Biodegradation of Decabromodiphenyl Ether (BDE-209) by Crude Enzyme Extract from Pseudomonas aeruginosa
Abstract
:1. Introduction
2. Experimental Section
2.1. Chemicals
2.2. Strain and Culture Medium
2.3. Microbial Cultivation
2.4. Extraction of Crude Enzyme
2.5. Biodegradation System of BDE-209 under Optimal Conditions
2.5.1. Biodegradation System of BDE-209 by P. aeruginosa LY11
2.5.2. Biodegradation System of BDE-209 by Crude Enzyme Extract
2.6. Effects of Crude Enzyme Extract under Different Extraction Conditions
2.7. Biodegradation Characteristics of BDE-209 under Different Conditions
2.7.1. Biodegradation Characteristics of BDE-209 by P. aeruginosa LY11
2.7.2. Biodegradation Characteristics of BDE-209 by Crude Enzyme Extract
2.8. Extraction and Analytical Methods
2.9. Measurement of Degradation Efficiency and Debromination Efficiency
2.10. Statistical Analysis
3. Results and Discussion
3.1. Effects of Crude Enzyme under Different Extraction Conditions
3.1.1. Ultrasonic Power
3.1.2. pH Value
3.1.3. Extraction Time

3.1.4. Solid-Liquid Ratio
3.2. Biodegradation Characteristics of BDE-209 by P. aeruginosa LY11
3.2.1. Cell Age


3.2.2. Inoculation Amount of LY11
3.2.3. Temperature
3.2.4. pH Value
3.2.5. Initial Concentration of BDE-209
3.2.6. Biodegradation Time
3.3. Biodegradation Characteristics of BDE-209 by Crude Enzyme Extract
3.3.1. Protein Content of Crude Enzyme Extract

3.3.2. Temperature
3.3.3. pH Value
3.3.4. Initial Concentration of BDE-209
3.3.5. Biodegradation Time
3.4. The Contrast Biodegradation of BDE-209 between LY11 and Crude Enzyme Extract under Optimal Conditions
| Degradation Sample | Degradation Efficiency (%) | Debromination Efficiency (%) |
|---|---|---|
| P. aeruginosa LY11 | 85.12 ± 1.13 a | 56.03±1.37 b |
| Crude Enzyme Extract | 92.77 ± 0.51 a | 49.86±0.85 a |
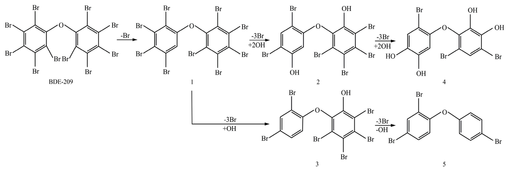
3.5. Biodegradation Mechanism of BDE-209 by Crude Enzyme Extract
| Number | Molecular Weight | Biodegradation Products | Possible Chemical Structure |
|---|---|---|---|
| 1 | 881 | 2,2′,3,3′,4,4′,5,5′,6′-Nonabromodiphenyl ether (BDE-206) | ![]() |
| 2 | 676 | 2′,5-Dihydroxy-2,3′,4,4′,5′,6′-hexabromodiphenyl ether | ![]() |
| 3 | 660 | 2′-Hydroxy-2,3′,4,4′,5′,6′-hexabromodiphenyl ether (6-OH-BDE-137) | ![]() |
| 4 | 471 | 2′,3′,4,5-Tetrahydroxy-2,4′,6′-tribromodiphenyl ether | ![]() |
| 5 | 407 | 2,4,4′-Tribromodiphenyl ether (BDE-28) | ![]() |

4. Conclusions
Acknowledgments
Author Contributions
Conflicts of Interest
References
- Reverte, I.; Domingo, J.L.; Colomina, M.T. Neurodevelopmental effects of decabromodiphenyl ether (BDE-209) in APOE transgenic mice. Neurotoxicol. Teratol. 2014, 46, 10–17. [Google Scholar] [CrossRef] [PubMed]
- Alaee, M.; Arias, P.; Sjodin, A.; Bergman, A. An overview of commercially used brominated flame retardants, their applications, their use patterns in different countries/regions and possible modes of release. Environ. Int. 2003, 29, 683–689. [Google Scholar] [CrossRef]
- Deng, D.; Tam, N.F. Isolation of microalgae tolerant to polybrominated diphenyl ethers (PBDEs) from wastewater treatment plants and their removal ability. Bioresource Technol. 2015, 177, 289–297. [Google Scholar] [CrossRef] [PubMed]
