Abstract
Fascaplysin is a marine alkaloid which is considered to be a lead drug candidate due to its diverse and potent biological activity. As an anticancer agent, fascaplysin holds a great potential due to the multiple targets affected by this alkaloid in cancer cells, including inhibition of cyclin-dependent kinase 4 (CDK4) and induction of intrinsic apoptosis. At the same time, the studies on structural optimization are hampered by its rather high toxicity, mainly caused by DNA intercalation. In addition, the number of methods for the syntheses of its derivatives is limited. In the current study, we report a new two-step method of synthesis of fascaplysin derivatives based on low temperature UV quaternization for the synthesis of thermolabile 9-benzyloxyfascaplysin and 6-tert-butylfascaplysin. 9-Benzyloxyfascaplysin was used as the starting compound to obtain 9-hydroxyfascaplysin. However, the latter was found to be chemically highly unstable. 6-tert-Butylfascaplysin revealed a significant decrease in DNA intercalation when compared to fascaplysin, while cytotoxicity was only slightly reduced. Therefore, the impact of DNA intercalation for the cytotoxic effects of fascaplysin and its derivatives needs to be questioned.
1. Introduction
Fascaplysin (1, Figure 1) is a pigment which was first isolated in 1988 from the marine sponge Fascaplysinopsis sp. It was the very first of a group of structurally related alkaloids based on the unique five-ring 12H-pyrido[1,2-a:3,4-b′]diindole system (2) [1]. Now, fascaplysin is considered a lead compound for the further development of novel drugs due to its broad spectrum of potent biological activities, including anticancer, antibacterial, antifungal, antiviral, and antimalarial activities [2,3,4,5,6]. Remarkably, anticancer activity has been shown in various cancer cell lines, including melanoma, breast, ovary, lung, leukemia, cervix, brain, and prostate cancer cells in vitro as well as in vivo in selected tumor models [7,8,9,10,11,12].
Figure 1.
Structures of fascaplysin (1); 12H-pyrido[1-2-a:3,4-b′]diindole (2); 9-benzyloxyfascaplysin (3); and 6-tert-butylfascaplysin (4).
To date, several mechanisms of its action have been reported. One of the most studied and established is the selective inhibition of cyclin-dependent kinase 4 (CDK4), first reported by Sony et al. [13]. CDK4 regulates the G0-G1/S checkpoint of the cell cycle, and disruption of its function can lead to cancer [14,15]. Another important mechanism of fascaplysin cytotoxicity is the DNA intercalation, which is conditioned by a planar structure of the molecule [16]. In addition, a number of non-planar analogs of 1 were synthesized and studied. Among them, CDK4 inhibitors CA224 and BPT inhibited tubulin polymerization in vitro and showed antitumor activity in the colon cancer tumor model HCT-116 in vivo [17,18,19]. For other molecules, a high inhibitory activity was shown against CDK4, but in general, a significantly lower cytotoxicity against various tumor cell lines compared to the native alkaloid was shown in vitro [20,21,22,23,24,25]. Compound 1 also showed inhibitory activity against the oncogenic phosphatase inducer Cdc25B [26]. Lin et al. discovered that 1 inhibited angiogenesis via the suppression of vascular endothelial growth factor (VEGF) and the induction of apoptosis in the human umbilical vein endothelial cell (HUVEC) [27,28]. It also induced apoptosis in tumor cells by activating the tumor necrosis-related apoptosis-inducing ligand (TRAIL) signaling pathway, inducing a co-interaction between the apoptosis and autophagy pathways, which resulted in the death of the acute leukemia cells HL-60 and activated autophagy as a cytoprotective response through ROS and p8 in lymphoblastoid VEC cells [29,30,31]. Oh et al. found that fascaplysin inhibits TRKA and VEGFR2, as well as survivin and HIF-1α, resulting in inhibition of lung cancer cell growth. Fascaplysin has been shown to increase the phosphorylation of protein kinase B (PKB) and adenosine monophosphate-activated protein kinase (AMPK). Here, compound 1 was also found to synergize with a selective inhibitor of PI3K-AKT signaling, an AMPK inhibitor, and methotrexate [32,33]. Hamilton et al. investigated the cytotoxic effect of 1 against small cell and non-small cell lung cancer, wherein fascaplysin was found to induce tumor cell apoptosis through various mechanisms, including G1/0 cell cycle arrest and apoptosis. In addition, 1 was found to be synergistic with camptothecin, cisplatin, and afatinib [34,35,36]. Recently, Luo and Xu studied the anti-NSCLC effect of fascaplysin and, along with the known mechanisms, revealed the ability of fascaplysin to induce ferroptosis, as evidenced by increased levels of ROS and Fe2+ causing the downregulation of ferroptosis-associated protein and endoplasmic reticulum stress. Moreover, fascaplysin significantly upregulated the expression of PD-L1 in lung cancer cells, thereby improving the sensitivity of anti-PD-1 immunotherapy in vivo [37]. The discussion regarding other therapeutic targets of fascaplysin and anti-cholinesterase inhibitory activity should be noted [38]. Finally, Johnson et al. also found that 1 was a “balanced” opioid receptor agonist with a signaling profile reminiscent of that of endorphins [39].
At present, along with fascaplysin, a limited series of its derivatives has been studied (Figure 2). High anticancer activity was found for some halogen derivatives of 1. Mono- and dibromo derivatives (1a–c) were effective against various tumor cell lines, including drug-resistant prostate cancer and glioblastoma [40,41,42,43]. In addition, 3,10-dibromofascaplysin (1c) induced apoptosis in leukemic cells and had a synergistic effect with cytarabine [44]. Chlorofascaplysin 1d exhibited anticancer and anti-angiogenesis effects in breast cancer cells, inhibited the tumor growth in an Ehrlich solid tumor model in mice and showed no apparent toxicities in experimental tumor mice at therapeutic doses [45]. For some halogen derivatives, the ability to affect P-gp was also studied; this study showed that the activity and effect on cell survival for the difluoro-derivative 1e was higher [46]. In another study, the methyl derivative of 1 at C-9 (1f) was found to have a greater multitarget effect against Alzheimer’s disease than the native alkaloid, including better inhibition of Aβ aggregation [47,48]. Derivatives of compound 1 at C-9 (1g–i) were also demonstrated to have superior antibacterial activity against methicillin-resistant Staphylococcus aureus (MRSA) and Escherichia coli in vitro [49,50]. Thus, for some fascaplysin derivatives a therapeutic potential has been shown; however, the number of studied derivatives is rather small due to the limited number of synthetic methods available at present.
Figure 2.
Structures of fascaplysin derivatives 1a–i.
Over the past 30 years, more than 10 different approaches to the syntheses of fascaplysin and its derivatives have been developed. The first total synthesis of compound 1 was carried out by Pelcman and Gribble from indole in seven steps. The approach involved the formation of diindole, which was then cyclized, dehydrogenated, and oxidized to 1 [51]. Rocca et al. developed a shorter four-step route for the synthesis of 1 starting from N-substituted 2-aminophenylboronic acid and 4-iodo-3-fluoropyridine [52]. Zhidkov et al. elaborated the three-step strategy to compound 1, including the Fischer cyclization between 10-methyl-7,8-dihydro-6H-pyrido[1,2-a]indol-9-one and phenylhydrazine followed by oxidation and the Baeyer–Villiger rearrangement of the intermediate [53]. Waldman et al. proposed a two-stage method for the synthesis of 1 from an N-protected acetylene derivative of formylindole with a silver catalyst in a microwave reactor [54]. Another approach involved the condensation of indigo with methylene active esters and the subsequent reduction and hydrolysis of the intermediates to fascaplysin and several of its derivatives at the central ring [55,56]. However, the most productive strategy was based on the syntheses of 1-benzoyl-β-carbolines as the key intermediates. Molina et al. first proposed a four-stage method for the preparation of 1 starting from an iminophosphorane derivative of indole [57]. Then, this approach was further improved by Radchenko, who suggested using the high-temperature cyclization of o-halo-substituted 1-benzoyl-β-carbolines to obtain the skeleton of fascaplysin, as well as a method for the obtaining of such intermediates in four steps [58]. Zhidkov proposed a synthesis of 1-(2-fluorobenzoyl)-β-carboline by the Minisci homolytic acylation of unsubstituted β-carboline with o-fluorobenzaldehyde under microwave irradiation [59]. Bharate et al. elaborated the method for the obtaining of substituted benzoyl-β-carboline by tandem condensation between substituted phenylglyoxal and tryptamine [38]. Zhu et al. managed to combine that sequence of transformations to a one-pot cascade coupling protocol that included the sequential iodination of the corresponding acetophenone, the Kornblum oxidation of the intermediate in the presence of DMSO to phenylglyoxal, and its Pictet–Spengler condensation with tryptamine, followed by the oxidation of the intermediate [60]. Battini et al. proposed to carry out this reaction without the use of H2O2 as a co-oxidizer with comparable yields [61]. Later, Dighe et al. suggested using phenylacetylenes as an alternative to substituted acetophenones for the synthesis of 1 [62]. Thus, currently, the most convenient and effective two-stage method for the obtaining of fascaplysin and its derivatives is the production of substituted 1-benzoyl-β-carbolines according to Zhu and their high-temperature cyclization using Radchenko’s protocol. Although this approach provides some variety of derivatives of 1, its significant limitation is the possibility of obtaining exclusively thermostable derivatives of the alkaloid.
In this work, we developed a new method for the quaternization of substituted 1-benzoyl-β-carbolines under the action of UV irradiation at low temperature and demonstrated its capabilities by synthesizing 9-benzyloxyfascaplysin (3) and 6-tert-butylfascaplysin (4), which could not be otherwise be obtained by the high-temperature quaternization. For compound 4, the ability to intercalate into DNA and its correlation with cytotoxicity against prostate cancer were evaluated. In addition, the conditions for the conversion of compound 3 to 6-hydroxyfascaplysin, a promising lead compound for the further synthesis of conjugates for targeted drug delivery, were also studied.
