Heart Rate Variability Nomogram Predicts Atrial Fibrillation in Patients with Moderate to High Burden of Premature Ventricular Complexes
Abstract
1. Introduction
2. Materials and Methods
2.1. Study Population and Design
2.2. Definitions
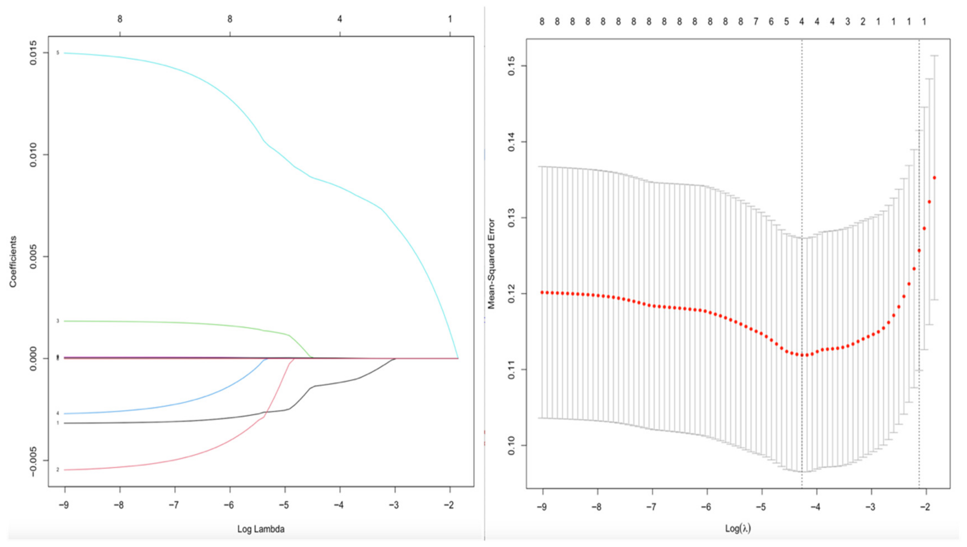
2.3. Statistical Analysis
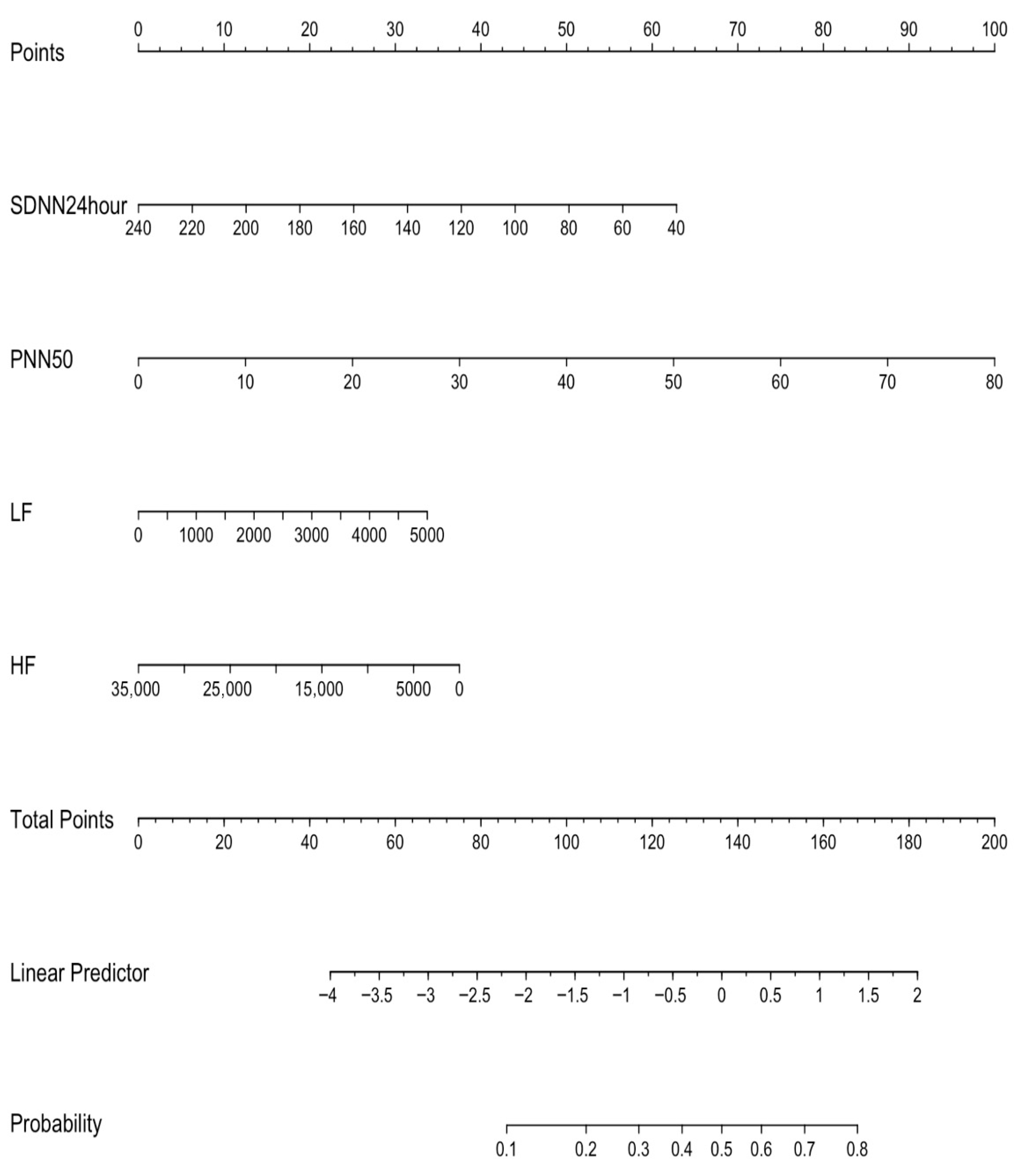
3. Results
4. Discussion
Limitations
5. Conclusions
Author Contributions
Funding
Institutional Review Board Statement
Informed Consent Statement
Data Availability Statement
Conflicts of Interest
References
- Lin, C.Y.; Chang, S.L.; Lin, Y.J.; Lo, L.W.; Chung, F.P.; Chen, Y.Y.; Chao, T.F.; Hu, Y.F.; Tuan, T.C.; Liao, J.N.; et al. Long-term outcome of multiform premature ventricular complexes in structurally normal heart. Int. J. Cardiol. 2015, 180, 80–85. [Google Scholar] [CrossRef] [PubMed]
- Ng, G.A. Treating patients with ventricular ectopic beats. Heart 2006, 92, 1707–1712. [Google Scholar] [CrossRef] [PubMed]
- Lee, G.K.; Klarich, K.W.; Grogan, M.; Cha, Y.M. Premature ventricular contraction-induced cardiomyopathy: A treatable condition. Circ. Arrhythmia Electrophysiol. 2012, 5, 229–236. [Google Scholar]
- Sarrazin, J.-F.; Labounty, T.; Kuhne, M.; Crawford, T.; Armstrong, W.F.; Desjardins, B.; Good, E.; Jongnarangsin, K.; Chugh, A.; Oral, H.; et al. Impact of radiofrequency ablation of frequent post-infarction premature ventricular complexes on left ventricular ejection fraction. Heart Rhythm 2009, 6, 1543–1549. [Google Scholar] [CrossRef] [PubMed]
- Marcus, G.M. Evaluation and Management of Premature Ventricular Complexes. Circulation 2020, 141, 1404–1418. [Google Scholar] [CrossRef]
- Szilágyi, J.; Sághy, L. Atrial Remodeling in Atrial Fibrillation. Comorbidities and Markers of Disease Progression Predict Catheter Ablation Outcome. Curr. Cardiol. Rev. 2021, 17, 217–229. [Google Scholar] [CrossRef]
- Van Gelder, I.C.; Rienstra, M.; Bunting, K.V.; Casado-Arroyo, R.; Caso, V.; Crijns, H.J.G.M.; De Potter, T.J.R.; Dwight, J.; Guasti, L.; Hanke, T.; et al. 2024 ESC Guidelines for the management of atrial fibrillation developed in collaboration with the European Association for Cardio-Thoracic Surgery (EACTS). Eur. Heart J. 2024, 45, 3314–3414. [Google Scholar] [CrossRef]
- Renoux, C.; Patenaude, V.; Suissa, S. Incidence, mortality, and sex differences of non-valvular atrial fibrillation: A population-based study. J. Am. Heart Assoc. 2014, 3, e001402. [Google Scholar] [CrossRef]
