The Beneficial Effects of Alpha-Blockers, Antimuscarinics, Beta 3-Agonist, and PDE5-Inhibitors for Ureteral Stent-Related Discomfort: A Systematic Review and Meta-Analysis from KSER Update Series
Abstract
1. Introduction
2. Materials and Methods
2.1. Inclusion Criteria
2.2. Search Strategy
2.3. Data Extraction
2.4. Quality Assessment for Studies
2.5. Heterogeneity Tests
2.6. Statistical Analysis
3. Results
3.1. Eligible Studies
3.2. Characteristics of the Included Studies
3.3. Quality Assessment and Publication Bias
3.4. Heterogeneity and Inconsistency Assessment
3.5. Pairwise Meta-Analysis of Each Medication Compared with Placebo
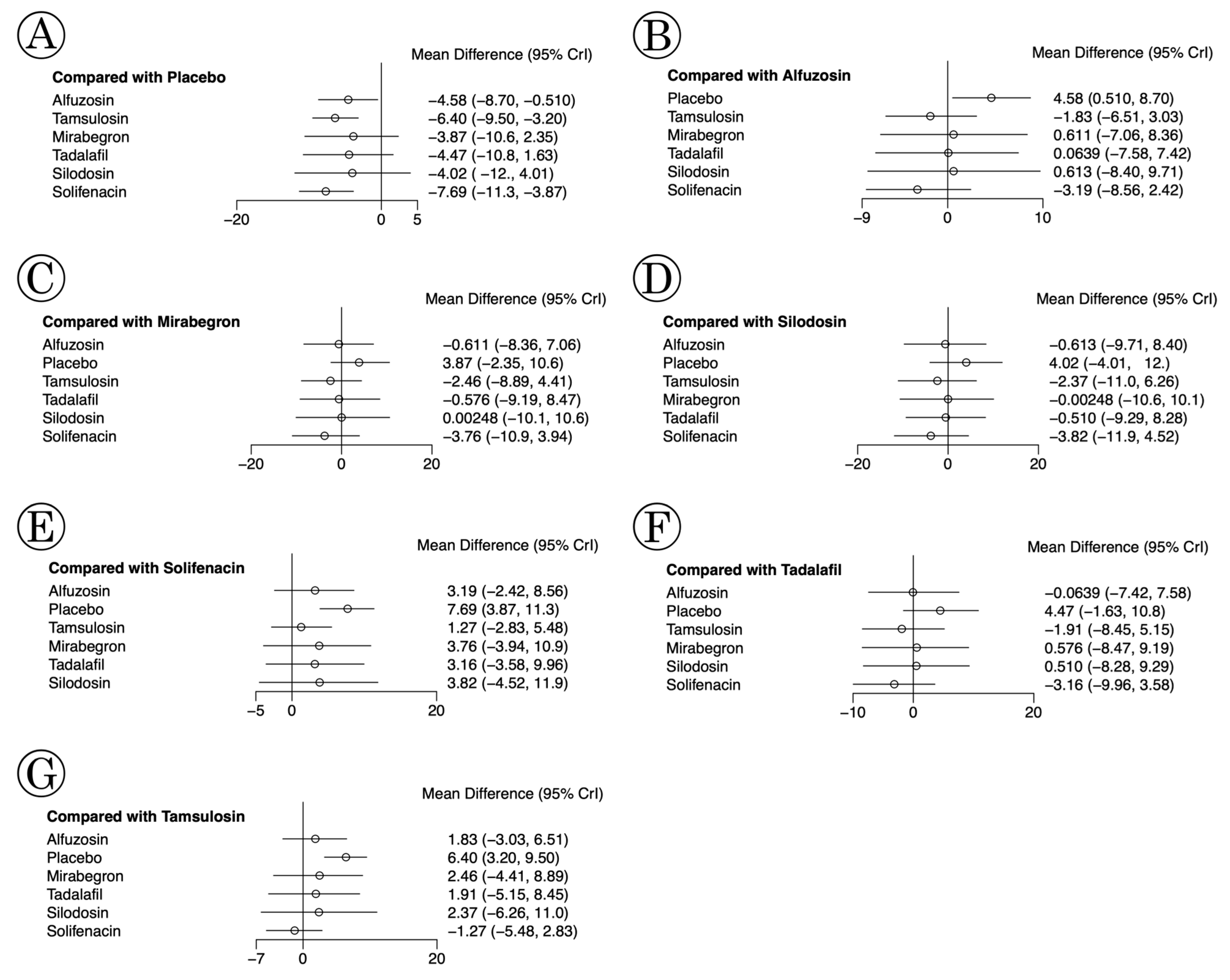
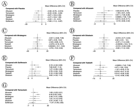
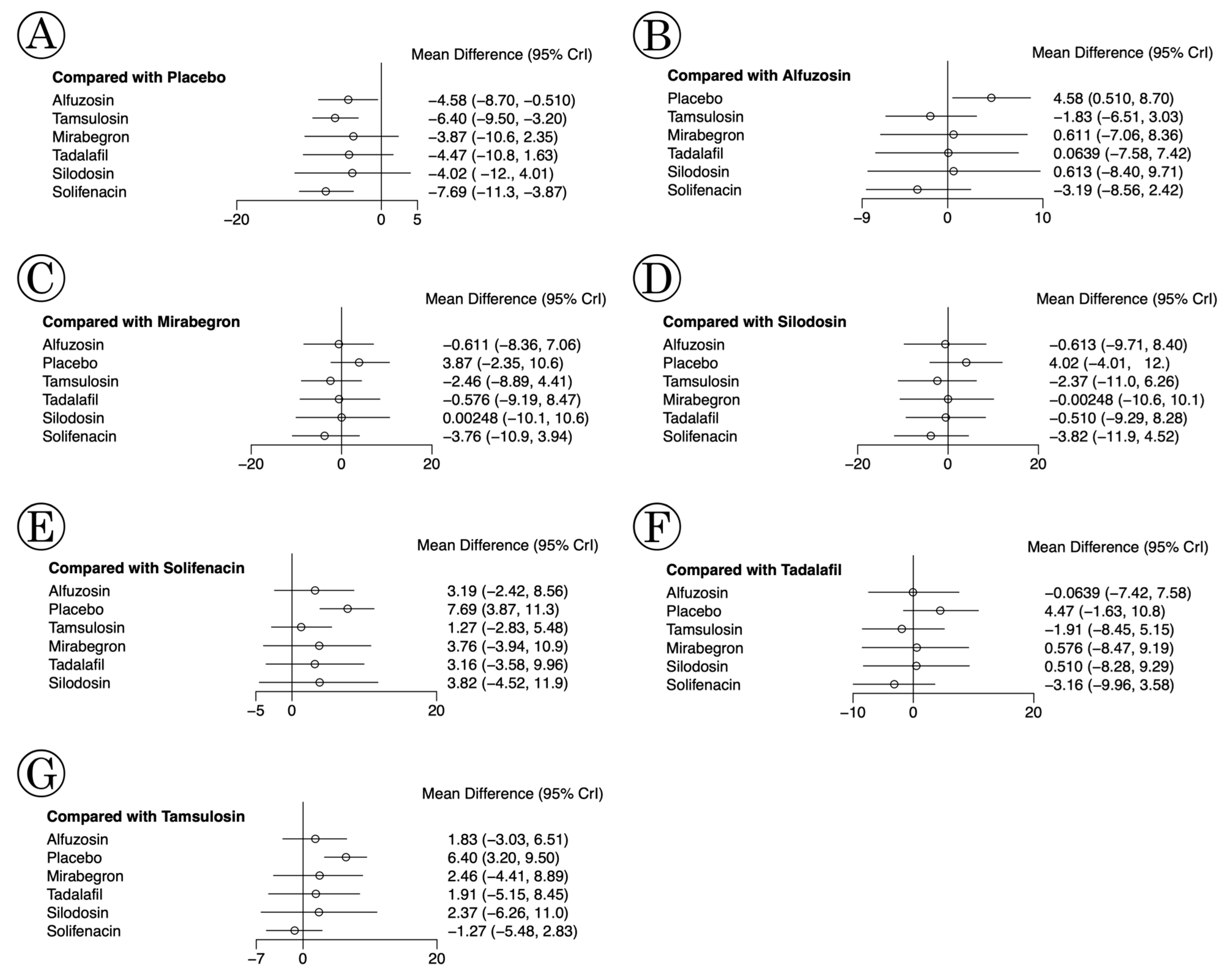
3.6. Network Meta-Analysis of Each Medication for USS
4. Discussion
5. Conclusions
Supplementary Materials
Author Contributions
Funding
Institutional Review Board Statement
Informed Consent Statement
Data Availability Statement
Acknowledgments
Conflicts of Interest
References
- Chew, B.H.; Lange, D. Advances in ureteral stent development. Curr. Opin. Urol. 2016, 26, 277–282. [Google Scholar] [CrossRef]
- Tsaturyan, A.; Keller, E.X.; Sener, T.E.; Kocharyan, L.; Fanarjyan, S.; Peteinaris, A.; Ventimiglia, E.; Esperto, F.; Tailly, T.; De Coninck, V.; et al. Does coiling of the proximal end of the ureteral stent affect stent-related symptoms? World J. Urol. 2024, 43, 17. [Google Scholar] [CrossRef] [PubMed]
- Joshi, H.B.; Stainthorpe, A.; MacDonagh, R.P.; Keeley, F.X., Jr.; Timoney, A.G.; Barry, M.J. Indwelling ureteral stents: Evaluation of symptoms, quality of life and utility. J. Urol. 2003, 169, 1065–1069. [Google Scholar] [CrossRef]
- Zimskind, P.D.; Fetter, T.R.; Wilkerson, J.L. Clinical use of long-term indwelling silicone rubber ureteral splints inserted cystoscopically. J. Urol. 1967, 97, 840–844. [Google Scholar] [CrossRef]
- Fischer, K.M.; Louie, M.; Mucksavage, P. Ureteral Stent Discomfort and Its Management. Curr. Urol. Rep. 2018, 19, 64. [Google Scholar] [CrossRef]
- Assimos, D.; Krambeck, A.; Miller, N.L.; Monga, M.; Murad, M.H.; Nelson, C.P.; Pace, K.T.; Pais, V.M., Jr.; Pearle, M.S.; Preminger, G.M.; et al. Surgical Management of Stones: American Urological Association/Endourological Society Guideline, PART II. J. Urol. 2016, 196, 1161–1169. [Google Scholar] [CrossRef] [PubMed]