- Guyot, R.; Chatonnet, F.; Gillet, B.; Hughes, S.; Flamant, F. Toxicogenomic analysis of the ability of brominated flame retardants TBBPA and BDE-209 to disrupt thyroid hormone signaling in neural cells. Toxicology 2014, 325, 125–132. [Google Scholar] [CrossRef] [PubMed]
- Hites, R.A. Polybrominated diphenyl ethers in the environment and in people: A meta-analysis of concentrations. Environ. Sci. Technol. 2004, 38, 945–956. [Google Scholar] [CrossRef] [PubMed]
- Cousins, A.P.; Holmgren, T.; Remberger, M. Emissions of two phthalate esters and BDE 209 to indoor air and their impact on urban air quality. Sci. Total Environ. 2014, 470–471, 527–535. [Google Scholar] [CrossRef] [PubMed]
- Messer, A. Mini-review: Polybrominated diphenyl ether (PBDE) flame retardants as potential autism risk factors. Physiol. Behav. 2010, 100, 245–249. [Google Scholar] [CrossRef] [PubMed]
- Earnshaw, M.R.; Jones, K.C.; Sweetman, A.J. A first European scale multimedia fate modelling of BDE-209 from 1970 to 2020. Environ. Int. 2015, 74, 71–81. [Google Scholar] [CrossRef] [PubMed]
- Li, M.; Liu, Z.; Gu, L.; Yin, R.; Li, H.; Zhang, X.; Cao, T.; Jiang, C. Toxic effects of decabromodiphenyl ether (BDE-209) on human embryonic kidney cells. Front Genet 2014, 5, 1–7. [Google Scholar] [CrossRef] [PubMed]
- Raff, J.D.; Hites, R.A. Deposition versus photochemical removal of PBDEs from lake superior air. Environ. Sci. Technol. 2007, 41, 6725–6731. [Google Scholar] [CrossRef] [PubMed]
- Shi, J.; Qu, R.; Feng, M.; Wang, X.; Wang, L.; Yang, S.; Wang, Z. Oxidative degradation of decabromodiphenyl ether (BDE 209) by potassium permanganate: reaction pathways, kinetics, and mechanisms assisted by density functional theory calculations. Environ. Sci. Technol. 2015, 49, 4209–4217. [Google Scholar] [CrossRef] [PubMed]
- Chen, X.; Chen, G.; Qiu, M.; Sun, G.; Guo, J.; Xu, M. Synergistic degradation of deca-BDE by an enrichment culture and zero-valent iron. Environ. Sci. Pollut. R. 2014, 21, 7856–7862. [Google Scholar] [CrossRef] [PubMed]
- Xu, G.; Wang, J. Biodegradation of decabromodiphenyl ether (BDE-209) by white-rot fungus Phlebia lindtneri. Chemosphere 2014, 110, 70–77. [Google Scholar] [CrossRef] [PubMed]
- Stiborova, H.; Vrkoslavova, J.; Lovecka, P.; Pulkrabova, J.; Hradkova, P.; Hajslova, J.; Demnerova, K. Aerobic biodegradation of selected polybrominated diphenyl ethers (PBDEs) in wastewater sewage sludge. Chemosphere 2015, 118, 315–321. [Google Scholar] [CrossRef] [PubMed]
- Pan, X.; Tang, J.; Li, J.; Guo, Z.; Zhang, G. Levels and distributions of PBDEs and PCBs in sediments of the Bohai Sea, North China. J. Environ. Monitor. 2010, 12, 1234–1241. [Google Scholar] [CrossRef] [PubMed]
- Shi, G.; Yin, H.; Ye, J.; Peng, H.; Li, J.; Luo, C. Effect of cadmium ion on biodegradation of decabromodiphenyl ether (BDE-209) by Pseudomonas aeruginosa. J. Hazard. Mater. 2013, 263, 711–717. [Google Scholar] [CrossRef] [PubMed]
- Wen, X.; Jia, Y.; Li, J. Enzymatic degradation of tetracycline and oxytetracycline by crude manganese peroxidase prepared from Phanerochaete chrysosporium. J. Hazard. Mater. 2010, 177, 924–928. [Google Scholar] [CrossRef] [PubMed]
