Particulate Matter Exposure in a Police Station Located near a Highway
Abstract
:1. Introduction
| City | Pollutant | References |
|---|---|---|
| Jalgaon, India | PMresp, NOx, SOx | [25] |
| Beirut, Lebanon | VOCs | [26] |
| Tianjin, China | PAHs | [27] |
| Grenoble, France | PMresp, PAHs, and aldehydes | [31] |
| Bangkok, Thailand | PM2.5 and PM10 | [32] |
| Beijing, China | Particle and gas phase PAHs | [33] |
| Kathmandu, Nepal | PM10 | [34] |
| Jakarta, Indonesia | PM2.5, PM10, UFP, CO | [35] |
| Milan, Italy | PMresp, CO, Benzene, Toluene, Ethyl-benzene, M-P Xylene, and O Xylene | [36] |
2. Experimental Section
2.1. Description of Sampling Site

2.1.1. Police Station
| Data | Instrument | Sampling Interval | Police Station | Reference Station | |
|---|---|---|---|---|---|
| PM (8–224 nm) physical properties (#/cm3) | SMPS | 150 s | indoor | outdoor | |
| PM2.5 (μg/m3) | PQ200 | 12 h a | outdoor | outdoor | |
| PM2.5 (μg/m3) | DustTrak8520 | 60 s | indoor | outdoor | |
| CO/CO2 (ppm) | IAQ-Calc | 5 s | indoor | outdoor | |
| PM-PAHs (ng/m3) | PAS 2000 | 60 s | indoor | outdoor | |
| Meteorological data | Watch Dog 2550 | 60 s | NA | outdoor | |

2.1.2. Reference Station
2.2. Instrument Inter-Comparison and Quality Assurance
2.3. Data Analysis
3. Results
3.1. Police Station and Reference Station Overall PM Exposure
| PM2.5 (μg·m−3) | UFP dN/dlogdp (#/cm3) | PM-PAHs (ng·m−3) | CO2 (ppm) | WS (m·s−1) | Traffic (Vehicle/5 min) | ||||||
|---|---|---|---|---|---|---|---|---|---|---|---|
| RS | PS | RS | PS | RS | PS | RS | PS | RS | Toll Booth | ||
| Minimum | 35 | 60 | 2.28 × 103 | 2.94 × 103 | 0.0 | 1.10 | 462 | 465.7 | 0 | 26 | |
| 1st Quartile | 112 | 138 | 5.73 × 103 | 1.27 × 104 | 2.0 | 29.5 | 490 | 503.2 | 0.56 | 108 | |
| Median | 136 | 167 | 8.38 × 103 | 1.79 × 104 | 5.0 | 47.5 | 500 | 514.9 | 2.22 | 251 | |
| Mean | 161 | 182 | 8.75 × 103 | 1.90 × 104 | 9.43 | 54.8 | 510 | 515.6 | 3.09 | 232 | |
| 3rd Quartile | 176 | 210 | 1.05 × 104 | 2.35 × 104 | 12.0 | 73.1 | 526 | 526.6 | 4.45 | 325 | |
| Maximum | 447 | 444 | 2.64 × 104 | 9.18 × 104 | 427.0 | 255.4 | 636 | 689.0 | 16.7 | 517 | |
| Standard deviation | 79 | 77 | 3.90 × 103 | 8.94 × 103 | 15.0 | 34.3 | 23 | 17 | 3.15 | 121 | |
3.2. GLM Statistical Analysis of PM Exposure Level in the Police Station
3.2.1. PM Exposure Level during the Whole Measurement Period
3.2.2. PM Exposure Level during Downwind Conditions
