Determining the Thyroid Gland Volume Causing Tracheal Compression: A Semiautomated 3D CT Volumetry Study
Abstract
1. Introduction
2. Materials and Methods
2.1. Patients
2.2. Radiological Analysis
2.2.1. Imaging Protocol
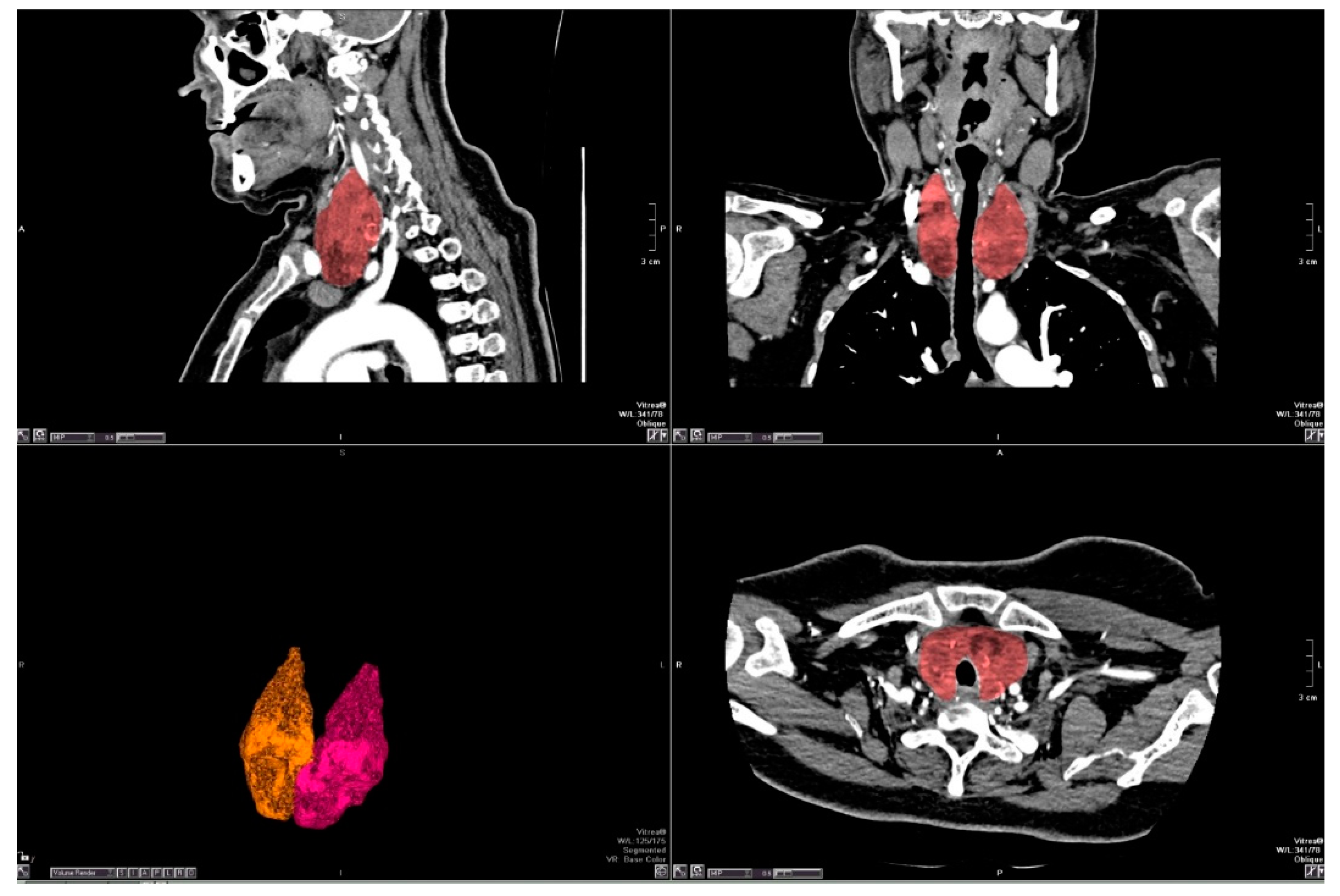
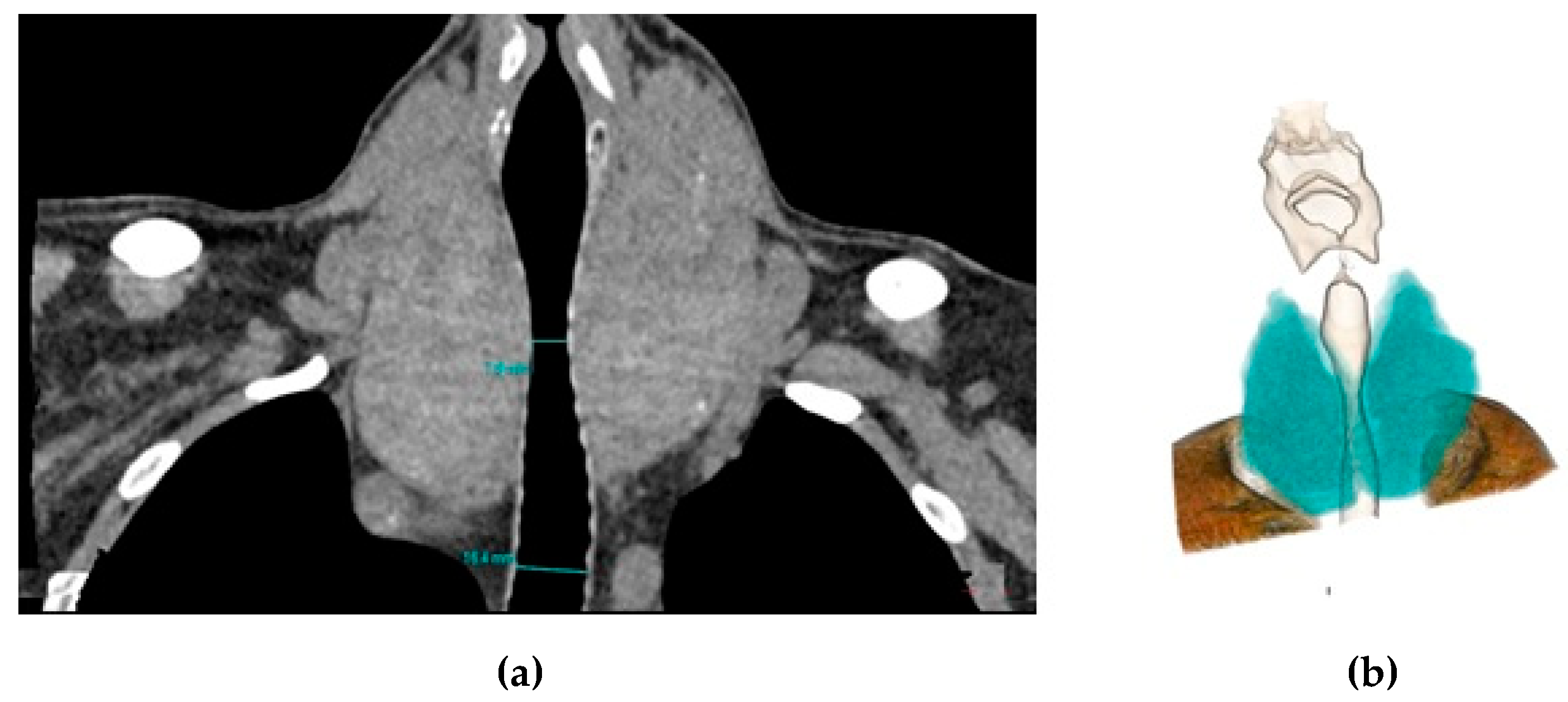
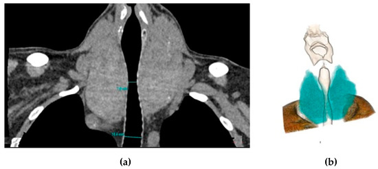
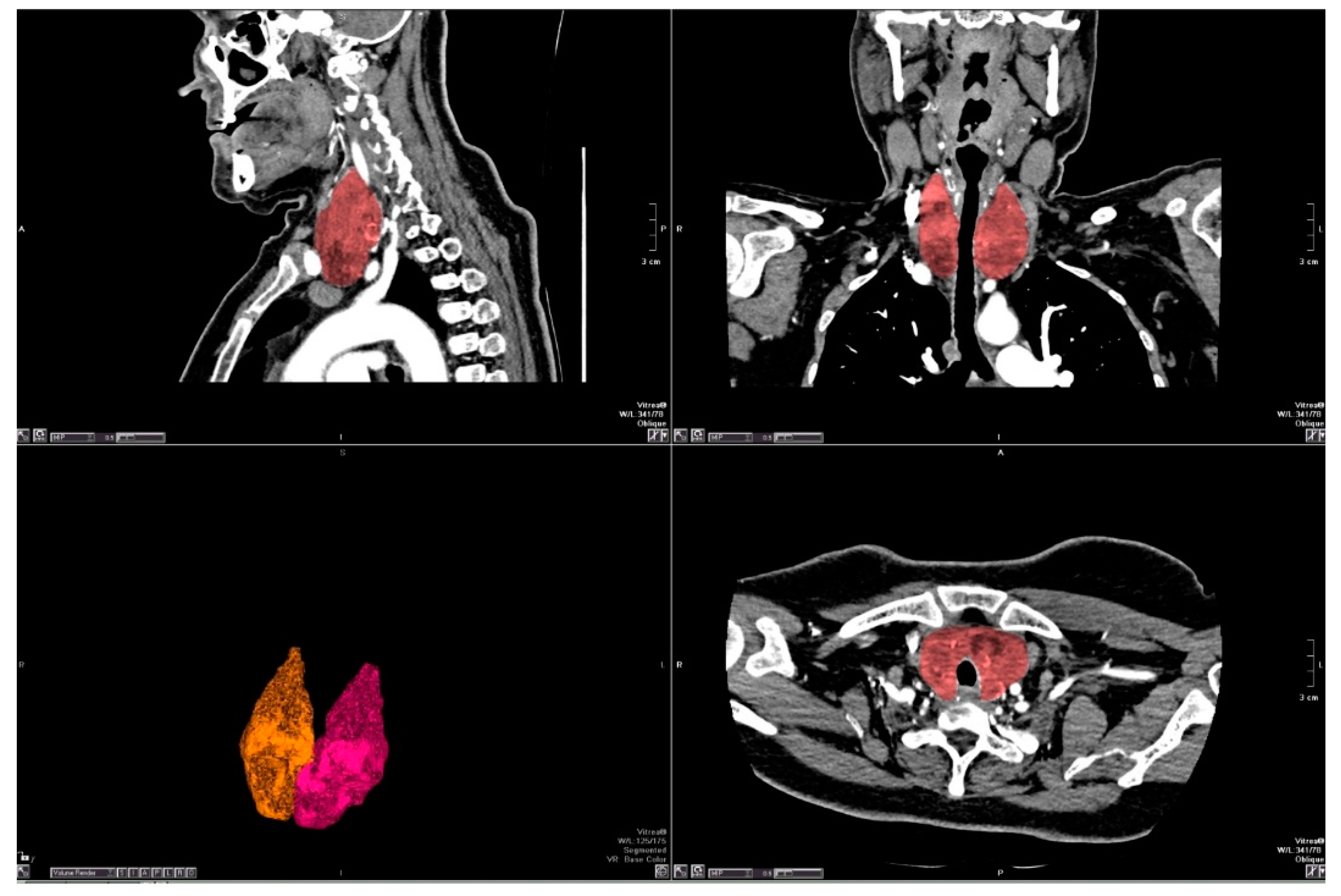
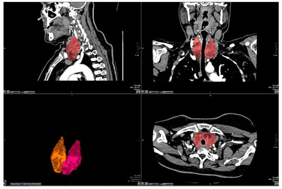
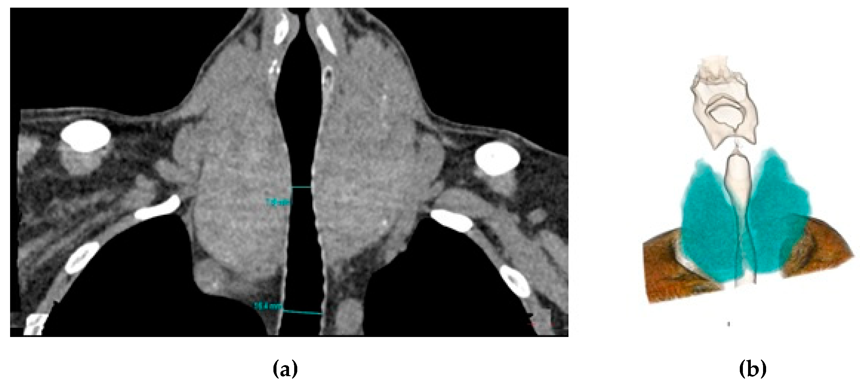
2.2.2. Image Evaluation
2.3. Statistical Analysis
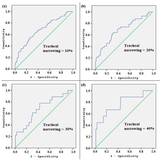
3. Results
4. Discussion
5. Conclusions
Author Contributions
Funding
Conflicts of Interest
References
- Melliere, D.; Saada, F.; Etienne, G.; Becquemin, J.P.; Bonnet, F. Goitre with severe respiratory compromise: Evaluation and treatment. Surgery 1998, 103, 367–373. [Google Scholar]
- Shaha, A.R.; Burnett, C.; Alfonso, A.; Jaffe, B.M. Goitres and airway problems. Am. J. Surg. 1989, 158, 378–380. [Google Scholar] [CrossRef]