- Türk, C.; Petřík, A.; Sarica, K.; Seitz, C.; Skolarikos, A.; Straub, M.; Knoll, T. EAU Guidelines on Interventional Treatment for Urolithiasis. Eur. Urol. 2016, 69, 475–482. [Google Scholar] [CrossRef] [PubMed]
- Dellis, A.; Joshi, H.B.; Timoney, A.G.; Keeley, F.X., Jr. Relief of stent related symptoms: Review of engineering and pharmacological solutions. J. Urol. 2010, 184, 1267–1272. [Google Scholar] [CrossRef]
- Cinar, O.; Tanidir, Y.; Ozer, S.; Cizmeci, S.; Erbatu, O.; Ozdemir, T.; Girgin, R.; Ongun, S.; Ucer, O.; Kizilay, F.; et al. Effects of mirabegron on JJ stent-related symptoms: A multicentric study. Int. J. Clin. Pract. 2021, 75, e13857. [Google Scholar] [CrossRef] [PubMed]
- Farshi Haghro, A.; Hajebrahimi, S.; Jabbari, A.; Sadeghi, H.; Babaei, H. Efficacy of tadalafil on ureteral stent symptoms: A randomized controlled trial. Nephro-Urol. Mon. 2019, 11, e85523. [Google Scholar] [CrossRef]
- Higgins, J.P.; Thompson, S.G.; Deeks, J.J.; Altman, D.G. Measuring inconsistency in meta-analyses. BMJ 2003, 327, 557–560. [Google Scholar] [CrossRef] [PubMed]
- Fleiss, J.L. Analysis of data from multiclinic trials. Control. Clin. Trials 1986, 7, 267–275. [Google Scholar] [CrossRef] [PubMed]
- Galbraith, R.F. A note on graphical presentation of estimated odds ratios from several clinical trials. Stat. Med. 1988, 7, 889–894. [Google Scholar] [CrossRef]
- Xie, L.M.; Yin, X.; Xie, T.A.; Su, J.W.; Huang, Q.; Zhang, J.H.; Huang, Y.F.; Guo, X.G. Meta-Analysis of the Diagnostic Efficacy of the Luminex xTAG Respiratory Viral Panel FAST v2 Assay for Respiratory Viral Infections. Yonsei Med. J. 2022, 63, 95–103. [Google Scholar] [CrossRef]
- Kim, J.H.; Ahn, C.; Namgung, M. Epidemiology and Outcome of Out-of-Hospital Cardiac Arrests During the COVID-19 Pandemic in South Korea: A Systematic Review and Meta-Analyses. Yonsei Med. J. 2022, 63, 1121–1129. [Google Scholar] [CrossRef] [PubMed]
- Yavuz, A.; Kilinc, M.F.; Aydin, M.; Ofluoglu, Y.; Bayar, G. Does tamsulosin or mirabegron improve ureteral stent-related symptoms? A prospective placebo-controlled study. Low. Urin. Tract Symptoms 2021, 13, 17–21. [Google Scholar] [CrossRef] [PubMed]