2. Results and Discussion
2.1. Development of the UV Quaternization Protocol
The starting point for our research was based on the known ability of papaveraldine (5a) and papaverine-like 1-(3-isopropoxybenzoylbenzoyl)-6,7-dimethoxyisoquinoline (5b) to convert to the corresponding products 6a–b with the storing of their solutions in the light (Scheme 1) [63,64,65].
Scheme 1.
Reagents and conditions: (a) for 5a UV irradiation, CHCl3; for 5b UV irradiation, DMSO, 2 h, r.t.
In order to study the possibility of the similar reaction with 1-benzoyl-β-carbolines, the variety of starting materials was prepared according to the combined methods of Zhu et al. and Battini et al. from tryptamine (7) and acetophenones 8–13 (compounds 14–19) (Scheme 2) [60,61]. The use of H2O2 as a co-oxidizer, as in the original method, led to the formation of by-products and reduced the yields of target 1-benzoyl-β-carbolines. The usage of an equimolar amount or an excess of I2, as in the Battini methodology, resulted in the formation of the product of the iodination of 1-benzoyl-β-carboline at C-6 and also reduced the yield of the target product.
Scheme 2.
Reagents and conditions: (a) I2 (0.8 equiv.), DMSO, 110 °C, 1 h, then tryptamine (7) (1.0 equiv.), DMSO, 110 °C, 4 h.
Initially, based on the analogy with isoquinolines, we tried to carry out the target transformation under comparable conditions for unsubstituted 1-benzoyl-β-carboline (14), but the product of quaternization was not observed. Increasing and decreasing acidity to facilitate quaternization was not successful. The usage of derivatives with electron donor (15) and electron-withdrawing (16) substituents at the meta-position of the benzoyl fragment demonstrated the formation of the corresponding products in traces. To increase the yield of the product, we tried to use various solvents, but without success. The only exception was acetonitrile, but in this case, the product was also formed in trace amounts. An increase in the reaction temperature in the DMSO led to the formation of side products. The addition of radical reaction catalysts such as 2,2′-azobis(2-methylpropionitrile) (AIBN) or benzoyl peroxide (BPO) also resulted in the formation of by-products. Based on this, it seemed appropriate to lower the temperature of the reaction and also to replace the hydrogen atom in the ortho-position of the benzoyl fragment of β-carboline with halogen atoms. In this case, an increase in the yield of the reaction product was expected in the following order: chlorine, bromine, iodine. The use of the chlorine derivative (18) did not lead to the formation of the product. The usage of the derivative with bromine (17) proved to be successful and made it possible to obtain the target product in a 10% yield. The application of the iodine derivative (19) increased the yield of compound 1 to 50%. The conditions used are summarized in Table 1.
Table 1.
Conditions of UV quaternization of substituted 1-benzoyl-β-carbolines 14–19.
In case 19, the usage of acetonitrile with decreasing temperature to hinder side reactions made it possible to obtain 1 in the same yield. In the reaction mixture, only initial compound 19 and quaternization product 1 were observed. That made it possible to implement such a protocol for carrying out the reaction, during which the isolation of the product and the repeated irradiation of the reaction mixture alternated successively. As a result, the yield of the target product was increased to 91% (Scheme 3).
Scheme 3.
Reagents and conditions: (a) UV irradiation, acetonitrile, −5 °C, 3 × 1.5 h, then Na2CO3 (aq) and HCl (aq).
2.2. Synthesis of 9-Benzyloxyfascaplysin
The developed approach was applied to the synthesis of 9-benzyloxyfascaplysin (3). 5-Benzyloxy-3-formylindole (21) was obtained by the Vilsmeier–Haack acylation of 5-benzyloxyindole (20) with phosphorus oxychloride in DMF. Then, the interaction of 21 with nitromethane allowed the preparation of 5-benzyloxy-3-(2-nitroethenyl)indole (22) in an 83% yield. The reduction of 22 led to the formation of 5-benzyloxytryptamine (23). The substituted 1-benzoyl-6-benzyloxy-β-carbolines 24 and 25 were synthesized from tryptamine 23 and the 2-substituted acetophenones 11 and 13 by the combined method of Zhu et al. and Battini et al. [60,61] (Scheme 4).
Scheme 4.
Reagents and conditions: (a) POCl3 (1.0 equiv.), DMF, −5–+35 °C, 1 h, then NaOH (aq), reflux, 5 min; (b) CH3NO2, CH3COONH4 (1.0 equiv.), reflux, 1 h; (c) NaBH4 (5.4 equiv.), BF3·OEt2 (6.7 equiv.), THF, 0 °C—r.t., 15 min, then 5-benzyloxy-3-nitroethyleneindole (22) (1.0 equiv.), reflux, 2 h; (d) I2 (0.8 equiv.), acetophenone 11 (1.0 equiv.) for 24 or 13 (1.0 equiv.) for 25, DMSO, 110 °C, 1 h, then 5-benzyloxytryptamine (23) (1.0 equiv.), DMSO, 110 °C, 4 h.
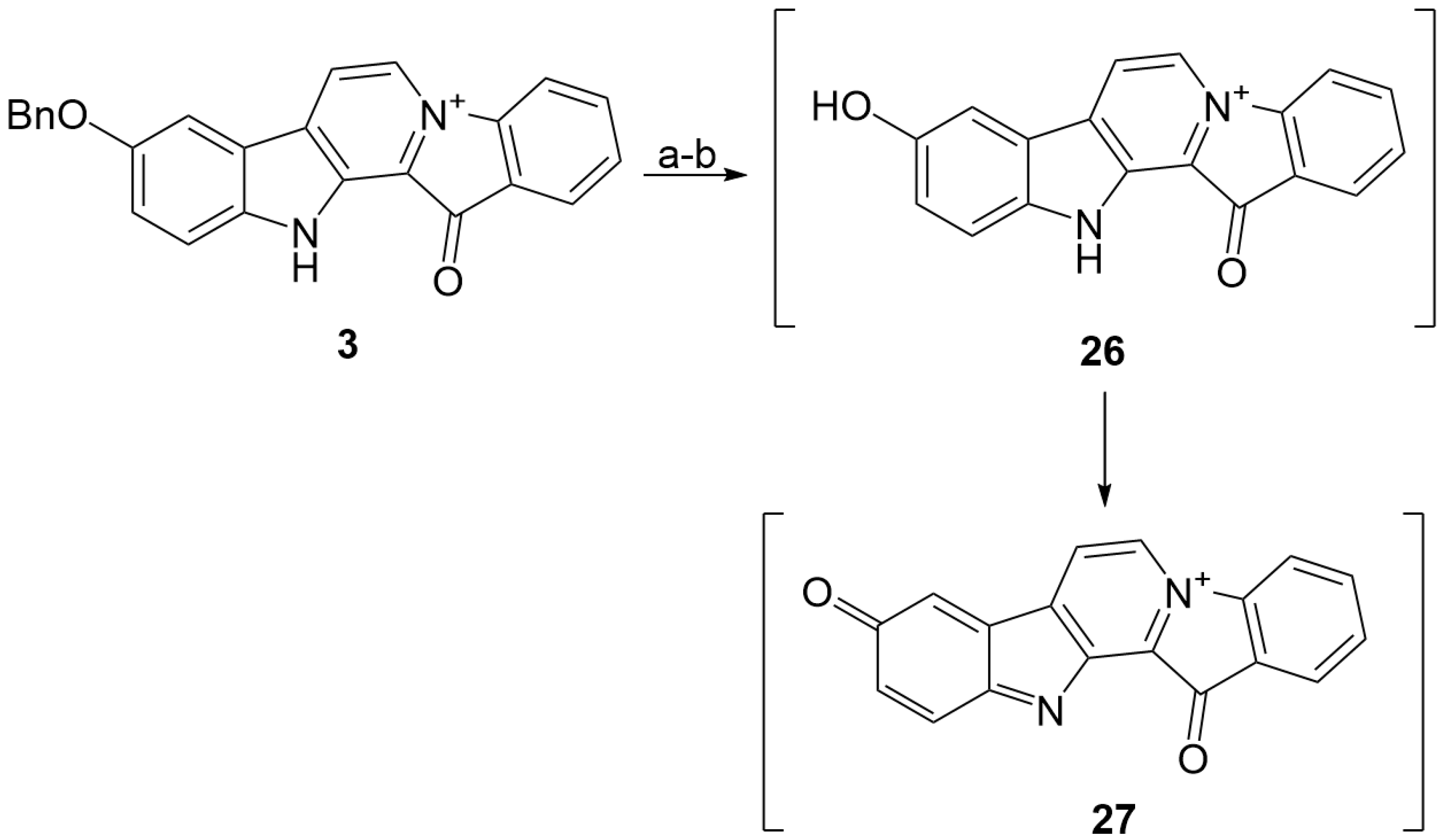
The UV quaternization of 6-benzyloxy-1-(2′-iodobenzoyl)-β-carboline (25) resulted in product 3 with a yield of 88% (Scheme 5). The high-temperature quaternization of 6-benzyloxy-1-(2′-bromobenzoyl)-β-carboline (24) led to the formation of a mixture of products, among which 3 was not found (Table 2).
Scheme 5.
Reagents and conditions: (a) UV irradiation, acetonitrile, −5 °C, 3 × 1.5 h, then Na2CO3 (aq) and HCl (aq).
Table 2.
Quaternization conditions of substituted 6-benzyloxy-1-benzoyl-β-carbolines 24 and 25 to 9-benzyloxyfascaplysin (3).
The removal of the benzyl group, which was expected to yield 9-hydroxyfascaplysin (26), instead resulted in the formation of what was presumably quinoid compound 27. It was proposed based on the HRMS data, and its obtainment can be explained by the tendency towards oxidation of the fragment of p-hydroxyaminophenol of compound 26 (Scheme 6). The resulting product turned out to be extremely poorly soluble; thus, it did not allow us to rigorously prove its structure or to study its biological properties and possibilities for derivatization. Apparently, these observations suggest that there is a need to obtain the hydroxy derivatives of fascaplysin at other positions.
