Impact of Hemoglobin Levels During Definite Chemoradiotherapy of Patients with Locally Advanced Head and Neck Squamous Cell Carcinoma on Survival
Abstract
1. Introduction
2. Materials and Methods
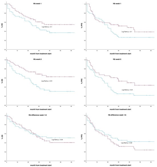
3. Results
4. Discussion
5. Conclusions
Author Contributions
Funding
Institutional Review Board Statement
Informed Consent Statement
Data Availability Statement
Conflicts of Interest
Abbreviations
| AJCC | American Joint Committee on Cancer |
| BMI | Body Mass Index |
| CI | Confidence Interval |
| CTCAE | Common Terminology Criteria for Adverse Events |
| EBRT | External Beam Radiotherapy |
| Gy | Gray |
| Hb | Hemoglobin |
| HNSCC | Head and Neck Squamous Cell Carcinoma |
| IMRT | Intensity-Modulated Radiotherapy |
| OS | Overall Survival |
| PFS | Progression-Free Survival |
| RCT | Radiochemotherapy (combined radiotherapy and chemotherapy) |
| RTOG | Radiation Therapy Oncology Group |
| SD | Standard Deviation |
| SPSS | Statistical Package for the Social Sciences |
| TNM | Tumor, Node, Metastasis classification |
| WHO | World Health Organization |
References
- Petit, C.; Lacas, B.; Pignon, J.; Le, Q.T.; Grégoire, V.; Grau, C.; Hackshaw, A.; Zackrisson, B.; Parmar, M.K.B.; Lee, J.; et al. Chemotherapy and radiotherapy in locally advanced head and neck cancer: An individual patient data network meta-analysis. Lancet Oncol. 2021, 22, 727. [Google Scholar] [CrossRef]
- Wendt, T.G.; Grabenbauer, G.G.; Rödel, C.M.; Thiel, H.; Aydin, H.; Rohloff, R.; Wustrow, T.P.U.; Ira, H.; Popella, C.; Schalhorn, A. Simultaneous radiochemotherapy versus radiotherapy alone in advanced head and neck cancer: A randomized multicenter study. J. Clin. Oncol. 1998, 16, 1318–1324. [Google Scholar] [CrossRef]
- Stadler, P.; Becker, A.; Feldmann, H.J.; Hänsgen, G.; Dunst, J.; Würschmidt, F.; Molls, M. Influence of the hypoxic subvolume on the survival of patients with head and neck cancer. Int. J. Radiat. Oncol. Biol. Phys. 1999, 44, 749–754. [Google Scholar] [CrossRef] [PubMed]
- Overgaard, J.; Hansen, H.S.; Overgaard, M.; Bastholt, L.; Berthelsen, A.; Specht, L.; Lindeløv, B.; Jørgensen, K. A randomized double-blind phase III study of nimorazole as a hypoxic radiosensitizer of primary radiotherapy in supraglottic larynx and pharynx carcinoma. Results of the Danish Head and Neck Cancer Study (DAHANCA) Protocol 5-85. Radiother. Oncol. 1998, 46, 135–146. [Google Scholar] [CrossRef]
- Bush, R.S. The significance of anemia in clinical radiation therapy. Int. J. Radiat. Oncol. Biol. Phys. 1986, 12, 2047–2050. [Google Scholar] [CrossRef]
- Baumeister, P.; Canis, M.; Reiter, M. Preoperative anemia and perioperative blood transfusion in head and neck squamous cell carcinoma. PLoS ONE 2018, 13, e0205712. [Google Scholar] [CrossRef]
- Zhang, X.; Huang, J.; Tang, M.; Zhang, Q.; Deng, L.; Song, C.; Li, W.; Yang, M.; Shi, H.; Cong, M. A comprehensive analysis of the association between anemia and systemic inflammation in older patients with cancer. Support Care Cancer 2023, 32, 39. [Google Scholar] [CrossRef]