- Tae, B.S.; Cho, S.; Jeon, B.J.; Choi, H.; Park, J.Y.; Cho, S.Y.; Lee, K.C.; Bae, J.H. Does mirabegron relieve ureteric stent-related discomfort? A prospective, randomized, multicentre study. BJU Int. 2018, 122, 866–872. [Google Scholar] [CrossRef] [PubMed]
- Bhattar, R.; Tomar, V.; Yadav, S.S.; Dhakad, D.S. Comparison of safety and efficacy of silodosin, solifenacin, tadalafil and their combinations in the treatment of double-J stent-related lower urinary system symptoms: A prospective randomized trial. Turk. J. Urol. 2018, 44, 228–238. [Google Scholar] [CrossRef]
- Ragab, M.; Soliman, M.G.; Tawfik, A.; Abdel Raheem, A.; El-Tatawy, H.; Abo Farha, M.; Magdy, M.; Elashry, O. The role of pregabalin in relieving ureteral stent-related symptoms: A randomized controlled clinical trial. Int. Urol. Nephrol. 2017, 49, 961–966. [Google Scholar] [CrossRef] [PubMed]
- El-Nahas, A.R.; Tharwat, M.; Elsaadany, M.; Mosbah, A.; Gaballah, M.A. A randomized controlled trial comparing alpha blocker (tamsulosin) and anticholinergic (solifenacin) in treatment of ureteral stent-related symptoms. World J. Urol. 2016, 34, 963–968. [Google Scholar] [CrossRef] [PubMed]
- Abdelaal, A.M.; Al-Adl, A.M.; Abdelbaki, S.A.; Al Azab, M.M.; Al Gamal, K.A. Efficacy and safety of tamsulosin oral-controlled absorption system, solifenacin, and combined therapy for the management of ureteric stent-related symptoms. Arab. J. Urol. 2016, 14, 115–122. [Google Scholar] [CrossRef] [PubMed]
- Park, J.; Yoo, C.; Han, D.H.; Shin, D.W. A critical assessment of the effects of tamsulosin and solifenacin as monotherapies and as a combination therapy for the treatment of ureteral stent-related symptoms: A 2 × 2 factorial randomized trial. World J. Urol. 2015, 33, 1833–1840. [Google Scholar] [CrossRef]
- Singh, I.; Tripathy, S.; Agrawal, V. Efficacy of tamsulosin hydrochloride in relieving “double-J ureteral stent-related morbidity”: A randomized placebo controlled clinical study. Int. Urol. Nephrol. 2014, 46, 2279–2283. [Google Scholar] [CrossRef] [PubMed]
- Dellis, A.E.; Keeley, F.X., Jr.; Manolas, V.; Skolarikos, A.A. Role of α-blockers in the treatment of stent-related symptoms: A prospective randomized control study. Urology 2014, 83, 56–61. [Google Scholar] [CrossRef] [PubMed]