Scheme 6.
Reagents and conditions: (a) NaBH4 (1.0 equiv.), NaI (1.4 equiv.), acetonitrile, 0 °C, 2 h, then r.t., 16 h; (b) H2, PtO2, MeOH or AcN, r.t. 16 h.
2.3. Study of 6-tert-Butylfascaplysin
2.3.1. Chemistry
For the syntheses of 2′-substituted 1-benzoyl-3-tert-butyl-β-carbolines 36 and 37, it was necessary to use the Franklin and White strategy for the syntheses of α-substituted tryptamines [66]. At the first stage, compound 30 was obtained by aldol condensation between isatin (28) and 3,3-dimethyl-2-butanone (pinacoline, 29). Due to retro-aldol decay as a result of the interaction of aldol 30 with hydroxylamine, two additional steps of dehydration and the subsequent reduction of the resulting double bond were added. The direct reduction of the obtained oxime 33 to α-tert-butyltryptamine (35) under the action of various reagents did not lead to the desired results. Tryptamine 35 was obtained by the successive reduction of the first oxime fragment under the action of hydrogen over PtO2 and then by the reduction of the lactam fragment by the system BH3·THF. The resulting crude product was introduced to the one-pot cascade coupling protocol developed by Zhu et al. [60], which finally made it possible to obtain the target compounds 36 and 37 (Scheme 7).
Scheme 7.
Reagents and conditions: (a) KOH (0.6 equiv.), EtOH, 50 °C, 24 h; (b) HCl, CH3COOH, 75 °C, 2 h; (c) H2 (6 bar), 10% Pd/C, MeOH, r.t., 20 h; (d) NH2OH·HCl (4.2 equiv.), CH3COONa (4.1 equiv.), MeOH, 40 °C, 48 h; (e) H2 (6 bar), PtO2, MeOH, r.t., 48 h; (f) NaBH4 (5.5 equiv.), BF3·OEt2 (6.0 equiv.), THF, 0 °C—r.t., 15 min, then 34 (1.0 equiv.), reflux, 2 h, then HCl (aq), reflux, 2 h; (g) acetophenone 11 (1.0 equiv.) for 36 or 13 for 37, I2 (0.8 equiv.), DMSO, 110 °C, 1 h, then tryptamine 35 (1.0 equiv.), DMSO, 110 °C, 4 h.
The low-temperature quaternization under UV irradiation of 1-(2′-iodo-benzoyl)-6-tert-butyl-β-carboline (37) made it possible to obtain the target 6-tert-butylfascaplysin (4) in a 92% yield (Scheme 8). The UV quaternization of its analog 36 in DMSO for 9 h resulted in a 30% yield of 4, which was better than that for the preparation of fascaplysin from compound 17 (Table 1). However, increasing the irradiation time still led to the formation of by-products. Numerous attempts to prepare derivative 4 by the high-temperature quaternization of β-carboline 36 failed (Table 3).
Scheme 8.
Reagents and conditions: (a) UV irradiation, acetonitrile, −5 °C, 3 × 0.5 h, then Na2CO3 (aq) and HCl (aq).
Table 3.
Quaternization conditions of substituted 1-benzoyl-3-tert-butyl-β-carbolines (36–37) to 6-tert-butylfascaplysin (4).
2.3.2. Biological Studies
As the intercalation into DNA is considered an important component of the biological mechanism of action of fascaplysin, we evaluated and compared this activity for the synthesized 6-tert-butylfascaplysin (4) and unsubstituted fascaplysin (1). The drug–DNA complex formation was assessed by a fluorescent intercalator displacement assay based on the detachment of the thiazole orange (TO) intercalating agent from the DNA duplex by the tested compounds. The half-maximal concentrations for the effective displacement of TO from the DNA complex were calculated and are presented in Figure 3. In this experiment, the well-established DNA-binding compound, propidium iodide (PI), was used as a positive control. We found that compound 4 was 7-fold less effective at displacing TO from the fluorescent complex with DNA than 1 (Figure 3).
Figure 3.
DNA-binding activity of fascaplysin (1), 6-tert-butylfascaplysin (4), and propidium iodide (PI). (a) The curves represent normalized DNA–TO complex fluorescence intensity measured in presence of drugs. EC50 concentrations (+/− CI) of the compounds that caused a decrease in TO fluorescence by 50%, representing the efficiency of binding with DNA. (b) Heatmap represents the relative normalized fluorescence activity of DNA–TO complex in presence of PI used in concentrations up to 2.5 μM. (c) Heatmap represents the relative normalized fluorescence activity of DNA–TO complex in presence of 6-tert-butylfascaplysin (4) and fascaplysin (1) used in concentrations up to 25 μM.
To investigate the effect of the tert-butyl group on anticancer activity and selectivity, we evaluated the cytotoxic activity of unsubstituted fascaplysin (1) and 6-tert-butylfascaplysin (4) in various cancer and non-cancer cell lines using the well-established MTT method (Table 4). The effects on the human prostate cancer cells PC3 and DU145 (hormone-independent cells), 22Rv1 (partially hormone-independent cells), and LNCaP (hormone-sensitive cells), as well as on the normal (non-cancerous) human cells PNT2, MRC-9, and HEK293, were investigated. The mean cytotoxicity of compound 4 towards either cancerous or non-cancerous cells decreased by ~2-fold compared to that of fascaplysin (1). At the same time, the selectivity indexes of both compounds were comparable. In general, the absolute cytotoxicity of compound 4 remained rather high since IC50 did not exceed 2 μM in either cell line.
Table 4.
Comparison of cytotoxic activity and selectivity for fascaplysin (1) and 6-tert-butylfascaplysin (4). Selectivity index (SI) was calculated as SI = mean [IC50 non-cancer cells]/mean [IC50 cancer cells].
Of note, 6-tert-butylfascaplysin (4) revealed a decreased ability to intercalate into DNA due to steric obstacles (i.e., introduction of 6-tert-butyl group). However, this did not result in a meaningful decrease in its cytotoxicity. These observations suggest that an intercalation into DNA may not be the main mechanism mediating the cytotoxicity of fascaplysin derivatives, as has previously been postulated.
3. Materials and Methods
3.1. Chemistry
All of the starting materials are commercially available. Commercial reagents were used without any purification. For UV irradiation, the high-pressure mercury UV lamp DRT-1000 was used. The products were isolated by MPLC: Buchi B-688 pump; glass column C-690 (15 × 460 mm) with silica gel (particle size 0.015–0.040 mm); and UV detector Knauer K-2001. The analytical examples were purified by the Shimadzu HPLC system (model: LC-20AP) equipped with a UV detector (model: SPD 20A), using a Supelco C18 (5 µm, 20 × 250 mm) column using the MeOH:H2O (20:80, 50:50, 70:30) mobile phase by isocratic elution at a flow rate of 15 mL/min. The NMR spectra were recorded with an NMR instrument operating at 400 MHz (1H) and 100 MHz (13C). Proton spectra were referenced to TMS as an internal standard and, in some cases, to the residual signal of used solvents. Carbon chemical shifts were determined relative to the 13C signal of TMS or the used solvents. Chemical shifts are given on the δ scale (ppm). Coupling constants (J) are given in Hz. Multiplicities are indicated as follows: s (singlet), d (doublet), t (triplet), q (quartet), m (multiplet), or br (broadened). The original spectra of the relative compounds can be found in Supplementary Materials. High-resolution mass spectra (HRMS) were obtained with a time-of-flight (TOF) mass spectrometer (model Agilent TOF 6210) equipped with an electrospray source at atmospheric pressure ionization (ESI).
3.1.1. Synthesis of Compound 21
POCl3 (0.59 mL, 6.3 mmol) was added dropwise with stirring to 2 mL of DMF cooled to 0 °C. Then, a solution of 1.00 g (4.5 mmol) of 20 in 1.5 mL of DMF was added dropwise, avoiding heating above 15 °C. The mixture was stirred while heating to 35 °C for 1.5 h. Afterwards, the mixture was poured into a 10 mL mixture of H2O with ace. Then, NaOH (aq) was added to an alkaline pH, and the mixture was refluxed for 1 h. The precipitate was filtered off and washed until neutral and dried. The resulting product was a beige powder (1.01 g, 90%, melting point 235–237 °C, 234–235 °C according to the literature [67]).
3.1.2. Synthesis of Compound 22
A mixture of 0.99 g (4.0 mmol) of 21, 0.32 g (4.0 mmol) of CH3COONH4, and 6 mL of CH3NO2 was refluxed for 1 h. After cooling to room temperature, 4 mL of acetone and 100 mL of H2O were added. The precipitate that formed was filtered off and dried. The resulting product was orange crystals (0.96 g, 83%, melting point 175–177 °C, 179–180 °C according to the literature [67]).
3.1.3. Synthesis of Compound 23
A mixture of NaBH4 (0.72 g, 19.3 mmol), 53 mL of THF, and BF3·OEt2 (3 mL, 24.3 mmol) were placed in a dry flat-bottomed 100 mL flask with a septum and a rotor cooled to 0 °C. The solution was then stirred at room temperature for 15 min. A solution of 22 (0.96 g, 3.6 mmol) in 11 mL of THF was added dropwise through a septum with a syringe. Then, the mixture was refluxed for two hours. After cooling to room temperature, the mixture was poured into a 500 mL flask; ice was added until the reaction stopped, and 300 mL of H2O was added. A solution of 1M HCl was added to the mixture to an acidic pH; then, it was refluxed for two hours. After cooling to room temperature, the mixture was washed with ether, NaOH (aq) was added to a slightly basic pH, and the mixture was extracted with ether. The extract was dried, evaporated under reduced pressure, and immediately introduced to the next reaction. Product 23 was not isolated or characterized due to low stability.
