The Soft Coral Sarcophyton trocheliophorum: A Warehouse of Terpenoids with Structural and Pharmacological Diversity
Abstract
1. Introduction
2. Overview of Terpenoids from S. trocheliophorum
3. Sesquiterpenoids
4. Diterpenoids
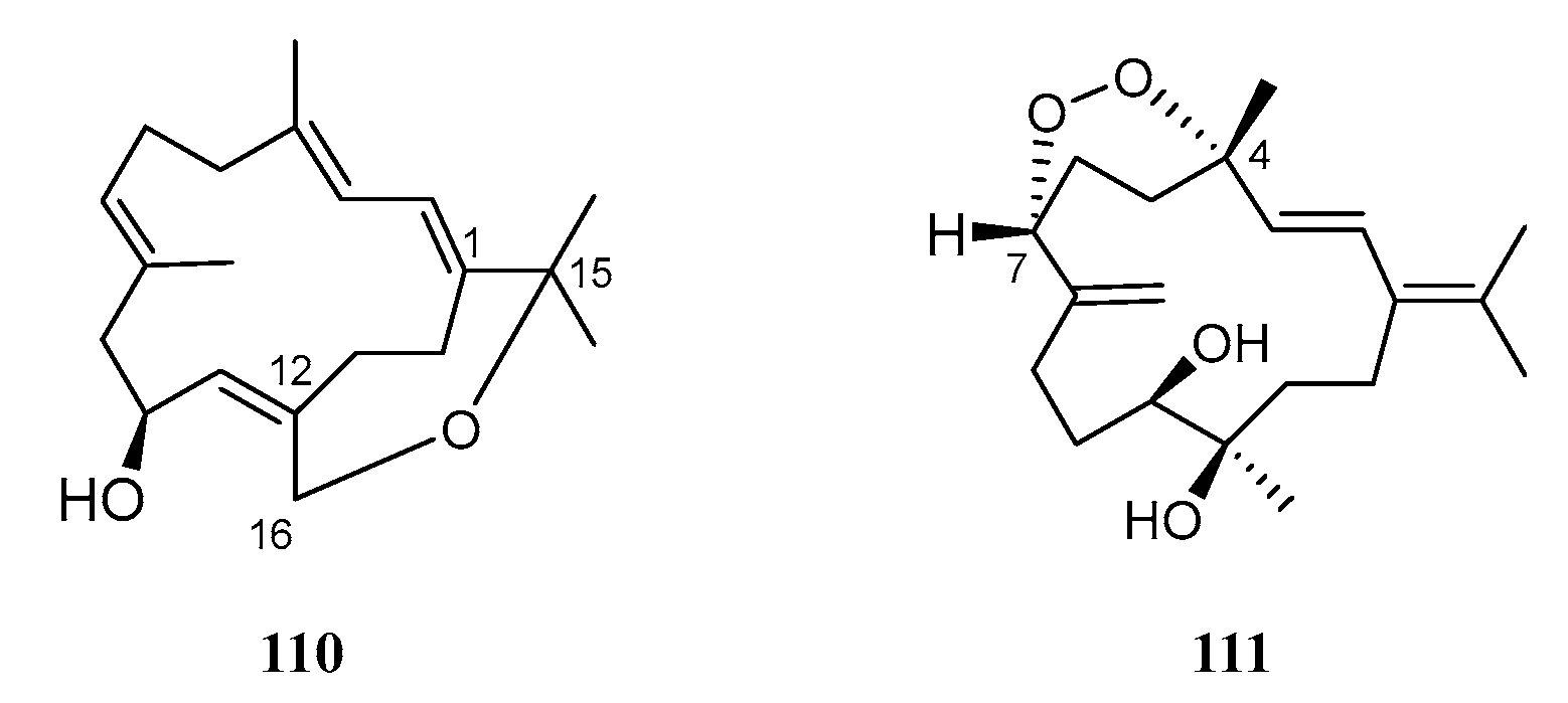
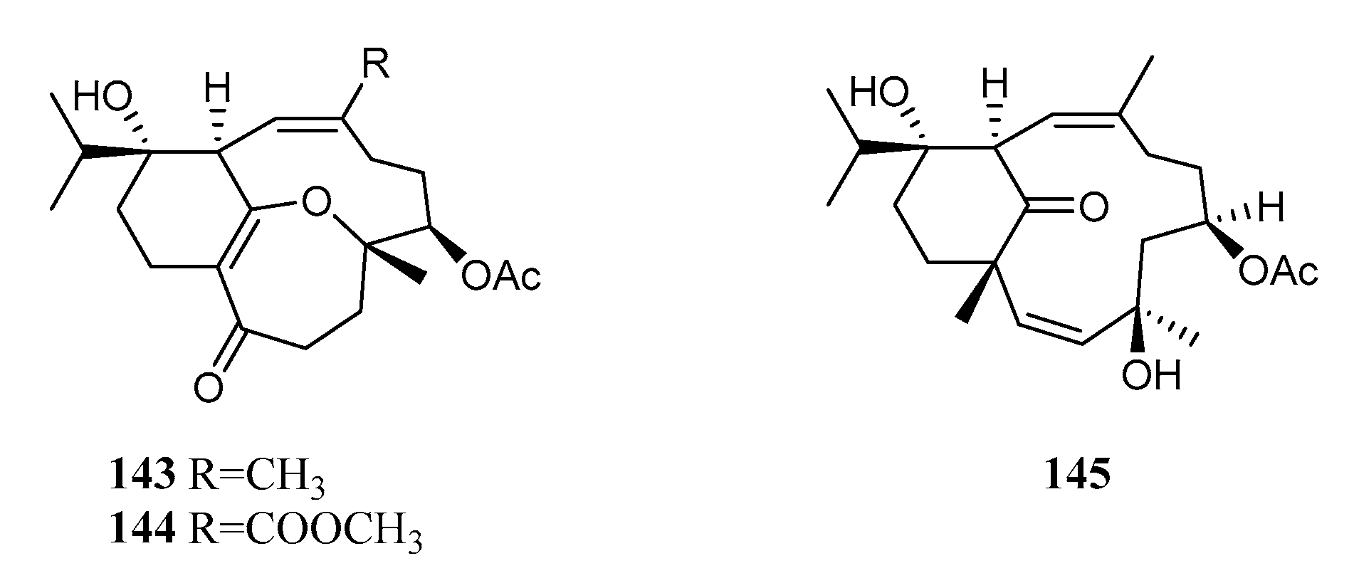
4.1. Cembrane Diterpenoids
4.1.1. Isopropyl/Isopropenyl Cembranoids
4.1.2. Furane Cembranoids
4.1.3. Pyrane Cembranoids
4.1.4. γ-Lactone Cembranoids
4.1.5. ε-Lactone Cembranoids
4.1.6. Other Miscellaneous Cembranoids
4.2. Perhydrophenanthrane Diterpenoid
4.3. Capnosane Diterpenoids
4.4. Sarsolenane Diterpenoids
4.5. Sarcotroane Diterpenoids
5. Biscembranoids
6. Conclusions
Supplementary Materials
Author Contributions
Funding
Institutional Review Board Statement
Informed Consent Statement
Data Availability Statement
Conflicts of Interest
References
- Liang, L.-F.; Guo, Y.-W. Terpenes from the soft corals of the genus Sarcophyton: Chemistry and biological activities. Chem. Biodivers 2013, 10, 2161–2196. [Google Scholar] [CrossRef] [PubMed]
- Elkhawas, Y.A.; Elissawy, A.M.; Elnaggar, M.S.; Mostafa, N.M.; Al-Sayed, E.; Bishr, M.M.; Singab, A.N.B.; Salama, O.M. Chemical diversity in species belonging to soft coral genus Sacrophyton and its impact on biological activity: A review. Mar. Drugs 2020, 18, 41. [Google Scholar] [CrossRef] [PubMed]
- Tursch, B. Some recent developments in the chemistry of Alcyonaceans. Pure Appl. Chem. 1976, 48, 1–6. [Google Scholar] [CrossRef]
- Liang, L.-F.; Kurtán, T.; Mándi, A.; Yao, L.-G.; Li, J.; Zhang, W.; Guo, Y.-W. Unprecedented diterpenoids as a PTP1B inhibitor from the Hainan soft coral Sarcophyton trocheliophorum Marenzeller. Org. Lett. 2013, 15, 274–277. [Google Scholar] [CrossRef]
- Liang, L.-F.; Kurtán, T.; Mándi, A.; Gao, L.-X.; Li, J.; Zhang, W.; Guo, Y.-W. Sarsolenane and capnosane diterpenes from the Hainan soft coral Sarcophyton trocheliophorum Marenzeller as PTP1B inhibitors. Eur. J. Org. Chem. 2014, 2014, 1841–1847. [Google Scholar] [CrossRef]
- Liu, Z.; Cheng, W.; Liu, D.; van Ofwegen, L.; Proksch, P.; Lin, W. Capnosane-type cembranoids from the soft coral Sarcophyton trocheliophorum with antibacterial effects. Tetrahedron 2014, 70, 8703–8713. [Google Scholar] [CrossRef]