- Nazim, S.M.; Ather, M.H. Alpha-blockers impact stent-related symptoms: A randomized, double-blind, placebo-controlled trial. J. Endourol. 2012, 26, 1237–1241. [Google Scholar] [CrossRef]
- Park, S.C.; Jung, S.W.; Lee, J.W.; Rim, J.S. The effects of tolterodine extended release and alfuzosin for the treatment of double-j stent-related symptoms. J. Endourol. 2009, 23, 1913–1917. [Google Scholar] [CrossRef]
- Wang, C.J.; Huang, S.W.; Chang, C.H. Effects of tamsulosin on lower urinary tract symptoms due to double-J stent: A prospective study. Urol. Int. 2009, 83, 66–69. [Google Scholar] [CrossRef]
- Beddingfield, R.; Pedro, R.N.; Hinck, B.; Kreidberg, C.; Feia, K.; Monga, M. Alfuzosin to relieve ureteral stent discomfort: A prospective, randomized, placebo controlled study. J. Urol. 2009, 181, 170–176. [Google Scholar] [CrossRef]
- Damiano, R.; Autorino, R.; De Sio, M.; Giacobbe, A.; Palumbo, I.M.; D’Armiento, M. Effect of tamsulosin in preventing ureteral stent-related morbidity: A prospective study. J. Endourol. 2008, 22, 651–656. [Google Scholar] [CrossRef] [PubMed]
- Deliveliotis, C.; Chrisofos, M.; Gougousis, E.; Papatsoris, A.; Dellis, A.; Varkarakis, I.M. Is there a role for alpha1-blockers in treating double-J stent-related symptoms? Urology 2006, 67, 35–39. [Google Scholar] [CrossRef] [PubMed]
- Kwon, J.K.; Cho, K.S.; Oh, C.K.; Kang, D.H.; Lee, H.; Ham, W.S.; Choi, Y.D.; Lee, J.Y. The beneficial effect of alpha-blockers for ureteral stent-related discomfort: Systematic review and network meta-analysis for alfuzosin versus tamsulosin versus placebo. BMC Urol. 2015, 15, 55. [Google Scholar] [CrossRef] [PubMed]
- Gao, Y.; Liang, H.; Liu, L.; Gurioli, A.; Wu, W. Comparison of Alpha-Blockers and Antimuscarinics in Improving Ureteral Stent-Related Symptoms: A Meta-Analysis. Urol. J. 2019, 16, 307–311. [Google Scholar] [CrossRef]
- Tadros, N.N.; Bland, L.; Legg, E.; Olyaei, A.; Conlin, M.J. A single dose of a non-steroidal anti-inflammatory drug (NSAID) prevents severe pain after ureteric stent removal: A prospective, randomised, double-blind, placebo-controlled trial. BJU Int. 2013, 111, 101–105. [Google Scholar] [CrossRef] [PubMed]
