Anti-Inflammatory Halogenated Monoterpenes from the Red Alga Portieria hornemannii
Abstract
:1. Introduction
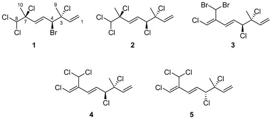
2. Results
3. Materials and Methods
3.1. General Experimental Procedures
3.2. Plant Material
3.3. Extraction and Isolation
3.4. Crystallographic Data for 1
3.5. Quantum Chemical Calculations
3.6. Anti-Inflammatory Assay
4. Conclusions
Supplementary Materials
Author Contributions
Funding
Institutional Review Board Statement
Informed Consent Statement
Data Availability Statement
Acknowledgments
Conflicts of Interest
References
- Gribble, G.W. Naturally occurring organohalogen compounds. Acc. Chem. Res. 1998, 31, 141–152. [Google Scholar] [CrossRef]
- Wang, T.; Jónsdóttir, R.; Kristinsson, H.G.; Hreggvidsson, G.O.; Jónsson, J.Ó.; Thorkelsson, G.; Ólafsdóttir, G. Enzyme-enhanced extraction of antioxidant ingredients from red algae Palmaria palmata. Food Sci. Technol. 2010, 43, 1387–1393. [Google Scholar] [CrossRef]
- Burreson, B.J.; Woolard, F.X.; Moore, R.E. Chondrocole A and B. Two halogenated dimethyl-hexahydrobenzofurans from the red algae Chondrococcus hornemannii (Mertens) Schmitz. Tetrahedron Lett. 1975, 26, 2155–2158. [Google Scholar] [CrossRef]
- Gunatilaka, A.A.L.; Paul, V.J.; Park, P.U.; Puglisi, M.P.; Gitler, A.D.; Eggleston, D.S.; Haltiwanger, R.C.; Kingston, D.G. Apakaochtodenes A and B: Two tetrahalogenated monoterpenes from the red marine alga Portieria hornemannii. J. Nat. Prod. 1999, 62, 1376–1378. [Google Scholar] [CrossRef]
- Faulkner, D.J. Marine natural products: Metabolites of marine algae and herbivorous marine molluscs. Nat. Prod. Rep. 1984, 1, 251–280. [Google Scholar] [CrossRef]
- Paul, V.J.; McConnell, O.J.; Fenical, W. Cyclic monoterpenoid feeding deterrents from the red alga Ochtodes crockeri. J. Org. Chem. 1980, 45, 3401–3407. [Google Scholar] [CrossRef]
- Naylor, S.; Hanke, F.J.; Manes, L.V.; Crews, P. Chemical and biological aspects of marine monoterpenes. Fortschr. Chem. Org. Naturst. 1983, 44, 189–241. [Google Scholar]
- Thiyagarasaiyar, K.; Goh, B.H.; Jeon, Y.J.; Yow, Y.Y. Algae metabolites in cosmeceutical: An overview of current applications and challenges. Mar. Drugs 2020, 18, 323. [Google Scholar] [CrossRef]
- Fuller, R.W.; Cardellina, J.H.; Kato, Y.; Brinen, L.S.; Clardy, J.; Snader, K.M.; Boyd, M.R.A. A pentahalogenated monoterpene from the red alga Portieria hornemannii produces a novel cytotoxicity profile against a diverse panel of human tumor cell lines. J. Med. Chem. 1992, 35, 3007–3011. [Google Scholar] [CrossRef]
- Egorin, M.J.; Rosen, D.M.; Benjamin, S.E.; Callery, P.S.; Sentz, D.L.; Eiseman, J.L. In vitro metabolism by mouse and human liver preparations of halomon, an antitumor halogenated monoterpene. Cancer Chemother. Pharmacol. 1997, 41, 9–14. [Google Scholar] [CrossRef]
