Occurrence and Exposure Assessment of Lipophilic Shellfish Toxins in the Zhejiang Province, China
Abstract
1. Introduction
2. Results
2.1. Occurrence of LSTs
2.2. Co-Occurrence of LSTs and PSTs in Shellfish in Zhejiang Province
2.3. Dietary Exposure Assessment
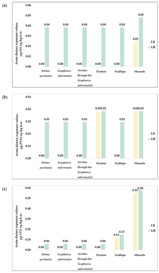
2.3.1. Acute Exposure to LSTs
2.3.2. Tolerable Duration of Non-Carcinogenic LST Exposure
2.3.3. Acute Combined Dietary Exposure to LSTs and PSTs
3. Discussion
4. Materials and Methods
4.1. Sample Preparation
4.2. Chemical Reagents
4.3. Sample Analysis
4.4. Method Validation and Quality Control
4.5. Contamination Data Processing
4.6. Food Consumption Data
4.7. Dietary Exposure Assessment
4.7.1. Acute Dietary Exposure
4.7.2. Tolerable Duration of Exposure to Non-Carcinogenic LSTs
4.7.3. Hazard Index
4.8. Statistical Analysis
5. Conclusions
Supplementary Materials
Author Contributions
Funding
Institutional Review Board Statement
Data Availability Statement
Acknowledgments
Conflicts of Interest
References
- Xiao, X.; Peng, Y.; Zhang, W.; Yang, X.; Zhang, Z.; Ren, B.; Zhu, G.; Zhou, S. Current status and prospects of algal bloom early warning technologies: A Review. J. Environ. Manag. 2024, 349, 119510. [Google Scholar] [CrossRef]
- Lavery, A.M.; Backer, L.C.; Roberts, V.A.; DeVies, J.; Daniel, J. Evaluation of Syndromic Surveillance Data for Studying Harmful Algal Bloom—Associated Illnesses—United States, 2017–2019. MMWR-Morbid Mortal Wkly. Rep. 2021, 70, 1191–1194. [Google Scholar] [CrossRef]
- He, X.; Chen, J.; Wu, D.; Wang, J.; Xin, M.; Liu, L.; Sun, P.; Wang, B. Occurrence, distribution, source, and influencing factors of lipophilic marine algal toxins in Laizhou Bay, Bohai Sea, China. Mar. Pollut. Bull. 2020, 150, 110789. [Google Scholar] [CrossRef]
- Cao, Y.; Qiu, J.; Li, A.; Zhang, L.; Yan, G.; Ji, Y.; Zhang, J.; Zhao, P.; Wu, X. Occurrence and spatial distribution of paralytic shellfish toxins in seawater and marine organisms in the coastal waters of Qinhuangdao, China. Chemosphere 2023, 315, 137746. [Google Scholar] [CrossRef]
- Liu, Y.; Yu, R.; Kong, F.; Chen, Z.; Dai, L.; Gao, Y.; Zhang, Q.; Wang, Y.; Yan, T.; Zhou, M. Paralytic shellfish toxins in phytoplankton and shellfish samples collected from the Bohai Sea, China. Mar. Pollut. Bull. 2017, 115, 324–331. [Google Scholar] [CrossRef]
- Shin, C.; Jo, H.; Kim, S.; Kang, G. Exposure assessment to paralytic shellfish toxins through the shellfish consumption in Korea. Food Res. Int. 2018, 108, 274–279. [Google Scholar] [CrossRef]
- Bengtson, N.S.; Baddock, M.C.; Takahashi, E.; Dawson, A.; Cropp, R. Domoic Acid Poisoning as a Possible Cause of Seasonal Cetacean Mass Stranding Events in Tasmania, Australia. B Environ. Contam. Toxicol. 2017, 98, 8–13. [Google Scholar] [CrossRef]
- Rossi, R.; Arace, O.; Buonomo, M.G.; Capozzo, D.; Castellano, V.; Imbimbo, S.; Soprano, V. Monitoring the Presence of Domoic Acid in the Production Areas of Bivalve Molluscs. Ital. J. Food Saf. 2016, 5, 5706. [Google Scholar] [CrossRef]
- European Food Safety Authority. Marine biotoxins in shellfish—Saxitoxin group. EFSA J. 2009, 7, 1019. [Google Scholar] [CrossRef]
- Alves, R.N.; Rambla-Alegre, M.; Braga, A.C.; Maulvault, A.L.; Barbosa, V.; Campas, M.; Reverte, L.; Flores, C.; Caixach, J.; Kilcoyne, J.; et al. Bioaccessibility of lipophilic and hydrophilic marine biotoxins in seafood: An in vitro digestion approach. Food Chem. Toxicol. 2019, 129, 153–161. [Google Scholar] [CrossRef]