- Papatsoris, A.; Dellis, A.; Daglas, G.; Sanguedolce, F. Management of JJ stent-related symptoms. Acta Chir. Iugosl. 2014, 61, 73–74. [Google Scholar] [CrossRef] [PubMed]
- Lingeman, J.E.; Preminger, G.M.; Goldfischer, E.R.; Krambeck, A.E. Assessing the impact of ureteral stent design on patient comfort. J. Urol. 2009, 181, 2581–2587. [Google Scholar] [CrossRef] [PubMed]
- Lennon, G.M.; Thornhill, J.A.; Sweeney, P.A.; Grainger, R.; McDermott, T.E.; Butler, M.R. ’Firm’ versus ’soft’ double pigtail ureteric stents: A randomised blind comparative trial. Eur. Urol. 1995, 28, 1–5. [Google Scholar] [CrossRef] [PubMed]
- Joshi, H.B.; Chitale, S.V.; Nagarajan, M.; Irving, S.O.; Browning, A.J.; Biyani, C.S.; Burgess, N.A. A prospective randomized single-blind comparison of ureteral stents composed of firm and soft polymer. J. Urol. 2005, 174, 2303–2306. [Google Scholar] [CrossRef] [PubMed]
- Erturk, E.; Sessions, A.; Joseph, J.V. Impact of ureteral stent diameter on symptoms and tolerability. J. Endourol. 2003, 17, 59–62. [Google Scholar] [CrossRef]
- Ho, C.H.; Chen, S.C.; Chung, S.D.; Lee, Y.J.; Chen, J.; Yu, H.J.; Huang, K.H. Determining the appropriate length of a double-pigtail ureteral stent by both stent configurations and related symptoms. J. Endourol. 2008, 22, 1427–1431. [Google Scholar] [CrossRef]
- Sutton, A.J.; Duval, S.J.; Tweedie, R.L.; Abrams, K.R.; Jones, D.R. Empirical assessment of effect of publication bias on meta-analyses. BMJ 2000, 320, 1574–1577. [Google Scholar] [CrossRef] [PubMed]
- Page, M.J.; McKenzie, J.E.; Bossuyt, P.M.; Boutron, I.; Hoffmann, T.C.; Mulrow, C.D.; Shamseer, L.; Tetzlaff, J.M.; Akl, E.A.; Brennan, S.E.; et al. The PRISMA 2020 statement: An updated guideline for reporting systematic reviews. BMJ 2021, 372, n71. [Google Scholar] [CrossRef] [PubMed]









| Author (Year) | Country | Study Design | Medication | No. Patients | USS Mean | USS SD | Quality Assessment (SIGN) a |
|---|---|---|---|---|---|---|---|
| Yavuz et al., 2021 [16] | Turkey | RCT | Mirabegron 50 mg | 50 | 24.5 | 6.9 | 1+ |
| Tamsulosin 0.4 mg | 55 | 22.1 | 8.8 | ||||
| Control | 56 | 27.8 | 7.3 | ||||
| Haghro et al., 2019 [10] | Iran | RCT | Tadalafil | 37 | 26.59 | 5.35 | 1+ |
| Control | 35 | 30.94 | 5 | ||||