- Hamai, Y.; Hihara, J.; Taomoto, J.; Yamakita, I.; Ibuki, Y.; Okada, M. Hemoglobin Level Influences Tumor Response and Survival After Neoadjuvant Chemoradiotherapy for Esophageal Squamous Cell Carcinoma. World J. Surg. 2014, 38, 2046. [Google Scholar] [CrossRef]
- Göllnitz, I.; Inhestern, J.; Wendt, T.G.; Buentzel, J.; Esser, D.; Böger, D.; Mueller, A.H.; Piesold, J.; Schultze-Mosgau, S.; Eigendorff, E.; et al. Role of comorbidity on outcome of head and neck cancer: A population-based study in Thuringia, Germany. Cancer Med. 2016, 5, 3260. [Google Scholar] [CrossRef]
- Schäfer, U.; Micke, O.; Müller, S.B.; Schüller, P.; Willich, N. Hemoglobin as an Independent Prognostic Factor in the Radiotherapy of Head and Neck Tumors. Strahlenther. Onkol. 2003, 179, 527. [Google Scholar] [CrossRef]
- Chino, J.; Annunziata, C.M.; Beriwal, S.; Bradfield, L.; Erickson, B.A.; Fields, E.C.; Fitch, K.; Harkenrider, M.M.; Holschneider, C.H.; Kamrava, M.; et al. Radiation Therapy for Cervical Cancer: Executive Summary of an ASTRO Clinical Practice Guideline. Pract. Radiat. Oncol. 2020, 10, 220–234. [Google Scholar] [CrossRef]
- Melo-Alvim, C.; Miguel-Semedo, P.; Paiva, R.S.; Lobo-Martins, S.; Luna-Pais, H.; Costa, A.L.; Santos, A.R.; Florindo, A.; Vasconcelos, A.L.; Abrunhosa-Branquinho, A.N.; et al. Pretreatment hemoglobin level as a prognostic factor in patients with locally advanced head and neck squamous cell carcinoma. Rep. Pract. Oncol. Radiother. 2020, 25, 768. [Google Scholar] [CrossRef] [PubMed]
- Kruser, T.J.; Rice, S.R.; Cleary, K.P.; Geye, H.M.; Tome, W.A.; Harari, P.M.; Kozak, K.R. Acute Hematologic and Mucosal Toxicities in Head and Neck Cancer Patients Undergoing Chemoradiotherapy: A Comparison of 3D-CRT, IMRT, and Helical Tomotherapy. Technol. Cancer Res. Treat. 2013, 12, 383. [Google Scholar] [CrossRef] [PubMed]
- Dhanapal, R.; Saraswathi, T.; Govind, R.N. Cancer cachexia. J. Oral Maxillofac. Pathol. 2011, 15, 257–260. [Google Scholar] [CrossRef]
- Eisbruch, A.; Harris, J.; Garden, A.S.; Chao, C.K.S.; Straube, W.; Harari, P.M.; Sanguineti, G.; Jones, C.U.; Bosch, W.R.; Ang, K.K. Multi-Institutional Trial of Accelerated Hypofractionated Intensity-Modulated Radiation Therapy for Early-Stage Oropharyngeal Cancer (RTOG 00-22). Int. J. Radiat. Oncol. Biol. Phys. 2010, 76, 1333. [Google Scholar] [CrossRef]
- Wichmann, J.; Durisin, M.; Hermann, R.M.; Merten, R.; Christiansen, H. Moderately Hypofractionated Intensity-modulated Radiotherapy With a Simultaneous Integrated Boost for Locally Advanced Head and Neck Cancer—Do Modern Techniques Fulfil Their Promise? In Vivo 2021, 35, 2801. [Google Scholar] [CrossRef]
- American Joint Committee on Cancer; Edge, S.B. AJCC Cancer Staging Manual, 7th ed.; Springer: New York, NY, USA, 2010; p. 648. [Google Scholar]
- Lammering, G.; Carl, U.M.; Pape, H.; Hartmann, K.A. Changes in hemoglobin concentrations in combined radio- and chemotherapy in locally advanced ORL tumors. Strahlenther. Onkol. 1999, 175, 559–562. [Google Scholar] [CrossRef]