- Sun, P.; Cai, F.-Y.; Lauro, G.; Tang, H.; Su, L.; Wang, H.-L.; Li, H.H.; Mándi, A.; Kurtán, T.; Riccio, R.; et al. Immunomodulatory biscembranoids and assignment of their relative and absolute configurations: Data set modulation in the density functional theory/nuclear magnetic resonance approach. J. Nat. Prod. 2019, 82, 1264–1273. [Google Scholar] [CrossRef]
- Dong, H.; Gou, Y.-L.; Kini, R.M.; Xu, H.-X.; Chen, S.-X.; Teo, S.L.M.; But, P.P.-H. A new cytotoxic polyhydroxysterol from soft coral Sarcophyton trocheliophorum. Chem. Pharm. Bull. 2000, 48, 1087–1089. [Google Scholar] [CrossRef]
- Shaaban, M.; Ghani, M.A.; Shaaban, K.A. Zahramycins A-B, two new steroids from the coral Sarcophyton trocheliophorum. Z. Naturforsch. B—J. Chem. Sci. 2013, 68, 939–945. [Google Scholar] [CrossRef]
- Cai, F.; Sun, P.; Liu, B.; Tang, H.; Zhang, W. Sterols from the South China Sea soft coral Sarcophyton trocheliophorum. Guangdong Yaoxueyuan Xuebao 2014, 30, 36–39. [Google Scholar] [CrossRef]
- Chen, W.-T.; Liu, H.-L.; Yao, L.-G.; Guo, Y.-W. 9,11-Secosteroids and polyhydroxylated steroids from two South China Sea soft corals Sarcophyton trocheliophorum and Sinularia flexibilis. Steroids 2014, 92, 56–61. [Google Scholar] [CrossRef] [PubMed]
- Řezanka, T.; Dembitsky, V.M. γ-Lactones from the soft corals Sarcophyton trocheliophorum and Lithophyton arboreum. Tetrahedron 2001, 57, 8743–8749. [Google Scholar] [CrossRef]
- Gomaa, M.N.; Soliman, K.; Ayesh, A.; Abd El-Wahed, A.; Hamza, Z.; Mansour, H.M.; Khalifa, S.A.M.; Mohd Ali, H.B.; El-Seedi, H.R. Antibacterial effect of the red sea soft coral Sarcophyton trocheliophorum. Nat. Prod. Res. 2016, 30, 729–734. [Google Scholar] [CrossRef] [PubMed]
- Shaaban, M.; Ghani, M.A.; Issa, M.Y. New naturally occurring compounds from Sarcophyton trocheliophorum. Biointerface Res. App. Chem. 2022, 12, 2285–2331. [Google Scholar] [CrossRef]
- Anjaneyulu, A.S.R.; Rao, V.L.; Sastry, V.G.; Rao, D.V. Trocheliophorin: A novel rearranged sesquiterpenoid from the Indian Ocean soft coral Sarcophyton trocheliophorum. J. Asian Nat. Prod. Res. 2008, 10, 597–601. [Google Scholar] [CrossRef]
