Abstract
The newly developed assay system using recombinant Leishmania amazonensis expressing enhanced green fluorescent protein (La/egfp) has been applied to the screening of Japanese marine sponges for antileishmanial activity. Bioassay-guided fractionation of an active sponge Neopetrosia sp. afforded an active compound which was identified as renieramycin A by spectroscopic analysis. It inhibited La/egfp with an IC50 value of 0.2 μg/mL.
Introduction
Leishmaniasis is caused by parasitic protozoans of the genus Leishmania spread by the bite of infected sand flies [1–4]. It is endemic in subtropical and tropical countries and approximately 2 million cases are estimated every year [5]. There are several forms of leishmaniasis, of which cutaneous and visceral leishmaniases are the most common. Pentavalent antimony compounds have been used for treatment of leishmaniasis since the 1940s, and more recently amphotericin B and other antifungal drugs are used as alternatives. However, these drugs have disadvantages including toxic effects [6–8]. Thus, less toxic antileishmanial drugs are urgently required.
In our continuing program on the discovery of drug leads from Japanese marine invertebrates, we screened 120 marine sponges for antileishmanial activity by the newly developed assay system using recombinant Leishmania amazonensis expressing enhanced green fluorescent protein as shown in Figure 1 (La/egfp) [9], and found promising activity in the lipophilic extract of Neospongia sp. collected in southern Japan. Bioassay-guided isolation furnished renieramycin A (1) as an active constituent. Here, we report the isolation, identification and antileishmanial activity of 1.
Fig. 1.
Fluorescence microscopy image of La/egfp.
Results and Discussion
Since this sponge was known to contain highly cytotoxic renieramycin P (2: IC50 0.53 nM against P388 cells)[10–12], bioassay-guided fractionation was carried out monitoring both leishmanicidal and cytotoxic activities to distinguish less toxic antileishmanial compounds from those with high toxicity. The organic layer of the extract was fractionated by the modified Kupchan procedure [13] to yield hexane, CHCl3, and 60 % MeOH layers. The CHCl3 layer, which showed the most potent leishmanicidal and cytotoxic activity (IC50 3 and 18 ng/mL, respectively), was separated by ODS flash chromatography using MeOH/H2O (5:5 and 7:3), CH3CN/H2O (7:3 and 85:5), MeOH, and CHCl3/MeOH/H2O (70:30:5). The fraction eluted with MeCN/H2O (7:3) which showed less cytotoxicity (IC50 values: 450 ng/mL against P388 and 70 ng/mL against La/egfp) was purified by reversed phase HPLC using MeCN/H2O (38:62) with 0.2 M NaCl, and the final purification by reversed phase HPLC using MeCN/H2O (35:65) containing 0.2 M NaCl afforded renieramycin A (1, 0.5 mg).