3.1.4. Preparation of Compound 30
Pinacoline (29) (6.00 g, 59.9 mmol) and NaOH (1.15 g, 28.8 mmol) in 5 mL of H2O were successively added to a suspension of isatin (28) (5.00 g, 34.0 mmol) in EtOH (100 mL). Next, the reaction mixture was stirred on a magnetic stirrer heated to 50 °C. The reaction mixture was kept at a constant weak alkaline pH for 24 h. The progress of the reaction was monitored by TLC. After the appearance of traces of the by-product, the reaction was complete. Then, the mixture was evaporated under reduced pressure, and the residue was recrystallized from H2O. The crystals were filtered off, washed with cold H2O and dried. The obtained product was light beige crystals (2.30 g, 30%).
1H NMR (400 MHz, CDCl3): δ 8.46 (s, 1H), 7.30 (d, J = 7.4 Hz, 1H), 7.24 (td, J = 7.8, 1.0 Hz, 1H), 7.02 (td, J = 7.5, 0.6 Hz, 1H), 6.88 (d, J = 7.7 Hz, 1H), 4.82 (s, 1H), 3.33 (d, J = 17.6 Hz, 1H), 3.05 (d, J = 17.6 Hz, 1 H), 1.08 (s, 9H). 13C NMR (100 MHz, CDCl3): δ 215.3, 178.6, 140.7, 130.4, 129.9, 124.0, 123.0, 110.5, 74.8, 44.6, 42.6, 25.9. HRMS-ESI, m/z: [M + H]+ calculated for C14H18NO3+ 248.1281, obtained 248.1291.
3.1.5. Preparation of Compound 31
Compound 30 (2.00 g, 8.1 mmol) was dissolved in 5 mL of CH3COOH, and 4 drops of HCl (aq) were added to the solution. The reaction mixture was stirred on a magnetic stirrer heated to 75 °C. The progress of the reaction was monitored by TLC. Then, the mixture was poured into H2O and neutralized with NaHCO3; the solution was extracted with EtOAc (3 × 20 mL); and the extract was dried and evaporated under reduced pressure. The obtained product was orange crystals (1.84 g, 99%).
1H NMR (400 MHz, CDCl3): δ 8.36 (d, 7.8 Hz, 1H), 8.21 (br. s, 1H), 7.46 (s, 1H), 7.32 (td, J = 7.7, 0.9 Hz, 1H), 7.02 (td, J = 7.7, 0.8 Hz, 1H), 6.86 (d, J = 7.7 Hz, 1H), 1.29 (s, 9H). 13C NMR (100 MHz, CDCl3): δ 206.5, 169.5, 143.1, 136.1, 132.6, 128.1, 125.7, 122.9, 120.7, 110.0, 44.8, 26.2. HRMS-ESI, m/z: [M + H]+ calculated for C14H16NO2+ 230.1176, obtained 230.1193.
3.1.6. Preparation of Compound 32
Compound 31 (0.98 g, 4.3 mmol) was dissolved in 30 mL of MeOH. A catalytic amount of 10% Pd/C was added to the solution. The reaction was carried out in a hydrogen atmosphere (6 bar). The mixture was stirred at room temperature for 18 h. The bright orange color of the solution disappeared. The mixture was then poured into H2O and extracted with EtOAc (3 × 20 mL). The extract was dried and evaporated under reduced pressure. The obtained product was light yellow crystals (0.93 g, 94%).
1H NMR (400 MHz, CDCl3): δ 8.30 (br. s, 1H), 7.19 (t, J = 7.7 Hz, 1H), 7.09 (d, J = 7.4 Hz, 1H), 6.97 (td, J = 7.3, 0.6 Hz, 1H), 6.88 (d, J = 7.8 Hz, 1H), 3.91 (dd, J = 8.5, 3.2 Hz, 1H), 3.31 (dd, J = 18.4, 3.3 Hz, 1H), 3.00 (dd, J = 18.3, 8.6 Hz 1H), 1.17 (s, 9H). 13C NMR (100 MHz, CDCl3): δ 212.8, 180.0, 141.4, 129.7, 128.0, 124.2, 122.4, 109.6, 43.9, 41.4, 38.1, 26.4. HRMS-ESI, m/z: [M + H]+ calculated for C14H18NO2+ 232.1332, obtained 232.1332.
3.1.7. Preparation of Compound 33
Finely ground NH2OH·HCl (1.50 g, 21.5 mmol) and CH3COONa (1.76 g, 22.0 mmol) were added to a flat-bottomed flask. Next, 30 mL of MeOH was added, followed by the introduction of compound 32 (1.28 g, 5.2 mmol) into the mixture. The reaction mixture was stirred on a magnetic stirrer heated to 40 °C for 24 h. Then, the same amount of NH2OH·HCl and CH3COONa was added to the mixture, which was stirred with heating for another 24 h. At the end, the mixture was diluted with H2O and extracted with EtOAc (3 × 30 mL). The extract was dried and evaporated. The resulting product was a light cream powder (1.25 g, 97%).
1H NMR (400 MHz, CDCl3): δ 8.84 (br. s, 1H), 8.46 (s, 1H), 7.24 (d, J = 7.5 Hz, 1H), 7.19 (t, J = 7.8 Hz, 1H), 6.99 (td, J = 7.5, 0.5 Hz, 1H), 6.86 (d, J = 7.6 Hz, 1H), 4.43 (t, J = 8.6 Hz, 1H), 2.99 (dd, J = 13.9, 7.8 Hz, 1H) 2.68 (dd, J = 14.0, 9.6 Hz, 1H), 1.09 (s, 9H). 13C NMR (100 MHz, CDCl3): δ 180.2, 163.9, 141.2, 129.5, 128.0, 125.3, 122.2, 109.4, 42.1, 37.7, 28.0, 27.2. HRMS-ESI, m/z: [M + H]+ calculated for C14H19N2O2+ 247.1441, obtained 247.1454.
3.1.8. Synthesis of Compound 35
Compound 33 (0.74 g, 3.0 mmol) was dissolved in 20 mL of MeOH. A catalytic amount of PtO2 was added to the solution. The reaction was carried out in a hydrogen atmosphere (6 bar). Thereafter, the mixture was stirred at room temperature for 48 h. Afterwards, the precipitate that formed was filtered off and dried. Due to its instability, the resulting product 34 was immediately introduced to the next stage of the synthesis. NaBH4 (0.57 g, 15.1 mmol) was added to 10 mL of freshly distilled THF, which was in a flat-bottomed conical flask with a stirrer. The flask was placed in an ice bath; its contents were cooled to 0 °C, after which freshly distilled BF3·OEt2 (2.043 mL, 16.6 mmol) was added in portions. The ice bath was removed, and the reaction mixture was stirred for another 15 min at room temperature. The previously obtained product 34 was added to the solution. The mixture was heated to reflux. After 2 h, the mixture was cooled to room temperature, after which a 10% HCl solution was added to it to a fivefold dilution. The mixture was again heated to reflux and after 2 h was cooled to room temperature. The mixture was then neutralized with Na2CO3 (aq) and extracted with EtOAc (3 × 30 mL). The extract was dried, evaporated under reduced pressure, and immediately introduced to the next reaction. Product 35 was not isolated or characterized due to low stability.
3.1.9. Preparation of Substituted 1-Benzoyl-β-Carbolines 14–19, 24–25, 36–37
Corresponding acetophenone (0.5 mmol) and iodine (0.09 g, 0.4 mmol) were added to 2 mL of DMSO, and the resulting solution was heated at 110 °C for 1 h. Afterwards, tryptamine or its derivative (0.5 mmol) was added to the solution, and this solution was stirred at the same temperature for 3–4 h until the completion of the reaction (monitored by TLC). Then, the reaction mixture was cooled to room temperature followed by the addition of H2O (50 mL) and extraction with EtOAc (2 × 25 mL). The extract was washed with 10% Na2S2O3, dried over Na2SO4, filtered, and evaporated under reduced pressure. The residue was purified by MPLC using benzene or hexane/benzene as an eluent to give the desired product.
For compound 14: yellow solid, 35%. The spectral data correspond to the literature [62].
For compound 15: yellow solid, 38%. The spectral data correspond to the literature [62].
For compound 16: yellow solid, 31%. The spectral data correspond to the literature [62].
For compound 17: yellow solid, 42%. The spectral data correspond to the literature [46].
For compound 18: yellow solid, 38%. The spectral data correspond to the literature [62].
For compound 19: yellow solid, 37%. The data correspond to the literature [60].
For compound 24: orange solid, 28%. 1H NMR (400 MHz, CDCl3): δ 10.35 (br. s, 1H), 8.55 (d, J = 5.0 Hz, 1H), 8.13 (d, J = 5.0 Hz, 1H), 7.71 (m, 2H), 7.59–7.36 (m, 10H), 5.23 (s, 2H). 13C NMR (100 MHz, CDCl3): δ 197.8. 153.6, 140.1, 138.1, 137.1, 136.7, 135.9, 135.0, 132.8, 131.4, 130.9, 129.5, 128.4, 127.8, 127.3, 126.6, 120.9, 119.8, 119.6, 118.9, 112.6, 105.3, 70.7. HRMS-ESI, m/z: [M + H]+ calculated for C25H1879BrN2O2+ 457.0546, obtained 457.0547.
For compound 25: orange solid, 31%. 1H NMR (400 MHz, CDCl3): δ 10.32 (br. s, 1H), 8.49 (d, J = 5.0 Hz, 1H), 8.08 (d, J = 5.0 Hz, 1H), 7.94 (d, J = 8.0 Hz, 1H), 7.68 (d, J = 2.2 Hz, 1H), 7.53–7.45 (m, 5H), 7.40 (t, J = 7.4 Hz, 2H), 7.35–7.32 (m, 2H), 7.19 (td, J = 7.5, 2.1 Hz, 1H), 5.18 (s, 2H); 13C NMR (100 MHz, CDCl3): 198.9, 153.7, 143.7, 139.3, 138.0, 137.4, 136.7, 135.9, 134.5, 131.4, 130.9, 129.2, 128.4, 127.8, 127.3, 127.2, 120.9, 119.6, 118.8, 115.7, 112.6, 105.3, 92.6, 70.8. HRMS-ESI, m/z: [M + H]+ calculated for C25H18IN2O2+ 505.0408, obtained 505.0426.