- Asgher, M.; Yasmeen, Q.; Nasir Iqbal, H.M. Development of novel enzymatic bioremediation process for textile industry effluents through response surface methodology. Ecol. Eng. 2014, 63, 1–11. [Google Scholar] [CrossRef]
- Zhang, S.B.; Zhai, H.C.; Hu, Y.S.; Wang, L.; Yu, G.H.; Huang, S.X.; Cai, J.P. A rapid detection method for microbial spoilage of agro-products based on catalase activity. Food Control 2014, 42, 220–224. [Google Scholar] [CrossRef]
- Li, C.; Zhang, D.; Guo, H.; Hao, L.; Zheng, D.; Liu, G.; Shen, J.; Tian, X.; Zhang, Q. Preparation and characterization of galactosylated bovine serum albumin nanoparticles for liver-targeted delivery of oridonin. Int. J. Pharm. 2013, 448, 79–86. [Google Scholar] [CrossRef] [PubMed]
- Ploix, M.A.; Guy, P.; Chassignole, B.; Moysan, J.; Corneloup, G.; Guerjouma, R.E. Measurement of ultrasonic scattering attenuation in austenitic stainless steel welds: Realistic input data for NDT numerical modeling. Ultrasonics 2014, 54, 1729–1736. [Google Scholar] [CrossRef] [PubMed]
- Wu, D.; Gao, T.; Yang, H.; Du, Y.; Li, C.; Wei, L.; Zhou, T.; Lu, J.; Bi, H. Simultaneous microwave/ultrasonic-assisted enzymatic extraction of antioxidant ingredients from Nitraria tangutorun Bobr. juice by-products. Ind. Crop. Prod. 2015, 66, 229–238. [Google Scholar] [CrossRef]
- Sun, Y.; Zhang, W.; Zeng, T.; Nie, Q.; Zhang, F.; Zhu, L. Hydrogen sulfide inhibits enzymatic browning of fresh-cut lotus root slices by regulating phenolic metabolism. Food Chem. 2015, 177, 376–381. [Google Scholar] [CrossRef] [PubMed]
- Jovanovic-Malinovska, R.; Kuzmanova, S.; Winkelhausen, E. Application of ultrasound for enhanced extraction of prebiotic oligosaccharides from selected fruits and vegetables. Ultrason. Sonochem. 2015, 22, 446–453. [Google Scholar] [CrossRef] [PubMed]
- Yao, L.; Schaich, K.M. Accelerated Solvent Extraction Improves Efficiency of Lipid Removal from Dry Pet Food While Limiting Lipid Oxidation. J. Am. Oil Chem. Soc. 2014, 92, 141–151. [Google Scholar] [CrossRef]
- Chen, M.; Zhang, S.; Huang, J.; Chen, H. Lead during the leaching process of copper from waste printed circuit boards by five typical ionic liquid acids. J. Clean. Prod. 2015, 95, 142–147. [Google Scholar] [CrossRef]
- Shi, G.Y.; Yin, H.; Ye, J.S.; Peng, H.; Zhang, N.; He, B.Y. Biodegradation of decabromodiphenyl ether by intracellular enzyme obtained from Pseudomonas aeruginosa. Environ. Sci. 2013, 34, 1517–1523. [Google Scholar]
- Catalán, N.; Kellerman, A.M.; Peter, H.; Carmona, F.; Tranvik, L.J. Absence of a priming effect on dissolved organic carbon degradation in lake water. Limnol. Oceanogr. 2015, 60, 159–168. [Google Scholar] [CrossRef]
- Ruhe, Z.C.; Low, D.A.; Hayes, C.S. Bacterial contact-dependent growth inhibition. Trends Microbiol. 2013, 21, 230–237. [Google Scholar] [CrossRef] [PubMed]
- Mishra, S.; Singh, S.N. Microbial degradation of n-hexadecane in mineral salt medium as mediated by degradative enzymes. Bioresource Technol. 2012, 111, 148–154. [Google Scholar] [CrossRef] [PubMed]