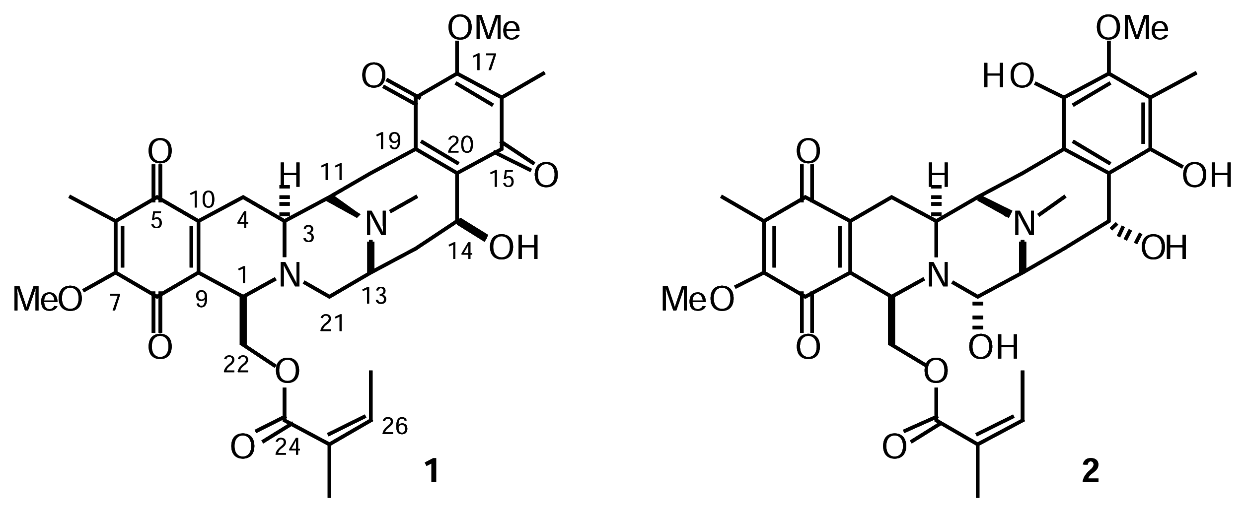
The FABMS of 1 exhibited an (M+4H+H) + ion at m/z 571, which corresponded to the hydroquinone form; in fact, ESIMS gave an (M+H) + ion at m/z 567. A database search using MarineLitTM suggested this pseudomolecular ion peak coincided with that of renieramycin A [14]. Analysis of 2D NMR data including the HOHAHA [15] and HMBC [16] spectra disclosed three spin systems and two quinone moieties which are the same as renieramycin A (Figure 2). However, some of the chemical shift values obtained in CD3OD was not consistent with those of the literature. Comparison of 1H-NMR data in the same solvent (CDCl3) with those of the literature enabled us to assign the compound 1 was renieramycin A.
Fig. 2.
HOHAHA and HMBC correlations of 1.
Antileishmanial activity of renieramycin A (1) was evaluated using La/egfp. As shown in Figure 3, renieramycin A showed a dose-dependent inhibition against La/egfp with an IC50 value of 0.2 μg/mL. On the other hand, it showed cytotoxicity against P388 murine leukemia cells at the ten times higher concentration (IC50 2.2 μg/mL).
Fig. 3.
Inhibition curve of La/egfp by renieramycin A
Conclusions
Several antileishmanial compounds including cyclic peroxides [17], pyridoacridine alkaloids [18], and manzamine alkaloids [19] have been reported from marine invertebrates. However, the number of antileishmanial compounds isolated from marine source is still limited.
We adopted for the first time the newly developed bioassay using recombinant Leishmania amazonensis expressing enhanced green fluorescent protein (La/egfp) to the search of leishmanicidal metabolites from marine organisms, and isolated renieramycin A (1) from a marine sponge Neopetrosia sp. From the less cytotoxic fraction obtained after several steps of chromatographic fractionation, renieramycin A (1) was obtained as an active substance. As expected, 1 showed moderate selectivity for inhibition against La/egfp proliferation over cytotoxicity against P388 cells.
In this study, we have demonstrated the efficacy of the new assay using La/egfp for discovery study of antileishmainal compounds from natural source.
Experimental
General
NMR spectra were recorded on a JEOL A600 NMR spectrometer operating at 600 MHz for 1H and 150 MHz for 13C. Chemical shifts were referenced to the CD3OD signals (δH 3.3 and δC 49, respectively). FABMS spectra were measured on a JEOL JMS700 tandem mass spectrometer using NBA as a matrix. ESIMS data were obtained using JEOL AccuTOF JMS-T100LC.
Animal material
The animal specimens were collected by hand using SCUBA off Kuchinoerabu-jima Island in the Satsunan Islands (30°28’31”N; 130°11’73”E) in July 2001 and identified as Neopetrosia sp. by Dr. Rob van Soest, University of Amsterdam. They were immediately frozen and kept at −20 °C until processed.