- Moron, J.C.; Singer, J.A.; Sardi, A. Retrosternal goitre: A six-year institutional review. Am. Surg. 1998, 64, 889–893. [Google Scholar]
- Bayhan, Z.; Zeren, S.; Ucar, B.I.; Ozbay, I.; Sonmez, Y.; Mestan, M.; Balaban, O.; Bayhan, N.A.; Ekici, M.F. Emergency thyroidectomy: Due to acute respiratory failure. Int. J. Surg. Case Rep. 2014, 5, 1251–1253. [Google Scholar] [CrossRef]
- Newman, E.; Shaha, A.R. Substernal goitre. J. Surg. Oncol. 1995, 60, 207–212. [Google Scholar] [CrossRef] [PubMed]
- Morl, M.; Bartels, O. Acute respiratory insufficiency caused by plunging goitre (author’s transl). Med. Klin. 1975, 70, 981–983. [Google Scholar]
- Torres, A.; Arroyo, J.; Kastanos, N.; Estopá, R.; Rabaseda, J.; Agustí-Vidal, A. Acute respiratory failure and tracheal obstruction in patients with intrathoracic goitre. Crit. Care Med. 1983, 11, 265–266. [Google Scholar] [CrossRef]
- Noppen, M.; Meysman, M.; Dhondt, E.; Gepts, L.; Velkeniers, B.; Vanhaelst, L.; Vincken, W. Upper airway obstruction due to inoperable intrathoracic goitre treated by tracheal endoprosthesis. Thorax 1994, 49, 1034–1036. [Google Scholar] [CrossRef] [PubMed]