- Liang, Y.; Li, A.; Chen, J.; Tan, Z.; Tong, M.; Liu, Z.; Qiu, J.; Yu, R. Progress on the investigation and monitoring of marine phycotoxins in China. Harmful Algae 2022, 111, 102152. [Google Scholar] [CrossRef]
- European Food Safety Authority. Marine biotoxins in shellfish—Domoic acid. EFSA J. 2009, 7, 1181. [Google Scholar] [CrossRef]
- Wang, Y.; Chen, J.; Li, Z.; Wang, S.; Shi, Q.; Cao, W.; Zheng, X.; Sun, C.; Wang, X.; Zheng, L. Determination of typical lipophilic marine toxins in marine sediments from three coastal bays of China using liquid chromatography-tandem mass spectrometry after accelerated solvent extraction. Mar. Pollut. Bull. 2015, 101, 954–960. [Google Scholar] [CrossRef]
- Reguera, B.; Riobo, P.; Rodriguez, F.; Diaz, P.A.; Pizarro, G.; Paz, B.; Franco, J.M.; Blanco, J. Dinophysis toxins: Causative organisms, distribution and fate in shellfish. Mar. Drugs 2014, 12, 394–461. [Google Scholar] [CrossRef]
- Qiu, J.; Chen, H.; Ji, Y.; Li, T.; Li, A. Evaluation of different strategies to minimize the matrix effects on LC-MS/MS analysis of multiple lipophilic shellfish toxins in both acidic and alkaline chromatographic conditions. Toxicon 2020, 188, 16–26. [Google Scholar] [CrossRef]
- Chen, T.; Xu, X.; Wei, J.; Chen, J.; Miu, R.; Huang, L.; Zhou, X.; Fu, Y.; Yan, R.; Wang, Z.; et al. Food-borne disease outbreak of diarrhetic shellfish poisoning due to toxic mussel consumption: The first recorded outbreak in china. PLoS ONE 2013, 8, e65049. [Google Scholar] [CrossRef]
- Li, A.; Ma, J.; Cao, J.; McCarron, P. Toxins in mussels (Mytilus galloprovincialis) associated with diarrhetic shellfish poisoning episodes in China. Toxicon 2012, 60, 420–425. [Google Scholar] [CrossRef] [PubMed]
- Diaz, P.A.; Alvarez, G.; Pizarro, G.; Blanco, J.; Reguera, B. Lipophilic Toxins in Chile: History, Producers and Impacts. Mar. Drugs 2022, 20, 122. [Google Scholar] [CrossRef]
- Farrell, H.; Ajani, P.; Murray, S.; Baker, P.; Webster, G.; Brett, S.; Zammit, A. Diarrhetic Shellfish Toxin Monitoring in Commercial Wild Harvest Bivalve Shellfish in New South Wales, Australia. Toxins 2018, 10, 446. [Google Scholar] [CrossRef]
- Trainer, V.L.; Moore, L.; Bill, B.D.; Adams, N.G.; Harrington, N.; Borchert, J.; Da, S.D.; Eberhart, B.T. Diarrhetic shellfish toxins and other lipophilic toxins of human health concern in Washington State. Mar. Drugs 2013, 11, 1815–1835. [Google Scholar] [CrossRef]
- Scoging, A.; Bahl, M. Diarrhetic shellfish poisoning in the UK. Lancet 1998, 352, 117. [Google Scholar] [CrossRef] [PubMed]
- Tamele, I.J.; Silva, M.; Vasconcelos, V. The Incidence of Marine Toxins and the Associated Seafood Poisoning Episodes in the African Countries of the Indian Ocean and the Red Sea. Toxins 2019, 11, 58. [Google Scholar] [CrossRef]
- Hallegraeff, G.M.; Anderson, D.M.; Belin, C.; Bottein, M.D.; Bresnan, E.; Chinain, M.; Enevoldsen, H.; Iwataki, M.; Karlson, B.; McKenzie, C.H.; et al. Perceived global increase in algal blooms is attributable to intensified monitoring and emerging bloom impacts. Commun. Earth Environ. 2021, 2, 117. [Google Scholar] [CrossRef] [PubMed]
- Zheng, R.; Lin, S.; Yang, Y.; Fu, W. Variability and profiles of lipophilic marine toxins in shellfish from southeastern China in 2017–2020. Toxicon 2021, 201, 37–45. [Google Scholar] [CrossRef] [PubMed]
- Wu, H.; Yao, J.; Guo, M.; Tan, Z.; Zhou, D.; Zhai, Y. Distribution of Marine Lipophilic Toxins in Shellfish Products Collected from the Chinese Market. Mar. Drugs 2015, 13, 4281–4295. [Google Scholar] [CrossRef] [PubMed]