Antileishmanial assay
Fluorescence signals of La/egfp promastigotes cultured in 199 medium (NISSUI Pharmaceutical, Tokyo, Japan) in 96-well plates at 25 °C were measured by a fluorescence microplate reader (Fluoro scan Ascent FL., Dainippon Pharmaceutical Co., Osaka, Japan) with excitation at 485 nm and emission at 538 nm. To determine the IC50 (0.42 μg/mL) of amphotericin B (ICN, Ohio, USA), La/egfp were cultured at 5 × 105 cells/mL with various concentrations of the drug, and their fluorescence signals were measured after 72 h incubation.
Isolation
Frozen animals (1.5 kg) were exhaustively extracted with MeOH (2L) and EtOH (2L × 2), and the combined extracts were concentrated and partitioned between H2O and CHCl3. The organic layer was subjected to the modified Kupchan procedure [7]: first partitioned between n-hexane and MeOH/H2O (90:10), then the MeOH/H2O (90:10) layer was diluted with H2O to make MeOH/H2O (60:40) which was extracted with CHCl3. The CHCl3 layer was separated by ODS flash chromatography using MeOH/H2O (5:5 and 7:3), CH3CN/H2O (7:3 and 85:5), MeOH, and CHCl3/MeOH/H2O (70:30:5). Fractions eluted with MeCN/H2O (7:3) was concentrated and separated by reversed phase HPLC [Phenomenex Luna® phenyl-hexyl, 20 × 250 mm] using MeCN/H2O (38:62) with 0.2 M NaCl. The active fraction was further purified by reversed phase HPLC [COSMOSIL 5C18-ARII, 10 × 250 mm] using MeCN/H2O (35:65) with 0.2 M NaCl to afford renieramycin A (1, 0.5 mg); [α]D −30 (c 0.02, MeOH); 1H- and 13C-NMR see Table 1; FABMS m/z 571 [M+4H+H]+; ESIMS m/z 567 [M+H]+.
Table 1.
NMR Data for 1 and Renieramycin A
Acknowledgments
We are indebted to the crew of R/V Toyoshio-maru of Hiroshima University for assistance in collection of the sponge samples. We thank Professor Rob W. M. van Soest at University of Amsterdam for identification of the sponge.
- Samples Availability: Not available.
References and Notes
- Herwaldt, B. L. Leishmaniasis. Lancet 1999, 354, 1191–1199. [Google Scholar]
- Aldina, B.; Diana, P. S.; Gabriel, G., Jr.; Hooman, M.; Diane, M. P.; Amelia, R. J.; Roque, A.; Robert, B.; Manoel, B. N.; Edgar, M. C.; Warren, D. J., Jr. Leishmaniasis in Bahia, Brazil: Evidence that Leishmania amazonensis Produces a Wide Spectrum of Clinical Disease. Am. J. Trop. Med. Hyg 1991, 44, 536–546. [Google Scholar]
- Barral, A.; Badaro, R.; Barral, N. M.; Grimaldi, G., Jr.; Momem, H.; Carvalho, E. M. Isolation of Leishmania mexicana amazonensis from the Bone Marrow in a Case of American Visceral Leishmaniasis. Am. J. Trop. Med. Hyg 1986, 35, 732–734. [Google Scholar]
- Grimaldi, G., Jr.; Tesh, R. B.; McMahon, P. D. A Review of the Geographic Distribution and Epidemiology of Leishmaniasis in the New World. Am. J. Trop. Med. Hyg 1989, 41, 687–725. [Google Scholar]
- Ashford, R. W.; Desjeux, P.; De Raadt, P. Estimation of Population at Risk of Infection and Number of Cases of Leishmaniasis. Parasitol. Today, Sect. B 1992, 8, 104–105. [Google Scholar]