- Egorin, M.J.; Sentz, D.L.; Rosen, D.M.; Ballesteros, M.F.; Kearns, C.M.; Callery, P.S.; Eiseman, J.L. Plasma pharmacokinetics, bioavailability, and tissue distribution in CD2F1 mice of halomon, an antitumor halogenated monoterpene isolated from the red algae Portieria hornemannii. Cancer Chemother. Pharmacol. 1996, 39, 51–60. [Google Scholar] [CrossRef] [PubMed]
- Jha, R.K.; Zi-Rong, X. Biomedical compounds from marine organisms. Mar. Drugs 2004, 2, 123–146. [Google Scholar] [CrossRef]
- Maliakal, S.; Cheney, D.P.; Rorrer, G.L. Halogenated monoterpene production in regenerated plantlet cultures of Ochtodes secundiramea. J. Phycol. 2001, 37, 1010–1019. [Google Scholar] [CrossRef]
- Sotokawa, T.; Noda, T.; Pi, S.; Hirama, M. A three-step synthesis of Halomon. Angew. Chem. Int. Ed. 2000, 39, 3430–3432. [Google Scholar] [CrossRef]
- Jung, M.E.; Parker, M.H. Synthesis of several naturally occurring polyhalogenated monoterpenes of the halomon class. J. Org. Chem. 1997, 62, 7094–7095. [Google Scholar] [CrossRef]
- Schlama, T.; Baati, R.; Gouverneur, V.; Valleix, A.; Falck, J.R.; Mioskowski, C. Total synthesis of (±)-halomon by a Johnson-Claisen rearrangement. Angew. Chem. Int. Ed. 1998, 37, 2085–2087. [Google Scholar] [CrossRef]
- Fuller, R.W.; Cardellina, J.H.; Jurek, J.; Scheuer, P.J.; Alvarado-Lindner, B.; McGuire, M.; Gray, G.N.; Steiner, J.R.; Clardy, J. Isolation and structure/activity features of halomon-related antitumor monoterpenes from the red alga Portieria hornemannii. J. Med. Chem. 1994, 37, 4407–4411. [Google Scholar] [CrossRef]
- Andrianasolo, E.H.; France, D.; Cornell-Kennon, S.; Gerwick, W.H. DNA methyl transferase inhibiting halogenated monoterpenes from the Madagascar red marine alga Portieria hornemannii. J. Nat. Prod. 2006, 69, 576–579. [Google Scholar] [CrossRef]
- Wright, A.D.; König, G.M.; Sticher, O.; de Nys, R. Five new monoterpenes from the marine red alga Portieria hornemannii. Tetrahedron 1991, 47, 5717–5724. [Google Scholar] [CrossRef]
- Barahona, L.F.; Rorrer, G.L. Isolation of monoterpenes from bioreactor cultured microplantlets of the macrophytic red algae Ochtodes secundiramea and Portiera hornemanii. J. Nat. Prod. 2003, 66, 743–751. [Google Scholar] [CrossRef]
- Kuniyoshi, M.; Oshiro, N.; Miono, T.; Higa, T. Halogenated monoterpenes having a cyclohexadienone from the red alga Portieria hornemanni. J. Chin. Chem. Soc. 2003, 50, 167–170. [Google Scholar] [CrossRef]
- Mynderse, J.S.; Faulkner, D.J. Polyhalogenated monoterpenes from the red alga Plocamium cartilagineum. Tetrahedron 1975, 31, 1963–1967. [Google Scholar] [CrossRef]
- Sabry, O.M.M.; Goeger, D.E.; Valeriote, F.A.; Gerwick, W.H. Cytotoxic halogenated monoterpenes from Plocamium cartilagineum. Nat. Prod. Res. 2017, 31, 261–267. [Google Scholar] [CrossRef] [PubMed]
- Pretsch, E.; Clerc, T.; Seibl, J.; Simon, W. Tables of Spectral Data for Structure Determination of Organic Compounds, 2nd ed.; Springer: Berlin/Heidelberg, Germany, 1983; pp. M100–M110. [Google Scholar]
- Li, J.; Liu, J.K.; Wang, W.X. GIAO 13C NMR calculation with sorted training sets improves accuracy and reliability for structural assignation. J. Org. Chem. 2020, 85, 11350–11358. [Google Scholar] [CrossRef] [PubMed]