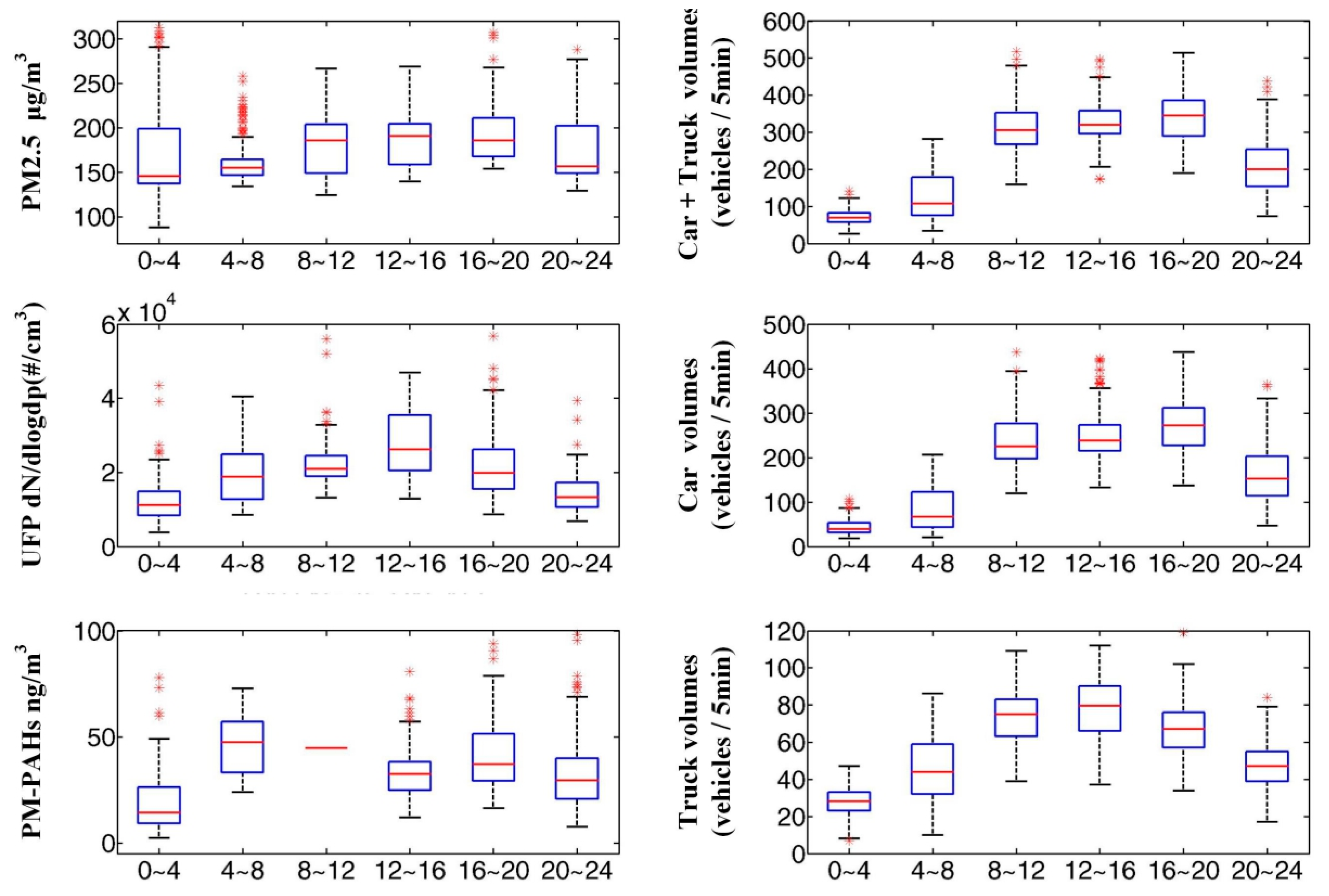
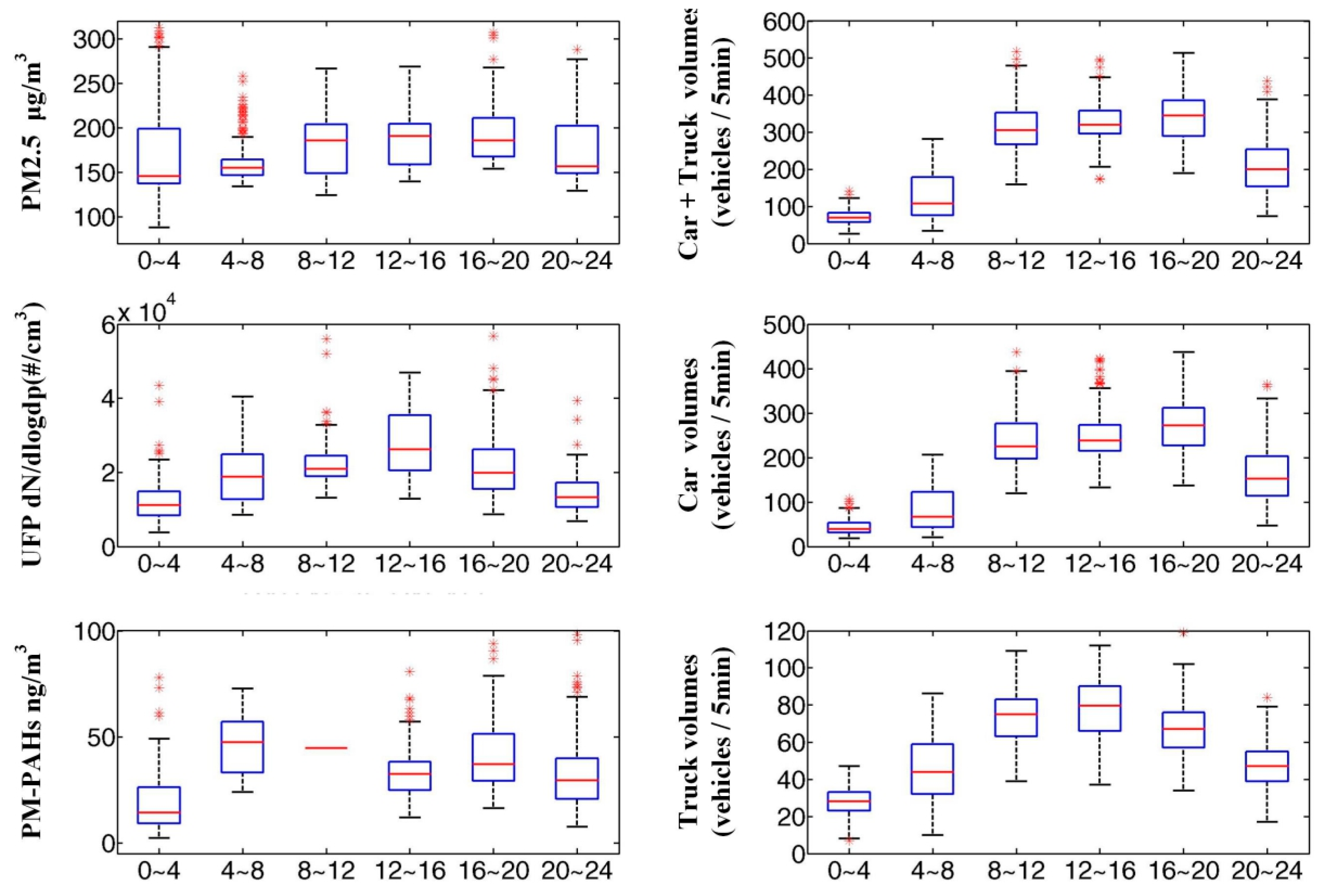
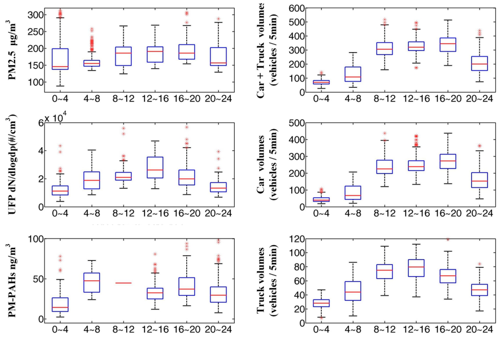
3.3. Police Station PM Exposure on Working Shifts


3.4. Inter-Correlation of Police Station PM Concentration


4. Discussion
4.1. PM Exposure Comparison with Previous Research
4.2. Health Risk Implications
5. Conclusions
Acknowledgments
Author Contributions
Conflicts of Interest
References
- Pope, C.A.; Dockery, D.W. Health effects of fine particulate air pollution: Lines that connect. J. Air Waste Manag. Assoc. 2006, 56, 709–742. [Google Scholar] [CrossRef] [PubMed]
- Fang, S.C.; Cassidy, A.; Christiani, D.C. A systematic review of occupational exposure to particulate matter and cardiovascular disease. Int. J. Environ. Res. Public Health 2010, 7, 1773–1806. [Google Scholar] [CrossRef] [PubMed]
- Laden, F.; Schwartz, J.; Speizer, F.E.; Dockery, D.W. Reduction in fine particulate air pollution and mortality—Extended follow-up of the harvard six cities study. Am. J. Respir. Crit. Care Med. 2006, 173, 667–672. [Google Scholar] [CrossRef] [PubMed]
- Dockery, D.W.; Pope, C.A.; Xu, X.P.; Spengler, J.D.; Ware, J.H.; Fay, M.E.; Ferris, B.G.; Speizer, F.E. An association between air-pollution and mortality in 6 united-states cities. N. Engl. J. Med. 1993, 329, 1753–1759. [Google Scholar] [CrossRef] [PubMed]
- Donaldson, K.; Brown, D.; Clouter, A.; Duffin, R.; MacNee, W.; Renwick, L.; Tran, L.; Stone, V. The pulmonary toxicology of ultrafine particles. J. Aerosol Med. Depos. Clear. Eff. Lung 2002, 15, 213–220. [Google Scholar] [CrossRef] [PubMed]
- Oberdorster, G. Pulmonary effects of inhaled ultrafine particles. Int. Arch. Occup. Environ. Health 2001, 74, 1–8. [Google Scholar] [CrossRef] [PubMed]
- Chang, C.C.; Chen, C.Y.; Chiu, H.F.; Dai, S.X.; Liu, M.Y.; Yang, C.Y. Elastases from inflammatory and dendritic cells mediate ultrafine carbon black induced acute lung destruction in mice. Inhal. Toxicol. 2011, 23, 616–626. [Google Scholar] [CrossRef] [PubMed]
- Oberdorster, G.; Oberdorster, E.; Oberdorster, J. Nanotoxicology: An emerging discipline evolving from studies of ultrafine particles. Environ. Health Perspect. 2005, 113, 823–839. [Google Scholar] [CrossRef] [PubMed]
- Garcia-Suastegui, W.A.; Huerta-Chagoya, A.; Carrasco-Colin, K.L.; Pratt, M.M.; John, K.; Petrosyan, P.; Rubio, J.; Poirier, M.C.; Gonsebatt, M.E. Seasonal variations in the levels of PAH-DNA adducts in young adults living in Mexico city. Mutagenesis 2011, 26, 385–391. [Google Scholar] [CrossRef] [PubMed]
