Abstract
Two new briarane-related diterpenoids, designated as excavatoids E (1) and F (2), were isolated from the cultured octocoral Briareum excavatum. The structures of compounds 1 and 2 were established on the basis of extensive spectral data analysis. Briaranes 1 and 2 were found to exhibit moderate inhibitory effects on elastase release by human neutrophils.
1. Introduction
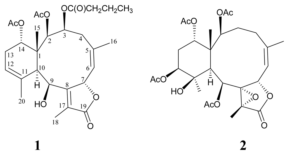
In our continuing research on chemical constituents of marine invertebrates collected in Taiwan waters, a series of interesting and complex briarane-type diterpenoid derivatives (3,8-cyclized cembranoids), have been isolated from the octocorals belonging to the genus Briareum [1–21], Ellisella [18,22–25], and Junceella [16,26–38], and the compounds of this type were proven to possess various interesting bioactivities [39–41]. Because of its interesting and potential chemical constituents and a series of new briarane metabolites, including briaexcavatins I-Z [16–20] and excavatoids A-D [21] (Figure 1), the octocoral B. excavatum was transplanted to the National Museum of Marine Biology & Aquarium (NMMBA), Taiwan. We report herein the isolation, structure determination, and bioactivity of two new briaranes, excavatoids E (1) and F (2) (Figure 2), resulting from further studies on the chemical constituents of cultured B. excavatum. The structures of compounds 1 and 2 were established by extensive spectroscopic methods and these two metabolites have displayed moderate inhibitory effects on elastase release by human neutrophils.
Figure 1.
The Structures of Excavatoids A-D.
Figure 2.
The Structures of Excavatoids E (1) and F (2).
2. Results and Discussion
Excavatoid E (1) was obtained as a white powder and the molecular formula of 1 was determined to be C28H38O9 by analysis of 13C- and 1H-NMR data, in conjunction with DEPT results (Table 1); this conclusion was further confirmed by HRESIMS with m/z 541.2415 (calcd. for C28H38O9Na, 541.2413). This showed that 1 contained 10 degrees of unsaturation. Comparison of the 1H and DEPT data with the molecular formula indicated that there must be an exchangeable proton, requiring the presence of a hydroxy group, and this deduction was supported by a broad band in the IR spectrum at 3,463 cm−1. The IR absorptions of 1 also showed the presence of α,β-unsaturated γ-lactone (1,743 cm−1) and ester (1,740 cm−1) groups. From the 13C-NMR spectrum (Table 1), compound 1 was found to possess an n-butyryloxy group (δC 13.6, q; 18.0, t; 35.9, t; 172.3, s); two acetoxy groups (δC 21.2, q; 20.9, q; 170.4, s; 169.1, s), a γ-lactone moiety (δC 173.9, s, C-19), a tetrasubstituted olefin (δC 160.8, s, C-8; 127.6, s, C-17), and two disubstituted olefins (δC 141.9, s, C-5; 123.9, d, CH-6; 130.5, s, C-11; 123.4, d, CH-12). Thus, from the above data, seven degrees of unsaturation were accounted for, and compound 1 must be tricyclic.
Table 1.
1H and 13C-NMR data for Diterpenoids 1 and 2.