| Tae et al., 2018 [17] | South Korea | RCT | Mirabegron 50 mg | 48 | 27.92 | 7.72 | 2+ |
| Control | 48 | 32.58 | 6.67 | ||||
| Bhattar et al., 2018 [18] | India | RCT | Silodosin | 43 | 40.3 | 6.151 | 1+ |
| Solifenacin 5 mg | 43 | 39.84 | 6.384 | ||||
| Tadalafil | 42 | 39.76 | 6.404 | ||||
| Control | 42 | 41.26 | 5.539 | ||||
| Ragab et al., 2017 [19] | Egypt | RCT | Solifenacin 5 mg | 121 | 22.30 | 6.1 | 1+ |
| Control | 122 | 30.00 | 4.3 | ||||
| EL-Nahas et al., 2016 [20] | Egypt | RCT | Tamsulosin 0.4 mg | 44 | 29.6 | 3.7 | 1+ |
| Solifenacin 5 mg | 43 | 22.8 | 3.7 | ||||
| Control | 44 | 31.7 | 5.4 | ||||
| Abdelaal et al., 2016 [21] | Egypt | RCT | Tamsulosin 0.4 mg | 59 | 22.9 | 2.4 | 1+ |
| Solifenacin 5 mg | 58 | 22 | 2.8 | ||||
| Control | 56 | 37.1 | 3.1 | ||||
| Park et al., 2015 [22] | South Korea | RCT | Tamsulosin 0.4 mg | 20 | 31.8 | 8.1 | 2+ |
| Solifenacin 5 mg | 20 | 28.9 | 5.7 | ||||
| Control | 23 | 29.3 | 7.5 | ||||
| Singh et al., 2014 [23] | India | RCT | Tamsulosin 0.4 mg | 30 | 16.43 | 5.8 | 1− |
| Control | 30 | 21.7 | 4.78 | ||||
| Dellis et al., 2014 [24] | Greece | RCT | Tamsulosin 0.4 mg | 50 | 14.9 | 6.425 | 2+ |
| Alfuzosin 10 mg | 50 | 15.44 | 5.63 | ||||
| Control | 50 | 19.26 | 6.425 | ||||
| Nazim et al., 2012 [25] | Pakistan | RCT | Alfuzosin 10 mg | 65 | 19.26 | 5.9061087 | 1− |
| Control | 65 | 22.75 | 5.9061087 | ||||
| Park et al., 2009 [26] | South Korea | RCT | Alfuzosin 10 mg | 20 | 22.1 | 5 | 1− |
| Control | 12 | 28.1 | 7.3 | ||||
| Wang et al., 2009 [27] | Taiwan | RCT | Tamsulosin 0.4 mg | 79 | 21 | 3.4 | 2+ |
| Control | 75 | 31.6 | 4.7 | ||||
| Beddingfield et al., 2009 [28] | USA | RCT | Alfuzosin 10 mg | 26 | 21 | 6.7 | 2+ |
| Control | 29 | 23 | 6.2 | ||||
| Damiano et al., 2008 [29] | Italy | RCT | Tamsulosin 0.4 mg | 38 | 14.1 | 6.2 | 1+ |
| Control | 37 | 26.4 | 6.2 | ||||
| Deliveliotis et al., 2006 [30] | Greece | RCT | Alfuzosin 10 mg | 50 | 21.6 | 7.3 | 2+ |
| Control | 50 | 28.1 | 7.7 |
Disclaimer/Publisher’s Note: The statements, opinions and data contained in all publications are solely those of the individual author(s) and contributor(s) and not of MDPI and/or the editor(s). MDPI and/or the editor(s) disclaim responsibility for any injury to people or property resulting from any ideas, methods, instructions or products referred to in the content. |