- Gunter, M.J.; Divi, R.L.; Kulldorff, M.; Vermeulen, R.; Haverkos, K.J.; Kuo, M.M.; Strickland, P.; Poirier, M.C.; Rothman, N.; Sinha, R. Leukocyte polycyclic aromatic hydrocarbon-DNA adduct formation and colorectal adenoma. Carcinogenesis 2007, 28, 1426–1429. [Google Scholar] [CrossRef] [PubMed]
- Zhang, Y.X.; Tao, S.; Shen, H.Z.; Ma, J.M. Inhalation exposure to ambient polycyclic aromatic hydrocarbons and lung cancer risk of Chinese population. Proc. Natl. Acad. Sci. USA 2009, 106, 21063–21067. [Google Scholar] [CrossRef] [PubMed]
- Lewtas, J.; Lewis, C.; Zweidinger, R.; Stevens, R.; Cupitt, L. Sources of genotoxicity and cancer risk in ambient air. Pharmacogenetics 1992, 2, 288–296. [Google Scholar] [CrossRef] [PubMed]
- Masiol, M.; Hofer, A.; Squizzato, S.; Piazza, R.; Rampazzo, G.; Pavoni, B. Carcinogenic and mutagenic risk associated to airborne particle-phase polycyclic aromatic hydrocarbons: A source apportionment. Atmos. Environ. 2012, 60, 375–382. [Google Scholar] [CrossRef]
- Mantis, J.; Chaloulakou, A.; Samara, C. PM10-bound polycyclic aromatic hydrocarbons (PAHs) in the greater area of Athens, Greece. Chemosphere 2005, 59, 593–604. [Google Scholar] [CrossRef] [PubMed]
- Zhu, Y.F.; Hinds, W.C.; Kim, S.; Sioutas, C. Concentration and size distribution of ultrafine particles near a major highway. J. Air Waste Manag. Assoc. 2002, 52, 1032–1042. [Google Scholar] [CrossRef] [PubMed]
- Kleeman, M.J.; Schauer, J.J.; Cass, G.R. Size and composition distribution of fine particulate matter emitted from motor vehicles. Environ. Sci. Technol. 2000, 34, 1132–1142. [Google Scholar] [CrossRef]
- Hagler, G.S.W.; Lin, M.Y.; Khlystov, A.; Baldauf, R.W.; Isakov, V.; Faircloth, J.; Jackson, L.E. Field investigation of roadside vegetative and structural barrier impact on near-road ultrafine particle concentrations under a variety of wind conditions. Sci. Total Environ. 2012, 419, 7–15. [Google Scholar] [CrossRef] [PubMed]
- Batterman, S.; Ganguly, R.; Harbin, P. High resolution spatial and temporal mapping of traffic-related air pollutants. Int. J. Environ. Res. Public Health 2015, 12, 3646–3666. [Google Scholar] [CrossRef] [PubMed]
- Meier, R.; Cascio, W.E.; Danuser, B.; Riediker, M. Exposure of highway maintenance workers to fine particulate matter and noise. Ann. Occup. Hyg. 2013, 57, 992–1004. [Google Scholar] [CrossRef] [PubMed][Green Version]