- Chen, X.; Huang, B.; Zhao, Q.; Wang, Z.; Liu, W.; Zhang, J.; Zhou, Y.; Sun, Q.; Huang, H.; Huang, X.; et al. Shellfish contamination with lipophilic toxins and dietary exposure assessments from consumption of shellfish products in Shenzhen, China. Ecotox Environ. Safe 2021, 221, 112446. [Google Scholar] [CrossRef] [PubMed]
- Paz, B.; Riobo, P.; Franco, J.M. Preliminary study for rapid determination of phycotoxins in microalgae whole cells using matrix-assisted laser desorption/ionization time-of-flight mass spectrometry. Rapid Commun. Mass. Sp. 2011, 25, 3627–3639. [Google Scholar] [CrossRef]
- Li, A.; Sun, G.; Qiu, J.; Fan, L. Lipophilic shellfish toxins in Dinophysis caudata picked cells and in shellfish from the East China Sea. Environ. Sci. Pollut. R. 2015, 22, 3116–3126. [Google Scholar] [CrossRef] [PubMed]
- European Food Safety Authority. Marine biotoxins in shellfish—Okadaic acid and analogues—Scientific Opinion of the Panel on Contaminants in the Food chain. EFSA J. 2008, 6, 589. [Google Scholar] [CrossRef]
- European Food Safety Authority. Marine biotoxins in shellfish—Pectenotoxin group. EFSA J. 2009, 7, 1109. [Google Scholar] [CrossRef]
- Allingham, J.S.; Miles, C.O.; Rayment, I. A structural basis for regulation of actin polymerization by pectenotoxins. J. Mol. Biol. 2007, 371, 959–970. [Google Scholar] [CrossRef]
- Paz, B.; Daranas, A.H.; Norte, M.; Riobo, P.; Franco, J.M.; Fernandez, J.J. Yessotoxins, a group of marine polyether toxins: An overview. Mar. Drugs 2008, 6, 73–102. [Google Scholar] [CrossRef]
- European Food Safety Authority. Marine biotoxins in shellfish—Yessotoxin group—Scientific Opinion of the Panel on Contaminants in the Food chain. EFSA J. 2009, 7, 907. [Google Scholar] [CrossRef]
- Miles, C.O.; Wilkins, A.L.; Munday, R.; Dines, M.H.; Hawkes, A.D.; Briggs, L.R.; Sandvik, M.; Jensen, D.J.; Cooney, J.M.; Holland, P.T.; et al. Isolation of pectenotoxin-2 from Dinophysis acuta and its conversion to pectenotoxin-2 seco acid, and preliminary assessment of their acute toxicities. Toxicon 2004, 43, 1–9. [Google Scholar] [CrossRef]
- Wang, N.; Shi, L.; Kong, D.; Cai, D.; Cao, Y.; Liu, Y.; Pang, G.; Yu, R. Accumulation levels and characteristics of some pesticides in human adipose tissue samples from Southeast China. Chemosphere 2011, 84, 964–971. [Google Scholar] [CrossRef]
- Fujiki, H.; Sueoka, E.; Watanabe, T.; Suganuma, M. The concept of the okadaic acid class of tumor promoters is revived in endogenous protein inhibitors of protein phosphatase 2A, SET and CIP2A, in human cancers. J. Cancer Res. Clin. 2018, 144, 2339–2349. [Google Scholar] [CrossRef]
- Koehler, D.; Williams, F.E. Utilizing zebrafish and okadaic acid to study Alzheimer’s disease. Neural Regen. Res. 2018, 13, 1538–1541. [Google Scholar] [CrossRef]
- Kamat, P.K.; Rai, S.; Nath, C. Okadaic acid induced neurotoxicity: An emerging tool to study Alzheimer’s disease pathology. Neurotoxicology 2013, 37, 163–172. [Google Scholar] [CrossRef]
- Aune, T.; Sørby, R.; Yasumoto, T.; Ramstad, H.; Landsverk, T. Comparison of oral and intraperitoneal toxicity of yessotoxin towards mice. Toxicon 2002, 40, 77–82. [Google Scholar] [CrossRef]
- Ferreiro, S.F.; Vilarino, N.; Carrera, C.; Louzao, M.C.; Cantalapiedra, A.G.; Santamarina, G.; Cifuentes, J.M.; Vieira, A.C.; Botana, L.M. Subacute Cardiotoxicity of Yessotoxin: In Vitro and in Vivo Studies. Chem. Res. Toxicol. 2016, 29, 981–990. [Google Scholar] [CrossRef]