Moreover, a methyl singlet (δH 1.36, 3H, s, H3-15), three vinyl methyls (δH 2.01, 3H, s, H3-18; 1.85, 3H, s, H3-16; 1.64, 3H, s, H3-20), two pairs of methylene protons (δH 3.46, 1H, dd, J = 15.6, 6.0 Hz; 2.04, 1H, d, J = 15.6 Hz, H2-4; 2.57, 1H, br d, J = 18.4 Hz; 2.15, 1H, m, H2-13), an aliphatic methine proton (δH 3.25, 1H, br s, H-10), five oxymethine protons (δH 6.07, 1H, d, J = 8.8 Hz, H-7; 5.45, 1H, d, J = 2.4 Hz, H-2; 5.08, 1H, dd, J = 6.0, 6.0 Hz, H-14; 4.98, 1H, br s, H-9; 4.98, 1H, dd, J = 6.0, 2.4 Hz, H-3), two olefin protons (δH 5.58, 1H, br s, H-12; 5.21, 1H, d, J = 8.8 Hz, H-6), and two acetyl methyls (δH 2.12, 3H, s; 1.99, 3H, s) were observed in the 1H-NMR spectrum of 1. An n-butyryl group (δH 0.94, 3H, t, J = 7.6 Hz; 1.61, 2H, m; 2.22, 2H, t, J = 7.6 Hz) was also observed in the 1H-NMR spectrum and further confirmed by the 1H-1H COSY correlations and coupling constant analysis.
The gross structure of 1 was elucidated with the assistance of 2D NMR studies. From the 1H-1H COSY experiment of 1 (Table 2), it was possible to establish the separate spin systems that map out the proton sequences from H-2/3/4, H-6/7, and H-9/10. These data, together with the HMBC correlations between H-2/C-1, −3, −4; H-3/C-1; H2-4/C-3, −5, −6; H-6/C-4; H-7/C-5, −6, −8; H-9/C-1, −8; and H-10/C-9, established the connectivity from C-1 to C-10 in the 10-membered ring (Table 2). The vinyl methyl groups attached at C-5 and C-11 were confirmed by the HMBC correlations between H3-16/C-4, −5, −6; and H3-20/C-10, −11, −12, and further supported by the allylic couplings between H-6/H3-16 and H-12/H3-20, respectively. The vinyl methyl group attached at C-17 was also established by the HMBC correlations between H3-18 and C-8, −17, −19. The methylcyclohexene ring, which is fused to the 10-membered ring at C-1 and C-10, was elucidated by the 1H-1H COSY correlations between H-12/H2-13/H-14 and by the HMBC correlations between H-2/C-14; H-10/C-11; H-14/C-1, −2; and H3-20/C-10. The ring junction C-15 methyl group was positioned at C-1 from the HMBC correlations between H-2/C-15; H-14/C-15; and H3-15/C-1, −2, −10, −14. In addition, the HMBC correlations also revealed that two acetates should attach at C-2 and C-14, respectively. The remaining n-butyryloxy and hydroxy groups were positioned at C-3 and C-9 as indicated by analysis of 1H-1H COSY correlations and characteristic NMR signals analysis, although no HMBC correlation was observed between H-3 and the n-butyrate carbonyl.
Table 2.
The 1H-1H COSY and HMBC (H→C) Correlations for Diterpenoids 1 and 2.
Based on previous studies, all naturally occurring briarane-type diterpenoids have the C-15 methyl group trans to H-10, and these two groups are assigned as β- and α-oriented, respectively, as shown in most briarane derivatives [42–44]. The relative stereochemistry of 1 was established from a NOESY experiment (Figure 3), in which the NOE correlations of H-10 with H-3 and H-9; and H-3 with H-2, indicated that these protons are situated on the same face and were assigned as α protons since the C-15 methyl is the β-substituent at C-1. H-14 was found to exhibit a correlation with H3-15 but not with H-10, revealing the β-orientation of this proton. One of the C-4 methylene protons (δH 3.46) exhibited a correlation with H3-15 and was assigned as H-4β, while the other was denoted as H-4α (δH 2.04). A correlation observed between H-4β and H-7, reflected the β-orientation of H-7. The NOESY spectrum showed correlations of H-6/H3-16 and H-12/H3-20, revealing the Z geometry of C-5/6 and C-11/12 double bonds in 1.
Figure 3.
Selected NOE Correlations of 1.
