220° |
| Indoor temperature | 19 °C |
| Heat transmission of walls/roofs | 1.7/2.0 W/m2 respectively |
| Albedo of walls/roofs | 0.3/0.4 respectively |
| UTCI (°C) Range | Stress Category | Protective Measures |
|---|---|---|
| +9 to +26 | No thermal stress | Physiological thermoregulation is sufficient to maintain thermal comfort |
| +26 to +32 | Moderate heat stress | Drinking > 0.35 L/h of fluids is necessary |
| +32 to +38 | Strong heat stress | Drinking > 0.35 L/h of fluids is necessary. Staying in shaded places is recommended. Periodically, a reduction in physical activity is recommended |
| +38 to +46 | Very strong heat stress | Temporary use of air-conditioned rooms or staying or staying in shaded places is periodically necessary. Drinking > 0.5 L/h is necessary. Reduce physical activity |
| >46 | Extreme heat stress | Temporary body cooling is periodically necessary. Drinking > 0.5 L/h is necessary. Avoid physical activity |
© 2016 by the authors; licensee MDPI, Basel, Switzerland. This article is an open access article distributed under the terms and conditions of the Creative Commons Attribution (CC-BY) license (http://creativecommons.org/licenses/by/4.0/).
Share and Cite
Wu, Z.; Kong, F.; Wang, Y.; Sun, R.; Chen, L. The Impact of Greenspace on Thermal Comfort in a Residential Quarter of Beijing, China. Int. J. Environ. Res. Public Health 2016, 13, 1217. https://doi.org/10.3390/ijerph13121217
Wu Z, Kong F, Wang Y, Sun R, Chen L. The Impact of Greenspace on Thermal Comfort in a Residential Quarter of Beijing, China. International Journal of Environmental Research and Public Health. 2016; 13(12):1217. https://doi.org/10.3390/ijerph13121217
Chicago/Turabian StyleWu, Zhifeng, Fanhua Kong, Yening Wang, Ranhao Sun, and Liding Chen. 2016. "The Impact of Greenspace on Thermal Comfort in a Residential Quarter of Beijing, China" International Journal of Environmental Research and Public Health 13, no. 12: 1217. https://doi.org/10.3390/ijerph13121217
APA StyleWu, Z., Kong, F., Wang, Y., Sun, R., & Chen, L. (2016). The Impact of Greenspace on Thermal Comfort in a Residential Quarter of Beijing, China. International Journal of Environmental Research and Public Health, 13(12), 1217. https://doi.org/10.3390/ijerph13121217