- He, X.; Chen, J.; Wu, D.; Sun, P.; Ma, X.; Wang, J.; Liu, L.; Chen, K.; Wang, B. Distribution Characteristics and Environmental Control Factors of Lipophilic Marine Algal Toxins in Changjiang Estuary and the Adjacent East China Sea. Toxins 2019, 11, 596. [Google Scholar] [CrossRef]
- van der Fels-Klerx, H.J.; Olesen, J.E.; Naustvoll, L.J.; Friocourt, Y.; Mengelers, M.J.; Christensen, J.H. Climate change impacts on natural toxins in food production systems, exemplified by deoxynivalenol in wheat and diarrhetic shellfish toxins. Food Addit. Contam. A 2012, 29, 1647–1659. [Google Scholar] [CrossRef]
- Diaz, P.A.; Ruiz-Villarreal, M.; Pazos, Y.; Moita, T.; Reguera, B. Climate variability and Dinophysis acuta blooms in an upwelling system. Harmful Algae 2016, 53, 145–159. [Google Scholar] [CrossRef] [PubMed]
- Vale, P. Shellfish contamination with marine biotoxins in Portugal and spring tides: A dangerous health coincidence. Environ. Sci. Pollut. R. 2020, 27, 41143–41156. [Google Scholar] [CrossRef] [PubMed]
- Whyte, C.; Swan, S.C.; Turner, A.D.; Hatfield, R.G.; Mitchell, E.; Lafferty, S.; Morrell, N.; Rowland-Pilgrim, S.; Davidson, K. The Presence of Pseudo-nitzschia australis in North Atlantic Aquaculture Sites, Implications for Monitoring Amnesic Shellfish Toxins. Toxins 2023, 15, 554. [Google Scholar] [CrossRef]
- GB 5009.212-2016; National Standard of Food Safety: Determination of Diarrhetic Shellfish Toxins in Shellfish. National Health and Family Planning Commission of the People’s Republic of China; China Food and Drug Administration: Beijing, China, 2016.
- Consolidated Text: Regulation (EC) No 853/2004 of the European Parliament and of the Council of 29 April 2004 Laying Down Specific Hygiene Rules for Food of Animal Origin. Available online: https://eur-lex.europa.eu/legal-content/EN/TXT/?uri=CELEX%3A02004R0853-20230215&qid=1712571139355 (accessed on 1 April 2024).
- European Commission. Commission Delegated Regulation (EU) 2021/1374 of 12 April 2021 amending Annex III to Regulation (EC) No 853/2004 of the European Parliament and of the Council on specific hygiene requirements for food of animal origin (Text with EEA relevance). Off. J. Eur. Union 2021, 297, 1–15. [Google Scholar]
- European Food Safety Authority; Schrenk, D.; Bignami, M.; Bodin, L.; Del Mazo, J.; Grasl-Kraupp, B.; Hogstrand, C.; Chipman, K.J.; Leblanc, J.; Nebbia, C.S.; et al. Evaluation of the shucking of certain species of scallops contaminated with lipophilic toxins with a view to the production of edible parts meeting the safety requirements foreseen in the Union legislation. EFSA J. 2021, 19, e6422. [Google Scholar] [CrossRef]
- European Food Safety Authority. Marine biotoxins in shellfish—Summary on regulated marine biotoxins. EFSA J. 2009, 7, 1306. [Google Scholar] [CrossRef]
- Tong, T.; Le, T.H.H.; Tu, B.M.; Le, D.C. Spatial and seasonal variation of diarrheic shellfish poisoning (DSP) toxins in bivalve mollusks from some coastal regions of Vietnam and assessment of potential health risks. Mar. Pollut. Bull. 2018, 133, 911–919. [Google Scholar] [CrossRef]
- Grattan, L.M.; Boushey, C.; Tracy, K.; Trainer, V.; Roberts, S.M.; Schluterman, N.; Morris, J.J. The association between razor clam consumption and memory in the CoASTAL Cohort. Harmful Algae 2016, 57, 20–25. [Google Scholar] [CrossRef]
- Lee, S.A.; Shu, X.O.; Yang, G.; Li, H.; Gao, Y.T.; Zheng, W. Animal origin foods and colorectal cancer risk: A report from the Shanghai Women’s Health Study. Nutr. Cancer 2009, 61, 194–205. [Google Scholar] [CrossRef]