The molecular formula of excavatoid F (2) was determined as C28H38O12 by its HRESIMS (m/z 589.2257, calcd. for C28H38O12Na, 589.2261). The IR spectrum showed bands at 3,487, 1,779, and 1,737 cm−1, consistent with the presence in 2 of hydroxy, γ-lactone, and ester groups. From the 13C-NMR data of 2 (Table 1), a trisubstituted olefin was deduced from the signals of two carbons at δC 146.2 (s, C-5) and 117.6 (d, CH-6). A methyl-containing tetrasubstituted epoxy group was confirmed from the signals of two quaternary oxygenated carbons at δC 70.6 (s, C-8) and 64.5 (s, C-17), and from the chemical shifts of a tertiary methyl group (δH 1.73, 3H, s, H3-18; δC 10.3, q, CH3-18) (Table 1). Moreover, five carbonyl resonances appeared at δC 170.9 (s, C-19), 170.6, 170.5, 169.5, and 168.1 (4 × s, ester carbonyls), confirming the presence of a γ-lactone and four esters in 2. All the esters were identified as acetates by the presence of methyl resonances in the 1H-NMR spectrum at δH 2.19, 2.07, 2.05, and 2.00 (each 3H × s).
The planar structure of 2 was determined mainly by 2D NMR studies. The coupling information in the 1H-1H COSY spectrum of 2 enabled identification of the proton sequences H-2/3/4, H-4/6 (by allylic coupling), H-6/7, H-6/H3-16 (by allylic coupling), H-9/10, and H-12/13/14 (Table 2). These data, together with the correlations observed in an HMBC experiment of 2 (Table 2), the molecular framework of 2 could be further established. The HMBC correlations also indicated that the acetoxy groups should attach at C-2, −9, −12, and C-14. Thus, the remaining hydroxy group has to be positioned at C-11, as indicated by characteristic NMR signal analysis. The relative stereochemistry of 2 was elucidated from the NOE interactions observed in a NOESY experiment (Figure 4). In the NOESY spectrum of 2, correlations were observed between H-10 with H-2, −9, −12, and H3-20, indicating that these protons should be positioned on the α face in 2 and Me-20 was positioned on the equatorial direction in the methylcyclohexane ring of 2. One proton attaching at C-3 (δH 2.65) was found to exhibit a correlation with H3-15 and was assigned as H-3β proton. H-7 showed a correlation with H-3β, confirming the β-orientation for this proton. Furthermore, H3-18 was found to show correlations with H-9, H3-20, and H-7, and from molecular models, was found to be reasonably closed to H-9, H3-20, and H-7; therefore, H3-18 should be placed on the β face in the γ-lactone ring of 2. The Z-configuration of the C-5/C-6 double bond was elucidated by an interaction between H-6 (δH 5.25) and H3-16 (δH 2.02). On the basis of the above results, the structure of 2, including the relative configuration, was elucidated.
Figure 4.
Selected NOE Correlations of 2.
In previous study, several diterpenoid derivatives of potential medical interest were isolated from a cultured gorgonian coral Erythropodium caribaeorum [45]. Because all corals are claimed to be threatened species, we wanted to maintain and culture these interesting specimens as sources of new and interesting natural products in our continuing search for novel substances from marine organisms originally collected in Taiwan waters, in the hope of identifying extracts that exhibit bioactivity. Briaranes 1 and 2 displayed moderate inhibitory effects on elastase release by neutrophils, and briarane 1 exhibited weak inhibitory effects on superoxide anion generation by human neutrophils at 10 μg/mL, respectively (Table 3). Furthermore, these two compounds were not cytotoxic toward the CCRF-CEM (human T-cell acute lymphoblastic leukemia) and DLD-1 (human colon adenocarcinoma) cells (ED50 > 40 μg/mL). The possible bioactivity for these two compounds will be further studied if we can obtain enough material from the cultured B. excavatum in the future.
Table 3.
Inhibitory Effects of Compounds 1 and 2 on Elastase Release and Superoxide Anion Generation by Human Neutrophils in Response to fMet-Leu-Phe/Cytochalastin B.