For compound 36: yellow solid, 5%. 1H NMR (400 MHz, CDCl3): δ 10.22 (br. s, 1H), 8.21 (s, 1H), 8.18 (d, J = 7.8 Hz, 1H), 7.95 (d, J = 7.9, 1H), 7.60–7.56 (m, 3H), 7.48 (t, J = 7.5 Hz, 1H), 7.36–7.32 (m, 1H), 7.20 (td, J = 7.7, 1.5 Hz, 1H), 1.35 (s, 9H). 13C NMR (100 MHz, CDCl3): δ 199.3, 158.3, 144.3, 141.4, 139.1, 135.4, 132.9, 132.5, 130.8, 129.9, 129.0, 127.0, 121.7, 121.1, 120.6, 114.5, 112.0, 93.2, 37.6, 30.6. HRMS-ESI, m/z: [M + H]+ calculated for C22H2079BrN2O+ 407.0754, obtained 407.0768.
For compound 37: yellow solid, 6%. 1H NMR (400 MHz, CDCl3): δ 10.20 (br. s, 1H), 8.20 (s, 1H), 8.18 (dd, J = 8.0, 0.5 Hz, 1H), 7.67 (d, J = 8.0, 0.8 Hz, 1H), 7.61–7.58 (m, 3H), 7.44 (td, J = 7.5, 1.0 Hz, 1H), 7.38–7.31 (m, 2H), 1.35 (s, 9H). 13C (100 MHz, CDCl3): δ 198.2, 158.4, 141.4, 140.8, 135.1, 133.4, 132.6, 132.5, 130.7, 130.2, 129.0, 126.3, 121.7, 121.1, 120.6, 120.4, 114.4, 111.9, 37.5, 30.5. HRMS-ESI, m/z: [M + H]+ calculated for C22H20IN2O+ 455.0615, obtained 455.0624.
3.1.10. Preparation of Fascaplysins 1, 3, 4
A solution of the corresponding 1-benzoyl-β-carboline (0.05 mmol) in 10 mL of acetonitrile was irradiated with UV for 30–90 min. The solution was evaporated, the residue was washed from the starting β-carboline with acetonitrile or benzene, depending on the solubility of the resulting fascaplysin. For re-irradiation, the non-reacted β-carboline solution was evaporated, dissolved in 10 mL of acetonitrile, and irradiated again. The end of the reaction was monitored by TLC. After filtration, the fascaplysin was washed with EtOH, then evaporated under reduced pressure and dried. Then, the product was dissolved in H2O, and an aqueous solution of Na2CO3 was added. The resulting dark green precipitate of the deprotonated form of the product was filtered, washed with water, and washed off with an aqueous solution of HCl. The resulting solution was evaporated and dried.
For fascaplysin (1): red solid, 91%. The data correspond to the literature [4].
For 9-benzyloxyfascaplysin (3): red solid, 88%. 1H NMR (400 MHz, CD3OD): δ 9.26 (d, J = 6.2 Hz, 1 H), 8.87 (d, J = 6.2 Hz, 1 H), 8.27 (d, J = 8.1 Hz, 1 H), 7.97–8.03 (m, 2 H), 7.92 (t, J = 7.6 Hz, 1 H), 7.73–7.67 (m, 2 H), 7.57 (dd, J = 9.0, 2.2 Hz, 1 H), 7.48 (d, J = 7.3 Hz, 2H), 7.33–7.40 (m, 2 H), 7.30 (d, J = 7.2 Hz, 1 H), 5.22 (s, 2 H). 13C NMR (100 MHz, CD3OD): δ 181.6, 155.2, 147.1, 142.6, 142.3, 140.5, 136.5, 136.4, 130.8, 127.9, 127.4, 127.1, 125.8, 125.0, 124.8, 123.8, 122.1, 120.1, 119.3, 115. 7, 114.6, 113.9, 106.7, 104.9, 70.1. HRMS-ESI, m/z: [M]+ calculated for C25H17N2O2+ 377.1285, obtained 377.1284.
For 6-tert-butylfascaplysin (4): red solid, 92%. 1H NMR (400 MHz, CD3OD): δ 9.00 (s, 1H), 8.53 (d, J = 8.0 Hz, 1H), 8.43 (d, J = 8.6 Hz, 1H), 8.08 (d, J = 6.8 Hz, 1H), 7.96 (t, J = 7.6 Hz, 1H), 7.85 (t, J = 7.6 Hz, 1H), 7.77–7.71 (m, 2H), 7.48 (t, J = 7.5 Hz, 1H), 1.95 (s, 9H). 13C NMR (100 MHz, MeOH-d4): δ 182.9, 149.1, 148.8, 141.5, 136.1, 134.7, 131.5, 130.5, 125.5. 125.3, 124.8, 124.4, 124.2, 122.9, 119.6, 119.2, 113.2, 112.0, 36.6, 30.4. HRMS-ESI, m/z: [M]+ calculated for C22H19N2O+ 327.1492, obtained 327.1486.
3.1.11. An Attempt to Remove the Benzyl Protection from 3
Method A. Freshly distilled BF3·OEt2 (0.02 mL, 1.5 mmol) in 2 mL of dry acetonitrile was slowly added to a stirred solution of 3 (5 mg, 0.01 mmol) and anhydrous NaI (2 mg, 0.1 mmol) in 5 mL of dry acetonitrile at 0 °C for 10–15 min. The mixture was stirred at 0 °C for 2 h and then for another 8 h at room temperature. The reaction was monitored by TLC. The formation of a rapidly oxidizing compound, presumably compound 27, with by-products was observed.
Method B. To 5 mg of 9-benzyloxyfascaplysin (0.01 mmol) in 5 mL of ethanol in a 10 mL flat-bottom flask, a catalytic amount of 10% palladium on carbon was added; this was sealed with a septum and left to stir under a hydrogen atmosphere on a magnetic stirrer at room temperature for 16 h. The reaction mixture changed color to green after 15 min. The progress of the reaction was monitored by TLC. The formation of a rapidly oxidizing compound, presumably compound 27, with by-products was observed.
HRMS-ESI, m/z: M+ calculated for C18H9IN2O2+ 285.0659, obtained 285.0672.
3.2. Biological Assay
3.2.1. Reagents
Propidium iodide and MTT reagent (3-(4,5-dimethylthiazol-2-yl)-2,5-diphenyltetrazolium bromide) were purchased from Sigma (Taufkirchen, Germany); thiazole orange was purchased from Merck (Darmstadt, Germany); RNase was purchased from Carl Roth (Karlsruhe, Germany).
3.2.2. Cell Lines and Culture Conditions
Cell lines PC-3, DU145, 22Rv1, and LNCaP (human prostate cancer), as well as PNT2 (human prostate non-cancer), were purchased from ATCC (Manassas, VA, USA). Human embryonic kidney cells HEK 293T and human fibroblasts MRC-9 cell lines were purchased from ECACC (Salisbury, UK). The cells used had a passage ≤ 30 and were recently authenticated by Multiplexion GmbH (Heidelberg, Germany). The cells were cultured at 37 °C as monolayers in a humidified atmosphere of 5% CO2. The culture mediums used for cultivation and experiments: for PNT2, LNCaP, 22Rv1, PC-3, and DU145 cells—RPMI GlutamaxTM-I medium (gibco® Life TechnologiesTM, Paisley, UK), supplemented with 10% FBS (gibco® Life TechnologiesTM) and 1% penicillin/streptomycin (Invitrogen, Waltham, MA, USA); for MRC-9 and HEK 293 cells—DMEM GlutamaxTM-I medium (gibco® Life TechnologiesTM), supplemented with 10% FBS and 1% penicillin/streptomycin.
3.2.3. MTT Assay
The cytotoxic activity of the synthesized compounds was examined using an MTT assay, which was performed as previously reported [68]. In brief, the cells were seeded in 96-well plates (6000 cells/well) and incubated overnight. The medium was replaced with fresh medium containing the tested drugs, and the cells were incubated for an additional 48 h. Next, 10 μL/well of 5 mg/mL MTT reagent was added, and the cells were incubated for an additional 2 h. Then, the medium was removed, the formazan crystals were dried overnight, and DMSO was added to each well (50 μL/well). The absorbance of the DMSO solutions was measured using a TECAN Infinite F200PRO reader (Männedorf, Switzerland). IC50 were calculated with the GraphPad Prism v.9.1.1 (San Diego, CA, USA).
3.2.4. Thiazole Orange Displacement (DNA Intercalation Assay)
A thiazole displacement assay was performed to measure the DNA intercalation activity. A mixture, containing 1 μM of double-stranded calf thymus DNA (recalculated as a concentration of base pairs) and 2 μM of thiazole orange (TO) staining agent dissolved in H2O, was used. The fascaplysins were added at concentrations of 0.39–25 μM. The DMSO concentration in the samples was not more than 0.02%. Propidium iodide (PI) was used as an appositive control and taken in concentrations of 0.039–2.5 μM. TO fluorescence was measured 7 min post-incubation at room temperature using a multimodal plate reader TECAN Spark (Männedorf, Switzerland) at the excitation λ = 480 nm. Fluorescence was recorded at λ = 530 nm with the bandwidth 10 nm. The concentration of the drug causing a decrease in TO fluorescence by 50% (EC50) was determined using a non-linear regression approximating algorithm, calculated with the GraphPad Prism v.9.1.1 software (San Diego, CA, USA).
3.2.5. Data and Statistical Analysis
Statistical analyses were performed using GraphPad Prism software v.9.1.1 (San Diego, CA, USA). IC50 were presented as mean ± standard deviation (SD). The biological experiments were performed in triplicates.