- Li, Y.; Xie, Y.; Li, R.; Chang, L. Characterization of spatial and temporal distribution of red tide events in Zhejiang coastal waters. Mar. Forecast. 2021, 38, 54–60. [Google Scholar] [CrossRef]
- Fang, L.; Li, J.; Yao, X.; Yao, S.; Guo, Y.; Zhao, Y.; Jin, M. Contamination status and the evaluation of dietary exposure of marine biotoxins in seafood in Ningbo City in 2017–2019. J. Hyg. Res. 2021, 50, 296–300. [Google Scholar] [CrossRef]
- Liu, Y.; Yu, R.C.; Kong, F.Z.; Li, C.; Dai, L.; Chen, Z.F.; Geng, H.X.; Zhou, M.J. Contamination status of lipophilic marine toxins in shellfish samples from the Bohai Sea, China. Environ. Pollut. 2019, 249, 171–180. [Google Scholar] [CrossRef]
- Jiang, S.; Zhang, C. Pollution analysis and dietary exposure risk assessment of lipophilic toxins in shellfish from Beibu Gulf seafood market in Guangxi Province. South China Fish. Sci. 2023, 19, 158–167. [Google Scholar] [CrossRef]
- Zhou, Z.X.; Yu, R.C.; Zhou, M.J. Resolving the complex relationship between harmful algal blooms and environmental factors in the coastal waters adjacent to the Changjiang River estuary. Harmful Algae 2017, 62, 60–72. [Google Scholar] [CrossRef] [PubMed]
- Weng, Q.; Zhang, R.; Wu, P.; Chen, J.; Pan, X.; Zhao, D.; Wang, J.; Zhang, H.; Qi, X.; Wu, X.; et al. An Occurrence and Exposure Assessment of Paralytic Shellfish Toxins from Shellfish in Zhejiang Province, China. Toxins 2023, 15, 624. [Google Scholar] [CrossRef]
- Bureau of Fisheries, Ministry of Agriculture and Rural Affairs of the People’s Republic of China; National Fisheries Technology Extension Center (NFTEC); China Society of Fisheries (CSF). China Fishery Statistical Yearbook—2019; China Agriculture Press: Beijing, China, 2018; p. 27. [Google Scholar]
- Zheng, R.; Yang, Y.; Zhang, W.; Hua, Y. Contamination status of paralytic shellfish toxins in shellfish from Southeastern China in 2017–2021. Environ. Sci. Pollut. R. 2023, 30, 34728–34740. [Google Scholar] [CrossRef] [PubMed]
- Stobo, L.A.; Lacaze, J.P.; Scott, A.C.; Petrie, J.; Turrell, E.A. Surveillance of algal toxins in shellfish from Scottish waters. Toxicon 2008, 51, 635–648. [Google Scholar] [CrossRef]
- Talic, S.; Skobic, D.; Dedic, A.; Nazlic, N.; Ujevic, I.; Ivankovic, A.; Pavela-Vrancic, M. The occurrence of lipophilic toxins in shellfish from the Middle Adriatic Sea. Toxicon 2020, 186, 19–25. [Google Scholar] [CrossRef]
- Goya, A.B.; Baqer, D.; Alexander, R.P.; Stubbs, P.; Dean, K.; Lewis, A.M.; Coates, L.; Maskrey, B.H.; Turner, A.D. Marine Biotoxins in Whole and Processed Scallops from the Argentine Sea. Mar. Drugs 2022, 20, 634. [Google Scholar] [CrossRef]
- Yang, H.; Liu, B.; Zhao, H.; Wang, H.; Qin, W.; Chang, F. Investigation on lipophilic shellfish poison in seafood sold of Hebei province. J. Food Saf. Qual. 2021, 12, 1741–1745. [Google Scholar] [CrossRef]
- Dhanji-Rapkova, M.; O’Neill, A.; Maskrey, B.H.; Coates, L.; Swan, S.C.; Teixeira, A.M.; Kelly, R.J.; Hatfield, R.G.; Rowland-Pilgrim, S.J.; Lewis, A.M.; et al. Variability and profiles of lipophilic toxins in bivalves from Great Britain during five and a half years of monitoring: Azaspiracids and yessotoxins. Harmful Algae 2019, 87, 101629. [Google Scholar] [CrossRef]
- Young, N.; Robin, C.; Kwiatkowska, R.; Beck, C.; Mellon, D.; Edwards, P.; Turner, J.; Nicholls, P.; Fearby, G.; Lewis, D.; et al. Outbreak of diarrhetic shellfish poisoning associated with consumption of mussels, United Kingdom, May to June 2019. Eurosurveillance 2019, 24, 1900513. [Google Scholar] [CrossRef]