3. Experimental Section
3.1. General Experimental Procedures
Melting points were determined on a Fargo apparatus and were uncorrected. Optical rotation values were measured with a JASCO P-1010 digital polarimeter at 25 °C. Infrared spectra were obtained on a Varian Digilab FTS 1000 FT-IR spectrometer. The NMR spectra were recorded on a Varian Mercury Plus 400 FT-NMR at 400 MHz for 1H and 100 MHz for 13C, in CDCl3, respectively. Proton chemical shifts were referenced to the residual CHCl3 signal (δ 7.26 ppm). 13C-NMR spectra were referenced to the center peak of CDCl3 at δ 77.1 ppm. ESIMS and HRESIMS data were recorded on a Bruker APEX II mass spectrometer. Column chromatography was performed on silica gel (230–400 mesh, Merck, Darmstadt, Germany). TLC was carried out on precoated Kieselgel 60 F254 (0.25 mm, Merck) and spots were visualized by spraying with 10% H2SO4 solution followed by heating. HPLC was performed using a system comprised of a Hitachi L-7100 pump, a Hitachi photodiode array detector L-7455, and a Rheodyne 7725 injection port. A semi-preparative reverse phase column (Hibar 250 × 10 mm, LiChrospher 100 RP-18e, 5 μm, Merck) was used for HPLC.
3.2. Animal Material
Specimens of the octocoral Briareum excavatum were collected and transplanted to a 0.6-ton cultivating tank located in the NMMBA, Taiwan, in December 2003, and the material for this research work was collected from the tank in December 2006. This organism was identified by comparison with previous descriptions [46–48]. A voucher specimen was deposited in the National Museum of Marine Biology & Aquarium, Taiwan (NMMBA-CSC-001).
3.3. Extraction and Isolation
The freeze-dried and minced material of B. excavatum (wet weight 672 g, dry weight 270 g) was extracted with a mixture of MeOH and CH2Cl2 (1:1) at room temperature. The residue was partitioned between EtOAc and H2O. The EtOAc layer was separated on Sephadex LH-20 and eluted using MeOH/CH2Cl2 (2:1) to yield three fractions A-C. Fraction C was separated on silica gel and eluted using hexane/EtOAc (stepwise, 20:1-pure EtOAc) to yield fractions 1–9. Fraction C7 was separated by reverse phase HPLC, using the mixtures of MeOH, CH3CN, and H2O to afford briaranes 1 (2.9 mg, 65/1/34) and 2 (1.2 mg, 62/1/37).
Excavatoid E (1): white powder; mp 192–193 °C; [α]D25 + 2 (c 0.15, CHCl3); IR (neat) νmax 3,463, 1,743, 1,737 cm−1; 13C-NMR (CDCl3, 100 MHz) and 1H-NMR (CDCl3, 400 MHz) data, see Table 1; ESIMS m/z 541 (M + Na)+; HRESIMS m/z 541.2415 (calcd. for C28H38O9Na, 541.2413).
Excavatoid F (2): white powder; mp 164–165 °C; [α]D25 −16 (c 0.06, CHCl3); IR (neat) νmax 3,487, 1,779, 1,737 cm−1; 13C-NMR (CDCl3, 100 MHz) and 1H-NMR (CDCl3, 400 MHz) data, see Table 1; ESIMS m/z 589 (M + Na)+; HRESIMS m/z 589.2257 (calcd. for C28H38O12Na, 589.2261).
3.4. Human Neutrophil Superoxide Anion Generation and Elastase Release
Human neutrophils were obtained by means of dextran sedimentation and Ficoll centrifugation. Superoxide generation was carried out according to the procedures described previously [49,50]. Briefly, superoxide anion production was assayed by monitoring the superoxide dismutase-inhibitable reduction of ferricytochrome c. Elastase release experiments were performed using MeO-Suc-Ala-Ala-Pro-Valp-nitroanilide as the elastase substrate.