- Meier, R.; Cascio, W.E.; Ghio, A.J.; Wild, P.; Danuser, B.; Riediker, M. Associations of short-term particle and noise exposures with markers of cardiovascular and respiratory health among highway maintenance workers. Environ. Health Perspect. 2014, 122, 726–732. [Google Scholar] [CrossRef] [PubMed]
- Chung, M.; Wang, D.D.; Rizzo, A.M.; Gachette, D.; Delnord, M.; Parambi, R.; Kang, C.M.; Brugge, D. Association of PNC, BC, and PM2.5 measured at a central monitoring site with blood pressure in a predominantly near highway population. Int. J. Environ. Res. Public Health 2015, 12, 2765–2780. [Google Scholar] [CrossRef] [PubMed]
- Cheng, Y.H.; Huang, C.H.; Huang, H.L.; Tsai, C.J. Concentrations of ultrafine particles at a highway toll collection booth and exposure implications for toll collectors. Sci. Total Environ. 2010, 409, 364–369. [Google Scholar] [CrossRef] [PubMed]
- Lai, C.H.; Liou, S.H.; Shih, T.S.; Tsai, P.J.; Chen, H.L.; Chang, Y.C.; Buckley, T.J.; Strickland, P.; Jaakkola, J.J.K. Exposure to fine particulate matter (PM2.5) among highway toll station workers in Taipei: Direct and indirect exposure assessment. Arch. Environ. Health 2004, 59, 138–148. [Google Scholar] [CrossRef] [PubMed]
- Tsai, P.J.; Shih, T.S.; Chen, H.L.; Lee, W.J.; Lai, C.H.; Liou, S.H. Urinary 1-hydroxypyrene as an indicator for assessing the exposures of booth attendants of a highway toll station to polycyclic aromatic hydrocarbons. Environ. Sci. Technol. 2004, 38, 56–61. [Google Scholar] [CrossRef] [PubMed]
- Ingle, S.T.; Pachpande, B.G.; Wagh, N.D.; Patel, V.S.; Attarde, S.B. Exposure to vehicular pollution and respiratory impairment of traffic policemen in Jalgaon City, India. Ind. Health 2005, 43, 656–662. [Google Scholar] [CrossRef] [PubMed]
- Borgie, M.; Garat, A.; Cazier, F.; Delbende, A.; Allorge, D.; Ledoux, F.; Courcot, D.; Shirali, P.; Dagher, Z. Traffic-related air pollution. A pilot exposure assessment in Beirut, Lebanon. Chemosphere 2014, 96, 122–128. [Google Scholar] [CrossRef] [PubMed]
- Hu, Y.D.; Bai, Z.P.; Zhang, L.W.; Wang, X.; Zhang, L.; Yu, Q.C.; Zhu, T. Health risk assessment for traffic policemen exposed to polycyclic aromatic hydrocarbons (PAHs) in Tianjin, China. Sci. Total Environ. 2007, 382, 240–250. [Google Scholar] [CrossRef] [PubMed]