- Veronesi, G.; Leo, F.; Solli, P.G.; D’Aiuto, M.; D’Ovidio, F.; Mazzarol, G.; Spaggiari, L.; Pastorino, U. Life-threatening giant mediastinal goitre: A surgical challenge. J. Cardiovasc. Surg. 2001, 42, 429–430. [Google Scholar]
- Shaha, A.R. Surgery for benign thyroid disease causing tracheoesophageal compression. Otolaryngol. Clin. North Am. 1990, 23, 391–401. [Google Scholar] [PubMed]
- Karabeyoglu, M.; Unal, B.; Dirican, A.; Kocer, B.; Gur, A.S.; Bozkurt, B.; Cengiz, O.; Soran, A. The relation between preoperative ultrasonographic thyroid volume analysis and thyroidectomy complications. Endocr. Regul. 2009, 43, 83–87. [Google Scholar]
- Karbowitz, S.R.; Edelman, L.B.; Nath, S.; Dwek, J.H.; Rammohan, G. Spectrum of advanced upper airway obstruction due to goitres. Chest 1985, 87, 18–21. [Google Scholar] [CrossRef]
- Bonnema, S.J.; Bertelsen, H.; Mortensen, J.; Andersen, P.B.; Knudsen, D.U.; Bastholt, L.; Hegedüs, L. The feasibility of high dose iodine 131 treatment as an alternative to surgery in patients with a very large goitre: Effect on thyroid function and size and pulmonary function. J. Clin. Endocrinol. Metab. 