Acknowledgements
This study was supported by grants from the NMMBA (Grant No. 981001101); NDHU; APORC, NSYSU; and NSTPBP, National Science Council (NSC 97-2323-B-291-001, 98-2323-B-291-001, and 98-2320-B-291-001), Taiwan, awarded to P.-J. Sung.
- Sample Availability: Not available.
References
- Sheu, J-H; Sung, P-J; Huang, L-H; Lee, S-F; Wu, T; Chang, B-Y; Duh, C-Y; Fang, L-S; Soong, K; Lee, T-J. New cytotoxic briaran diterpenes from the Formosan gorgonian Briareum sp. J Nat Prod 1996, 59, 935–938. [Google Scholar]
- Sheu, J-H; Sung, P-J; Cheng, M-C; Liu, H-Y; Fang, L-S; Duh, C-Y; Chiang, MY. Novel cytotoxic diterpenes, excavatolides A-E, isolated from the Formosan gorgonian Briareum excavatum. J Nat Prod 1998, 61, 602–608. [Google Scholar]
- Sung, P-J; Su, J-H; Wang, G-H; Lin, S-F; Duh, C-Y; Sheu, J-H. Excavatolides F-M, new briarane diterpenes from the gorgonian Briareum excavatum. J Nat Prod 1999, 62, 457–463. [Google Scholar]
- Sheu, J-H; Sung, P-J; Su, J-H; Wang, G-H; Duh, C-Y; Shen, Y-C; Chiang, MY; Chen, I-T. Excavatolides U-Z, new briarane diterpenes from the gorgonian Briareum excavatum. J Nat Prod 1999, 62, 1415–1420. [Google Scholar]
- Sheu, J-H; Sung, P-J; Su, J-H; Liu, H-Y; Duh, C-Y; Chiang, MY. Briaexcavatolides A-J, new diterpenes from the gorgonian Briareum excavatum. Tetrahedron 1999, 55, 14555–14564. [Google Scholar]
- Sung, P-J; Su, J-H; Duh, C-Y; Chiang, MY; Sheu, J-H. Briaexcavatolides K-N, new briarane diterpenes from the gorgonian Briareum excavatum. J Nat Prod 2001, 64, 318–323. [Google Scholar]
- Wu, S-L; Sung, P-J; Chiang, MY; Wu, J-Y; Sheu, J-H. New polyoxygenated briarane diterpenoids, briaexcavatolides O-R, from the gorgonian Briareum excavatum. J Nat Prod 2001, 64, 1415–1420. [Google Scholar]
- Wu, S-L; Sung, P-J; Su, J-H; Sheu, J-H. Briaexcavatolides S-V, four new briaranes from a Formosan gorgonian Briareum excavatum. J Nat Prod 2003, 66, 1252–1256. [Google Scholar]
- Wu, S-L; Sung, P-J; Su, J-H; Wang, G-H; Sheu, J-H. Briaexcavatolide W, a new diterpenoid from Briareum excavatum. Heterocycles 2004, 63, 895–898. [Google Scholar]
- Sung, P-J; Hu, W-P; Wu, S-L; Su, J-H; Fang, L-S; Wang, J-J; Sheu, J-H. Briaexcavatolides X-Z, three new briarane-related derivatives from the gorgonian coral Briareum excavatum. Tetrahedron 2004, 60, 8975–8979. [Google Scholar]
- Sung, P-J; Hu, W-P; Fang, L-S; Fan, T-Y; Wang, J-J. Briarenol A, a new diterpenoid from a gorgonian Briareum sp. (Briareidae). Nat Prod Res 2005, 19, 689–694. [Google Scholar]
- Sung, P-J; Chao, C-H; Chen, Y-P; Su, J-H; Hu, W-P; Sheu, J-H. Briaexcavatins A and B, novel briaranes from the octocoral Briareum excavatum. Tetrahedron Lett 2006, 47, 167–170. [Google Scholar]