- Olvera, H.A.; Lopez, M.; Guerrero, V.; Garcia, H.; Li, W.W. Ultrafine particle levels at an international port of entry between the us and Mexico: Exposure implications for users, workers, and neighbors. J. Expo. Sci. Environ. Epidemiol. 2013, 23, 289–298. [Google Scholar] [CrossRef] [PubMed]
- Ronkko, T.; Pirjola, L.; Ntziachristos, L.; Heikkila, J.; Karjalainen, P.; Hillamo, R.; Keskinen, J. Vehicle engines produce exhaust nanoparticles even when not fueled. Environ. Sci. Technol. 2014, 48, 2043–2050. [Google Scholar] [CrossRef] [PubMed]
- Tan, P.; Mu, Z.; Lou, D. Exhaust particle number of vehicle diesel engine during transient operating conditions. J. Mech. Eng. 2012, 48, 134–140. [Google Scholar] [CrossRef]
- Maitre, A.; Soulat, J.M.; Masclet, P.; Stoklov, M.; Marques, M.; de Gaudemaris, R. Exposure to carcinogenic air pollutants among policemen working close to traffic in an urban area. Scand. J. Work Environ. Health 2002, 28, 402–410. [Google Scholar] [CrossRef] [PubMed]
- Jinsart, W.; Tamura, K.; Loetkamonwit, S.; Thepanondh, S.; Karita, K.; Yano, E. Roadside particulate air pollution in Bangkok. J. Air Waste Manag. Assoc. 2002, 52, 1102–1110. [Google Scholar] [CrossRef] [PubMed][Green Version]
- Zhang, W.-T.; Dou, H.; Liu, Y.-N.; Zhang, X.-L.; Tao, S. Exposure of traffic police in Haidian district to PAHs. Huanjing Kexue 2006, 27, 224–227. [Google Scholar] [PubMed]
- Majumder, A.K.; Islam, K.M.N.; Bajracharya, R.M.; Carter, W.S. Assessment of occupational and ambient air quality of traffic police personnel of the Kathmandu valley, Nepal; in view of atmospheric particulate matter concentrations (PM10). Atmos. Pollut. Res. 2012, 3, 132–142. [Google Scholar] [CrossRef]
- Both, A.F.; Westerdahl, D.; Fruin, S.; Haryanto, B.; Marshall, J.D. Exposure to carbon monoxide, fine particle mass, and ultrafine particle number in Jakarta, Indonesia: Effect of commute mode. Sci. Total Environ. 2013, 443, 965–972. [Google Scholar] [CrossRef] [PubMed]
- Cattaneo, A.; Taronna, M.; Consonni, D.; Angius, S.; Costamagna, P.; Cavallo, D.M. Personal exposure of traffic police officers to particulate matter, carbon monoxide, and benzene in the city of Milan, Italy. J. Occup. Environ. Hyg. 2010, 7, 342–351. [Google Scholar] [CrossRef] [PubMed]
- Savitzky, A.; Golay, M.J.E. Smoothing + differentiation of data by simplified least squares procedures. Anal. Chem. 1964, 36, 1627–1639. [Google Scholar] [CrossRef]