- Strojan, P.; Vermorken, J.B.; Beitler, J.J.; Saba, N.F.; Haigentz, M.; Bossi, P.; Worden, F.P.; Langendijk, J.A.; Eisbruch, A.; Mendenhall, W.M.; et al. Cumulative cisplatin dose in concurrent chemoradiotherapy for head and neck cancer: A systematic review. Head Neck 2015, 38, E2151–E2158. [Google Scholar] [CrossRef]
- Knight, K.; Wade, S.; Balducci, L. Prevalence and outcomes of anemia in cancer: A systematic review of the literature. Am. J. Med. 2004, 116, 11. [Google Scholar] [CrossRef]
- Birgegård, G.; Aapro, M.S.; Bokemeyer, C.; Dicato, M.; Drings, P.; Hornedo, J.; Krzakowski, M.; Ludwig, H.; Pecorelli, S.; Schmoll, H.; et al. Cancer-Related Anemia: Pathogenesis, Prevalence and Treatment. Oncology 2005, 68, 3. [Google Scholar] [CrossRef]
- Maccio, A.; Madeddu, C.; Gramignano, G.; Mulas, C.; Tanca, L.; Cherchi, M.C.; Floris, C.; Omoto, I.; Barracca, A.; Ganz, T. The role of inflammation, iron, and nutritional status in cancer-related anemia: Results of a large, prospective, observational study. Haematologica 2014, 100, 124. [Google Scholar] [CrossRef]
- Ravasco, P.; Monteiro-Grillo, I.; Marques Vidal, P.; Camilo, M.E. Impact of nutrition on outcome: A prospective randomized controlled trial in patients with head and neck cancer undergoing radiotherapy. Head Neck 2005, 27, 659. [Google Scholar] [CrossRef] [PubMed]
- Lewis, S.L.; Brody, R.; Touger–decker, R.; Parrott, J.S.; Epstein, J. Feeding tube use in patients with head and neck cancer. Head Neck 2014, 36, 1789. [Google Scholar] [CrossRef] [PubMed]
- Kim, T.; Lee, S.; Shin, S.; Cho, J.; Kim, K.; Ha, I. Sex-related associations among anemia, body mass index, and kidney function in Koreans. Medicine 2021, 100, e23990. [Google Scholar] [CrossRef]
- Pai, P.; Chuang, C.; Tseng, C.; Tsang, N.; Chang, K.; Yen, T.; Liao, C.; Hong, J.; Chang, J.T. Impact of Pretreatment Body Mass Index on Patients With Head-and-Neck Cancer Treated With Radiation. Int. J. Radiat. Oncol. Biol. Phys. 2012, 83, e93. [Google Scholar] [CrossRef]
- Yang, Z.; Mansour, J.; Sun, P.; Wei, P.; Dahlstrom, K.R.; Zafereo, M.; Li, G.; Gross, N.D. Impact of pretreatment body mass index on the survival of head and neck cancer patients. Head Neck 2024, 46, 1881. [Google Scholar] [CrossRef]
- Fietkau, R.; Lewitzki, V.; Kuhnt, T.; Hölscher, T.; Hess, C.; Berger, B.; Wiegel, T.; Rödel, C.; Niewald, M.; Hermann, R.M.; et al. A disease-specific enteral nutrition formula improves nutritional status and functional performance in patients with head and neck and esophageal cancer undergoing chemoradiotherapy: Results of a randomized, controlled, multicenter trial. Cancer 2013, 119, 3343. [Google Scholar] [CrossRef]
- Chen, Z.; Ling, J.; Zhang, S.; Feng, Y.; Xie, Y.; Liu, X.; Hou, T. Predicting the overall survival and progression-free survival of nasopharyngeal carcinoma patients based on hemoglobin, albumin, and globulin ratio and classical clinicopathological parameters. Head Neck 2024, 46, 2600. [Google Scholar] [CrossRef]
- Yang, M.; Chen, T.; Wang, H.; Hsieh, J.C.; Huang, H.; Hsieh, M.; Yen, C.; Wu, S.; Hua, C.; Lien, M.; et al. Prognostic factors and risk-stratification model of recurrent or metastatic head and neck squamous cell carcinoma treated with cetuximab containing regimen. BMC Cancer 2024, 24, 1227. [Google Scholar] [CrossRef]