- Al-Footy, K.O.; Alarif, W.M.; Asiri, F.; Aly, M.M.; Ayyad, S.-E.N. Rare pyrane-based cembranoids from the Red Sea soft coral Sarcophyton trocheliophorum as potential antimicrobial–antitumor agents. Med. Chem. Res. 2015, 24, 505–512. [Google Scholar] [CrossRef]
- Shaaban, K.A.; Ghani, M.A.; Shaaban, M. New cembranoid diterpenes from Sarcophyton trocheliophorum. Br. J. Pharm. Res. 2015, 5, 192–201. [Google Scholar] [CrossRef]
- Groweiss, A.; Kashman, Y.; Vanderah, D.J.; Tursch, B.; Cornet, P.; Braekman, J.C.; Daloze, D. The structure of trocheliophorol, a cembranoid diterpene from soft corals of the genus Sarcophyton(1). Bull. Soc. Chim. Belg. 1978, 87, 277–283. [Google Scholar] [CrossRef]
- Carmely, S.; Groweiss, A.; Kashman, Y. Decaryiol, a new cembrane diterpene from the marine soft coral Sarcophyton decaryi. J. Org. Chem. 1981, 46, 4279–4284. [Google Scholar] [CrossRef]
- Coll, J.C.; Bowden, B.F.; Tapiolas, D.M.; Willis, R.H.; Djura, P.; Streamer, M.; Trott, L. Studies of Australian soft corals—XXXV: The terpenoid chemistry of soft corals and its implications. Tetrahedron 1985, 41, 1085–1092. [Google Scholar] [CrossRef]
- Suleimenova, A.M.; Kalinovskii, A.I.; Raldugin, V.A.; Shevtsov, S.A.; Bagryanskaya, I.Y.; Gatilov, Y.V.; Kuznetsova, T.A.; Elyakov, G.B. New derivatives of (−)-neocembrene from the soft coral Sarcophyton trocheliophorum. Chem. Nat. Compd. 1988, 24, 453–458. [Google Scholar] [CrossRef]
- Kuznetsova, T.A.; Popov, A.M.; Agafonova, I.G.; Suleimenova, A.M.; Elyakov, G.B. Physiological activity of diterpenoids from the soft coral Sarcophyton trocheliophorum. Chem. Nat. Compd. 1989, 25, 122–124. [Google Scholar] [CrossRef]
- Greenland, G.J.; Bowden, B.F. Cembranoid diterpenes related to sarcophytol A from the soft coral Sarcophyton trocheliophorum (Alcyonacea). Aust. J. Chem. 1994, 47, 2013–2021. [Google Scholar] [CrossRef]
- Yao, L.-G.; Zhang, H.-Y.; Liang, L.-F.; Guo, X.-J.; Mao, S.-C.; Guo, Y.-W. Yalongenes A and B, two new cembranoids with cytoprotective effects from the Hainan soft coral Sarcophyton trocheliophorum Marenzeller. Helv. Chim. Acta 2012, 95, 235–239. [Google Scholar] [CrossRef]