- Sung, P-J; Chen, Y-P; Hwang, T-L; Hu, W-P; Fang, L-S; Wu, Y-C; Li, J-J; Sheu, J-H. Briaexcavatins C-F, four new briarane-related diterpenoids from the Formosan octocoral Briareum excavatum (Briareidae). Tetrahedron 2006, 62, 5686–5691. [Google Scholar]
- Chen, Y-P; Wu, S-L; Su, J-H; Lin, M-R; Hu, W-P; Hwang, T-L; Sheu, J-H; Fan, T-Y; Fang, L-S; Sung, P-J. Briaexcavatins G and H, two new briaranes from the octocoral Briareum excavatum. Bull Chem Soc Jpn 2006, 79, 1900–1905. [Google Scholar]
- Su, J-H; Sung, P-J; Kuo, Y-H; Hsu, C-H; Sheu, J-H. Briarenolides A-C, briarane diterpenoids from the gorgonian coral Briareum sp. Tetrahedron 2007, 63, 8282–8285. [Google Scholar]
- Sung, P-J; Lin, M-R; Su, Y-D; Chiang, MY; Hu, W-P; Su, J-H; Cheng, M-C; Hwang, T-L; Sheu, J-H. New briaranes from the octocorals Briareum excavatum (Briareidae) and Junceella fragilis (Ellisellidae). Tetrahedron 2008, 64, 2596–2604. [Google Scholar]
- Sung, P-J; Lin, M-R; Hwang, T-L; Fan, T-Y; Su, W-C; Ho, C-C; Fang, L-S; Wang, W-H. Briaexcavatins M-P, four new briarane-related diterpenoids from cultured octocoral Briareum excavatum (Briareidae). Chem Pharm Bull 2008, 56, 930–935. [Google Scholar]
- Hwang, T-L; Lin, M-R; Tsai, W-T; Yeh, H-C; Hu, W-P; Sheu, J-H; Sung, P-J. New polyoxygenated briaranes from octocorals Briareum excavatum and Ellisella robusta. Bull Chem Soc Jpn 2008, 81, 1638–1646. [Google Scholar]
- Sung, P-J; Lin, M-R; Chiang, MY. The structure and absolute stereochemistry of briaexcavatin U, a new chlorinated briarane from a cultured octocoral Briareum excavatum. Chem Lett 2009, 38, 154–155. [Google Scholar]
- Sung, P-J; Lin, M-R; Chiang, MY; Hwang, T-L. Briaexcavatins V-Z, discovery of new briaranes from a cultured octocoral Briareum excavatum. Bull Chem Soc Jpn 2009, 82, 987–996. [Google Scholar]
- Sung, P-J; Su, Y-D; Li, G-Y; Chiang, MY; Lin, M-R; Huang, I-C; Li, J-J; Fang, L-S; Wang, W-H. Excavatoids A-D, new polyoxygenated briaranes from the octocoral Briareum excavatum. Tetrahedron 2009, 65, 6918–6924. [Google Scholar]
- Sung, P-J; Tsai, W-T; Chiang, MY; Su, Y-M; Kuo, J. Robustolides A-C, three new briarane-type diterpenoids from the female gorgonian coral Ellisella robusta (Ellisellidae). Tetrahedron 2007, 63, 7582–7588. [Google Scholar]
- Su, Y-M; Fan, T-Y; Sung, P-J. 11,20-Epoxybriaranes from the gorgonian coral Ellisella robusta (Ellisellidae). Nat Prod Res 2007, 21, 1085–1090. [Google Scholar]
- Sung, P-J; Chiang, MY; Tsai, W-T; Su, J-H; Su, Y-M; Wu, Y-C. Chlorinated briarane-type diterpenoids from the gorgonian coral Ellisella robusta (Ellisellidae). Tetrahedron 2007, 63, 12860–12865. [Google Scholar]