- Suzuki, T.; Mitsuya, T. Comparison of dinophysistoxin-1 and esterified dinophysistoxin-1 (dinophysistoxin-3) contents in the scallop Patinopecten yessoensis and the mussel Mytilus galloprovincialis. Toxicon 2001, 39, 905–908. [Google Scholar] [CrossRef]
- Vale, P.; Sampayo, M.A. Seasonality of diarrhetic shellfish poisoning at a coastal lagoon in Portugal: Rainfall patterns and folk wisdom. Toxicon 2003, 41, 187–197. [Google Scholar] [CrossRef]
- Rourke, W.A.; Justason, A.; Martin, J.L.; Murphy, C.J. Shellfish Toxin Uptake and Depuration in Multiple Atlantic Canadian Molluscan Species: Application to Selection of Sentinel Species in Monitoring Programs. Toxins 2021, 13, 168. [Google Scholar] [CrossRef]
- Lee, K.J.; Mok, J.S.; Song, K.C.; Yu, H.; Jung, J.H.; Kim, J.H. Geographical and annual variation in lipophilic shellfish toxins from oysters and mussels along the south coast of Korea. J. Food Protect. 2011, 74, 2127–2133. [Google Scholar] [CrossRef]
- Resources, Z.P.D.O. 2019 Marine Disaster Bulletin of Zhejiang Province. Available online: https://zrzyt.zj.gov.cn/art/2020/5/27/art_1289933_43538689.html (accessed on 27 May 2020).
- Resources, Z.P.D.O. 2018 Marine Disaster Bulletin of Zhejiang Province. Available online: https://zrzyt.zj.gov.cn/art/2019/5/12/art_1289933_43537795.html (accessed on 12 May 2019).
- Li, X.; Li, Z.; Chen, J.; Shi, Q.; Zhang, R.; Wang, S.; Wang, X. Detection, occurrence and monthly variations of typical lipophilic marine toxins associated with diarrhetic shellfish poisoning in the coastal seawater of Qingdao City, China. Chemosphere 2014, 111, 560–567. [Google Scholar] [CrossRef]
- Boundy, M.J.; Harwood, D.T.; Kiermeier, A.; McLeod, C.; Nicolas, J.; Finch, S. Risk Assessment of Pectenotoxins in New Zealand Bivalve Molluscan Shellfish, 2009–2019. Toxins 2020, 12, 776. [Google Scholar] [CrossRef] [PubMed]
- Manita, D.; Alves, R.N.; Braga, A.C.; Fogaca, F.; Marques, A.; Costa, P.R. In vitro bioaccessibility of the marine biotoxins okadaic acid, dinophysistoxin-2 and their 7-O-acyl fatty acid ester derivatives in raw and steamed shellfish. Food Chem. Toxicol. 2017, 101, 121–127. [Google Scholar] [CrossRef] [PubMed]
- Braga, A.C.; Alves, R.N.; Maulvault, A.L.; Barbosa, V.; Marques, A.; Costa, P.R. In vitro bioaccessibility of the marine biotoxin okadaic acid in shellfish. Food Chem. Toxicol. 2016, 89, 54–59. [Google Scholar] [CrossRef] [PubMed]
- Rodriguez, L.P.; Gonzalez, V.; Martinez, A.; Paz, B.; Lago, J.; Cordeiro, V.; Blanco, L.; Vieites, J.M.; Cabado, A.G. Occurrence of lipophilic marine toxins in shellfish from Galicia (NW of Spain) and synergies among them. Mar. Drugs 2015, 13, 1666–1687. [Google Scholar] [CrossRef]
- Ferron, P.J.; Dumazeau, K.; Beaulieu, J.F.; Le Hegarat, L.; Fessard, V. Combined Effects of Lipophilic Phycotoxins (Okadaic Acid, Azapsiracid-1 and Yessotoxin) on Human Intestinal Cells Models. Toxins 2016, 8, 50. [Google Scholar] [CrossRef]
- Song, W. List of Acceptable Daily Intakes and Acute Reference Doses of Pesticides Evaluated by the Joint Meeting on Pesticide Residues. Pestic. Sci. Adm. 2009, 30, 12–17. [Google Scholar]
- Food and Agriculture Organization of the United Nations. Pest and Pesticide Management—List of Pesticides evaluated by JMPR and JMPS. Available online: https://www.fao.org/pest-and-pesticide-management/guidelines-standards/faowho-joint-meeting-on-pesticide-residues-jmpr/pesticides-evaluated-by-jmpr-jmps/en/ (accessed on 27 March 2024).