- Liang, L.-F.; Gao, L.-X.; Li, J.; Taglialatela-Scafati, O.; Guo, Y.-W. Cembrane diterpenoids from the soft coral Sarcophyton trocheliophorum Marenzeller as a new class of PTP1B inhibitors. Bioorg. Med. Chem. 2013, 21, 5076–5080. [Google Scholar] [CrossRef]
- Liang, L.-F.; Kurtán, T.; Mándi, A.; Yao, L.-G.; Li, J.; Lan, L.-F.; Guo, Y.-W. Structural, stereochemical, and bioactive studies of cembranoids from Chinese soft coral Sarcophyton trocheliophorum. Tetrahedron 2018, 74, 1933–1941. [Google Scholar] [CrossRef]
- Chen, W.-T.; Liang, L.-F.; Li, X.-W.; Xiao, W.; Guo, Y.-W. Further new highly oxidative cembranoids from the Hainan soft coral Sarcophyton trocheliophorum. Nat. Prod. Bioprospect. 2016, 6, 97–102. [Google Scholar] [CrossRef]
- Liang, L.-F.; Chen, W.-T.; Mollo, E.; Yao, L.-G.; Wang, H.-Y.; Xiao, W.; Guo, Y.-W. Sarcophytrols G–L, novel minor metabolic components from South China Sea soft coral Sarcophyton trocheliophorum Marenzeller. Chem. Biodivers. 2017, 14, e1700079. [Google Scholar] [CrossRef]
- Liang, L.-F.; Chen, W.-T.; Li, X.-W.; Wang, H.-Y.; Guo, Y.-W. New bicyclic cembranoids from the South China Sea soft coral Sarcophyton trocheliophorum. Sci. Rep. 2017, 7, 46584. [Google Scholar] [CrossRef]
- He, L.-L.; Liu, H.-L.; Liang, L.-F.; Zhang, H.-B.; Guo, Y.-W. Studies on chemical constituents of Sarcophyton trocheliophrum. Chin. J. Mar. Drugs 2013, 32, 37–40. [Google Scholar] [CrossRef]
- Shaaban, M.; Ghani Mohamed, A.; Shaaban Khaled, A. Unusual pyranosyl cembranoid diterpene from Sarcophyton trocheliophorum. Z. Naturforsch. B-J. Chem. Sci. 2016, 71, 1211–1217. [Google Scholar] [CrossRef]
- Chen, Z.-H.; Gao, T.-R.; Yang, M.; Yao, L.-G.; Guo, Y.-W. Further new cembranoids from the South China Sea soft coral Sarcophyton trocheliophorum. Fitoterapia 2021, 151, 104902. [Google Scholar] [CrossRef] [PubMed]
- Ren, L.; Leng, X.; Li, T.; Liu, J.; Wang, W.; Yan, X.; Yan, X.; He, S. Four new cembranoids from the South China Sea soft coral Sarcophyton trocheliophorum. Nat. Prod. Res. 2022. [Google Scholar] [CrossRef] [PubMed]
- Wu, Y.-C.; Hsieh, P.-W.; Duh, C.-Y.; Wang, S.-K.; Soong, K.-Y.; Fang, L.-S. Studies on the Formosan soft corals I-Cytotoxic cembrane diterpenes from Sarcophyton trocheliophorum. J. Chin. Chem. Soc. 1992, 39, 355–357. [Google Scholar] [CrossRef]