4. Conclusions
In conclusion, we developed a protocol that allowed the quaternization of 1-benzoyl-β-carbolines by UV irradiation to the corresponding fascaplysin derivatives under mild conditions. Our method significantly expands the existing options for the synthesis of a wide range of derivatives of this alkaloid. This gives novel opportunities for detailed studies of the structure–activity relationships among these promising physiologically active molecules. The proposed method was used to synthesize both fascaplysin itself and its thermolabile derivatives 9-benzyloxyfascaplysin and 6-tert-butylfascaplysin. The attempts to convert 9-benzyloxyfascaplysin to 9-hydroxyfascaplysin, a promising compound for further synthesis of conjugates for targeted drug delivery, indicated the instability of the latter drug. Consequently, hydroxy derivatives of fascaplysin at other positions are required. The synthesis of 6-tert-butylfascaplysin allowed, for the very first time, the evaluation of the cytotoxicity of the compound with the skeleton of fascaplysin but with reduced ability to intercalate into DNA. Of note, a rather minor decrease in the cytotoxicity of this 6-tert-butylfascaplysin compared to fascaplysin was found. Consequently, the assumption that the DNA intercalation of fascaplysin is a major mechanism of its action must be critically questioned. Our study highlights the demand for further studies to elucidate the subtle mechanisms of the biological activity of this promising marine natural product.
Supplementary Materials
The following supporting information can be downloaded at: https://www.mdpi.com/article/10.3390/md21080424/s1. 1H and 13C NMR Spectra data.
Author Contributions
Conception and design, M.E.Z.; development of methodology, M.E.Z., P.V.S. and S.A.D.; acquisition of data, O.A.T., A.V.K., M.E.Z., P.V.S. and S.A.D.; data analysis, M.E.Z., P.V.S., S.A.D., O.A.T., A.V.K., M.A.S., M.E.Z. and G.v.A.; data interpretation, all authors; compound synthesis and purification, O.A.T., M.E.Z. and A.V.K.; anticancer activity examination, G.v.A. and S.A.D.; study of DNA intercalating activity, P.V.S. and V.S.P.; writing—original draft preparation, O.A.T. and M.E.Z.; writing—review and editing, all authors; review and/or revision of the final version of the manuscript, all authors; artwork, O.A.T., M.E.Z., P.V.S. and S.A.D.; fundraising, M.E.Z., P.V.S. and G.v.A.; study supervision, M.E.Z. All authors have read and agreed to the published version of the manuscript.
Funding
The synthetic part of this work was supported by grant 075-03-2022-114/7 (project FZNS-2022-0014) from the Ministry of Science and Higher Education of the Russian Federation. The thiazole orange displacement assay was supported by the Russian Science Foundation, grant № 21-14-00355. Part of this work was also funded by the Russian Science Foundation, grant 22-23-01009, by Far Eastern Federal University, the Program FEFU Priority 2030: Physics and Materials Science and by the RFBR grant according to the research project № 20-33-90128.
Institutional Review Board Statement
Not applicable.
Data Availability Statement
The original data are available from the corresponding author on request.
Conflicts of Interest
The authors declare no conflict of interest.
References
- Bharate, S.B.; Manda, S.; Mupparapu, N.; Battini, N.; Vishwakarma, R.A. Chemistry and Biology of Fascaplysin, a Potent Marine-Derived CDK-4 Inhibitor. Mini Rev. Med. Chem. 2012, 12, 650–664. [Google Scholar] [CrossRef]
- Roll, D.M.; Ireland, C.M.; Lu, H.S.M.; Clardy, J. Fascaplysin, an Unusual Antimicrobial Pigment from the Marine Sponge Fascaplysinopsis sp. J. Org. Chem. 1988, 53, 3276–3278. [Google Scholar] [CrossRef]
- Jimenez, C.; Quinoa, E.; Adamczeski, M.; Hunter, L.M.; Crews, P. Novel Sponge-Derived Amino Acids. 12. Tryptophan-Derived Pigments and Accompanying Sesterterpenes from Fascaplysinopsis reticulata. J. Org. Chem. 1991, 56, 3403–3410. [Google Scholar] [CrossRef]
- Kirsch, G.; König, G.M.; Wright, A.D.; Kaminsky, R. A New Bioactive Sesterterpene and Antiplasmodial Alkaloids from the Marine Sponge Hyrtios cf. erecta. J. Nat. Prod. 2000, 63, 825–829. [Google Scholar] [CrossRef] [PubMed]
- Van Duyne, R.; Guendel, I.; Kehn-Hall, K.; Easley, R.; Klase, Z.; Liu, C.; Young, M.; Kashanchi, F. The Identification of Unique Serum Proteins of HIV-1 Latently Infected Long-Term Non-Progressor Patients. AIDS Res. Ther. 2010, 7, 21. [Google Scholar] [CrossRef]
- Munakata, T.; Inada, M.; Tokunaga, Y.; Wakita, T.; Kohara, M.; Nomoto, A. Suppression of Hepatitis C Virus Replication by Cyclin-Dependent Kinase Inhibitors. Antivir. Res. 2014, 108, 79–87. [Google Scholar] [CrossRef]
- Charan, R.D.; McKee, T.C.; Gustafson, K.R.; Pannell, L.K.; Boyd, M.R. Thorectandramine, a Novel β-Carboline Alkaloid from the Marine Sponge Thorectandra sp. Tetrahedron Lett. 2002, 43, 5201–5204. [Google Scholar] [CrossRef]
- Zhidkov, M.E.; Baranova, O.V.; Balaneva, N.N.; Fedorov, S.N.; Radchenko, O.S.; Dubovitskii, S.V. The First Syntheses of 3-Bromofascaplysin, 10-Bromofascaplysin and 3,10-Dibromofascaplysin—Marine Alkaloids from Fascaplysinopsis reticulata and Didemnum Sp. by Application of a Simple and Effective Approach to the Pyrido[1,2-a:3,4-B′]Diindole System. Tetrahedron Lett. 2007, 48, 7998–8000. [Google Scholar] [CrossRef]
- Lu, X.-L.; Zheng, Y.-L.; Chen, H.-M.; Yan, X.-J.; Wang, F.; Xu, W.-F. Anti-proliferation of human cervical cancer HeLa cell line by fascaplysin through apoptosis induction. Acta Pharm. Sin. 2009, 44, 980–986. [Google Scholar]
- Lyakhova, I.A.; Bryukhovetsky, I.S.; Kudryavtsev, I.V.; Khotimchenko, Y.S.; Zhidkov, M.E.; Kantemirov, A.V. Antitumor Activity of Fascaplysin Derivatives on Glioblastoma Model In Vitro. Bull. Exp. Biol. Med. 2018, 164, 666–672. [Google Scholar] [CrossRef]
- Zhidkov, M.E.; Smirnova, P.A.; Tryapkin, O.A.; Kantemirov, A.V.; Khudyakova, Y.V.; Malyarenko, O.S.; Ermakova, S.P.; Grigorchuk, V.P.; Kaune, M.; von Amsberg, G.; et al. Total Syntheses and Preliminary Biological Evaluation of Brominated Fascaplysin and Reticulatine Alkaloids and Their Analogues. Mar. Drugs 2019, 17, 496. [Google Scholar] [CrossRef]
- Yan, X.; Chen, H.; Lu, X.; Wang, F.; Xu, W.; Jin, H.; Zhu, P. Fascaplysin Exert Anti-Tumor Effects through Apoptotic and Anti-Angiogenesis Pathways in Sarcoma Mice Model. Eur. J. Pharm. Sci. 2011, 43, 251–259. [Google Scholar] [CrossRef]
- Soni, R.; Muller, L.; Furet, P.; Schoepfer, J.; Stephan, C.; Zumstein-Mecker, S.; Fretz, H.; Chaudhuri, B. Inhibition of Cyclin-Dependent Kinase 4 (Cdk4) by Fascaplysin, a Marine Natural Product. Biochem. Biophys. Res. Commun. 2000, 275, 877–884. [Google Scholar] [CrossRef]
- Mahgoub, T.; Eustace, A.J.; Collins, D.M.; Walsh, N.; O’Donovan, N.; Crown, J. Kinase Inhibitor Screening Identifies CDK4 as a Potential Therapeutic Target for Melanoma. Int. J. Oncol. 2015, 47, 900–908. [Google Scholar] [CrossRef]
- Chen, S.; Guan, X.; Wang, L.-L.; Li, B.; Sang, X.-B.; Liu, Y.; Zhao, Y. Fascaplysin Inhibit Ovarian Cancer Cell Proliferation and Metastasis through Inhibiting CDK4. Gene 2017, 635, 3–8. [Google Scholar] [CrossRef]
- Hörmann, A.; Chaudhuri, B.; Fretz, H. DNA Binding Properties of the Marine Sponge Pigment Fascaplysin. Bioorg. Med. Chem. 2001, 9, 917–921. [Google Scholar] [CrossRef]