- Kim, Y.G.; Han, K.-D.; Choi, J.-I.; Choi, Y.Y.; Choi, H.Y.; Shim, J.; Kim, Y.-H. Premature ventricular contraction is associated with increased risk of atrial fibrillation: A nationwide population-based study. Sci. Rep. 2021, 11, 1601. [Google Scholar] [CrossRef]
- Durmaz, E.; Ikitimur, B.; Avci, B.K.; Atıcı, A.; Yurtseven, E.; Tokdil, H.; Ebren, C.; Polat, F.; Karaca, O.; Karadag, B.; et al. The clinical significance of premature atrial contractions: How frequent should they become predictive of new-onset atrial fibrillation. Ann. Noninvasive Electrocardiol. 2020, 25, e12718. [Google Scholar] [CrossRef]
- Lee, P.T.; Huang, M.H.; Huang, T.C.; Hsu, C.H.; Lin, S.H.; Liu, P.Y. High Burden of Premature Ventricular Complex Increases the Risk of New-Onset Atrial Fibrillation. J. Am. Heart Assoc. 2023, 12, e027674. [Google Scholar] [CrossRef]
- Lacharite-Roberge, A.S.; Hoffmayer, K.S. Premature Ventricular Contractions and Atrial Fibrillation: The Reunion of Distant Relatives? J. Am. Heart Assoc. 2023, 12, e029117. [Google Scholar] [CrossRef] [PubMed]
- Bocchese, M.; Mangrolia, H.; Basil, A.; Gangireddy, C.; Cronin, E.; Yesenosky, G.A.; Greenberg, R.M.; Cooper, J.M.; Whitman, I.R. Atrial fibrillation triggered by premature ventricular complexes: An under-recognized trigger. JACC Case Rep. 2020, 2, 2244–2248. [Google Scholar] [CrossRef] [PubMed]
- Tsuji, H.; Larson, M.G.; Venditti, F.J.; Manders, E.S.; Evans, J.C.; Feldman, C.L.; Levy, D. Impact of reduced heart rate variability on risk for cardiac events. The Framingham Heart Study. Circulation 1996, 94, 2850–2855. [Google Scholar] [CrossRef] [PubMed]
- Lombardi, F.; Malliani, A. Heart rate variability. Standards of measurement, physiological interpretation, and clinical use. Task Force of the European Society of Cardiology and the North American Society of Pacing and Electrophysiology. Eur. Heart J. 1996, 17, 354–381. [Google Scholar]
- Cai, C.; Wu, N.; Yang, G.; Yang, S.; Liu, W.; Chen, M.; Po, S.S. on behalf of the TREAT PVC investigators. Transcutaneous electrical vagus nerve stimulation to suppress premature ventricular complexes (TREAT PVC): Study protocol for a multi-center, double-blind, randomized controlled trial. Trials 2023, 24, 683. [Google Scholar] [CrossRef]