- Duh, C.-Y.; Hou, R.-S. Cytotoxic cembranoids from the soft corals Sinularia gibberosa and Sarcophyton trocheliophorum. J. Nat. Prod. 1996, 59, 595–598. [Google Scholar] [CrossRef]
- Hamed, A.; Issa, M.Y.; Ghani, M.A.; Frese, M.; Neumann, B.; Stammler, H.G.; Sewald, N.; Shaaban, M. Crystal structure and configuration revision of 9-hydroxy-7,8-dehydro-sarcotrocheliol and sarcotrocheliol. Nat. Prod. Res. 2019, 33, 3029–3032. [Google Scholar] [CrossRef]
- Zubair, M.; Alarif, W.; Al-Footy, K.; Mohamed, P.H.; Ali, M.; Basaif, S.; Al-Lihaibi, S.; Ayyad, S.-E. New antimicrobial biscembrane hydrocarbon and cembranoid diterpenes from the soft coral Sarcophyton trocheliophorum. Turk. J. Chem. 2016, 40, 385–392. [Google Scholar] [CrossRef]
- Shaaban, M.; Issa, M.Y.; Ghani, M.A.; Hamed, A.; Abdelwahab, A.B. New pyranosyl cembranoid diterpenes from Sarcophyton trocheliophorum. Nat. Prod. Res. 2019, 33, 24–33. [Google Scholar] [CrossRef]
- Zidan, S.A.H.; Abdelhamid, R.A.; Alian, A.; Fouad, M.A.; Matsunami, K.; Orabi, M.A.A. Diterpenes and sterols from the Red Sea soft coral Sarcophyton trocheliophorum and their cytotoxicity and anti-leishmanial activities. J. Asian Nat. Prod. Res. 2022, 24, 794–802. [Google Scholar] [CrossRef]
- Su, J.-Y.; Zhong, Y.-L.; Lou, G.-X.; Li, X.-Q.; Zeng, L.-M.; Huang, Y.-Q.; Hu, S.-Z. Studies on the stereochemistry of (-)-sartrochine. Acta Chim. Sinica 1994, 52, 813–816. [Google Scholar]
- Su, J.-H.; Lu, Y.; Lin, W.-Y.; Wang, W.-H.; Sung, P.-J.; Sheu, J.-H. A cembranoid, trocheliophorol, from the cultured soft coral Sarcophyton trocheliophorum. Chem. Lett. 2010, 39, 172–173. [Google Scholar] [CrossRef]
- Su, J.-H.; Lu, Y.; Lin, W.-Y.; Wang, W.-H.; Sung, P.-J.; Sheu, J.-H. A cembranoid, trocheliophorol, from the cultured soft coral Sarcophyton trocheliophorum. Chem. Lett. 2012, 41, 340. [Google Scholar] [CrossRef]
- Liu, K.-M.; Cheng, C.-H.; Chen, W.-F.; Lu, M.-C.; Fang, L.-S.; Wen, Z.-H.; Su, J.-H.; Wu, Y.-C.; Sung, P.-J. Trocheliolide A, a hydroperoxycembranoidal diterpene from the octocoral Sarcophyton trocheliophorum. Nat. Prod. Commun. 2015, 10, 1163–1165. [Google Scholar] [CrossRef] [PubMed]