- Arya, R.; Antonisamy, B.; Kumar, S. Sample size estimation in prevalence studies. Indian. J. Pediatr. 2012, 79, 1482–1488. [Google Scholar] [CrossRef]
- European Food Safety Authority. Management of left-censored data in dietary exposure assessment of chemical substances. EFSA J. 2010, 8, 1557. [Google Scholar] [CrossRef]
- WHO; Food and Agriculture Organization of the United Nations. Dietary exposure assessment of chemicals in food, Chapter 6. In Principles and Methods for the Risk Assessment of Chemicals in Food; Environmental Health Criteria; WHO: Geneva, Switzerland, 2009; Volume 240. [Google Scholar]
- Zhang, Y.; Wang, M.; Silipunyo, T.; Huang, H.; Yin, Q.; Han, B.; Wang, M. Risk Assessment of Triflumezopyrim and Imidacloprid in Rice through an Evaluation of Residual Data. Molecules 2022, 27, 5685. [Google Scholar] [CrossRef]
- Ahmed, M.K.; Shaheen, N.; Islam, M.S.; Habibullah-al-Mamun, M.; Islam, S.; Mohiduzzaman, M.; Bhattacharjee, L. Dietary intake of trace elements from highly consumed cultured fish (Labeo rohita, Pangasius pangasius and Oreochromis mossambicus) and human health risk implications in Bangladesh. Chemosphere 2015, 128, 284–292. [Google Scholar] [CrossRef]
- U.S. Environmental Protection Agency. Regional Screening Levels (RSLs)—User’s Guide. Available online: https://www.epa.gov/risk/regional-screening-levels-rsls-users-guide#target (accessed on 31 November 2023).
- Zhou, H.; Yan, Z.; Wu, A.; Liu, N. Mycotoxins in Tea (Camellia sinensis (L.) Kuntze): Contamination and Dietary Exposure Profiling in the Chinese Population. Toxins 2022, 14, 452. [Google Scholar] [CrossRef]

| Individual LSTs | N 1 | Concentration Range (<LOD–Max, µg/kg) |
|---|---|---|
| OA | 4 | <10–16 |
| DTX1 | 4 | <10–16.5 |
| DTX2 | 0 | ND 2 |
| PTX2 | 2 | <10–13 |
| YTX | 3 | <20–80.6 |
| HomoYTX | 79 | <20–373 |
| Scenario | Age (Years) | N | Body Weight | P95 Shellfish Consumption (g/d) | Dietary Exposure LB 4–UB 5 (µg/kg b.w.) | %ARfD 6 LB–UB (%) | ||||
|---|---|---|---|---|---|---|---|---|---|---|
| OA | PTX2 | YTX | OA | PTX2 | YTX | |||||
| Scenario 1 1 | All | 1075 | 57.9 | 85.5 | 0.02–0.05 | 0.02 | 0.55–0.58 | 8.1–16.0 | 2.4 | 2.2–2.3 |
| ≤6 | 50 | 19.2 | 64.0 | 0.05–0.11 | 0.04 | 1.24–1.31 | 18.3–36.0 | 5.4 | 5.0–5.2 | |
| 7–13 | 83 | 35.4 | 58.5 | 0.03–0.05 | 0.02 | 0.62–0.65 | 9.1–17.9 | 2.7 | 2.5–2.6 | |
| 14–17 | 22 | 57.7 | 78.9 | 0.02–0.04 | 0.02 | 0.51–0.54 | 7.5–14.8 | 2.2 | 2.0–2.1 | |
| 18–59 | 817 | 62.0 | 92.0 | 0.02–0.05 | 0.02 | 0.55–0.58 | 8.2–16.1 | 2.4 | 2.2–2.3 | |
| ≥60 | 103 | 62.2 | 71.0 | 0.02–0.04 | 0.01 | 0.43–0.45 | 6.3–12.4 | 1.9 | 1.7–1.8 | |
| Scenario 2 2 | Adult | - | 60.0 | 400.0 | 0.11–0.22 | 0.09 | 2.49–2.62 | 36.7–72.2 | 10.8 | 9.9–10.5 |
| Scenario 3 3 | All | - | 58.5 | 88.0 | 0.02–0.05 | 0.02 | 0.56–0.59 | 8.3–16.3 | 2.4 | 2.2–2.4 |
| Toxin Group | Scenario | Mean Contamination Data | Consumption Data | Exposure Duration (Years) | |