- Sung, P-J; Tsai, W-T; Lin, M-R; Su, Y-D; Pai, C-H; Chung, H-M; Su, J-H; Chiang, MY. Robustolides H and I, chlorinated briaranes from the gorgonian coral Ellisella robusta (Ellisellidae). Chem Lett 2008, 37, 88–89. [Google Scholar]
- Sung, P-J; Wu, S-L; Fang, H-J; Chiang, MY; Wu, J-Y; Fang, L-S; Sheu, J-H. Junceellolides E-G, new briarane diterpenes from the West Pacific Ocean gorgonian Junceella fragilis. J Nat Prod 2000, 63, 1483–1487. [Google Scholar]
- Sung, P-J; Fan, T-Y. 9-O-Deacetylumbraculolide A, a new diterpenoid from the gorgonian Junceella fragilis. Heterocycles 2003, 60, 1199–1202. [Google Scholar]
- Sung, P-J; Fan, T-Y; Fang, L-S; Sheu, J-H; Wu, S-L; Wang, G-H; Lin, M-R. Juncin N, a new briarane-type diterpenoid from the gorgonian coral Junceella juncea. Heterocycles 2003, 61, 587–592. [Google Scholar]
- Sung, P-J; Fan, T-Y; Fang, L-S; Wu, S-L; Li, J-J; Chen, M-C; Cheng, Y-M; Wang, G-H. Briarane derivatives from the gorgonian coral Junceella fragilis. Chem Pharm Bull 2003, 51, 1429–1431. [Google Scholar]
- Sung, P-J; Fan, T-Y; Chen, M-C; Fang, L-S; Lin, M-R; Chang, P-C. Junceellin and praelolide, two briaranes from the gorgonian corals Junceella fragilis and Junceella juncea (Ellisellidae). Biochem Syst Ecol 2004, 32, 111–113. [Google Scholar]
- Sung, P-J; Lin, M-R; Fang, L-S. Briarane diterpenoids from the Formosan gorgonian coral Junceella fragilis. Chem Pharm Bull 2004, 52, 1504–1506. [Google Scholar]
- Sung, P-J; Lin, M-R; Chen, W-C; Fang, L-S; Lu, C-K; Sheu, J-H. Fragilide A, a novel diterpenoid from Junceella fragilis. Bull Chem Soc Jpn 2004, 77, 1229–1230. [Google Scholar]
- Sheu, J-H; Chen, Y-P; Hwang, T-L; Chiang, MY; Fang, L-S; Sung, P-J. Junceellolides J-L, 11,20-epoxybriaranes from the gorgonian coral Junceella fragilis. J Nat Prod 2006, 69, 269–273. [Google Scholar]
- Sung, P-J; Chen, Y-P; Su, Y-M; Hwang, T-L; Hu, W-P; Fan, T-Y; Wang, W-H. Fragilide B, a novel briarane-type diterpenoid with a s-cis diene moiety. Bull Chem Soc Jpn 2007, 80, 1205–1207. [Google Scholar]
- Sung, P-J; Pai, C-H; Su, Y-D; Hwang, T-L; Kuo, F-W; Fan, T-Y; Li, J-J. New 8-hydroxy- briarane diterpenoids from the gorgonians Junceella juncea and Junceella fragilis (Ellisellidae). Tetrahedron 2008, 64, 4224–4232, (corrigendum in Tetrahedron 2008, 64, 9150). [Google Scholar]
- Sung, P-J; Pai, C-H; Hwang, T-L; Fan, T-Y; Su, J-H; Chen, J-J; Fang, L-S; Wang, W-H; Sheu, J-H. Junceols D-H, new polyoxygenated briaranes from sea whip gorgonian coral Junceella juncea (Ellisellidae). Chem Pharm Bull 2008, 56, 1276–1281. [Google Scholar]
- Sung, P-J; Li, G-Y; Chen, Y-P; Huang, I-C; Chen, B-Y; Wang, S-H; Huang, S-K. Fragilide E, a novel chlorinated 20-acetoxybriarane from the gorgonian coral Junceella fragilis. Chem Lett 2009, 38, 454–455. [Google Scholar]