- Liu, K.-M.; Lan, Y.-H.; Su, C.-C.; Sung, P.-J. Trocheliolide B, a new cembranoidal diterpene from the octocoral Sarcophyton trocheliophorum. Nat. Prod. Commun. 2016, 11, 21–22. [Google Scholar] [CrossRef] [PubMed]
- Grote, D.; Soliman, H.S.M.; Shaker, K.H.; Hamza, M.; Seifert, K. Cembranoid diterpenes and a briarane diterpene from corals. Nat. Prod. Res. 2006, 20, 285–291. [Google Scholar] [CrossRef]
- Hegazy, M.-E.F.; Mohamed, T.A.; Abdel-Latif, F.F.; Alsaid, M.S.; Shahat, A.A.; Paré, P.W. Trochelioid A and B, new cembranoid diterpenes from the Red Sea soft coral Sarcophyton trocheliophorum. Phytochem. Lett. 2013, 6, 383–386. [Google Scholar] [CrossRef]
- Liang, L.-F.; Lan, L.-F.; Taglialatela-Scafati, O.; Guo, Y.-W. Sartrolides A-G and bissartrolide, new cembranolides from the South China Sea soft coral Sarcophyton trocheliophorum Marenzeller. Tetrahedron 2013, 69, 7381–7386. [Google Scholar] [CrossRef]
- Venkateswarlu, Y.; Chavakula, R.; Biabani, M.A.F.; Rao, T.P. A new diterpene from a soft coral Sarcophyton trocheliphorum. Nat. Prod. Lett. 1994, 5, 131–134. [Google Scholar] [CrossRef]
- Zhu, J.-Y.; Li, W.; Bao, J.-M.; Zhang, J.-S.; Yin, S.; Tang, G.-H. Diterpenoids from the South China Sea soft coral Sarcophyton solidum. Biochem. Syst. Ecol. 2015, 62, 6–10. [Google Scholar] [CrossRef]
- Chen, W.-T.; Yao, L.-G.; Li, X.-W.; Guo, Y.-W. Sarcophytrols A–C, new capnosane diterpenoids from the South China Sea soft coral Sarcophyton trocheliophorum. Tetrahedron Lett. 2015, 56, 1348–1352. [Google Scholar] [CrossRef]
- Liang, L.-F.; Wang, J.-A.; Shi, X.-X.; Zhu, Y.-H.; Li, J.; Zhu, W.-L.; Wang, H.-Y.; Guo, Y.-W. A novel sarsolenane diterpene as a PTP1B inhibitor from Hainan soft coral Sarcophyton trocheliophorum Marenzeller. Chin. J. Chem. 2017, 35, 1246–1250. [Google Scholar] [CrossRef]
- Huang, C.-Y.; Sung, P.-J.; Uvarani, C.; Su, J.-H.; Lu, M.-C.; Hwang, T.-L.; Dai, C.-F.; Wu, S.-L.; Sheu, J.-H. Glaucumolides A and B, biscembranoids with new structural type from a cultured soft coral Sarcophyton glaucum. Sci. Rep. 2015, 5, 15624. [Google Scholar] [CrossRef] [PubMed]