- Vogel, C.V.; Pietraszkiewicz, H.; Sabry, O.M.; Gerwick, W.H.; Valeriote, F.A.; Vanderwal, C.D. Enantioselective divergent syntheses of several polyhalogenated Plocamium monoterpenes and evaluation of their selectivity for solid tumors. Angew. Chem. Int. Ed. 2014, 53, 12205–12209. [Google Scholar] [CrossRef]
- Cikoš, A.M.; Jurin, M.; Čož-Rakovac, R.; Jokić, S.; Jerković, I. Update on monoterpenes from red macroalgae: Isolation, analysis, and bioactivity. Mar. Drugs 2019, 17, 537. [Google Scholar] [CrossRef]
- Afolayan, A.F.; Mann, M.G.A.; Lategan, C.A.; Smith, P.J.; Bolton, J.J.; Beukes, D.R. Antiplasmodial halogenated monoterpenes from the marine red alga Plocamium cornutum. Phytochemistry 2009, 70, 597–600. [Google Scholar] [CrossRef]
- Argandoña, V.H.; Rovirosa, J.; San-Martín, A.; Riquelme, A.; Díaz-Marrero, A.R.; Cueto, M.; Darias, J.; Santana, O.; Guadaño, A.; González-Coloma, A. Antifeedant effects of marine halogenated monoterpenes. J. Agric. Food Chem. 2002, 50, 7029–7033. [Google Scholar] [CrossRef]
- Watanabe, K.; Umeda, K.; Kurita, Y.; Takayama, C.; Miyakado, M. Two insecticidal monoterpenes, telfairine and aplysiaterpenoid A, from the red alga Plocamium telfairiae: Structure elucidation, biological activity, and molecular topographical consideration by a semiempirical molecular orbital study. Pestic. Biochem. Physiol. 1990, 37, 275–286. [Google Scholar] [CrossRef]
- Rovirosa, J.; Soler, A.; Blanc, V.; León, R.; San-Martín, A. Bioactive monoterpenes from Antartic Plocamium cartilagineum. J. Chil. Chem. Soc. 2013, 58, 2025–2026. [Google Scholar] [CrossRef]
- Frisch, M.J.; Trucks, G.W.; Schlegel, H.B.; Scuseria, G.E.; Robb, M.A.; Cheeseman, J.R.; Scalmani, G.; Barone, V.; Mennucci, B.; Petersson, G.A.; et al. Gaussian 16; Revision C.01; Gaussian, Inc.: Wallingford, CT, USA, 2019. [Google Scholar]
- Chung, T.W.; Li, Y.R.; Huang, W.Y.; Su, J.H.; Chan, H.L.; Lin, S.H.; Liu, C.S.; Lin, S.C.; Lin, C.C.; Lin, C.H. Sinulariolide suppresses LPS-induced phenotypic and functional maturation of dendritic cells. Mol. Med. Rep. 2017, 16, 6992–7000. [Google Scholar] [CrossRef] [PubMed]
- Chao, C.H.; Cheng, J.C.; Gonçalves, T.P.; Huang, K.W.; Lin, C.C.; Huang, H.C.; Hwang, S.Y.; Wu, Y.C. Glaulactams A–C, daphniphyllum alkaloids from Daphniphyllum glaucescens. Sci. Rep. 2018, 8, 15417. [Google Scholar] [CrossRef] [PubMed]





| 1 | 2 | 3 | ||||
|---|---|---|---|---|---|---|
| Position | δC (type) | δH (J in Hz) | δC (type) | δH (J in Hz) | δC (type) | δH (J in Hz) |
| 1 | 116.4 (CH2) | 5.27 d (10.8) | 116.5 (CH2) | 5.28 d (10.8) | 116.5 (CH2) | 5.31 d (10.8) |
| 5.39 d (17.2) | 5.40 d (17.2) | 5.43 d (16.8) | ||||
| 2 | 139.8 (CH) | 6.05 dd (17.2, 10.4) | 139.5 (CH) | 6.06 dd (17.2, 10.8) | 139.5 (CH) | 6.11 dd (16.8, 10.8) |
| 3 | 71.3 (C) | 71.7 (C) | 71.9 (C) | |||
| 4 | 60.4 (CH) | 4.65 d (9.6) | 67.9 (CH) | 4.51 dd (5.6, 2.0) | 68.8 (CH) | 4.58 m |