|---|---|---|---|---|---|
| Values (µg/kg) | Type | Values (g/d) | |||
| OA | Scenario 1 1 | 0.2 (LB 3)–26.0 (UB 4) | mean | 2.8 | 19.7–2839.3 |
| Scenario 2 2 | P95 | 11.4 | 4.9–700.4 | ||
| PTX2 | Scenario 1 | 0.05 (LB)–10.0 (UB) | mean | 2.8 | 136.7–28,742.4 |
| Scenario 2 | P95 | 11.4 | 33.7–7090.5 | ||
| YTX | Scenario 1 | 13.4 (LB)–50.4 (UB) | mean | 2.8 | 848.3–3186.2 |
| Scenario 2 | P95 | 11.4 | 209.3–786 | ||
| Age (Years) | HI (%) for LSTs 1 LB 2–UB 3 | HI (%) for LSTs Plus PSTs 4 LB–UB | ||
|---|---|---|---|---|
| Scenario 1 5 | Scenario 2 6 | Scenario 1 | Scenario 2 | |
| All | 12.7–20.7 | 0.5–15.2 | 68.7–106.7 | 2.5–55.2 |
| ≤6 | 28.7–46.6 | 1.1–34.3 | 152.7–240.6 | 3.1–124.3 |
| 7–13 | 14.3–23.2 | 0.5–17.1 | 76.3–119.2 | 2.5–61.1 |
| 14–17 | 11.7–19.1 | 0.4–14.0 | 63.7–99.1 | 0.4–50.0 |
| 18–59 | 12.8–20.8 | 0.5–15.4 | 68.8–106.8 | 2.5–55.4 |
| ≥60 | 9.9–16.1 | 0.4–11.8 | 51.9–82.1 | 0.4–41.8 |
| Toxin Group | Toxin | TEF 1 | Regulatory Limit 2 |
|---|---|---|---|
| OA | OA * | 1 | 160 µg OA eq./kg |
| DTX1 | 1 | ||
| DTX2 | 0.6 | ||
| PTX | PTX2 * | 1 | deregulated |
| YTX | YTX * | 1 | 3.75 mg YTX eq./kg |
| HomoYTX | 1 |
Disclaimer/Publisher’s Note: The statements, opinions and data contained in all publications are solely those of the individual author(s) and contributor(s) and not of MDPI and/or the editor(s). MDPI and/or the editor(s) disclaim responsibility for any injury to people or property resulting from any ideas, methods, instructions or products referred to in the content. |
© 2024 by the authors. Licensee MDPI, Basel, Switzerland. This article is an open access article distributed under the terms and conditions of the Creative Commons Attribution (CC BY) license (https://creativecommons.org/licenses/by/4.0/).
Share and Cite
Weng, Q.; Zhang, R.; Wu, P.; Chen, J.; Pan, X.; Zheng, C.; Zhao, D.; Wang, J.; Zhang, H.; Qi, X.; et al. Occurrence and Exposure Assessment of Lipophilic Shellfish Toxins in the Zhejiang Province, China. Mar. Drugs 2024, 22, 239. https://doi.org/10.3390/md22060239
Weng Q, Zhang R, Wu P, Chen J, Pan X, Zheng C, Zhao D, Wang J, Zhang H, Qi X, et al. Occurrence and Exposure Assessment of Lipophilic Shellfish Toxins in the Zhejiang Province, China. Marine Drugs. 2024; 22(6):239. https://doi.org/10.3390/md22060239
Chicago/Turabian StyleWeng, Qin, Ronghua Zhang, Pinggu Wu, Jiang Chen, Xiaodong Pan, Chenyang Zheng, Dong Zhao, Jikai Wang, Hexiang Zhang, Xiaojuan Qi, and et al. 2024. "Occurrence and Exposure Assessment of Lipophilic Shellfish Toxins in the Zhejiang Province, China" Marine Drugs 22, no. 6: 239. https://doi.org/10.3390/md22060239
APA StyleWeng, Q., Zhang, R., Wu, P., Chen, J., Pan, X., Zheng, C., Zhao, D., Wang, J., Zhang, H., Qi, X., Han, J., Lu, Z., & Zhou, B. (2024). Occurrence and Exposure Assessment of Lipophilic Shellfish Toxins in the Zhejiang Province, China. Marine Drugs, 22(6), 239. https://doi.org/10.3390/md22060239