- Chen, P.S.; Chen, L.S.; Fishbein, M.C.; Lin, S.F.; Nattel, S. Role of the autonomic nervous system in atrial fibrillation: Pathophysiology and therapy. Circ. Res. 2014, 114, 1500–1515. [Google Scholar] [CrossRef]
- Roura, S.; Álvarez, G.; Solà, I.; Cerritelli, F. Do manual therapies have a specific autonomic effect? An overview of systematic reviews. PLoS ONE 2021, 16, e0260642. [Google Scholar] [CrossRef]
- Guo, Y.; Palmer, J.L.; Strasser, F.; Yusuf, S.W.; Bruera, E. Heart rate variability as a measure of autonomic dysfunction in men with advanced cancer. Eur. J. Cancer Care 2013, 22, 612–616. [Google Scholar] [CrossRef]
- De Souza Filho, L.F.M.; de Oliveira, J.C.M.; Ribeiro, M.K.A.; Moura, M.C.; Fernandes, N.D.; de Sousa, R.D.; Pedrino, G.R.; Rebelo, A.C.S. Evaluation of the autonomic nervous system by analysis of heart rate variability in the preterm infants. BMC Cardiovasc. Disord. 2019, 19, 198. [Google Scholar] [CrossRef]
- Damoun, N.; Amekran, Y.; Taiek, N.; El Hangouche, A.J. Heart rate variability measurement and influencing factors: Towards the standardization of methodology. Glob. Cardiol. Sci. Pract. 2024, 2024, e202435. [Google Scholar] [CrossRef] [PubMed]
- Shaffer, F.; Ginsberg, J.P. An Overview of Heart Rate Variability Metrics and Norms. Front. Public Health 2017, 5, 258. [Google Scholar] [CrossRef] [PubMed]
- Huikuri, H.V.; Stein, P.K. Heart rate variability in risk stratification of cardiac patients. Prog. Cardiovasc. Dis. 2013, 56, 153–159. [Google Scholar] [CrossRef]
- Ceren, I.; Durmuşoğlu, B.N.Ç.; Şener, Y.Z.; Habip, F.B.; Köroğlu, S.; Demir, N.; Ateş, Ö.; Büyüköner, E.E. Predictors and Clinical Impacts of Impaired Heart Rate Variability in Women with Breast Cancer. Medicina 2025, 61, 608. [Google Scholar] [CrossRef] [PubMed]
- Askin, L.; Cetin, M.; Turkmen, S. Ambulatory blood pressure results and heart rate variability in patients with premature ventricular contractions. Clin. Exp. Hypertens. 2018, 40, 251–256. [Google Scholar] [CrossRef]
- Dong, Y.; Li, X.; Zheng, W.; Man, Y.; Liu, J.; Yu, P.; Zhang, F.; Yang, B.; Cao, K. Prevalence and heart rate variability characteristics of premature ventricular contractions detected by 24-hour Holter among outpatients with palpitations in China: A cross-sectional study. BMJ Open 2022, 12, e059337. [Google Scholar] [CrossRef]
- Andresen, D.; Brüggemann, T. Heart rate variability preceding onset of atrial fibrillation. J. Cardiovasc. Electrophysiol. 1998, 9, S26–S29. [Google Scholar]