| 5 | 130.4 (CH) | 6.16 dd (15.2, 9.6) | 129.8 (CH) | 6.10 overlapped | 130.2 (CH) | 6.39 overlapped |
| 6 | 133.8 (CH) | 6.04 d (15.2) | 134.5 (CH) | 6.10 overlapped | 128.3 (CH) | 6.39 overlapped |
| 7 | 71.6 (C) | 71.8 (C) | 138.5 (C) | |||
| 8 | 78.4 (CH) | 5.79 s | 78.4 (CH) | 5.79 s | 117.2 (CH) | 6.15 s |
| 9 | 25.6 (CH3) | 1.81 s | 24.9 (CH3) | 1.75 s | 25.1 (CH3) | 1.80 s |
| 10 | 24.9 (CH2) | 1.89 s | 25.0 (CH3) | 1.89 s | 33.7 (CH) | 6.92 s |
| 3R*,4S*,7S*-1 | 3R*,4S*,7R*-1 | ||||||||
|---|---|---|---|---|---|---|---|---|---|
| Position | Exptl. | Uncorr. a | Dev. | Corr. b | Dev. | Uncorr. a | Dev. | Corr. b | Dev. |
| 1 | 116.4 | 116.17 | 0.23 | 116.66 | 0.26 | 116.20 | 0.20 | 116.69 | 0.29 |
| 2 | 139.8 | 138.00 | 1.80 | 138.44 | 1.36 | 137.88 | 1.92 | 138.32 | 1.48 |
| 3 | 71.3 | 73.47 | 2.17 | 74.04 | 2.74 | 73.49 | 2.19 | 74.07 | 2.77 |
| 4 | 60.4 | 58.67 | 1.73 | 59.27 | 1.13 | 58.65 | 1.75 | 59.25 | 1.15 |
| 5 | 130.4 | 131.02 | 0.62 | 131.48 | 1.08 | 131.08 | 0.68 | 131.53 | 1.13 |
| 6 | 133.8 | 133.01 | 0.79 | 133.47 | 0.33 | 133.11 | 0.69 | 133.56 | 0.24 |
| 7 | 71.6 | 72.25 | 0.65 | 72.82 | 1.22 | 72.37 | 0.77 | 72.94 | 1.34 |
| 8 | 78.4 | 81.33 | 2.93 | 76.4 | 2.00 | 81.11 | 2.71 | 76.18 | 2.22 |
| 9 | 25.6 | 24.29 | 0.61 | 25.06 | 0.54 | 24.24 | 1.36 | 24.92 | 0.68 |
| 10 | 24.9 | 24.39 | 1.21 | 24.96 | 0.06 | 24.47 | 0.43 | 25.15 | 0.25 |
| MAE | 1.27 | MAE | 1.07 | MAE | 1.27 | MAE | 1.16 | ||
| rms | 1.51 | rms | 1.33 | rms | 1.50 | rms | 1.41 | ||
| Pmean | 21.71% | Pmean | 28.75% | Pmean | 22.28% | Pmean | 25.43% | ||
| Prel | 43.55% | Prel | 77.33% | Prel | 56.45% | Prel | 22.67% | ||
| 3R*,4S*,7S*-2 | 3R*,4S*,7R*-2 | ||||||||
|---|---|---|---|---|---|---|---|---|---|
| Position | Exptl. | Uncorr. a | Dev. | Corr. b | Dev. | Uncorr. a | Dev. | Corr. b | Dev. |
| 1 | 116.5 | 116.29 | 0.21 | 116.78 | 0.28 | 116.32 | 0.18 | 116.80 | 0.30 |
| 2 | 139.5 | 138.13 | 1.37 | 138.57 | 0.93 | 138.01 | 1.49 | 138.44 | 1.06 |
| 3 | 71.7 | 73.56 | 1.86 | 74.13 | 2.43 | 73.58 | 1.88 | 74.16 | 2.46 |
| 4 | 67.9 | 65.17 | 2.73 | 65.77 | 2.13 | 65.15 | 2.75 | 65.74 | 2.16 |
| 5 | 129.8 | 131.15 | 1.35 | 131.60 | 1.80 | 131.21 | 1.41 | 131.66 | 1.86 |
| 6 | 134.5 | 133.14 | 1.36 | 133.59 | 0.91 | 133.24 | 1.26 | 133.68 | 0.82 |
| 7 | 71.8 | 72.33 | 0.53 | 72.91 | 1.11 | 72.46 | 0.66 | 73.04 | 1.24 |
| 8 | 78.4 | 81.43 | 3.03 | 76.49 | 1.91 | 81.20 | 2.80 | 76.28 | 2.12 |
| 9 | 24.9 | 24.45 | 0.45 | 25.13 | 0.23 | 24.29 | 0.61 | 24.99 | 0.09 |
| 10 | 25.0 | 24.35 | 0.65 | 25.03 | 0.03 | 24.52 | 0.48 | 25.22 | 0.22 |
| MAE | 1.35 | MAE | 1.18 | MAE | 1.35 | MAE | 1.23 | ||
| rms | 1.63 | rms | 1.43 | rms | 1.61 | rms | 1.49 | ||
| Pmean | 19.12% | Pmean | 25.80% | Pmean | 19.84% | Pmean | 23.57% | ||
| Prel | 40.80% | Prel | 71.24% | Prel | 59.20% | Prel | 28.76% | ||
| 7Z-3 | 7E-3 | ||||||||
|---|---|---|---|---|---|---|---|---|---|
| Position | Exptl. | Uncorr. a | Dev. | Corr. b | Dev. | Uncorr. a | Dev. | Corr. b | Dev. |