- Mahale, S.; Aubry, C.; James Wilson, A.; Jenkins, P.R.; Maréchal, J.-D.; Sutcliffe, M.J.; Chaudhuri, B. CA224, a Non-Planar Analogue of Fascaplysin, Inhibits Cdk4 but Not Cdk2 and Arrests Cells at G0/G1 Inhibiting PRB Phosphorylation. Bioorg. Med. Chem. Lett. 2006, 16, 4272–4278. [Google Scholar] [CrossRef]
- Mahale, S.; Bharate, S.B.; Manda, S.; Joshi, P.; Bharate, S.S.; Jenkins, P.R.; Vishwakarma, R.A.; Chaudhuri, B. Biphenyl-4-Carboxylic Acid [2-(1 H -Indol-3-Yl)-Ethyl]-Methylamide (CA224), a Nonplanar Analogue of Fascaplysin, Inhibits Cdk4 and Tubulin Polymerization: Evaluation of in Vitro and in Vivo Anticancer Activity. J. Med. Chem. 2014, 57, 9658–9672. [Google Scholar] [CrossRef]
- Mahale, S.; Bharate, S.B.; Manda, S.; Joshi, P.; Jenkins, P.R.; Vishwakarma, R.A.; Chaudhuri, B. Antitumour Potential of BPT: A Dual Inhibitor of Cdk4 and Tubulin Polymerization. Cell Death Dis. 2015, 6, e1743. [Google Scholar] [CrossRef]
- Aubry, C.; Jenkins, P.R.; Mahale, S.; Chaudhuri, B.; Maréchal, J.-D.; Sutcliffe, M.J. New Fascaplysin-Based CDK4-Specific Inhibitors: Design, Synthesis and Biological Activity. Chem. Commun. 2004, 15, 1696–1697. [Google Scholar] [CrossRef]
- García, M.D.; Wilson, A.J.; Emmerson, D.P.G.; Jenkins, P.R.; Mahale, S.; Chaudhuri, B. Synthesis, Crystal Structure and Biological Activity of β-Carboline Based Selective CDK4-Cyclin D1 Inhibitors. Org. Biomol. Chem. 2006, 4, 4478–4484. [Google Scholar] [CrossRef] [PubMed]
- Mahale, S.; Aubry, C.; Jenkins, P.R.; Maréchal, J.-D.; Sutcliffe, M.J.; Chaudhuri, B. Inhibition of Cancer Cell Growth by Cyclin Dependent Kinase 4 Inhibitors Synthesized Based on the Structure of Fascaplysin. Bioorg. Chem. 2006, 34, 287–297. [Google Scholar] [CrossRef] [PubMed]
- Aubry, C.; Wilson, A.J.; Jenkins, P.R.; Mahale, S.; Chaudhuri, B.; Maréchal, J.-D.; Sutcliffe, M.J. Design, Synthesis and Biological Activity of New CDK4-Specific Inhibitors, Based on Fascaplysin. Org. Biomol. Chem. 2006, 4, 787. [Google Scholar] [CrossRef] [PubMed]
- Jenkins, P.R.; Wilson, J.; Emmerson, D.; Garcia, M.D.; Smith, M.R.; Gray, S.J.; Britton, R.G.; Mahale, S.; Chaudhuri, B. Design, Synthesis and Biological Evaluation of New Tryptamine and Tetrahydro-β-Carboline-Based Selective Inhibitors of CDK4. Bioorg. Med. Chem. 2008, 16, 7728–7739. [Google Scholar] [CrossRef] [PubMed]
- Aubry, C.; Wilson, A.J.; Emmerson, D.; Murphy, E.; Chan, Y.Y.; Dickens, M.P.; García, M.D.; Jenkins, P.R.; Mahale, S.; Chaudhuri, B. Fascaplysin-Inspired Diindolyls as Selective Inhibitors of CDK4/Cyclin D1. Bioorg. Med. Chem. 2009, 17, 6073–6084. [Google Scholar] [CrossRef]
- Cao, S.; Foster, C.; Lazo, J.S.; Kingston, D.G.I. Sesterterpenoids and an Alkaloid from a Thorectandra Sp. as Inhibitors of the Phosphatase Cdc25B. Bioorg. Med. Chem. 2005, 13, 5094–5098. [Google Scholar] [CrossRef]
- Lin, J.; Yan, X.-J.; Chen, H.-M. Fascaplysin, a Selective CDK4 Inhibitor, Exhibit Anti-Angiogenic Activity In Vitro and In Vivo. Cancer Chemother. Pharm. 2007, 59, 439–445. [Google Scholar] [CrossRef]
- Zheng, Y.L.; Lu, X.L.; Lin, J.; Chen, H.M.; Yan, X.J.; Wang, F.; Xu, W.F. Direct Effects of Fascaplysin on Human Umbilical Vein Endothelial Cells Attributing the Anti-Angiogenesis Activity. Biomed. Pharmacother. 2010, 64, 527–533. [Google Scholar] [CrossRef]
- Wang, F.; Chen, H.; Yan, X.; Zheng, Y. Fascaplysin Sensitizes Cells to TRAIL-Induced Apoptosis through Upregulating DR5 Expression. Chin. J. Oceanol. Limnol. 2013, 31, 560–569. [Google Scholar] [CrossRef]
- Kumar, S.; Guru, S.K.; Pathania, A.S.; Manda, S.; Kumar, A.; Bharate, S.B.; Vishwakarma, R.A.; Malik, F.; Bhushan, S. Fascaplysin Induces Caspase Mediated Crosstalk Between Apoptosis and Autophagy Through the Inhibition of PI3K/AKT/MTOR Signaling Cascade in Human Leukemia HL-60 Cells. J. Cell. Biochem. 2015, 116, 985–997. [Google Scholar] [CrossRef]
- Meng, N.; Mu, X.; Lv, X.; Wang, L.; Li, N.; Gong, Y. Autophagy Represses Fascaplysin-Induced Apoptosis and Angiogenesis Inhibition via ROS and P8 in Vascular Endothelia Cells. Biomed. Pharmacother. 2019, 114, 108866. [Google Scholar] [CrossRef]
- Oh, T.-I.; Lee, Y.-M.; Nam, T.-J.; Ko, Y.-S.; Mah, S.; Kim, J.; Kim, Y.; Reddy, R.; Kim, Y.; Hong, S.; et al. Fascaplysin Exerts Anti-Cancer Effects through the Downregulation of Survivin and HIF-1α and Inhibition of VEGFR2 and TRKA. Int. J. Mol. Sci. 2017, 18, 2074. [Google Scholar] [CrossRef]
- Oh, T.-I.; Lee, J.; Kim, S.; Nam, T.-J.; Kim, Y.-S.; Kim, B.; Yim, W.; Lim, J.-H. Fascaplysin Sensitizes Anti-Cancer Effects of Drugs Targeting AKT and AMPK. Molecules 2017, 23, 42. [Google Scholar] [CrossRef]
- Hamilton, G. Cytotoxic Effects of Fascaplysin against Small Cell Lung Cancer Cell Lines. Mar. Drugs 2014, 12, 1377–1389. [Google Scholar] [CrossRef]
- Rath, B.; Hochmair, M.; Plangger, A.; Hamilton, G. Anticancer Activity of Fascaplysin against Lung Cancer Cell and Small Cell Lung Cancer Circulating Tumor Cell Lines. Mar. Drugs 2018, 16, 383. [Google Scholar] [CrossRef]
- Plangger, A.; Rath, B.; Hochmair, M.; Funovics, M.; Neumayer, C.; Zeillinger, R.; Hamilton, G. Synergistic Cytotoxicity of the CDK4 Inhibitor Fascaplysin in Combination with EGFR Inhibitor Afatinib against Non-Small Cell Lung Cancer. Investig. New Drugs 2022, 40, 215–223. [Google Scholar] [CrossRef]
- Luo, L.; Xu, G. Fascaplysin Induces Apoptosis and Ferroptosis, and Enhances Anti-PD-1 Immunotherapy in Non-Small Cell Lung Cancer (NSCLC) by Promoting PD-L1 Expression. Int. J. Mol. Sci. 2022, 23, 13774. [Google Scholar] [CrossRef]
- Bharate, S.B.; Manda, S.; Joshi, P.; Singh, B.; Vishwakarma, R.A. Total Synthesis and Anti-Cholinesterase Activity of Marine-Derived Bis-Indole Alkaloid Fascaplysin. MedChemComm 2012, 3, 1098. [Google Scholar] [CrossRef]
- Johnson, T.A.; Milan-Lobo, L.; Che, T.; Ferwerda, M.; Lambu, E.; McIntosh, N.L.; Li, F.; He, L.; Lorig-Roach, N.; Crews, P.; et al. Identification of the First Marine-Derived Opioid Receptor “Balanced” Agonist with a Signaling Profile That Resembles the Endorphins. ACS Chem. Neurosci. 2017, 8, 473–485. [Google Scholar] [CrossRef]
- Kuzmich, A.S.; Fedorov, S.N.; Shastina, V.V.; Shubina, L.K.; Radchenko, O.S.; Balaneva, N.N.; Zhidkov, M.E.; Park, J.-I.; Kwak, J.Y.; Stonik, V.A. The Anticancer Activity of 3- and 10-Bromofascaplysins Is Mediated by Caspase-8, -9, -3-Dependent Apoptosis. Bioorg. Med. Chem. 2010, 18, 3834–3840. [Google Scholar] [CrossRef]
- Dyshlovoy, S.A.; Kaune, M.; Hauschild, J.; Kriegs, M.; Hoffer, K.; Busenbender, T.; Smirnova, P.A.; Zhidkov, M.E.; Poverennaya, E.V.; Oh-Hohenhorst, S.J.; et al. Efficacy and Mechanism of Action of Marine Alkaloid 3,10-Dibromofascaplysin in Drug-Resistant Prostate Cancer Cells. Mar. Drugs 2020, 18, 609. [Google Scholar] [CrossRef] [PubMed]
- Lyakhova, I.; Piatkova, M.; Khotimchenko, Y.; Zhidkov, M.; Kantemirov, A.; Khotimchenko, R.; Bryukhovetskiy, A.; Sharma, A.; Sharma, H.S.; Bryukhovetskiy, I. 3-Bromofascaplysin Is a Prospective Chemical Compound for Developing New Chemotherapy Agents in Glioblastoma Treatment. In International Review of Neurobiology; Elsevier: Amsterdam, The Netherlands, 2020; Volume 151, pp. 325–343. ISBN 978-0-12-821114-4. [Google Scholar]
- Zhidkov, M.E.; Kaune, M.; Kantemirov, A.V.; Smirnova, P.A.; Spirin, P.V.; Sidorova, M.A.; Stadnik, S.A.; Shyrokova, E.Y.; Kaluzhny, D.N.; Tryapkin, O.A.; et al. Study of Structure–Activity Relationships of the Marine Alkaloid Fascaplysin and Its Derivatives as Potent Anticancer Agents. Mar. Drugs 2022, 20, 185. [Google Scholar] [CrossRef] [PubMed]