- Grégoire, J.M.; Gilon, C.; Marelli, F.; Godart, P.; Bersini, H.; Carlier, S. Autonomic Nervous System Activity before Atrial Fibrillation Onset as Assessed by Heart Rate Variability. Rev. Cardiovasc. Med. 2025, 26, 25364. [Google Scholar] [CrossRef]
- Jin, H.; Ding, L.; Li, B.; Zhang, J. Data Analysis of Heart Rate Variability and Arrhythmia in Patients with Paroxysmal Atrial Fibrillation. Discov. Med. 2024, 36, 1610–1615. [Google Scholar] [CrossRef]
- Sagnard, A.; Guenancia, C.; Mouhat, B.; Maza, M.; Fichot, M.; Moreau, D.; Garnier, F.; Lorgis, L.; Cottin, Y.; Zeller, M. Involvement of Autonomic Nervous System in New-Onset Atrial Fibrillation during Acute Myocardial Infarction. J. Clin. Med. 2020, 9, 1481. [Google Scholar] [CrossRef]
- Schotten, U.; Verheule, S.; Kirchhof, P.; Goette, A. Pathophysiological mechanisms of atrial fibrillation: A translational appraisal. Physiol. Rev. 2011, 91, 265–325. [Google Scholar] [CrossRef] [PubMed]
- Andrade, J.; Khairy, P.; Dobrev, D.; Nattel, S. The clinical profile and pathophysiology of atrial fibrillation: Relationships among clinical features, epidemiology, and mechanisms. Circ. Res. 2014, 114, 1453–1468. [Google Scholar] [CrossRef] [PubMed]
- Nedios, S.; Dinov, B.; Seewöster, T.; Lindemann, F.; Richter, S.; Arya, A.; Dagres, N.; Husser, D.; Bollmann, A.; Hindricks, G.; et al. Characteristics of left atrial remodeling in patients with atrial fibrillation and hypertrophic cardiomyopathy in comparison to patients without hypertrophy. Sci. Rep. 2021, 11, 12411. [Google Scholar] [CrossRef]
- Bizhanov, K.A.; Abzaliyev, K.B.; Baimbetov, A.K.; Sarsenbayeva, A.B.; Lyan, E. Atrial fibrillation: Epidemiology, pathophysiology, and clinical complications (literature review). J. Cardiovasc. Electrophysiol. 2023, 34, 153–165. [Google Scholar] [CrossRef]
- Kottkamp, H.; Bender, R.; Berg, J. Catheter ablation of atrial fibrillation: How to modify the substrate? J. Am. Coll. Cardiol. 2015, 65, 196–206. [Google Scholar] [CrossRef] [PubMed]
- Hanna-Rivero, N.; Tu, S.J.; Elliott, A.D.; Pitman, B.M.; Gallagher, C.; Lau, D.H.; Sanders, P.; Wong, C.X. Anemia and iron deficiency in patients with atrial fibrillation. BMC Cardiovasc. Disord. 2022, 22, 204. [Google Scholar] [CrossRef]
- Laukkanen, J.A.; Zaccardi, F.; Karppi, J.; Ronkainen, K.; Kurl, S. Reduced kidney function is a risk factor for atrial fibrillation. Nephrology 2016, 21, 717–720. [Google Scholar] [CrossRef]