| All Patients | Week 1 | p | Week 6 | p | Difference Between Week 6 and Week 1 | p | ||||
|---|---|---|---|---|---|---|---|---|---|---|
| Hemoglobin (g/dL) | ≤12.6 | >12.6 | ≤10.3 | >10.3 | ≤1.57 | >1.57 | ||||
| Sex | 0.04 | 0.05 | 0.78 | |||||||
| Female | 21 | 13 (61.90%) | 8 (38.09%) | 14 (66.6%) | 7 (33.3%) | 6 (28.5%) | 15 (71.4%) | |||
| Male | 76 | 32 (42.10%) | 44 (57.98%) | 35 (46%) | 41 (53.9%) | 23 (30.2%) | 53 (69.7%) | |||
| Age at diagnosis (years) | 63 (±8.5) | 62 (±8.1) | 63 (±8.8) | 0.59 | 61 (±7.7) | 64 (±9.1) | 0.16 | 63 (±9.2) | 62 (±8.2) | 0.08 |
| Smoking | ||||||||||
| No | 41 | 20 | 21 | 0.94 | 19 | 22 | 0.5 | 14 | 27 | 0.9 |
| Yes | 56 | 25 | 31 | 31 | 25 | 17 | 39 | |||
| Weight (kg) | 74.1 (±19.2) | 65.9 (±15.9) | 81.2 (±19.1) | <0.01 | 69.4 (±17.1) | 79 (±20.2) | 0.01 | 66.3 (±15.4) | 78.3 (±19.5) | <0.01 |
| Length (cm) | 174.3 (±7.81) | 173.5 (±8.8) | 175 (±6.8) | 0.34 | 174 (±8.3) | 174.7 (±7.2) | 0.66 | 173.8 (±8.5) | 174.9 (±7.3) | 0.51 |
| BMI (kg/m2) | 24.3 (±5.8) | 21.8 (±4.8) | 26.4 (±5.7) | <0.01 | 22.9 (±5.2) | 25.7 (±6.0) | <0.01 | 21.8 (±4.4) | 25.5 (±6.0) | <0.01 |
| Tumor site | 0.76 | 0.84 | 0.80 | |||||||
| Oropharynx | 33 (34.02%) | 17 (37.77%) | 16 (30.76%) | 18 (54.5%) | 15 (45.4%) | 12 (36.3%) | 21 (63.6%) | |||
| Larynx | 8 (8.24%) | 3 (6.66%) | 5 (9.61%) | 4 (50%) | 4 (50%) | 1 (12.5%) | 7 (87.5%) | |||
| Hypopharynx | 19 (19.58%) | 5 (11.11%) | 14 (26.92%) | 6 (31.5%) | 13 (68.4%) | 3 (15.7%) | 16 (84.2%) | |||
| Oral cavity | 31 (31.95%) | 18 (40%) | 13 (25%) | 19 (29.03%) | 12 (38.7%) | 12 (38.7%) | 19 (29.03%) | |||
| Nasopharynx | 6 (6.18%) | 2 (4.44%) | 4 (7.69%) | 2 (33.3%) | 4 (66.6%) | 3 (50%) | 3 (50%) | |||
| T-stage | 0.74 | 0.35 | 1.00 | |||||||
| T1 | 4 (4.12%) | 1 (25%) | 3 (75%) | 1 (25%) | 3 (75%) | 1 (25%) | 3 (75%) | |||
| T2 | 16 (16.49%) | 5 (11.11%) | 11 (21.15%) | 5 (31.2%) | 11 (68.7%) | 4 (25%) | 12 (75%) | |||
| T3 | 28 (28.86%) | 12 (26.66%) | 16 (30.76%) | 17 (60.7%) | 11 (39.2%) | 7 (25%) | 21 (75%) | |||
| T4 | 49 (50.51%) | 27 (60%) | 22 (42.30%) | 27 (55.1%) | 22 (44.8%) | 19 (38.77%) | 30 (61.22%) | |||
| N-Stage | 0.65 | 0.48 | 0.31 | |||||||
| N0 | 20 (20.61%) | 11 (24.44%) | 9 (17.30%) | 12 (60%) | 8 (40%) | 4 (20%) | 16 (80%) | |||
| N+ | 77 (79.38%) | 34 (75.55%) | 43 (82.69%) | 37 (48.05%) | 40 (51.9%) | 27 (35.06%) | 50 (64.9%) | |||
| Anatomic stage group | 0.09 | 0.11 | 0.33 | |||||||
| Stage II | 12 (12.37%) | 2 (4.44%) | 10 (1.23%) | 3 (25%) | 9 (75%) | 2 (16.6%) | 10 (83.3%) | |||
| Stage III | 20 (20.61%) | 12 (26.66%) | 8 (15.38%) | 12 (60%) | 8 (40%) | 6 (30%) | 14 (70%) | |||
| Stage IV | 65 (67.01%) | 30 (66.66%) | 35 (67.30%) | 34 (52.3%) | 31 (47.6%) | 23 (35.3%) | 42 (64.6%) | |||
| Chemotherapy | 0.96 | 0.95 | 0.46 | |||||||
| Cisplatin | 72 (74.22%) | 34 (75.55%) | 38 (73.07%) | 36 (50%) | 36 (50%) | 25 (34.7%) | 47 (65.2%) | |||
| Paclitaxel/Carboplatin | 25 (25.77%) | 11 (24.44%) | 14 (26.92%) | 13 (52%) | 12 (48%) | 6 (24%) | 19 (76%) | |||