- Fernández-Calviño, D.; Garrido-Rodríguez, B.; Arias-Estévez, M.; Díaz-Raviña, M.; Álvarez-Rodríguez, E.; Fernández-Sanjurjo, M.J.; Nuñez-Delgado, A. Effect of crushed mussel shell addition on bacterial growth in acid polluted soils. Appl. Soil Ecol. 2015, 85, 65–68. [Google Scholar] [CrossRef]
- Top, E.M.; Springael, D. The role of mobile genetic elements in bacterial adaptation to xenobiotic organic compounds. Curr. Opin. Biotech. 2003, 14, 262–269. [Google Scholar] [CrossRef]
- Charpe, T.W.; Rathod, V.K. Biodiesel production using waste frying oil. Waste Manag. 2011, 31, 85–90. [Google Scholar] [CrossRef]
- Su, G.; Xia, J.; Liu, H.; Lam, M.H.; Yu, H.; Giesy, J.P.; Zhang, X. Dioxin-like potency of HO- and MeO-analogues of PBDEs’ the potential risk through consumption of fish from eastern China. Environ. Sci. Technol. 2012, 46, 10781–10788. [Google Scholar] [CrossRef] [PubMed]
- Routti, H.; Letcher, R.J.; Chu, S.; Bavel, B.V.; Gabrielsen, G.W. Polybrominated diphenyl ethers and their hydroxylated analogues in ringed seals (Phoca hispida) from svalbard and the baltic sea. Environ. Sci. Technol. 2009, 43, 3494–3499. [Google Scholar] [CrossRef] [PubMed]
- Legradi, J.; Dahlberg, A.K.; Cenijn, P.; Marsh, G.; Asplund, L.; Bergman, A.; Legler, J. Disruption of oxidative phosphorylation (OXPHOS) by hydroxylated polybrominated diphenyl ethers (OH-PBDEs) present in the marine environment. Environ. Sci. Technol. 2014, 48, 14703–14711. [Google Scholar] [CrossRef] [PubMed]
- Liu, W.; Cheng, F.; Li, W.; Xing, B.; Tao, S. Desorption behaviors of BDE-28 and BDE-47 from natural soils with different organic carbon contents. Environ. Pollut. 2012, 163, 235–242. [Google Scholar] [CrossRef]
© 2015 by the authors; licensee MDPI, Basel, Switzerland. This article is an open access article distributed under the terms and conditions of the Creative Commons Attribution license (http://creativecommons.org/licenses/by/4.0/).
Share and Cite
Liu, Y.; Gong, A.-J.; Qiu, L.-N.; Li, J.-R.; Li, F.-K. Biodegradation of Decabromodiphenyl Ether (BDE-209) by Crude Enzyme Extract from Pseudomonas aeruginosa. Int. J. Environ. Res. Public Health 2015, 12, 11829-11847. https://doi.org/10.3390/ijerph120911829
Liu Y, Gong A-J, Qiu L-N, Li J-R, Li F-K. Biodegradation of Decabromodiphenyl Ether (BDE-209) by Crude Enzyme Extract from Pseudomonas aeruginosa. International Journal of Environmental Research and Public Health. 2015; 12(9):11829-11847. https://doi.org/10.3390/ijerph120911829
Chicago/Turabian StyleLiu, Yu, Ai-Jun Gong, Li-Na Qiu, Jing-Rui Li, and Fu-Kai Li. 2015. "Biodegradation of Decabromodiphenyl Ether (BDE-209) by Crude Enzyme Extract from Pseudomonas aeruginosa" International Journal of Environmental Research and Public Health 12, no. 9: 11829-11847. https://doi.org/10.3390/ijerph120911829
APA StyleLiu, Y., Gong, A.-J., Qiu, L.-N., Li, J.-R., & Li, F.-K. (2015). Biodegradation of Decabromodiphenyl Ether (BDE-209) by Crude Enzyme Extract from Pseudomonas aeruginosa. International Journal of Environmental Research and Public Health, 12(9), 11829-11847. https://doi.org/10.3390/ijerph120911829