- Benn, M. Atrial Fibrillation and Chronic Kidney Disease. Eur. Heart J. 2021, 42, 2824–2826. [Google Scholar] [CrossRef]
- Lyman, J.L. Blood urea nitrogen and creatinine. Emerg. Med. Clin. N. Am. 1986, 4, 223–233. [Google Scholar] [CrossRef]
- Savica, V.; Musolino, R.; Di Leo, R.; Santoro, D.; Vita, G.; Bellinghieri, G. Autonomic dysfunction in uremia. Am. J. Kidney Dis. 2001, 38, S118–S121. [Google Scholar] [CrossRef]
- Çelik, G.; Oc, B.; Kara, I.; Yılmaz, M.; Yuceaktas, A.; Apiliogullari, S. Comparison of nutritional parameters among adult and elderly hemodialysis patients. Int. J. Med. Sci. 2011, 8, 628–634. [Google Scholar] [CrossRef]






| AF Absent | AF Present | p Value | |
|---|---|---|---|
| n: 157 | n: 30 | ||
| Age, y | 58.0 [48.0; 66.0] | 68.0 [58.5; 79.0] | <0.001 |
| Male gender | 81 (51.6%) | 22 (73.3%) | 0.046 |
| Hypertension | 69 (43.9%) | 22 (73.3%) | 0.006 |
| Diabetes mellitus | 26 (16.6%) | 8 (26.7%) | 0.291 |
| Smoking | 27 (17.2%) | 8 (26.7%) | 0.336 |
| Coronary artery disease | 40 (25.5%) | 10 (33.3%) | 0.506 |
| Chronic obstructive pulmonary disease | 7 (4.46%) | 1 (3.33%) | 1.000 |
| Ejection fraction, % | 60.0 [55.0; 60.0] | 50.0 [40.0; 55.0] | <0.001 |
| LAAP, mm | 37.0 [32.0; 42.0] | 45.0 [40.2; 49.8] | <0.001 |
| LVEDD, mm | 48.0 [44.0; 52.0] | 49.5 [46.2; 57.0] | 0.049 |
| LVESD, mm | 31.0 [27.0; 38.0] | 33.5 [30.0; 42.8] | 0.142 |
| IVS | 10.0 [9.00; 11.0] | 11.0 [10.0; 13.0] | <0.001 |
| PW | 10.0 [9.00; 10.0] | 11.0 [10.0; 12.0] | <0.001 |
| Hb (g/dL) | 13.6 [12.3; 14.9] | 13.0 [11.8; 13.9] | 0.048 |
| TSH | 1.50 [1.00; 2.40] | 1.70 [0.62; 2.72] | 0.919 |
| Creatinine (mg/dL) | 0.80 [0.70; 0.90] | 0.95 [0.78; 1.20] | 0.005 |
| Urea (mg/dL) | 28.0 [19.0; 36.0] | 17.0 [12.2; 20.8] | <0.001 |
| Glucose (mg/dL) | 102 [93.0; 113] | 110 [95.2; 117] | 0.143 |
| Hemoglobin A1C | 5.80 [5.50; 6.40] | 5.95 [5.50; 6.10] | 0.816 |
| PVC, n | 8041 [min: 3900; max: 14,942] | 6306 [min: 2275; max: 16,394] | 0.259 |
| Cerebrovascular accident | 3 (1.91%) | 5 (16.7%) | 0.003 |
| Previous ablation | 2 (1.27%) | 5 (16.7%) | 0.001 |
| Mean heart rate | 71.0 [64.0; 77.0] | 70.5 [58.2; 79.8] | 0.684 |
| Min heart rate | 47.0 [44.0; 52.0] | 46.5 [41.2; 51.0] | 0.275 |
| Max heart rate | 119 [103; 132] | 119 [95.2; 139] | 0.837 |
| SDNN 24 h | 123 [103; 141] | 120 [99.5; 147] | 0.375 |