- He, C.; Xuan, J.; Rao, P.; Xie, P.-P.; Hong, X.; Lin, X.; Ding, H. Total syntheses of (+)-sarcophytin, (+)-chatancin, (−)-3-oxochatancin, and (−)-pavidolide B: A divergent approach. Angew. Chem. Int. Ed. 2019, 58, 5100–5104. [Google Scholar] [CrossRef] [PubMed]
- Satheesh, S.; Ba-Akdah, M.A. Temporal variations in the antifouling activity of extract of the soft coral Sarcophyton trocheliophorum collected from the Red Sea. Ocean Sci. J. 2022, 57, 247–258. [Google Scholar] [CrossRef]
- Scesa, P.D.; Lin, Z.; Schmidt, E.W. Ancient defensive terpene biosynthetic gene clusters in the soft corals. Nat. Chem. Biol. 2022, 18, 659–663. [Google Scholar] [CrossRef] [PubMed]















Disclaimer/Publisher’s Note: The statements, opinions and data contained in all publications are solely those of the individual author(s) and contributor(s) and not of MDPI and/or the editor(s). MDPI and/or the editor(s) disclaim responsibility for any injury to people or property resulting from any ideas, methods, instructions or products referred to in the content. |
© 2022 by the authors. Licensee MDPI, Basel, Switzerland. This article is an open access article distributed under the terms and conditions of the Creative Commons Attribution (CC BY) license (https://creativecommons.org/licenses/by/4.0/).
Share and Cite
Yang, Q.-B.; Wu, Q.; Chen, J.-K.; Liang, L.-F. The Soft Coral Sarcophyton trocheliophorum: A Warehouse of Terpenoids with Structural and Pharmacological Diversity. Mar. Drugs 2023, 21, 30. https://doi.org/10.3390/md21010030
Yang Q-B, Wu Q, Chen J-K, Liang L-F. The Soft Coral Sarcophyton trocheliophorum: A Warehouse of Terpenoids with Structural and Pharmacological Diversity. Marine Drugs. 2023; 21(1):30. https://doi.org/10.3390/md21010030
Chicago/Turabian StyleYang, Qi-Bin, Qihao Wu, Jun-Kun Chen, and Lin-Fu Liang. 2023. "The Soft Coral Sarcophyton trocheliophorum: A Warehouse of Terpenoids with Structural and Pharmacological Diversity" Marine Drugs 21, no. 1: 30. https://doi.org/10.3390/md21010030
APA StyleYang, Q.-B., Wu, Q., Chen, J.-K., & Liang, L.-F. (2023). The Soft Coral Sarcophyton trocheliophorum: A Warehouse of Terpenoids with Structural and Pharmacological Diversity. Marine Drugs, 21(1), 30. https://doi.org/10.3390/md21010030