| Dysphagia RT end (CTCAE) | 0.98 | 0.05 | 0.28 | |||||||
| 1–2 | 34 (35.05%) | 15 (33.33%) | 19 (36.53%) | 12 (35.2%) | 22 (64.7%) | 13 (38.2%) | 21 (61.7%) | |||
| 3–4 | 63 (64.94%) | 30 (66.66%) | 33 (63.46%) | 37 (58.7%) | 26 (41.2%) | 16 (25.3%) | 47 (74.6%) | |||
| Univariate Analysis Hazard Ratio (95% CI) | p-Value | Multivariate Analysis Hazard Ratio (95% CI) | p-Value | |
|---|---|---|---|---|
| Gender | ||||
| Male | Ref | |||
| Female | 1.25 (0.66–2.34) | 0.49 | ||
| Age | 1.01 (0.98–1.05) | 0.46 | ||
| BMI | 0.92 (0.87–0.98) | >0.01 | 0.93 (0.88–0.99) | 0.02 |
| Hb level week 1 | 0.91 (0.78–1.07) | 0.24 | ||
| Hb level week 2 | 0.86 (0.74–1.00) | 0.04 | ||
| Hb level week 3 | 0.83 (0.70–0.98) | 0.03 | ||
| Hb level week 4 | 0.81 (0.68–0.97) | 0.02 | ||
| Hb level week 5 | 0.80 (0.65–0.97) | 0.02 | ||
| Hb level week 6 | 0.78 (0.65–0.94) | >0.01 | 0.81 (0.68–0.98) | 0.04 |
| Hb difference week 1–6 | 1.15 (0.95–1.41) | 0.16 |
Disclaimer/Publisher’s Note: The statements, opinions and data contained in all publications are solely those of the individual author(s) and contributor(s) and not of MDPI and/or the editor(s). MDPI and/or the editor(s) disclaim responsibility for any injury to people or property resulting from any ideas, methods, instructions or products referred to in the content. |
© 2025 by the authors. Published by MDPI on behalf of the Lithuanian University of Health Sciences. Licensee MDPI, Basel, Switzerland. This article is an open access article distributed under the terms and conditions of the Creative Commons Attribution (CC BY) license (https://creativecommons.org/licenses/by/4.0/).
Share and Cite
Hazko, S.; Ahmed, A.; Hermann, R.M.; Sonnhoff, M.A.; Warnecke, A.; Bruns, F.; Blach, R.; Christiansen, H.; Becker, J.-N. Impact of Hemoglobin Levels During Definite Chemoradiotherapy of Patients with Locally Advanced Head and Neck Squamous Cell Carcinoma on Survival. Medicina 2025, 61, 2027. https://doi.org/10.3390/medicina61112027
Hazko S, Ahmed A, Hermann RM, Sonnhoff MA, Warnecke A, Bruns F, Blach R, Christiansen H, Becker J-N. Impact of Hemoglobin Levels During Definite Chemoradiotherapy of Patients with Locally Advanced Head and Neck Squamous Cell Carcinoma on Survival. Medicina. 2025; 61(11):2027. https://doi.org/10.3390/medicina61112027
Chicago/Turabian StyleHazko, Sandy, Amed Ahmed, Robert Michael Hermann, Mathias Alexander Sonnhoff, Athanasia Warnecke, Frank Bruns, Robert Blach, Hans Christiansen, and Jan-Niklas Becker. 2025. "Impact of Hemoglobin Levels During Definite Chemoradiotherapy of Patients with Locally Advanced Head and Neck Squamous Cell Carcinoma on Survival" Medicina 61, no. 11: 2027. https://doi.org/10.3390/medicina61112027
APA StyleHazko, S., Ahmed, A., Hermann, R. M., Sonnhoff, M. A., Warnecke, A., Bruns, F., Blach, R., Christiansen, H., & Becker, J.-N. (2025). Impact of Hemoglobin Levels During Definite Chemoradiotherapy of Patients with Locally Advanced Head and Neck Squamous Cell Carcinoma on Survival. Medicina, 61(11), 2027. https://doi.org/10.3390/medicina61112027