| 1 | 116.5 | 114.27 | 2.23 | 115.47 | 1.03 | 113.66 | 2.84 | 115.13 | 1.37 |
| 2 | 139.5 | 136.26 | 3.24 | 136.28 | 3.22 | 136.23 | 3.27 | 136.57 | 2.93 |
| 3 | 71.9 | 68.55 | 3.35 | 72.19 | 0.29 | 67.95 | 3.95 | 71.67 | 0.23 |
| 4 | 68.8 | 63.28 | 5.52 | 67.20 | 1.60 | 63.11 | 5.69 | 67.07 | 1.73 |
| 5 | 130.2 | 129.60 | 0.60 | 129.98 | 0.22 | 132.11 | 1.91 | 132.66 | 2.46 |
| 6 | 128.3 | 127.95 | 0.35 | 128.42 | 0.12 | 122.55 | 5.75 | 123.57 | 4.73 |
| 7 | 138.5 | 138.58 | 0.08 | 138.48 | 0.02 | 136.24 | 2.26 | 136.58 | 1.92 |
| 8 | 117.2 | 121.41 | 4.21 | 122.23 | 5.03 | 125.00 | 7.80 | 125.90 | 8.70 |
| 9 | 25.1 | 16.93 | 8.17 | 23.32 | 1.78 | 15.86 | 9.24 | 22.15 | 2.95 |
| 10 | 33.7 | 52.87 | 19.17 | 36.13 | 2.43 | 56.99 | 23.29 | 38.40 | 4.70 |
| MAE | 1.57 | MAE | 3.17 | ||||||
| rms | 2.20 | rms | 3.90 | ||||||
| Pmean | 11.24% | Pmean | 0.51% | ||||||
| Prel | 100.00% | Prel | 0.00% | ||||||
| Anti-Inflammatory Activity (IC50) (μM) | ||
|---|---|---|
| Compound | Cell Viability (%) (DCs) | TNF-α Expression (LPS/DCs) |
| 1 | 47.0 ± 2.1 | 2.5 ± 0.4 |
| 2 | 88.8 ± 8.1 | >100 |
| 3 | 80.2 ± 8.3 | >100 |
| 4 | 51.1 ± 2.2 | 6.2 ± 1.1 |
| 5 | 49.1 ± 2.7 | 10.6 ± 1.3 |
Disclaimer/Publisher’s Note: The statements, opinions and data contained in all publications are solely those of the individual author(s) and contributor(s) and not of MDPI and/or the editor(s). MDPI and/or the editor(s) disclaim responsibility for any injury to people or property resulting from any ideas, methods, instructions or products referred to in the content. |
© 2023 by the authors. Licensee MDPI, Basel, Switzerland. This article is an open access article distributed under the terms and conditions of the Creative Commons Attribution (CC BY) license (https://creativecommons.org/licenses/by/4.0/).
Share and Cite
Wu, Y.-J.; Huang, T.-Y.; Huang, C.-Y.; Lin, C.-C.; Wang, W.-L.; Huang, H.-C.; Liu, S.-Y.V.; Chao, C.-H.; Sheu, J.-H. Anti-Inflammatory Halogenated Monoterpenes from the Red Alga Portieria hornemannii. Mar. Drugs 2023, 21, 493. https://doi.org/10.3390/md21090493
Wu Y-J, Huang T-Y, Huang C-Y, Lin C-C, Wang W-L, Huang H-C, Liu S-YV, Chao C-H, Sheu J-H. Anti-Inflammatory Halogenated Monoterpenes from the Red Alga Portieria hornemannii. Marine Drugs. 2023; 21(9):493. https://doi.org/10.3390/md21090493
Chicago/Turabian StyleWu, Yuan-Jhong, Tzu-Yin Huang, Chiung-Yao Huang, Chi-Chen Lin, Wei-Lung Wang, Hui-Chi Huang, Shang-Yin Vanson Liu, Chih-Hua Chao, and Jyh-Horng Sheu. 2023. "Anti-Inflammatory Halogenated Monoterpenes from the Red Alga Portieria hornemannii" Marine Drugs 21, no. 9: 493. https://doi.org/10.3390/md21090493
APA StyleWu, Y.-J., Huang, T.-Y., Huang, C.-Y., Lin, C.-C., Wang, W.-L., Huang, H.-C., Liu, S.-Y. V., Chao, C.-H., & Sheu, J.-H. (2023). Anti-Inflammatory Halogenated Monoterpenes from the Red Alga Portieria hornemannii. Marine Drugs, 21(9), 493. https://doi.org/10.3390/md21090493