1999, 84, 3636–3641. [Google Scholar]
- Shin, J.J.; Grillo, H.C.; Mathisen, D.; Katlic, M.R.; Zurakowsk, I.D.; Kamani, D.; Randolph, G.W. The surgical management of goitre: Part I. Preoperative evaluation. Laryngoscope 2011, 121, 60–67. [Google Scholar] [CrossRef]
- Testini, M.; Logoluso, F.; Lissidini, G.; Gurrado, A.; Campobasso, G.; Cortese, R.; De Luca, G.M.; Franco, I.F.; De Luca, A.; Piccinni, G. Emergency total thyroidectomy due to non traumatic disease. Experience of a surgical unit and literature review. World J. Emerg. Surg. 2012, 7, 9. [Google Scholar] [CrossRef]
- Chen, A.Y.; Bernet, V.J.; Carty, S.E.; Davies, T.F.; Ganly, I.; Inabnet, W.B.; Shaha, A.R.; Surgical Affairs Committee of the American Thyroid Association. American Thyroid Association statement on optimal surgical management of goitre. Thyroid 2014, 24, 181–189. [Google Scholar] [CrossRef] [PubMed]
- Anders, H.J. Compression syndromes caused by substernal goitres. Postgrad. Med. J. 1998, 74, 327–329. [Google Scholar] [CrossRef]
- Ito, T.; Shingu, K.; Maeda, C.; Kitazawa, M.; Mizukami, Y.; Hiraguri, M.; Horigome, N.; Kaneko, G.; Itoh, N.; Ito, K.I. Acute airway obstruction due to benign asymptomatic nodular goitre in the cervical region: A case report. Oncol. Lett. 2015, 10, 1453–1455. [Google Scholar] [CrossRef]
- Trimboli, P.; Ruggieri, M.; Fumarola, A.; D’Alò, M.; Straniero, A.; Maiuolo, A.; Ulisse, S.; D’Armiento, M. A mathematical formula to estimate in vivo thyroid volume from two-dimensional ultrasonography. Thyroid 2008, 18, 879–882. [Google Scholar] [CrossRef]
- Rago, T.; Bencivelli, W.; Scutari, M.; Di Cosmo, C.; Rizzo, C.; Berti, P.; Miccoli, P.; Pinchera, A.; Vitti, P. The newly developed three-dimensional (3D) and two-dimensional (2D) thyroid ultrasound are strongly correlated, but 2D overestimates thyroid volume in the presence of nodules. J. Endocrinol. Investig. 2006, 29, 423–426. [Google Scholar] [CrossRef]
- Miccoli, P.; Minuto, M.N.; Orlandini, C.; