Chemical Review of Gorgostane-Type Steroids Isolated from Marine Organisms and Their 13C-NMR Spectroscopic Data Characteristics
Abstract
1. Introduction
2. Distribution of Gorgosteroids among Marine Organisms
3. Biosynthesis of Gorgostane Steroids
4. Gorgostane Steroids
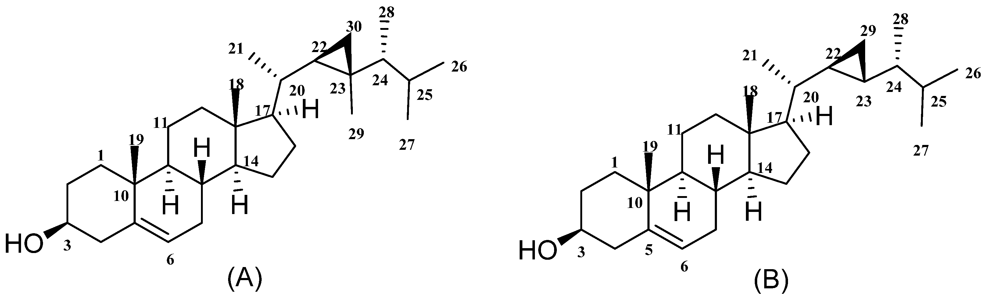
4.1. Gorgost-5-ene
4.2. 5,6-Epoxygorgostane
4.3. 5,6-Dihydroxygorgostane
4.4. 9,11-Secogorgostane
4.5. 23-Demethylgorgostane
4.6. Miscellaneous Gorgostane
5. Conclusions
Author Contributions
Funding
Data Availability Statement
Acknowledgments
Conflicts of Interest
References
- Victor, S.; Sharma, C. Anti-inflammatory drug delivery systems using marine products. Funct. Mar. Biomater. 2015, 137–147. [Google Scholar] [CrossRef]
- Eckerman, S.J.; Graham, K.J. Using chemical ecology to locate new antifungal natural products. Stud. Nat. Prod. Chem. 2000, 22, 55–92. [Google Scholar]
- Little, R.D.; Nishiguchi, G.A. Synthetic efforts toward, and biological activity of, thyrsiferol and structurally-related analogues. Stud. Nat. Prod. Chem. 2008, 35, 3–56. [Google Scholar]
- Singh, K.S. Pyrone-derived marine natural products: A review on isolation, bio-activities and synthesis. Curr. Org. Chem. 2020, 24, 354–401. [Google Scholar] [CrossRef]
- Rueda, A.; Zubía, E.; Ortega, M.a.J.; Salvá, J. Structure and cytotoxicity of new polyhydroxylated sterols from the Caribbean gorgonian Plexaurella grisea. Steroids 2001, 66, 897–904. [Google Scholar] [CrossRef]
- Eggert, H.; VanAntwerp, C.L.; Bhacca, N.S.; Djerassi, C. Carbon-13 nuclear magnetic resonance spectra of hydroxy steroids. J. Org. Chem. 1976, 41, 71–78. [Google Scholar] [CrossRef]
- Blunt, J.; Stothers, J. 13C NMR spectra of steroids—A survey and commentary. Org. Magn. Reson. 1977, 9, 439–464. [Google Scholar] [CrossRef]
- Jaeger, M.; Aspers, R.L. Steroids and NMR. Annu. Rep. NMR Spectrosc. 2012, 77, 115–258. [Google Scholar]
- Morris, L.A.; Christie, E.M.; Jaspars, M.; van Ofwegen, L.P. A bioactive secosterol with an unusual A-and B-ring oxygenation pattern isolated from an Indonesian soft coral Lobophytum sp. J. Nat. Prod. 1998, 61, 538–541. [Google Scholar] [CrossRef]
- D’Armas, H.T.; Mootoo, B.S.; Reynolds, W.F. Steroidal compounds from the caribbean octocoral Eunicea laciniata. J. Nat. Prod. 2000, 63, 1669–1671. [Google Scholar] [CrossRef]
- Chang, C.-H.; Wen, Z.-H.; Wang, S.-K.; Duh, C.-Y. New anti-inflammatory steroids from the Formosan soft coral Clavularia viridis. Steroids 2008, 73, 562–567. [Google Scholar] [CrossRef] [PubMed]
- Wang, Z.; Tang, H.; Wang, P.; Gong, W.; Xue, M.; Zhang, H.; Liu, T.; Liu, B.; Yi, Y.; Zhang, W. Bioactive polyoxygenated steroids from the South China sea soft coral, Sarcophyton sp. Mar. Drugs 2013, 11, 775–787. [Google Scholar] [CrossRef] [PubMed]
- Tsai, C.-R.; Huang, C.-Y.; Chen, B.-W.; Tsai, Y.-Y.; Shih, S.-P.; Hwang, T.-L.; Dai, C.-F.; Wang, S.-Y.; Sheu, J.-H. New bioactive steroids from the soft coral Klyxum flaccidum. RSC Adv. 2015, 5, 12546–12554. [Google Scholar] [CrossRef]
- Sarma, N.S.; Krishna, M.S.; Pasha, S.G.; Rao, T.S.P.; Venkateswarlu, Y.; Parameswaran, P. Marine metabolites: The sterols of soft coral. Chem. Rev. 2009, 109, 2803–2828. [Google Scholar] [CrossRef] [PubMed]
- Bergmann, W.; Mclean, M.J.; Lester, D. Contributions to the study of marine products. Xiii. Sterols from various marine invertebrates. J. Org. Chem. 1943, 8, 271–282. [Google Scholar] [CrossRef]
- Bowden, B.; Coll, J.; Dai, M. Studies of australian soft corals. XLIII. the structure elucidation of a new diterpene from Alcyonium molle. Aust. J. Chem. 1989, 42, 665–673. [Google Scholar] [CrossRef]
- Nguyen, P.T.; Nguyen, H.N.; Nguyen, X.C.; Nguyen, X.N.; Tran, H.Q.; Nguyen, T.T.N.; Phan, V.K.; Chau, V.M.; Kim, Y.H. A new sterol from the soft coral Lobophytum crassum. Bull. Korean Chem. Soc. 2013, 34, 249–251. [Google Scholar] [CrossRef][Green Version]
- Anjaneyulu, A.S.; Krishna Murthy, M.V.; Gowri, P.M. Novel epoxy steroids from the Indian ocean soft coral Sarcophyton crassocaule. J. Nat. Prod. 2000, 63, 112–118. [Google Scholar] [CrossRef]
- Tseng, W.-R.; Huang, C.-Y.; Tsai, Y.-Y.; Lin, Y.-S.; Hwang, T.-L.; Su, J.-H.; Sung, P.-J.; Dai, C.-F.; Sheu, J.-H. New cytotoxic and anti-inflammatory steroids from the soft coral Klyxum flaccidum. Bioorg. Med. Chem. Lett. 2016, 26, 3253–3257. [Google Scholar] [CrossRef]
- Jin, P.; Deng, Z.; Pei, Y.; Fu, H.; Li, J.; Van Ofwegen, L.; Proksch, P.; Lin, W. Polyhydroxylated steroids from the soft coral Sinularia dissecta. Steroids 2005, 70, 487–493. [Google Scholar] [CrossRef]
- Wright, A.D.; Goclik, E.; König, G.M. Oxygenated analogues of gorgosterol and ergosterol from the soft coral Capnella acertiliensis. J. Nat. Prod. 2003, 66, 157–160. [Google Scholar] [CrossRef] [PubMed]
- Tanaka, J.; Trianto, A.; Musman, M.; Issa, H.H.; Ohtani, I.I.; Ichiba, T.; Higa, T.; Yoshida, W.Y.; Scheuer, P.J. New polyoxygenated steroids exhibiting reversal of multidrug resistance from the gorgonian Isis hippuris. Tetrahedron 2002, 58, 6259–6266. [Google Scholar] [CrossRef]
- Helal-Uddin, M.; Hanif, N.; Trianto, A.; Agarie, Y.; Higa, T.; Tanaka, J. Four new polyoxygenated gorgosterols from the gorgonian Isis hippuris. Nat. Prod. Res. 2011, 25, 585–591. [Google Scholar] [CrossRef] [PubMed]
- Qi, S.H.; Miao, L.; Gao, C.H.; Xu, Y.; Zhang, S.; Qian, P.Y. New steroids and a new alkaloid from the gorgonian Isis minorbrachyblasta: Structures, cytotoxicity, and antilarval activity. Helv. Chim. Acta 2010, 93, 511–516. [Google Scholar] [CrossRef]
- Hegazy, M.-E.F.; Mohamed, T.A.; Elshamy, A.I.; Hassanien, A.A.; Abdel-Azim, N.S.; Shreadah, M.A.; Abdelgawad, I.I.; Elkady, E.M.; Paré, P.W. A new steroid from the Red Sea soft coral Lobophytum lobophytum. Nat. Prod. Res. 2016, 30, 340–344. [Google Scholar] [CrossRef]
- Ngoc, N.T.; Hanh, T.T.H.; Van Thanh, N.; Do, T.T.; Cuong, N.X.; Nam, N.H.; Thung, D.C.; Van Kiem, P.; Van Minh, C. Cytotoxic steroids from the Vietnamese soft coral Sinularia leptoclados. Chem. Pharm. Bull. 2017, 65, 593–597. [Google Scholar] [CrossRef]
- Shen, Y.-C.; Prakash, C.V.S.; Chang, Y.-T. Two new polyhydroxysteroids from the gorgonian Isis hippuris. Steroids 2001, 66, 721–725. [Google Scholar] [CrossRef]
- Kitagawa, I.; Kobayashi, M.; Zheng, C.; Kiyota, Y.; Ohnishi, M. Marine natural products. XV.: Chemical constituents of an okinawan soft coral of Xenia sp. (Xeniidae). Chem. Pharm. Bull. 1986, 34, 4590–4596. [Google Scholar] [CrossRef]
- Umeyama, A.; Shoji, N.; Ozeki, M.; Arihara, S. Sarcoaldesterols A and B, two new polyhydroxylated sterols from the soft coral Sarcophyton sp. J. Nat. Prod. 1996, 59, 894–895. [Google Scholar] [CrossRef]
- Abdelkarem, F.M.; Desoky, E.-E.K.; Nafady, A.M.; Allam, A.E.; Mahdy, A.; Ashour, A.; Mohamed, G.A.; Miyamoto, T.; Shimizu, K. Two new polyhydroxylated steroids from Egyptian soft coral Heteroxenia fuscescens (Fam.; Xeniidae). Nat. Prod. Res. 2021, 35, 236–243. [Google Scholar] [CrossRef]
- Elshamy, A.I.; Abdel-Razik, A.F.; Nassar, M.I.; Mohamed, T.K.; Ibrahim, M.A.; El-Kousy, S.M. A new gorgostane derivative from the Egyptian Red Sea soft coral Heteroxenia ghardaqensis. Nat. Prod. Res. 2013, 27, 1250–1254. [Google Scholar] [CrossRef] [PubMed]
- Althagbi, H.I.; Budiyanto, F.; Abdel-Lateff, A.; Al-Footy, K.O.; Bawakid, N.O.; Ghandourah, M.A.; Alfaifi, M.Y.; Elbehairi, S.E.I.; Alarif, W.M. Antiproliferative Isoprenoid Derivatives from the Red Sea Alcyonacean Xenia umbellata. Molecules 2021, 26, 1311. [Google Scholar] [CrossRef] [PubMed]
- Green, D.; Kashman, Y.; Benayahu, Y. Secondary metabolites of the yellow and gray morphs of the soft coral Parerythropodium fulvum fulvum: Comparative aspects. J. Nat. Prod. 1992, 55, 1186–1196. [Google Scholar] [CrossRef]
- He, H.; Kulanthaivel, P.; Baker, B.J.; Kalter, K.; Darges, J.; Cofield, D.; Wolff, L.; Adams, L. New antiproliferative and antiinflammatory 9, 11-secosterols from the gorgonian Pseudopterogorgia sp. Tetrahedron 1995, 51, 51–58. [Google Scholar] [CrossRef]
- He, Y.-Q.; Caplan, S.L.; Scesa, P.; West, L.M. Cyclized 9, 11-secosterol enol-ethers from the gorgonian Pseudopterogorgia americana. Steroids 2017, 125, 47–53. [Google Scholar] [CrossRef] [PubMed]
- Duh, C.-Y.; Li, C.-H.; Wang, S.-K.; Dai, C.-F. Diterpenoids, norditerpenoids, and secosteroids from the Formosan soft coral Cespitularia hypotentaculata. J. Nat. Prod. 2006, 69, 1188–1192. [Google Scholar] [CrossRef]
- Naz, S.; Kerr, R.G.; Narayanan, R. New antiproliferative epoxysecosterols from Pseudopterogorgia americana. Tetrahedron Lett. 2000, 41, 6035–6040. [Google Scholar] [CrossRef]
- Tsai, Y.-Y.; Huang, C.-Y.; Tseng, W.-R.; Chiang, P.-L.; Hwang, T.-L.; Su, J.-H.; Sung, P.-J.; Dai, C.-F.; Sheu, J.-H. Klyflaccisteroids K–M, bioactive steroidal derivatives from a soft coral Klyxum flaccidum. Bioorg. Med. Chem. Lett. 2017, 27, 1220–1224. [Google Scholar] [CrossRef]
- Cheng, S.-Y.; Chen, H.-P.; Wang, S.-K.; Duh, C.-Y. Three new 9, 11-secosterols from the Formosan soft coral Sinularia leptoclados. Bull. Chem. Soc. Jpn. 2011, 84, 648–652. [Google Scholar] [CrossRef]
- Duh, C.-Y.; Lo, I.-W.; Wang, S.-K.; Dai, C.-F. New cytotoxic steroids from the soft coral Clavularia viridis. Steroids 2007, 72, 573–579. [Google Scholar] [CrossRef]
- Chang, Y.-C.; Chen, N.-F.; Hwang, T.-L.; Tseng, C.-C.; Wu, T.-Y.; Peng, B.-R.; Wen, Z.-H.; Fang, L.-S.; Wu, Y.-C.; Sheu, J.-H. New marine sterols from an algal-bearing gorgonian coral Pinnigorgia sp. Steroids 2016, 115, 123–129. [Google Scholar] [CrossRef] [PubMed]
- Anjaneyulu, A.S.; Sagar, K.S.; Venugopal, M.J. Terpenoid and steroid constituents of the Indian Ocean soft coral Sinularia maxima. Tetrahedron 1995, 51, 10997–11010. [Google Scholar] [CrossRef]
- Yen, W.-H.; Chen, W.-F.; Cheng, C.-H.; Dai, C.-F.; Lu, M.-C.; Su, J.-H.; Su, Y.-D.; Chen, Y.-H.; Chang, Y.-C.; Chen, Y.-H. A new 5α, 8α-epidioxysterol from the soft coral Sinularia gaweli. Molecules 2013, 18, 2895–2903. [Google Scholar] [CrossRef] [PubMed]
- Iwashima, M.; Nara, K.; Iguchi, K. New marine steroids, yonarasterols, isolated from the okinawan soft coral, Clavularia viridis. Steroids 2000, 65, 130–137. [Google Scholar] [CrossRef]
- Kobayashi, M.; Lee, N.K.; Son, B.W.; Yanag, K.; Kyogoku, Y.; Kitagawa, I. Stoloniferone-a,-b,-c, and-d, four new cytotoxic steroids from the okinawan soft coral Clavularia viridis. Tetrahedron Lett. 1984, 25, 5925–5928. [Google Scholar] [CrossRef]
- Iwashima, M.; Nara, K.; Nakamichi, Y.; Iguchi, K. Three new chlorinated marine steroids, yonarasterols G, H and I, isolated from the Okinawan soft coral, Clavularia viridis. Steroids 2001, 66, 25–32. [Google Scholar] [CrossRef]
- Yu, S.; Deng, Z.; van Ofwegen, L.; Proksch, P.; Lin, W. 5, 8-Epidioxysterols and related derivatives from a Chinese Soft Coral Sinularia flexibilis. Steroids 2006, 71, 955–959. [Google Scholar] [CrossRef]
- Putra, M.Y.; Bavestrello, G.; Cerrano, C.; Renga, B.; D’Amore, C.; Fiorucci, S.; Fattorusso, E.; Taglialatela-Scafati, O. Polyhydroxylated sterols from the Indonesian soft coral Sinularia sp. and their effect on farnesoid X-activated receptor. Steroids 2012, 77, 433–440. [Google Scholar] [CrossRef]
- Chao, C.-H.; Huang, L.-F.; Wu, S.-L.; Su, J.-H.; Huang, H.-C.; Sheu, J.-H. Steroids from the gorgonian Isis hippuris. J. Nat. Prod. 2005, 68, 1366–1370. [Google Scholar] [CrossRef]
- Nguyen, P.T.; Nguyen, H.N.; Nguyen, X.C.; Bui, H.T.; Tran, H.Q.; Nguyen, T.T.N.; Bui, T.T.L.; Yang, S.Y.; Choi, C.H.; Kim, S. Steroidal constituents from the soft coral Sinularia dissecta and their inhibitory effects on lipopolysaccharide-stimulated production of pro-inflammatory cytokines in bone marrow-derived dendritic cells. Bull. Korean Chem. Soc. 2013, 34, 949–952. [Google Scholar] [CrossRef]
- Thao, N.P.; Tu, V.A.; Van Thanh, N.; Nam, N.H.; Cuong, N.X.; Ho, K.Y.; Van Kiem, P.; Van Minh, C. Sterols isolated from the soft coral sinularia dissecta. Vietnam J. Chem. 2015, 53, 13–17. [Google Scholar]
- Anderson, D.G. Gorgosterol biosynthesis: Localization of squalene formation in the zooxanthellar component of various gorgonians. Comp. Biochem. Physiol. 1985, 81, 423–428. [Google Scholar] [CrossRef]
- Withers, N.W.; Kokke, W.; Fenical, W.; Djerassi, C. Sterol patterns of cultured zooxanthellae isolated from marine invertebrates: Synthesis of gorgosterol and 23-desmethylgorgosterol by aposymbiotic algae. Proc. Natl. Acad. Sci. USA 1982, 79, 3764–3768. [Google Scholar] [CrossRef] [PubMed]
- Giner, J.L.; Djerassi, C. Biosynthetic studies of marine lipids. 33. Biosynthesis of dinosterol, peridinosterol and gorgosterol: Unusual patterns of bioalkylation in dinoflagellate sterols. J. Org. Chem. 1991, 56, 2357–2363. [Google Scholar] [CrossRef]
- Lang, R.W.; Djerassi, C. Synthesis of sterols with cyclopropane-containing side chains. Spectroscopic properties and absolute configurations. J. Org. Chem. 1982, 47, 625–633. [Google Scholar] [CrossRef]









| No. | Name | Natural Source | References |
|---|---|---|---|
| I. Gorgost-5-ene: | |||
| 1 | Gorgosterol | Alcyonium molle | [16] |
| 2 | Crassumsterol | Lobophytum crassum | [17] |
| 3 | Gorgost-5-ene-3β, 11α-diol | Sarcophyton crassocaule | [18] |
| 4 | 9-Hydroxygorgosterol | Plexaurella grisea | [5] |
| 5 | Klyflaccisteroid E | Klyxum flaccidum | [13] |
| 6 | Klyflaccisteroid G | Klyxum flaccidum | [19] |
| 7 | Klyflaccisteroid C | Klyxum flaccidum | [13] |
| 8 | Klyflaccisteroid D | Klyxum flaccidum | [13] |
| 9 | Gorgost-5-ene-1α,3β,11α,18-tetrol | Sinularia dissecta | [20] |
| 10 | Klyflaccisteroid H | Klyxum flaccidum | [19] |
| 11 | Klyflaccisteroid I | Klyxum flaccidum | [19] |
| 12 | 9,11α,14-Trihydroxygorgosterol | Plexaurella grisea | [5] |
| 13 | 12β-Acetoxy-7α-hydroxygorgosterol | Capnellala certiliensis | [21] |
| 14 | 18-Acetoxygorgost-5-ene-1α,3β,11α-triol | Sinularia dissecta | [20] |
| 15 | Gorgost-5-ene-3β,7α,11α,12β-tetrol 12-acetate | Isis hippuris | [22] |
| 16 | 12β-Acetoxy-7α,19-dihydroxygorgosterol | Capnellala certiliensis | [21] |
| 17 | Gorgost-5-ene-3β,7α,11α,12β-tetrol 11-acetate | Isis hippuris | [23] |
| 18 | 3β-Acetoxy-1α,11α-dihydroxygorgost-5-en-18-oic acid | Sinularia dissecta | [20] |
| 19 | Gorgost-5-ene-3β,7α,11α,12β,15α-pentol 12,15-diacetate | Isis hippuris | [22] |
| 20 | Gorgost-5-ene-3β,7α,11α,12β,15α-pentol 11,15-diacetate | Isis hippuris | [22] |
| 21 | Gorgost-5-ene-1α,3β,7α,11α,12β-pentol 12-acetate | Isis minorbrachyblasta | [24] |
| 22 | Gorgosta-5,25-dien-3β-ol | Lobophytum lobophytum | [25] |
| II. 5,6-Epoxygorgostane: | |||
| 23 | 5,6β-Epoxygorgosterol | Sinularia leptoclados | [26] |
| 24 | 5β, 6β-Epoxygorgostane-1α, 3β,11α,12β-tetrol | Isis hippuris | [23] |
| 25 | 5β,6β-Epoxygorgostane-3β,11α,12β -triol 12-acetate | Isis hippuris | [22] |
| 26 | Isihippurol B | Isis hippuris | [27] |
| 27 | 5β,6β-Epoxygorgostane-3β,7α,11α,12β-tetrol 11-acetate | Isis hippuris | [23] |
| 28 | 5β,6β-Epoxygorgostane-1α,3β,11α,12β-tetrol 11-acetate | Isis hippuris | [23] |
| 29 | 5β,6β-Epoxygorgostane-3β,7α,11α,12β -tetrol 12-acetate | Isis hippuris | [22] |
| 30 | 5β,6β-Epoxyorgostane-1α,3β,11α,15α-tetrol 11,15-diacetate | Isis hippuris | [22] |
| 31 | 5β,6β-Epoxygorgostane-3β,7α,11α, 12β, 15α-pentol 12,15-diacetate | Isis hippuris | [22] |
| 32 | 5β,6β-Epoxygorgostane-3β,7α,11α, 12β,15α-pentol 11,15-diacetate | Isis hippuris | [22] |
| III. 5,6-Dihydroxygorgostane: | |||
| 33 | Xeniasterol C | Xenia sp. | [28] |
| 34 | Sarcoaldosterol A | Sarcophyton sp. | [29] |
| 35 | 3β-Acetoxygorgostane-5α,6β, 11α-triol | Heteroxenia fuscescens | [30] |
| 36 | Xeniasterol D | Xenia sp. | [28] |
| 37 | Gorgostane-3β,5α,6β,11α-tetrol 11-acetate | Heteroxenia ghardaqensis | [31] |
| 38 | Gorgostane-3β,5α,6β, 11α, 20(S)-pentol 3-acetate | Xenia umbellata | [32] |
| 39 | Gorgostane-3β,5α,6β,9α,11α-pentol | Eunicea laciniata | [10] |
| 40 | 11α-Acetoxygorgostane-3β,5α,6β,12α-tetraol | Sarcophyton sp. | [12] |
| 41 | 12α-Acetoxygorgostane-3β,5α,6β,11α-tetraol | Sarcophyton sp. | [12] |
| 42 | Gorgostane-3β,5α,6β,11α,12β-pentol 12-acetate | Isis hippuris | [22] |
| 43 | Gorgostane-1α,3β,5α,6β,11α,12β-hexol 12-acetate | Isis hippuris | [22] |
| IV. 9,11-Secogorgostane: | |||
| 44 | 3β,11-Dihydroxy-9,11-secogorgost-5-en-9-one | Parerythropodium fulvum | [33] |
| 45 | 3β,11,24-Trihydroxy-9,11-secogorgost-5-en-9-one | Pseudopterogorgia sp. | [34] |
| 46 | Ameristerol A | Pseudopterogorgia americana | [35] |
| 47 | 5β,6β-Epoxy-3β,11-dihydroxy-9,11-secogorgostan-9-one | Cespitularia hypotentaculata | [36] |
| 48 | 5α,6α-Epoxy-3β,11-dihydroxy-9,11-secogorgostan-9-one | Pseudopterogorgia americana | [37] |
| 49 | 5α,6α-Epoxy-3β,7β,11-trihydroxy-9,11-secogorgostan-9-one | Lobophytum sp. | [9] |
| 50 | 5α,6α-Epoxy-1β,3β,11-trihydroxy-9,11-secogorgostan-9-one | Pseudopterogorgia americana | [37] |
| 51 | Klyflaccisteroid F | Klyxum flaccidum | [13] |
| 52 | Klyflaccisteroid K | Klyxum flaccidum | [38] |
| 53 | Leptosterol C | Sinularia leptoclados | [39] |
| V. 23-Demethylgorgostane: | |||
| 54 | Stoloniferone M | Clavularia viridis | [40] |
| 55 | 5α,6α-Epoxy-23-demethylgorgost-8-ene-3β, 7α-diol | Pinnigorgia sp. | [41] |
| 56 | 5α,6α-Epoxy-23-demethylgorgost-8(14)-ene-3β, 7α-diol | Pinnigorgia sp. | [41] |
| 57 | 5α,8α-Epidioxy-23-demethylgorgost-6-ene-3β-yl acetate | Sinularia maxima | [42] |
| 58 | 5α,8α-Epidioxy-23,24-didemethylgorgost-6-ene-3β-ol | Sinularia maxima | [42] |
| 59 | 5α,8α-Epidioxy-23-demethylgorgosta- 6,9(11)-dien-3β-ol | Sinularia gaweli | [43] |
| 60 | Stoloniferone Q | Clavularia viridis | [40] |
| 61 | Stoloniferone D | Clavularia viridis | [44,45] |
| 62 | Stoloniferone J | Clavularia viridis | [40] |
| 63 | Stoloniferone S | Clavularia viridis | [11] |
| 64 | Yonarasterol C | Clavularia viridis | [44] |
| 65 | Yonarasterol I | Clavularia viridis | [46] |
| 66 | Yonarasterol F | Clavularia viridis | [44] |
| VI. Miscellaneous gorgostane: | |||
| 67 | 5α,8α-Epidioxygorgost-6-en-3β-ol | Sinularia flexibilis | [47] |
| 68 | 5α,8α-Epidioxygorgosta-6,9(11)-dien-3β-ol | Sinularia flexibilis | [47] |
| 69 | 3α,5β-Dihydroxygorgostan-6-one | Sinularia sp. | [48] |
| 70 | 1α,3β,5β,11α-Tetrahydroxygorgostan-6-one | Isis hippuris | [49] |
| 71 | Dissesterol | Sinularia dissecta | [50] |
| 72 | Ameristerenol A | Pseudopterogorgia americana | [35] |
| 73 | Ameristerenol B | Pseudopterogorgia americana | [35] |
| 74 | Klyflaccisteroid L | Klyxum flaccidum | [38] |
| 75 | Gorgost-4-en-3-one | Sinularia dissecta | [51] |
| Carbon No. | 1 a | 2 b | 3 c | 4 d | 5 b | 6 e | 7 e | 8 e |
|---|---|---|---|---|---|---|---|---|
| 1 | 37.3 | 37.0 | 31.1 | 29.6 | 34.6 | 39.0 | 35.9 | 35.4 |
| 2 | 31.7 | 31.3 | 31.5 f | 32.7 | 31.6 | 32.0 | 31.8 | 31.3 |
| 3 | 71.8 | 71.3 | 71.0 | 70.6 | 71.4 | 71.6 | 71.3 | 71.3 |
| 4 | 42.3 | 42.0 | 43.3 | 43.9 | 41.4 | 42.2 | 42.4 | 42.6 |
| 5 | 140.8 | 146.2 | 139.2 | 139.9 | 140.5 | 143.4 | 145.1 | 164.4 |
| 6 | 121.7 | 123.8 | 121.6 | 121.4 | 125.9 | 125.6 | 121.0 | 124 |
| 7 | 31.9 | 65.3 | 27.0 | 27.8 | 74.9 | 72.9 | 64.7 | 198.2 |
| 8 | 32.0 | 37.6 | 34.5 g | 35.2 | 44.6 | 40.2 | 40.5 | 46.2 |
| 9 | 50.2 | 42.3 | 49.5 h | 73.7 | 149.0 | 54.5 | 53.5 | 55.4 |
| 10 | 36.5 | 37.4 | 43.0 | 43.2 | 38.4 | 38.0 | 36.2 | 37.4 |
| 11 | 21.2 | 20.7 | 69.3 | 27.3 | 121.1 | 69.2 | 214.1 | 211.6 |
| 12 | 39.9 | 39.2 | 46.9 | 36.1 | 71.8 | 51.4 | 58.6 | 58.6 |
| 13 | 42.8 | 41.6 | 42.8 | 42.6 | 46.1 | 44.0 | 46.0 | 46.5 |
| 14 | 56.6 | 49.3 | 49.4 | 50.1 | 45.3 | 55.2 | 46.5 | 48.0 |
| 15 | 24.5 | 24.5 | 24.1 | 24.6 | 27.5 | 26.7 | 23.6 | 24.7 |
| 16 | 28.2 | 28.3 | 28.3 | 28.8 | 28.8 | 28.8 | 28.4 | 28.3 |
| 17 | 57.9 | 57.7 | 57.6 h | 58.1 | 48.1 | 57.0 | 57.9 | 58.0 |
| 18 | 11.9 | 11.6 | 12.1 | 11.4 | 11.2 | 12.9 | 14.1 | 13.9 |
| 19 | 19.4 | 18.2 | 22.1 | 23.0 | 27.1 | 18.7 | 26.7 | 25.8 |
| 20 | 35.3 | 35.4 | 35.2 g | 35.7 | 35.4 | 35.1 | 35.2 | 35.3 |
| 21 | 21.1 | 21.1 | 21.1 | 21.6 | 20.9 | 21.2 | 20.8 | 20.8 |
| 22 | 32.1 | 32.2 | 27.8 | 32.5 | 31.8 | 31.8 | 31.8 | 31.8 |
| 23 | 25.8 | 25.8 | 25.8 | 26.0 | 25.8 | 25.9 | 25.9 | 25.9 |
| 24 | 50.8 | 50.8 | 50.8 h | 50.9 | 50.7 | 50.8 | 50.7 | 50.7 |
| 25 | 32.1 | 32.0 | 32.0 f | 32.3 | 32.0 | 32.0 | 32.0 | 31.9 |
| 26 | 21.5 | 21.5 | 21.4 | 21.7 | 21.5 | 21.5 | 21.5 | 21.5 |
| 27 | 22.2 | 22.2 | 21.9 | 22.4 | 22.2 | 22.2 | 22.1 | 22.1 |
| 28 | 15.4 | 15.4 | 15.4 | 15.7 | 15.5 | 15.4 | 15.5 | 15.5 |
| 29 | 14.3 | 14.3 | 14.3 i | 14.4 j | 14.3 | 14.3 | 14.3 | 14.3 |
| 30 | 21.3 | 21.3 | 21.2 i | 21.5 j | 21.4 | 21.3 | 21.3 | 21.3 |
| Carbon No. | 9 a | 10 b | 11 c | 12 d | 13 e | 14 a | 15 a | 16 e |
|---|---|---|---|---|---|---|---|---|
| 1 | 74.5 | 38.9 | 30.8 | 30.9 | 36.9 | 74.5 | 38.3 | 33.5 |
| 2 | 38.3 | 31.7 | 31.6 | 32.6 | 31.2 | 38.3 | 31.5 | 31.5 |
| 3 | 66.4 | 71.6 | 70.5 | 70.9 | 71.2 | 66.4 | 71.0 | 71.1 |
| 4 | 42.9 | 42.2 | 42.7 | 44.5 | 41.8 | 42.2 | 41.9 | 41.9 |
| 5 | 138.8 | 143.4 | 138.9 | 139.8 | 146 | 138.7 | 145.7 | 141.3 |
| 6 | 124.4 | 125.6 | 126.7 | 121.2 | 123.9 | 124.4 | 123.1 | 128.6 |
| 7 | 32.8 | 72.7 | 69.1 | 23.5 | 64.9 | 32.6 | 65.1 | 64.7 |
| 8 | 32.1 | 39.9 | 42.8 | 36.5 | 36.5 | 32.0 | 36.5 | 37.9 |
| 9 | 48.2 | 48.1 | 77.5 | 77.7 | 41.5 | 48.3 | 48.8 | 41.6 |
| 10 | 42.2 | 37.4 | 43.0 | 44.2 | 37.5 | 42.9 | 38.8 | 42.2 |
| 11 | 68.1 | 70.4 | 68.7 | 69.3 | 27.0 | 67.8 | 72.4 | 27.5 |
| 12 | 46.3 | 77.5 | 46.4 | 40.8 | 80.8 | 46.6 | 84.6 | 80.8 |
| 13 | 47.9 | 47.2 | 43.2 | 48.6 | 46.1 | 46.4 | 46.9 | 46.4 |
| 14 | 55.0 | 46.0 | 48.9 | 82.6 | 57.4 | 55.1 | 48.3 | 57.4 |
| 15 | 24.5 | 26.0 | 26.3 | 27.8 | 23.6 | 24.5 | 23.7 | 23.4 |
| 16 | 28.4 | 28.1 | 28.4 | 32.7 | 27.9 | 28.4 | 28.4 | 27.9 |
| 17 | 57.9 | 48.9 | 57.2 | 52.5 | 48.3 | 57.9 | 58.2 | 49.4 |
| 18 | 61.5 | 12.0 | 11.7 | 16.9 | 9.0 | 63.2 | 9.5 | 9.2 |
| 19 | 19.3 | 18.4 | 20.8 | 22.4 | 18.1 | 19.3 | 17.6 | 63.1 |
| 20 | 35.7 | 34.8 | 35.7 | 35.4 | 33.6 | 35.5 | 33.5 | 33.6 |
| 21 | 21.9 | 20.5 | 20.7 | 21.6 | 22.2 | 21.4 | 22.4 | 22.2 |
| 22 | 31.9 | 31.8 | 31.9 | 32.2 | 30.6 | 31.9 | 30.9 | 30.6 |
| 23 | 25.9 | 25.9 | 25.5 | 26.0 | 25.3 | 25.9 | 25.7 | 25.3 |
| 24 | 50.7 | 50.7 | 50.7 | 50.9 | 50.6 | 50.7 | 50.5 | 50.7 |
| 25 | 32.0 | 32.0 | 31.8 | 32.6 | 32.2 | 31.8 | 32.1 | 32.2 |
| 26 | 21.5 | 21.5 | 20.8 | 21.7 | 21.5 | 21.5 | 21.5 | 21.5 |
| 27 | 22.2 | 22.2 | 21.5 | 22.4 | 22.2 | 22.2 | 22.2 | 22.2 |
| 28 | 15.3 | 15.4 | 14.8 | 15.7 | 15.4 | 15.3 | 15.1 | 15.4 |
| 29 | 14.4 | 14.3 | 13.6 | 14.5 f | 13.8 g | 14.3 | 13.9 | 13.8 h |
| 30 | 21.3 | 21.3 | 20.7 | 21.4 f | 21.5 g | 21.3 | 21.3 | 21.5 h |
| Ac1 | --- | --- | --- | --- | 170.7 | 171.0 | 173.3 | 170.8 |
| --- | --- | --- | --- | 21.8 | 21.1 | 21.9 | 21.8 |
| Carbon No. | 17 a | 18 b | 19 a | 20 a | 21 a | 22 c |
|---|---|---|---|---|---|---|
| 1 | 37.5 | 70.0 | 38.2 | 37.2 | 74.1 | 37.3 |
| 2 | 31.6 | 35.1 | 31.3 | 31.5 | 37.7 | 31.7 |
| 3 | 70.9 | 70.2 | 71.0 | 70.6 | 64.5 | 71.9 |
| 4 | 42.4 | 38.7 | 42.2 | 42.3 | 41.7 | 42.3 |
| 5 | 146.1 | 139.0 | 146.0 | 145.8 | 142.9 | 140.8 |
| 6 | 124 | 124.6 | 120.0 | 122.7 | 126.7 | 121.7 |
| 7 | 64.8 | 32.5 | 64.4 | 64.5 | 65.7 | 31.9 |
| 8 | 37.0 | 32.9 | 36.6 | 36.7 | 33.2 | 32.0 |
| 9 | 45.5 | 48.6 | 48.2 | 44.9 | 40.8 | 50.2 |
| 10 | 39.0 | 43.4 | 39.0 | 38.9 | 43.6 | 35.8 |
| 11 | 76.8 | 68.0 | 72.8 | 76.7 | 72.9 | 24.3 |
| 12 | 82.8 | 48.4 | 84.3 | 82.4 | 86.2 | 39.8 |
| 13 | 47.5 | 56.3 | 46.8 | 47.9 | 46.7 | 42.8 |
| 14 | 46.7 | 56.1 | 51.1 | 50.5 | 47.8 | 56.7 |
| 15 | 23.6 | 25.5 | 76.6 | 76.9 | 23.5 | 24.6 |
| 16 | 27.9 | 30.2 | 37.0 | 37.3 | 27.9 | 28.2 |
| 17 | 57.8 | 58.0 | 55.1 | 55.6 | 57.5 | 58.0 |
| 18 | 9.1 | 176.9 | 10.9 | 10.1 | 9.8 | 11.9 |
| 19 | 18.0 | 19.3 | 17.7 | 18.0 | 17.6 | 19.4 |
| 20 | 33.5 | 36.5 | 32.5 | 32.7 | 36.9 | 36.6 |
| 21 | 22.3 | 21.1 | 22.1 | 22.7 | 21.7 | 21.1 |
| 22 | 30.3 | 31.9 | 29.7 | 29.8 | 30.3 | 31.7 |
| 23 | 25.3 | 25.7 | 25.2 | 25.3 | 25.3 | 25.8 |
| 24 | 50.5 | 50.6 | 50.5 | 50.4 | 50.5 | 50.2 |
| 25 | 32.1 | 32.0 | 32.0 | 32.1 | 32.1 | 156.9 |
| 26 | 21.4 | 21.4 | 21.4 | 21.5 | 22.2 | 106.0 |
| 27 | 22.2 | 22.1 | 22.4 | 22.2 | 22.5 | 22.0 |
| 28 | 15.3 | 15.5 | 15.3 | 15.1 | 13.8 | 15.4 |
| 29 | 13.7 | 14.0 | 13.8 | 13.7 | 15.3 | 14.3 |
| 30 | 21.7 | 21.2 | 21.1 | 21.3 | 21.4 | 22.2 |
| Ac1 | 172.8 | 170.0 | 170.1 | 170.0 | 173.4 | --- |
| 21.9 | 21.1 | 21.6 | 21.2 | 21.2 | --- | |
| Ac2 | --- | --- | 172.5 | 173.1 | --- | --- |
| --- | --- | 21.6 | 21.8 | --- | --- |
| Carbon No. | 23 a | 24 b | 25 a | 26 c | 27 a | 28 a | 29 a | 30 a | 31 a | 32 a |
|---|---|---|---|---|---|---|---|---|---|---|
| 1 | 37.2 | 73.8 | 38.7 | 74.5 | 37.7 | 74.0 | 38.6 | 74.2 | 38.0 | 37.6 |
| 2 | 31.1 | 37.6 | 31.1 | 40.0 | 30.9 | 37.9 | 31.2 | 37.9 | 30.9 | 30.8 |
| 3 | 69.5 | 63.4 | 69.3 | 64.3 | 68.9 | 63.7 | 69.0 | 63.8 | 69.1 | 68.8 |
| 4 | 42.3 | 42.1 | 42.6 | 44.6 | 42.2 | 42.2 | 42.2 | 42.2 | 42.0 | 42.0 |
| 5 | 62.9 | 63.3 | 63.1 | 65.1 | 63.7 | 62.2 | 64.3 | 61.9 | 63.7 | 63.4 |
| 6 | 63.7 | 64.5 | 63.0 | 64.6 | 64.0 | 63.6 | 64.4 | 63.2 | 63.5 | 63.4 |
| 7 | 32.6 | 32.2 | 31.6 | 32.8 | 67.2 | 31.8 | 67.4 | 31.2 | 66.9 | 66.9 |
| 8 | 29.9 | 28.0 | 28.0 | 29.0 | 32.8 | 27.7 | 33.1 | 27.1 | 32.5 | 32.1 |
| 9 | 51.4 | 45.6 | 56.9 | 47.3 | 45.0 | 44.5 | 48.4 | 44.9 | 47.9 | 44.9 |
| 10 | 34.9 | 40.8 | 35.9 | 42.3 | 35.1 | 40.7 | 35.4 | 40.6 | 35.3 | 35.2 |
| 11 | 22.1 | 73.8 | 73.2 | 72.9 | 77.5 | 77.4 | 73.0 | 72.4 | 73.5 | 77.3 |
| 12 | 39.9 | 83.6 | 85.1 | 86.2 | 82.6 | 82.9 | 84.9 | 45.5 | 84.0 | 82.3 |
| 13 | 42.8 | 47.3 | 47.0 | 48.2 | 47.7 | 48.0 | 46.9 | 43.4 | 46.8 | 48.0 |
| 14 | 56.1 | 53.4 | 53.7 | 54.5 | 46.9 | 52.7 | 48.6 | 58.3 | 52.0 | 51.3 |
| 15 | 24.4 | 23.8 | 23.6 | 24.8 | 22.9 | 23.6 | 23.1 | 75.2 | 76.2 | 76.5 |
| 16 | 28.2 | 28.1 | 27.7 | 28.5 | 27.7 | 27.7 | 28.3 | 38.4 | 37.1 | 37.4 |
| 17 | 58.0 | 58.3 | 57.6 | 58.1 | 58.0 | 58.0 | 58.2 | 55.3 | 55.4 | 55.9 |
| 18 | 11.8 | 9.1 | 10.0 | 10.9 | 9.1 | 9.0 | 9.7 | 13.4 | 11.1 | 10.2 |
| 19 | 17.0 | 15.8 | 15.6 | 16.7 | 16.3 | 16.0 | 16.0 | 16.0 | 15.7 | 16.3 |
| 20 | 35.2 | 33.5 | 33.2 | 34.1 | 33.3 | 33.3 | 33.2 | 34.6 | 32.0 | 32.6 |
| 21 | 21.1 | 22.5 | 22.3 | 22.5 | 22.4 | 22.4 | 22.6 | 20.3 | 22.3 | 22.3 |
| 22 | 32.1 | 30.6 | 30.3 | 31.1 | 30.2 | 30.2 | 30.7 | 31.8 | 29.8 | 29.9 |
| 23 | 25.8 | 25.4 | 25.3 | 25.9 | 25.3 | 25.2 | 25.7 | 25.8 | 25.3 | 25.3 |
| 24 | 50.8 | 50.7 | 50.6 | 51.4 | 50.5 | 50.5 | 50.6 | 50.6 | 50.5 | 50.5 |
| 25 | 32.0 | 32.0 | 32.1 | 33.0 | 32.1 | 32.1 | 32.2 | 31.7 | 32.5 | 32.5 |
| 26 | 21.3 | 21.5 | 21.4 | 22.6 | 21.4 | 21.4 | 21.5 | 21.3 | 21.2 | 21.9 |
| 27 | 22.2 | 22.3 | 22.2 | 23.0 | 21.9 | 22.2 | 22.3 | 22.1 | 22.2 | 22.3 |
| 28 | 15.4 | 15.3 | 15.4 | 16.5 | 15.3 | 15.3 | 15.2 | 15.2 | 15.2 | 15.0 |
| 29 | 14.3 | 13.8 | 13.8 | 13.8 d | 13.7 | 13.7 | 13.9 | 14.3 | 13.9 | 13.8 |
| 30 | 21.5 | 21.7 | 21.3 | 21.9 | 21.7 | 21.6 | 21.4 | 21.2 | 21.2 | 21.5 |
| Ac1 | --- | --- | 173.2 | 171.8 | 172.7 | 172.3 | 173.7 | 169.5 | 169.8 | 169.8 |
| --- | --- | 21.7 | 21.9 | 22.2 | 21.9 | 22.0 | 21.4 | 21.6 | 21.4 | |
| Ac2 | --- | --- | --- | --- | --- | --- | --- | 170.6 | 172.9 | 172.9 |
| --- | --- | --- | --- | --- | --- | --- | 21.8 | 21.6 | 21.9 |
| Carbon No. | 33 a | 34 b | 35 c | 36 a | 37 d | 38 e | 39 f | 40 d | 41 d | 42 g | 43 g |
|---|---|---|---|---|---|---|---|---|---|---|---|
| 1 | 32.5 | 35.6 | 35.1 | 32.2 | 34.2 | 26.9 | 30.4 | 33.7 | 33.9 | 33.7 | 74.6 |
| 2 | 33.3 | 35.4 | 28.2 | 33.4 | 35.1 | 34.0 | 31.4 | 31.3 | 31.2 | 30.5 | 36.5 |
| 3 | 67.4 | 67.4 | 73.0 | 67.1 | 68.9 | 70.8 | 67.9 | 67.1 | 67.5 | 66.8 | 63.0 |
| 4 | 42.8 | 43.5 | 38.5 | 42.5 | 40.1 | 37.5 | 41.8 | 41.3 | 41.3 | 40.2 | 40.3 |
| 5 | 75.9 | 76.8 | 77.2 | 76.6 | 76.5 | 76.8 | 78.8 | 76.6 | 76.7 | 76.2 | 77.7 |
| 6 | 76.3 | 76.5 | 76.5 | 77.5 | 76.0 | 76.2 | 76.8 | 76.0 | 76.0 | 75.1 | 73.9 |
| 7 | 35.7 | 35.8 | 35.2 | 76.2 | 34.6 | 34.5 | 29.7 | 34.4 | 34.0 | 33.6 | 34.1 |
| 8 | 31.1 | 30.1 | 30.3 | 36.0 | 32.0 | 29.0 | 33.2 | 29.4 | 28.9 | 28.6 | 28.8 |
| 9 | 46.0 | 53.1 | 52.8 | 45.3 | 51.9 | 52.7 | 80.8 | 42.7 | 46.3 | 50.5 | 45.8 |
| 10 | 39.2 | 41.1 | 41.0 | 38.5 | 40.0 | 39.9 | 43.5 | 39.6 | 39.6 | 39.8 | 41.9 |
| 11 | 21.8 | 68.5 | 69.0 | 22.0 | 71.6 | 68.6 | 70.5 | 73.4 | 70.7 | 72.6 | 71.2 |
| 12 | 40.8 | 53.0 | 53.0 | 40.6 | 52.5 | 51.9 | 47.3 | 75.0 | 80.5 | 85.8 | 86.5 |
| 13 | 43.6 | 44.0 | 44.4 | 44.4 | 44.7 | 43.6 | 44.2 | 46.7 | 46.0 | 47.0 | 46.9 |
| 14 | 56.5 h | 55.9 | 56.4 | 55.2 | 55.0 | 54.8 | 49.0 | 45.3 | 47.4 | 53.1 | 52.8 |
| 15 | 24.9 | 25.0 | 25.4 | 26.8 | 25.9 | 24.4 | 29.5 | 23.9 | 23.8 | 23.7 | 23.7 |
| 16 | 28.7 | 28.8 | 29.6 | 29.2 | 28.8 | 28.2 | 25.0 | 27.5 | 27.6 | 27.5 | 27.2 |
| 17 | 58.5 h | 58.0 | 59.4 | 57.5 | 58.0 | 57.8 | 59.1 | 49.2 | 50.1 | 57.4 | 57.0 |
| 18 | 12.5 | 13.4 | 13.5 | 12.4 | 13.1 | 13.0 | 12.8 | 11.8 | 12.7 | 9.9 | 9.9 |
| 19 | 17.2 | 17.8 | 17.4 | 17.8 | 16.8 | 16.9 | 20.0 | 16.7 | 16.7 | 16.3 | 15.6 |
| 20 | 35.6 | 35.6 | 36.5 | 35.5 | 35.3 | 76.3 | 36.4 | 35.1 | 34.6 | 33.8 | 32.7 |
| 21 | 22.4 | 22.4 | 21.6 | 22.4 | 22.3 | 21.1 | 21.5 | 20.1 | 20.6 | 22.0 | 21.8 |
| 22 | 32.2 | 32.3 | 33.4 | 32.2 | 32.0 | 31.9 | 32.9 | 31.9 | 31.9 | 30.2 | 29.7 |
| 23 | 26.0 | 25.9 | 26.8 | 26.0 | 26.1 | 25.8 | 26.7 | 25.9 | 25.9 | 25.1 | 24.8 |
| 24 | 50.9 | 50.9 | 52.2 | 50.9 | 51.8 | 50.7 | 52.2 | 50.8 | 50.8 | 50.1 | 50.4 |
| 25 | 32.5 | 32.3 | 33.3 | 32.6 | 32.2 | 32.0 | 33.3 | 32.0 | 32.0 | 31.9 | 31.9 |
| 26 | 21.5 i | 21.4 | 22.0 | 21.6 j | 21.7 | 22.2 | 21.9 | 21.5 | 21.5 | 21.5 | 21.4 |
| 27 | 15.6 | 21.7 | 22.1 | 15.6 | 21.5 | 21.5 | 22.6 | 22.2 | 21.3 | 22.0 | 22.0 |
| 28 | 21.6 | 15.7 | 16.0 | 21.6 | 15.7 | 15.5 | 15.9 | 15.4 | 15.5 | 15.1 | 15.1 |
| 29 | 14.4 i | 14.4 | 14.7 | 14.5 j | 14.4 | 14.2 k | 14.7 | 14.3 | 14.3 | 13.6 | 13.4 |
| 30 | 21.5 | 21.4 | 22.2 | 21.6 | 21.3 | 21.3 k | 22.1 | 21.3 | 21.3 | 21.0 | 20.8 |
| Ac1 | --- | --- | 172.8 | 170.6 | 171.5 | 170.8 | --- | 170.0 | 170.4 | 172.8 | 172.8 |
| --- | 21.4 | 21.8 | 22.8 | 21.4 | --- | 22.1 | 22.2 | 21.5 | 21.8 |
| Carbon No. | 44 a | 45 b | 46 c | 47 d | 48 e | 49 f | 50 e | 51 c | 52 c | 53 c |
|---|---|---|---|---|---|---|---|---|---|---|
| 1 | 31.0 | 31.1 | 31.0 | 28.6 | 29.9 | 31.2 | 69.9 | 31.0 | 28.3 | 31.1 |
| 2 | 30.7 | 30.5 | 30.8 | 30.5 | 34.8 | 29.9 | 35.0 | 30.6 | 29.3 | 30.8 |
| 3 | 72.0 | 71.0 | 71.5 | 68.0 | 69.5 | 69.2 | 69.4 | 71.3 | 65.9 | 71.4 |
| 4 | 40.6 | 40.4 | 40.6 | 38.6 | 39.9 | 40.0 | 40.3 | 40.5 | 35.3 | 40.6 |
| 5 | 140 | 140.4 | 140.1 | 65.4 | 60.9 | 62.7 | 61.0 | 140.3 | 83.8 | 140.4 |
| 6 | 122 | 121.2 | 121.5 | 58.2 | 60.0 | 65.2 | 60.4 | 121.1 | 141.2 | 121.5 |
| 7 | 32.2 | 32.5 | 32.8 | 26.2 | 32.0 | 67.0 | 31.8 | 32.8 | 130.2 | 33.0 |
| 8 | 43.2 | 43.0 | 43.5 | 38.8 | 41.6 | 49.3 | 41.5 | 44.1 | 86.6 | 43.5 |
| 9 | 217.4 | 217.7 | 217.6 | 214.8 | 214 | 213 | 214.1 | 218.5 | 205.9 | 217.6 |
| 10 | 36.0 | 48.3 | 48.3 | 46.6 | 46.7 | 45.4 | 46.4 | 48.4 | 44.7 | 48.4 |
| 11 | 60.0 | 58.8 | 59.1 | 58.8 | 59.0 | 59.1 | 59.1 | 174.4 | 59.4 | 59.4 |
| 12 | 40.4 | 40.3 | 40.5 | 41.3 | 39.6 | 40.7 | 39.4 | 43.5 | 43.7 | 40.2 |
| 13 | 45.0 | 45.6 | 45.4 | 45.9 | 45.5 | 45.8 | 45.6 | 45.6 | 45.9 | 45.6 |
| 14 | 41.7 | 41.6 | 41.6 | 45.3 | 40.2 | 43.0 | 40.4 | 42.9 | 45.7 | 41.6 |
| 15 | 24.4 | 24.1 | 24.3 | 22.6 | 26.0 | 23.0 | 25.8 | 24.9 | 24.9 | 24.4 |
| 16 | 27.5 | 27.8 | 26.8 | 28.2 | 27.9 | 28.1 | 27.7 | 27.1 | 29.3 | 26.7 |
| 17 | 50.3 | 50.2 | 50.7 | 50.7 | 50.0 | 50.3 | 50.2 | 51.1 | 53.1 | 50.2 |
| 18 | 17.0 | 17.3 | 17.3 | 18.1 | 17.0 | 17.8 | 17.2 | 16.8 | 20.3 | 17.2 |
| 19 | 22.9 g | 22.9 | 22.9 | 19.7 | 17.4 | 18.1 | 17.5 | 22.9 | 21.7 | 22.9 |
| 20 | 34.5 | 34.6 | 33.8 | 34.7 | 34.9 | 35.2 | 35.0 | 34.7 | 33.5 | 38.4 |
| 21 | 20.6 | 20.4 | 20.5 | 21.0 | 20.8 | 20.5 | 20.6 | 21.0 | 21.3 | 18.8 |
| 22 | 31.8 | 26.0 | 31.4 | 32.1 | 31.9 | 31.9 | 32.0 | 31.6 | 31.9 | 23.9 h |
| 23 | 25.8 | 28.6 | 26.5 | 25.9 | 25.9 | 25.9 | 25.8 | 25.9 | 25.9 | 24.4 h |
| 24 | 50.6 | 74.5 | 161.4 | 50.8 | 50.5 | 50.7 | 50.7 | 50.6 | 50.6 | 44.8 |
| 25 | 32.0 | 34.7 | 29.4 | 32.0 | 31.4 | 31.2 | 31.5 | 32.0 | 32.0 | 32.8 |
| 26 | 21.4 g | 17.2 | 24.2 | 22.3 | 22.3 | 22.0 | 22.2 | 21.4 | 21.4 | 18.5 |
| 27 | 15.3 | 17.0 | 24.2 | 21.4 | 21.5 | 21.5 | 21.4 | 22.2 | 22.2 | 20.7 |
| 28 | 21.6 | 23.9 | 105.3 | 15.2 | 15.2 | 15.3 | 15.3 | 15.3 | 15.1 | 15.7 |
| 29 | 14.2 g | 16.9 | 20.4 | 14.4 | 14.2 | 14.3 | 14.3 | 14.2 | 14.2 | 10.5 |
| 30 | 21.2 | 16.1 | 17.8 | 21.4 | 21.2 | 21.3 | 21.3 | 21.3 | 21.4 | --- |
| Carbon No. | 54 a | 55 b | 56 b | 57 c | 58 c,d | 59 b | 60 a |
|---|---|---|---|---|---|---|---|
| 1 | 215.2 | 30.2 | 32.2 | 39.4 | 39.4 | 32.6 | 212.5 |
| 2 | 47.1 | 30.9 | 31.1 | 30.0 | 30.1 | 30.6 | 126.9 |
| 3 | 64.2 | 68.6 | 68.7 | 69.5 | 66.4 | 66.3 | 140.8 |
| 4 | 40.9 | 39.2 | 39.6 | 51.1 | 51.1 | 36.1 | 119.0 |
| 5 | 61.3 | 65.6 | 67.8 | 79.4 | 79.5 | 82.7 | 157.7 |
| 6 | 61.0 | 62.6 | 61.3 | 130.9 | 130.8 | 130.8 | 73.7 |
| 7 | 31.6 | 67.1 | 65.1 | 135.0 | 135.4 | 135.4 | 40.4 |
| 8 | 28.5 | 126.9 | 125.1 | 81.7 | 82.1 | 78.4 | 29.5 |
| 9 | 49.8 | 134.6 | 38.7 | 34.3 | 34.7 | 142.5 | 58.2 |
| 10 | 51.7 | 38.0 | 35.8 | 36.9 | 37.0 | 37.9 | 55.4 |
| 11 | 67.6 | 23.7 | 19.0 | 20.8 | 20.9 | 119.8 | 66.9 |
| 12 | 49.2 | 35.7 | 36.6 | 39.5 | 39.5 | 41.2 | 49.5 |
| 13 | 43.2 | 42.5 | 43.3 | 44.9 | 44.9 | 44.1 | 43.2 |
| 14 | 55.2 | 49.3 | 152.6 | 51.3 | 51.4 | 47.8 | 54.6 |
| 15 | 24.4 | 23.9 | 25.3 | 28.7 | 28.5 | 21.2 | 24.9 |
| 16 | 29.8 | 29.1 | 27.3 | 23.4 | 23.4 | 28.4 | 28.6 |
| 17 | 57.4 | 55.1 | 58.2 | 57.3 | 57.3 | 57.4 | 57.5 |
| 18 | 12.6 | 10.9 | 17.7 | 12.5 | 12.5 | 12.6 | 12.9 |
| 19 | 13.6 | 22.8 | 16.5 | 18.0 | 18.5 | 25.5 | 19.6 |
| 20 | 40.0 | 40.5 | 39.2 | 39.9 | 39.9 | 39.7 | 40.1 |
| 21 | 19.1 | 19.2 | 19.2 | 19.0 | 19.1 | 19.0 | 19.2 |
| 22 | 24.1 e | 24.0 | 24.0 | 24.1 e | 24.1 e | 24.2 | 24.1 e |
| 23 | 25.2 e | 25.2 | 25.1 | 25.1 e | 25.1 e | 25.1 | 25.2 e |
| 24 | 45.0 | 45.0 | 44.3 | 45.0 | 45.0 | 44.9 | 45.0 |
| 25 | 32.9 | 32.8 | 32.3 | 33.2 | 32.8 | 32.8 | 32.9 |
| 26 | 18.6 | 20.7 | 20.7 | 18.5 | 18.1 | 18.5 | 18.6 |
| 27 | 20.7 | 18.6 | 18.3 | 20.6 | 20.6 | 20.7 | 20.8 |
| 28 | 15.8 | 15.8 | 15.7 | 16.1 | 10.5 | 15.8 | 15.9 |
| 29 | 10.5 | 10.4 | 10.6 | 10.5 | --- | 10.5 | 10.5 |
| 30 | --- | --- | --- | --- | --- | --- | --- |
| Ac1 | --- | --- | --- | 170.0 | --- | --- | --- |
| --- | --- | --- | 21.2 | --- | --- | --- |
| Carbon No. | 61 a | 62 b | 63 c | 64 c | 65 c | 66 c |
|---|---|---|---|---|---|---|
| 1 | 207.9 | 208.7 | 212 | 207.7 | 205.3 | 204.4 |
| 2 | 128.7 | 128.9 | 78.5 | 129.1 | 128.6 | 131.8 |
| 3 | 147.3 | 142.1 | 126.4 | 141.0 | 140.1 | 138.7 |
| 4 | 34.0 | 36.3 | 141.7 | 36.4 | 31.7 | 54.1 |
| 5 | 62.3 | 77.9 | 83.9 | 76.9 | 78.2 | 65.1 |
| 6 | 63.7 | 74.7 | 66.9 | 75.3 | 66.1 | 73.3 |
| 7 | 30.5 | 32.9 | 34.9 | 29.3 | 38.8 | 37.3 |
| 8 | 28.7 | 28.4 | 27.7 | 29.2 | 33.9 | 28.7 |
| 9 | 50.6 | 47.2 | 50.0 | 47.1 | 54.3 | 57.2 |
| 10 | 50.1 | 54.3 | 49.2 | 53.7 | 54.5 | 49.6 |
| 11 | 67.1 | 68.4 | 67.0 | 68.5 | 66.8 | 66.4 |
| 12 | 50.8 | 51.2 | 48.4 | 51.1 | 48.8 | 48.8 |
| 13 | 43.4 | 43.6 | 43.0 | 43.5 | 43.5 | 43.4 |
| 14 | 55.4 | 55.6 | 54.0 | 55.6 | 54.4 | 54.3 |
| 15 | 24.3 | 24.0 | 24.6 | 24.1 | 28.3 | 24.4 |
| 16 | 28.7 | 28.5 | 28.4 | 28.6 | 24.1 | 28.4 |
| 17 | 57.5 | 57.5 | 57.4 | 57.3 | 57.2 | 57.3 |
| 18 | 12.9 | 13.1 | 13.0 | 13.5 | 12.8 | 12.7 |
| 19 | 14.9 | 15.1 | 20.1 | 14.6 | 9.3 | 13.5 |
| 20 | 40.0 | 39.8 | 40.1 | 40.1 | 39.9 | 40.0 |
| 21 | 19.0 | 19.1 | 19.2 | 19.0 | 19.1 | 19.1 |
| 22 | 24.0 | 24.0 d | 24.0 d | 23.9 d | 24.1 d | 24.1 d |
| 23 | 25.1 | 25.2 d | 25.2 d | 25.1 d | 25.1 d | 25.2 d |
| 24 | 45.0 | 45.0 | 44.9 | 44.9 | 44.9 | 44.9 |
| 25 | 32.9 | 33.0 | 32.8 | 32.8 | 32.8 | 32.8 |
| 26 | 18.6 | 18.6 | 18.5 | 18.6 | 18.5 | 18.5 |
| 27 | 20.7 | 20.7 | 20.7 | 20.7 | 20.7 | 20.7 |
| 28 | 15.9 | 15.9 | 15.8 | 15.8 | 15.8 | 15.8 |
| 29 | 10.5 | 10.5 | 10.5 | 10.4 | 10.5 | 10.5 |
| 30 | --- | --- | --- | ----- | --- | --- |
| Ac1 | --- | --- | --- | 21.3 | --- | --- |
| --- | --- | --- | 169.9 | --- | --- |
| Carbon No. | 67 a | 68 a | 69 a | 70 a | 71 b | 72 c | 73 c | 74 c | 75 a |
|---|---|---|---|---|---|---|---|---|---|
| 1 | 34.7 | 34.7 | 33.6 | 70.4 | 36.5 | 34.0 | 33.9 | 27.0 | 36.1 |
| 2 | 30.1 | 30.1 | 27.5 | 37.4 | 28.5 | 31.2 | 27.3 | 30.9 | 34.4 |
| 3 | 66.5 | 65.4 | 66.1 | 68.0 | 67.3 | 71.9 | 74.0 | 70.7 | 200.0 |
| 4 | 37.0 | 36.1 | 37.2 | 37.3 | 128.1 | 41.0 | 37.0 | 41.4 | 124.2 |
| 5 | 82.2 | 82.7 | 84.2 | 84.0 | 147.1 | 138.2 | 137.1 | 140.4 | 172.1 |
| 6 | 130.8 | 130.8 | 212.3 | 210.5 | 73.6 | 118.6 | 119.6 | 125.1 | 32.4 |
| 7 | 135.4 | 135.4 | 41.5 | 41.1 | 38.9 | 30.3 | 30.3 | 71.2 | 33.2 |
| 8 | 79.5 | 78.5 | 35.8 | 36.0 | 30.1 | 115.0 | 115.0 | 43.8 | 36.0 |
| 9 | 51.1 | 142.5 | 44.9 | 50.2 | 54.1 | 156.6 | 156.4 | 98.2 | 54.2 |
| 10 | 37.0 | 37.0 | 40.0 | 50.6 | 36.7 | 39.3 | 39.4 | 43.0 | 38.9 |
| 11 | 29.8 | 119.8 | 21.5 | 66.3 | 20.8 | 68.0 | 68.0 | --- | 21.4 |
| 12 | 39.5 | 41.4 | 39.0 | 49.0 | 39.7 | 46.4 | 46.4 | 73.8 | 40.1 |
| 13 | 45.2 | 44.2 | 42.1 | 43.3 | 42.8 | 42.8 | 42.9 | 43.7 | 43.2 |
| 14 | 51.5 | 51.6 | 54.0 | 55.4 | 55.8 | 50.4 | 50.7 | 46.1 | 58.2 |
| 15 | 23.5 | 23.4 | 23.8 | 24.5 | 24.2 | 24.4 | 24.7 | 26.1 | 24.8 |
| 16 | 28.3 | 28.3 | 27.5 | 28.0 | 28.0 | 27.9 | 27.9 | 28.3 | 28.6 |
| 17 | 58.2 | 57.8 | 56.8 | 57.8 | 57.8 | 58.4 | 58.5 | 54.2 | 56.1 |
| 18 | 12.6 | 12.7 | 12.2 | 12.7 | 11.8 | 12.2 | 12.2 | 10.2 | 12.4 |
| 19 | 18.2 | 25.5 | 19.9 | 14.6 | 21.1 | 21.5 | 21.5 | 20.9 | 17.7 |
| 20 | 34.7 | 34.9 | 34.9 | 35.2 | 35.1 | 35.4 | 35.4 | 34.7 | 35.6 |
| 21 | 21.5 | 21.1 | 21.2 | 21.0 | 21.1 | 21.7 | 21.7 | 21.0 | 21.5 |
| 22 | 31.9 | 31.8 | 31.0 | 31.9 | 31.8 | 32.0 | 32.3 | 31.7 | 32.4 |
| 23 | 26.0 | 25.9 | 25.0 | 25.9 | 25.6 | 25.9 | 26.2 | 25.9 | 26.2 |
| 24 | 50.7 | 50.7 | 50.0 | 50.7 | 50.6 | 50.7 | 50.8 | 50.7 | 51.8 |
| 25 | 32.0 | 32.0 | 31.2 | 32.0 | 32.0 | 32.1 | 32.2 | 32.0 | 32.4 |
| 26 | 21.5 | 21.5 | 22.2 | 21.5 | 21.2 | 21.5 | 21.5 | 21.5 | 21.9 |
| 27 | 22.2 | 22.2 | 21.4 | 22.1 | 21.8 | 22.2 | 22 2 | 22.1 | 22.5 |
| 28 | 15.4 | 15.5 | 15.4 | 15.5 | 15.2 | 15.3 | 15.4 | 15.5 | 15.8 |
| 29 | 14.3 | 14.3 | 14.0 d | 14.3 | 14.0 | 14.2 | 14.2 | 14.3 | 14.7 |
| 30 | 21.3 | 21.3 | 20.5 d | 21.3 | 20.9 | 21.4 | 21.4 | 21.3 | 21.7 |
| Ac1 | --- | --- | --- | --- | --- | --- | 170.2 | --- | --- |
| --- | --- | --- | --- | --- | --- | 21.4 | --- | --- |
Publisher’s Note: MDPI stays neutral with regard to jurisdictional claims in published maps and institutional affiliations. |
© 2022 by the authors. Licensee MDPI, Basel, Switzerland. This article is an open access article distributed under the terms and conditions of the Creative Commons Attribution (CC BY) license (https://creativecommons.org/licenses/by/4.0/).
Share and Cite
Abdelkarem, F.M.; Abouelela, M.E.; Kamel, M.R.; Nafady, A.M.; Allam, A.E.; Abdel-Rahman, I.A.M.; Almatroudi, A.; Alrumaihi, F.; Allemailem, K.S.; Assaf, H.K. Chemical Review of Gorgostane-Type Steroids Isolated from Marine Organisms and Their 13C-NMR Spectroscopic Data Characteristics. Mar. Drugs 2022, 20, 139. https://doi.org/10.3390/md20020139
Abdelkarem FM, Abouelela ME, Kamel MR, Nafady AM, Allam AE, Abdel-Rahman IAM, Almatroudi A, Alrumaihi F, Allemailem KS, Assaf HK. Chemical Review of Gorgostane-Type Steroids Isolated from Marine Organisms and Their 13C-NMR Spectroscopic Data Characteristics. Marine Drugs. 2022; 20(2):139. https://doi.org/10.3390/md20020139
Chicago/Turabian StyleAbdelkarem, Fahd M., Mohamed E. Abouelela, Mohamed R. Kamel, Alaa M. Nafady, Ahmed E. Allam, Iman A. M. Abdel-Rahman, Ahmad Almatroudi, Faris Alrumaihi, Khaled S. Allemailem, and Hamdy K. Assaf. 2022. "Chemical Review of Gorgostane-Type Steroids Isolated from Marine Organisms and Their 13C-NMR Spectroscopic Data Characteristics" Marine Drugs 20, no. 2: 139. https://doi.org/10.3390/md20020139
APA StyleAbdelkarem, F. M., Abouelela, M. E., Kamel, M. R., Nafady, A. M., Allam, A. E., Abdel-Rahman, I. A. M., Almatroudi, A., Alrumaihi, F., Allemailem, K. S., & Assaf, H. K. (2022). Chemical Review of Gorgostane-Type Steroids Isolated from Marine Organisms and Their 13C-NMR Spectroscopic Data Characteristics. Marine Drugs, 20(2), 139. https://doi.org/10.3390/md20020139