© 2025 by the authors. Published by MDPI on behalf of the Lithuanian University of Health Sciences. Licensee MDPI, Basel, Switzerland. This article is an open access article distributed under the terms and conditions of the Creative Commons Attribution (CC BY) license (https://creativecommons.org/licenses/by/4.0/).
Share and Cite
Moon, Y.J.; Chung, D.Y.; Kim, D.K.; Jung, H.D.; Jeon, S.H.; Kang, S.H.; Paick, S.; Lee, J.Y., on behalf of the Korean Society of Endourology and Robotics (KSER) Research Committee. The Beneficial Effects of Alpha-Blockers, Antimuscarinics, Beta 3-Agonist, and PDE5-Inhibitors for Ureteral Stent-Related Discomfort: A Systematic Review and Meta-Analysis from KSER Update Series. Medicina 2025, 61, 232. https://doi.org/10.3390/medicina61020232
Moon YJ, Chung DY, Kim DK, Jung HD, Jeon SH, Kang SH, Paick S, Lee JY on behalf of the Korean Society of Endourology and Robotics (KSER) Research Committee. The Beneficial Effects of Alpha-Blockers, Antimuscarinics, Beta 3-Agonist, and PDE5-Inhibitors for Ureteral Stent-Related Discomfort: A Systematic Review and Meta-Analysis from KSER Update Series. Medicina. 2025; 61(2):232. https://doi.org/10.3390/medicina61020232
Chicago/Turabian StyleMoon, Young Joon, Doo Yong Chung, Do Kyung Kim, Hae Do Jung, Seung Hyun Jeon, Seok Ho Kang, Sunghyun Paick, and Joo Yong Lee on behalf of the Korean Society of Endourology and Robotics (KSER) Research Committee. 2025. "The Beneficial Effects of Alpha-Blockers, Antimuscarinics, Beta 3-Agonist, and PDE5-Inhibitors for Ureteral Stent-Related Discomfort: A Systematic Review and Meta-Analysis from KSER Update Series" Medicina 61, no. 2: 232. https://doi.org/10.3390/medicina61020232
APA StyleMoon, Y. J., Chung, D. Y., Kim, D. K., Jung, H. D., Jeon, S. H., Kang, S. H., Paick, S., & Lee, J. Y., on behalf of the Korean Society of Endourology and Robotics (KSER) Research Committee. (2025). The Beneficial Effects of Alpha-Blockers, Antimuscarinics, Beta 3-Agonist, and PDE5-Inhibitors for Ureteral Stent-Related Discomfort: A Systematic Review and Meta-Analysis from KSER Update Series. Medicina, 61(2), 232. https://doi.org/10.3390/medicina61020232