- Niessner, R. The chemical response of the photoelectric aerosol sensor (PAS) to different aerosol systems. J. Aerosol Sci. 1986, 17, 705–714. [Google Scholar] [CrossRef]
- Horemans, B.; van Grieken, R. Speciation and diurnal variation of thoracic, fine thoracic and sub-micrometer airborne particulate matter at naturally ventilated office environments. Atmos. Environ. 2010, 44, 1497–1505. [Google Scholar] [CrossRef]
- Bathmanabhan, S.; Madanayak, S.N.S. Analysis and interpretation of particulate matter-PM10, PM2.5 and PM1 emissions from the heterogeneous traffic near an urban roadway. Atmos. Pollut. Res. 2010, 1, 184–194. [Google Scholar] [CrossRef]
- Janhall, S.; Jonsson, A.M.; Molnar, P.; Svensson, E.A.; Hallquist, M. Size resolved traffic emission factors of submicrometer particles. Atmos. Environ. 2004, 38, 4331–4340. [Google Scholar] [CrossRef]
- Kittelson, D.B.; Watts, W.F.; Johnson, J.P. Nanoparticle emissions on Minnesota highways. Atmos. Environ. 2004, 38, 9–19. [Google Scholar] [CrossRef]
- Baldauf, R.; Watkins, N.; Heist, D.; Bailey, C.; Rowley, P.; Shores, R. Near-road air quality monitoring: Factors affecting network design and interpretation of data. Air Qual. Atmos. Health 2009, 2, 1–9. [Google Scholar] [CrossRef]
- Huang, C.; Lou, D.M.; Hu, Z.Y.; Feng, Q.; Chen, Y.R.; Chen, C.H.; Tan, P.Q.; Yao, D. A PEMS study of the emissions of gaseous pollutants and ultrafine particles from gasoline- and diesel-fueled vehicles. Atmos. Environ. 2013, 77, 703–710. [Google Scholar] [CrossRef]
- Miguel, A.H.; Kirchstetter, T.W.; Harley, R.A.; Hering, S.V. On-road emissions of particulate polycyclic aromatic hydrocarbons and black carbon from gasoline and diesel vehicles. Environ. Sci. Technol. 1998, 32, 450–455. [Google Scholar] [CrossRef]
- Yanosky, J.D.; Williams, P.L.; MacIntosh, D.L. A comparison of two direct-reading aerosol monitors with the federal reference method for PM2.5 in indoor air. Atmos. Environ. 2002, 36, 107–113. [Google Scholar] [CrossRef]
- Cheng, Y.H.; Lin, Y.L.; Liu, C.C. Levels of PM10 and PM2.5 in Taipei rapid transit system. Atmos. Environ. 2008, 42, 7242–7249. [Google Scholar] [CrossRef]
- Chung, A.; Chang, D.P.Y.; Kleeman, M.J.; Perry, K.D.; Cahill, T.A.; Dutcher, D.; McDougall, E.M.; Stroud, K. Comparison of real-time instruments used to monitor airborne particulate matter. J. Air Waste Manag. Assoc. 2001, 51, 109–120. [Google Scholar] [CrossRef] [PubMed]