| SDANN index | 110 [91.0; 128] | 103 [83.8; 118] | 0.205 |
| SDNN index | 53.0 [42.0; 63.0] | 61.5 [46.2; 86.0] | 0.026 |
| RMSSD | 30.0 [23.0; 44.0] | 65.5 [28.8; 95.2] | 0.003 |
| PNN50 | 8.00 [3.00; 17.0] | 23.0 [6.75; 57.8] | 0.002 |
| TP | 2385 [1557; 3631] | 3496 [2058; 5779] | 0.020 |
| LF | 744 [383; 1150] | 1385 [458; 2652] | 0.010 |
| HF | 5352 [3344; 8446] | 6947 [5675; 9153] | 0.114 |
Disclaimer/Publisher’s Note: The statements, opinions and data contained in all publications are solely those of the individual author(s) and contributor(s) and not of MDPI and/or the editor(s). MDPI and/or the editor(s) disclaim responsibility for any injury to people or property resulting from any ideas, methods, instructions or products referred to in the content. |
© 2026 by the authors. Published by MDPI on behalf of the Lithuanian University of Health Sciences. Licensee MDPI, Basel, Switzerland. This article is an open access article distributed under the terms and conditions of the Creative Commons Attribution (CC BY) license.
Share and Cite
Kalenderoglu, K.; Hayiroglu, M.I.; Cinar, T.; Saylik, F.; Ayan Bayraktar, G.; Oz, M.; Ozer Oz, M.; Gurkan, K.; Aksu, T. Heart Rate Variability Nomogram Predicts Atrial Fibrillation in Patients with Moderate to High Burden of Premature Ventricular Complexes. Medicina 2026, 62, 243. https://doi.org/10.3390/medicina62020243
Kalenderoglu K, Hayiroglu MI, Cinar T, Saylik F, Ayan Bayraktar G, Oz M, Ozer Oz M, Gurkan K, Aksu T. Heart Rate Variability Nomogram Predicts Atrial Fibrillation in Patients with Moderate to High Burden of Premature Ventricular Complexes. Medicina. 2026; 62(2):243. https://doi.org/10.3390/medicina62020243
Chicago/Turabian StyleKalenderoglu, Koray, Mert Ilker Hayiroglu, Tufan Cinar, Faysal Saylik, Gokcem Ayan Bayraktar, Melih Oz, Miray Ozer Oz, Kadir Gurkan, and Tolga Aksu. 2026. "Heart Rate Variability Nomogram Predicts Atrial Fibrillation in Patients with Moderate to High Burden of Premature Ventricular Complexes" Medicina 62, no. 2: 243. https://doi.org/10.3390/medicina62020243
APA StyleKalenderoglu, K., Hayiroglu, M. I., Cinar, T., Saylik, F., Ayan Bayraktar, G., Oz, M., Ozer Oz, M., Gurkan, K., & Aksu, T. (2026). Heart Rate Variability Nomogram Predicts Atrial Fibrillation in Patients with Moderate to High Burden of Premature Ventricular Complexes. Medicina, 62(2), 243. https://doi.org/10.3390/medicina62020243