- Sung, P-J; Wang, S-H; Chiang, MY; Su, Y-D; Chang, Y-C; Hu, W-P; Tai, C-Y; Liu, C-Y. Discovery of new chlorinated briaranes from Junceella fragilis. Bull Chem Soc Jpn 2009, 82. in press. [Google Scholar]
- Blunt, JW; Copp, BR; Hu, W-P; Munro, MHG; Northcote, PT; Prinsep, MR. Marine natural products. Nat Prod Rep 2009, 26, 170–244, and references cited therein. [Google Scholar]
- Berrue, F; Kerr, RG. Diterpenes from gorgonian corals. Nat Prod Rep 2009, 26, 681–710, and references cited therein. [Google Scholar]
- Hanson, JR. Diterpenoids. Nat Prod Rep 2009, 26, 1156–1171, and references cited therein. [Google Scholar]
- Sung, P-J; Sheu, J-H; Xu, J-P. Survey of briarane-type diterpenoids of marine origin. Heterocycles 2002, 57, 535–579. [Google Scholar]
- Sung, P-J; Chang, P-C; Fang, L-S; Sheu, J-H; Chen, W-C; Chen, Y-P; Lin, M-R. Survey of briarane-type diterpenoids-Part II. Heterocycles 2005, 65, 195–204. [Google Scholar]
- Sung, P-J; Chang, P-C; Fang, L-S; Sheu, J-H; Chen, W-C; Chen, Y-P; Lin, M-R. Survey of briarane-type diterpenoids-Part III. Heterocycles 2008, 75, 2627–2648. [Google Scholar]
- Taglialatela-Scafati, O; Deo-Jangra, U; Campbell, M; Roberge, M; Andersen, RJ. Diterpenoids from cultured Erythropodium caribaeorum. Org Lett 2002, 4, 4085–4088. [Google Scholar]
- Bayer, FM. Key to the genera of octocorallia exclusive of Pennatulacea (Coelenterata: anthozoa), with diagnoses of new taxa. Proc Biol Soc Wash 1981, 94, 902–947. [Google Scholar]
- Benayahu, Y; Jeng, M-S; Perkol-Finkel, S; Dai, C-F. Soft corals (Octocorallia: Alcyonacea) from southern Taiwan. II. Species diversity and distribution patterns. Zool Stud 2004, 43, 548–560. [Google Scholar]
- Fabricius, K; Alderslade, P. Soft Corals and Sea Fans–A comprehensive guide to the tropical shallow-water genera of the Central-West Pacific, the Indian Ocean and the Red Sea, 1st ed; Australian Institute of Marine Science: Queensland, Australia, 2001. [Google Scholar]
- Hwang, T-L; Li, G-L; Lan, Y-H; Chia, Y-C; Hsieh, P-W; Wu, Y-H; Wu, Y-C. Potent inhibitors of superoxide anion production in activated human neutrophils by isopedicin, a bioactive component of the Chinese medicinal herb Fissistigma oldhamii. Free Radic Biol Med 2009, 46, 520–528. [Google Scholar]
- Hwang, T-L; Su, Y-C; Chang, H-L; Leu, Y-L; Chung, P-J; Kuo, L-M; Chang, Y-J. Suppression of superoxide anion and elastase release by C18 unsaturated fatty acids in human neutrophils. J Lipid Res 2009, 50, 1395–1408. [Google Scholar]
© 2009 by the authors; licensee Molecular Diversity Preservation International, Basel, Switzerland This article is an open-access article distributed under the terms and conditions of the Creative Commons Attribution license (http://creativecommons.org/licenses/by/3.0/).