- Balana-Fouce, R.; Reguera, R. M.; Cubria, J. C.; Ordonez, D. Review: The Pharmacology of Leishmaniasis. Gen. Pharmacol 1998, 30, 435–443. [Google Scholar]
- Jackson, J. E.; Tally, J. D.; Tang, D. B. An In Vitro Micromethod for Drug Sensitivity Testing of Leishmania. Am. J. Trop. Med. Hyg 1989, 41, 318–330. [Google Scholar]
- Brajtburg, J.; Bolard, J. Carrier Effects on Biological Activity of Amphotericin B. Clin. Microbiol. Rev 1996, 9, 512–531. [Google Scholar]
- Okuno, T.; Goto, Y.; Matsumoto, Y.; Otsuka, H.; Matsumoto, Y. Applications of Recombinant Leishmania amazonensis Expressing egfp or the β-Galactosidase Gene for Drug Screening and Histopathological Analysis. Exp. Anim 2003, 52, 109–118. [Google Scholar]
- Oku, N.; Matsunaga, S.; van Soest, R. W. M.; Fusetani, N. Renieramycin J, a Highly Cytotoxic Tetrahydroisoquinoline Alkaloid, from a marine Sponge Neopetrosia sp. J. Nat. Prod 2003, 66, 1136–1139. [Google Scholar]
- Renieramycin J isolated by Oku et al was renamed as renieramycin P. For renieramycin J, see ref [12].
- Suwanborirux, K.; Amnuoypol, S.; Plubrukarn, A.; Pummangura, S.; Kubo, A.; Tanaka, C.; Saito, N. Chemistry of Renieramycins. Part 3. Isolation and Structure of Stabilized Renieramycin Type Derivatives Possessing Antitumor Activity from Thai Sponge Xestospongia species, Pretreated with Potassium Cyanide. J. Nat. Prod 2003, 66, 1441. [Google Scholar]
- Kupchan, S. M.; Britton, R. W.; Ziegler, M. F.; Sigel, C. W. Tumor Inhibitors 82. Bruceantin, a New Potent Antileukemic Simaroubolide from Brucea antidysenterica. J. Org. Chem 1973, 38, 178–179. [Google Scholar]
- Frincke, J. M.; Faulkner, D. J. Antimicrobial Metabolites of the Sponge Reniera sp. J. Am. Chem. Soc 1982, 104, 265–269. [Google Scholar]
- Bax, A.; Summers, M. F. Proton and Carbon-13 Assignments from Sensitivity-enhanced Detection of Hheteronuclear Multiple-bond Connectivity by 2D Multiple Quantum NMR. J. Am. Chem. Soc 1986, 108, 2093–2094. [Google Scholar]
- Bax, A.; Aszalos, A.; Dinya, Z.; Sudo, K. Structure Elucidation of the Antibiotic Desertomycin through the Use of New Two-dimensional NMR Techniques. J. Am. Chem. Soc 1986, 108, 8056–8063. [Google Scholar]
- Compagnone, R. S.; Pina, I. C.; Rangel, H. R.; Dagger, F.; Suarez, A. I.; Reddy, M. V. R.; Faulkner, D. J. Antileishmanial Cyclic Peroxides from the Palauan Sponge Plakortis aff. angulospiculatus. Tetrahedron 1998, 54, 3057–3068. [Google Scholar]
- Copp, B. R.; Kayser, O.; Brun, R.; Kiderlen, A. F. Antiparasitic Activity of Marine Pyridoacridone alkaloids related to the ascididemnins. Planta Medica 2003, 69, 527–531. [Google Scholar]
- Rao, K. V.; Santarsiero, B. D.; Mesecar, A. D.; Schinazi, R. F.; Tekwani, B. L.; Hamann, M. T. New Manzamine Alkaloids with Activity against Infectious and Tropical Parasitic Diseases from an Indonesian Sponge. J. Nat. Prod 2003, 66, 823–828. [Google Scholar]
© 2004 by MDPI Reproduction is permitted for noncommercial purposes.