- Fuller, C.H.; Brugge, D.; Williams, P.L.; Mittleman, M.A.; Durant, J.L.; Spengler, J.D. Estimation of ultrafine particle concentrations at near-highway residences using data from local and central monitors. Atmos. Environ. 2012, 57, 257–265. [Google Scholar] [CrossRef] [PubMed]
- Reche, C.; Viana, M.; Rivas, I.; Bouso, L.; Alvarez-Pedrerol, M.; Alastuey, A.; Sunyer, J.; Querol, X. Outdoor and indoor ufp in primary schools across Barcelona. Sci.Total Environ. 2014, 493, 943–953. [Google Scholar] [CrossRef] [PubMed]
- Wu, Z.J.; Hu, M.; Lin, P.; Liu, S.; Wehner, B.; Wiedensohler, A. Particle number size distribution in the urban atmosphere of Beijing, China. Atmos. Environ. 2008, 42, 7967–7980. [Google Scholar] [CrossRef]
- Hussein, T.; Hameri, K.A.; Aalto, P.P.; Paatero, P.; Kulmala, M. Modal structure and spatial-temporal variations of urban and suburban aerosols in Helsinki—Finland. Atmos. Environ. 2005, 39, 1655–1668. [Google Scholar] [CrossRef]
© 2015 by the authors; licensee MDPI, Basel, Switzerland. This article is an open access article distributed under the terms and conditions of the Creative Commons Attribution license (http://creativecommons.org/licenses/by/4.0/).
Share and Cite
Chen, Y.-C.; Hsu, C.-K.; Wang, C.C.; Tsai, P.-J.; Wang, C.-Y.; Chen, M.-R.; Lin, M.-Y. Particulate Matter Exposure in a Police Station Located near a Highway. Int. J. Environ. Res. Public Health 2015, 12, 14541-14556. https://doi.org/10.3390/ijerph121114541
Chen Y-C, Hsu C-K, Wang CC, Tsai P-J, Wang C-Y, Chen M-R, Lin M-Y. Particulate Matter Exposure in a Police Station Located near a Highway. International Journal of Environmental Research and Public Health. 2015; 12(11):14541-14556. https://doi.org/10.3390/ijerph121114541
Chicago/Turabian StyleChen, Yu-Cheng, Chin-Kai Hsu, Chia C. Wang, Perng-Jy Tsai, Chun-Yuan Wang, Mei-Ru Chen, and Ming-Yeng Lin. 2015. "Particulate Matter Exposure in a Police Station Located near a Highway" International Journal of Environmental Research and Public Health 12, no. 11: 14541-14556. https://doi.org/10.3390/ijerph121114541
APA StyleChen, Y.-C., Hsu, C.-K., Wang, C. C., Tsai, P.-J., Wang, C.-Y., Chen, M.-R., & Lin, M.-Y. (2015). Particulate Matter Exposure in a Police Station Located near a Highway. International Journal of Environmental Research and Public Health, 12(11), 14541-14556. https://doi.org/10.3390/ijerph121114541