- Spirin, P.; Shyrokova, E.; Lebedev, T.; Vagapova, E.; Smirnova, P.; Kantemirov, A.; Dyshlovoy, S.A.; von Amsberg, G.; Zhidkov, M.; Prassolov, V. Cytotoxic Marine Alkaloid 3,10-Dibromofascaplysin Induces Apoptosis and Synergizes with Cytarabine Resulting in Leukemia Cell Death. Mar. Drugs 2021, 19, 489. [Google Scholar] [CrossRef] [PubMed]
- Sharma, S.; Guru, S.K.; Manda, S.; Kumar, A.; Mintoo, M.J.; Prasad, V.D.; Sharma, P.R.; Mondhe, D.M.; Bharate, S.B.; Bhushan, S. A Marine Sponge Alkaloid Derivative 4-Chloro Fascaplysin Inhibits Tumor Growth and VEGF Mediated Angiogenesis by Disrupting PI3K/Akt/MTOR Signaling Cascade. Chem. Biol. Interact. 2017, 275, 47–60. [Google Scholar] [CrossRef] [PubMed]
- Manda, S.; Sharma, S.; Wani, A.; Joshi, P.; Kumar, V.; Guru, S.K.; Bharate, S.S.; Bhushan, S.; Vishwakarma, R.A.; Kumar, A.; et al. Discovery of a Marine-Derived Bis-Indole Alkaloid Fascaplysin, as a New Class of Potent P-Glycoprotein Inducer and Establishment of Its Structure–Activity Relationship. Eur. J. Med. Chem. 2016, 107, 1–11. [Google Scholar] [CrossRef] [PubMed]
- Pan, H.; Qiu, H.; Zhang, K.; Zhang, P.; Liang, W.; Yang, M.; Mou, C.; Lin, M.; He, M.; Xiao, X.; et al. Fascaplysin Derivatives Are Potent Multitarget Agents against Alzheimer’s Disease: In Vitro and in Vivo Evidence. ACS Chem. Neurosci. 2019, 10, 4741–4756. [Google Scholar] [CrossRef]
- Sun, Q.; Liu, F.; Sang, J.; Lin, M.; Ma, J.; Xiao, X.; Yan, S.; Naman, C.; Wang, N.; He, S.; et al. 9-Methylfascaplysin Is a More Potent Aβ Aggregation Inhibitor than the Marine-Derived Alkaloid, Fascaplysin, and Produces Nanomolar Neuroprotective Effects in SH-SY5Y Cells. Mar. Drugs 2019, 17, 121. [Google Scholar] [CrossRef]
- Wang, X.; Qiu, H.; Yang, N.; Xie, H.; Liang, W.; Lin, J.; Zhu, H.; Zhou, Y.; Wang, N.; Tan, X.; et al. Fascaplysin Derivatives Binding to DNA via Unique Cationic Five-Ring Coplanar Backbone Showed Potent Antimicrobial/Antibiofilm Activity against MRSA in Vitro and in Vivo. Eur. J. Med. Chem. 2022, 230, 114099. [Google Scholar] [CrossRef]
- Jiang, Y.; Qiu, H.; Liang, W.; Lin, J.; Lin, J.; Liu, W.; Wang, X.; Cui, W.; Chen, X.; Wang, H.; et al. Derivatization of Marine-Derived Fascaplysin via Highly Regioselective Suzuki-Miyaura Coupling Contributing to the Enhanced Antibacterial Activity. ChemistrySelect 2022, 7, e202201441. [Google Scholar] [CrossRef]
- Pelcman, B.; Gribble, G.W. Total Synthesis of the Marine Sponge Pigment Fascaplysin. Tetrahedron Lett. 1990, 31, 2381–2384. [Google Scholar] [CrossRef]
- Rocca, P.; Marsais, F.; Godard, A.; Quéguiner, G. A Short Synthesis of the Antimicrobial Marine Sponge Pigment Fascaplysin. Tetrahedron Lett. 1993, 34, 7917–7918. [Google Scholar] [CrossRef]
- Zhidkov, M.E.; Baranova, O.V.; Kravchenko, N.S.; Dubovitskii, S.V. A New Method for the Synthesis of the Marine Alkaloid Fascaplysin. Tetrahedron Lett. 2010, 51, 6498–6499. [Google Scholar] [CrossRef]
- Waldmann, H.; Eberhardt, L.; Wittstein, K.; Kumar, K. Silver Catalyzed Cascade Synthesis of Alkaloid Ring Systems: Concise Total Synthesis of Fascaplysin, Homofascaplysin C and Analogues. Chem. Commun. 2010, 46, 4622. [Google Scholar] [CrossRef]
- Shakoori, A.; Bremner, J.B.; Willis, A.C.; Haritakun, R.; Keller, P.A. Rapid Cascade Synthesis of Poly-Heterocyclic Architectures from Indigo. J. Org. Chem. 2013, 78, 7639–7647. [Google Scholar] [CrossRef]
- Zhidkov, M.E.; Kantemirov, A.V.; Koisevnikov, A.V.; Andin, A.N.; Kuzmich, A.S. Syntheses of the Marine Alkaloids 6-Oxofascaplysin, Fascaplysin and Their Derivatives. Tetrahedron Lett. 2018, 59, 708–711. [Google Scholar] [CrossRef]
- Molina, P.; Fresneda, P.M.; García-Zafra, S.; Almendros, P. Iminophosphorane-Mediated Syntheses of the Fascaplysin Alkaloid of Marine Origin and Nitramarine. Tetrahedron Lett. 1994, 35, 8851–8854. [Google Scholar] [CrossRef]
- Radchenko, O.S.; Novikov, V.L.; Elyakov, G.B. A Simple and Practical Approach to the Synthesis of the Marine Sponge Pigment Fascaplysin and Related Compounds. Tetrahedron Lett. 1997, 38, 5339–5342. [Google Scholar] [CrossRef]
- Zhidkov, M.E.; Kaminskii, V.A. A New Method for the Synthesis of the Marine Alkaloid Fascaplysin Based on the Microwave-Assisted Minisci Reaction. Tetrahedron Lett. 2013, 54, 3530–3532. [Google Scholar] [CrossRef]
- Zhu, Y.-P.; Liu, M.-C.; Cai, Q.; Jia, F.-C.; Wu, A.-X. A Cascade Coupling Strategy for One-Pot Total Synthesis of β-Carboline and Isoquinoline-Containing Natural Products and Derivatives. Chem. Eur. J. 2013, 19, 10132–10137. [Google Scholar] [CrossRef]
- Battini, N.; Padala, A.K.; Mupparapu, N.; Vishwakarma, R.A.; Ahmed, Q.N. Unexplored Reactivity of 2-Oxoaldehydes towards Pictet–Spengler Conditions: Concise Approach to β-Carboline Based Marine Natural Products. RSC Adv. 2014, 4, 26258. [Google Scholar] [CrossRef]
- Dighe, S.U.; Samanta, S.K.; Kolle, S.; Batra, S. Iodine-Mediated Oxidative Pictet-Spengler Reaction Using Terminal Alkyne as the 2-Oxoaldehyde Surrogate for the Synthesis of 1-Aroyl-β-Carbolines and Fused-Nitrogen Heterocycles. Tetrahedron 2017, 73, 2455–2467. [Google Scholar] [CrossRef]
- Girreser, U.; Hermann, T.W.; Piotrowska, K. Oxidation and Degradation Products of Papaverine, Part II[1]: Investigations on the Photochemical Degradation of Papaverine Solutions. Int. J. Pharm. Med. Chem. 2003, 336, 401–405. [Google Scholar] [CrossRef] [PubMed]
- Girreser, U.; Czyrski, A.; Hermann, T.W. Synthesis and Structure Elucidation of a New Isoquinolinium Inner Salt. Tetrahedron Lett. 2009, 50, 4610–4612. [Google Scholar] [CrossRef]
- Qian, Y.; Ahmad, M.; Chen, S.; Gillespie, P.; Le, N.; Mennona, F.; Mischke, S.; So, S.-S.; Wang, H.; Burghardt, C.; et al. Discovery of 1-Arylcarbonyl-6,7-Dimethoxyisoquinoline Derivatives as Glutamine Fructose-6-Phosphate Amidotransferase (GFAT) Inhibitors. Bioorg. Med. Chem. Lett. 2011, 21, 6264–6269. [Google Scholar] [CrossRef]
- Franklin, C.S.; White, A.C. A Novel Preparation of Alpha-Substituted Tryptamines from Isatins. J. Chem. Soc. 1963, 196, 1335–1337. [Google Scholar] [CrossRef]
- Ash, A.S.F.; Wragg, W.R. 790. Synthesis of the 3-2′-Aminopropyl- and 3-2′-Aminobutyl-Derivatives of 5-Hydroxyindole, and an Alternative Synthesis of 5-Hydroxytryptamine. J. Chem. Soc. 1958, 3887–3892. [Google Scholar] [CrossRef]
- Dyshlovoy, S.A.; Pelageev, D.N.; Hauschild, J.; Borisova, K.L.; Kaune, M.; Krisp, C.; Venz, S.; Sabutskii, Y.E.; Khmelevskaya, E.A.; Busenbender, T.; et al. Successful Targeting of the Warburg Effect in Prostate Cancer by Glucose-Conjugated 1,4-Naphthoquinones. Cancers 2019, 11, 1690. [Google Scholar] [CrossRef]
Disclaimer/Publisher’s Note: The statements, opinions and data contained in all publications are solely those of the individual author(s) and contributor(s) and not of MDPI and/or the editor(s). MDPI and/or the editor(s) disclaim responsibility for any injury to people or property resulting from any ideas, methods, instructions or products referred to in the content. |
© 2023 by the authors. Licensee MDPI, Basel, Switzerland. This article is an open access article distributed under the terms and conditions of the Creative Commons Attribution (CC BY) license (https://creativecommons.org/licenses/by/4.0/).










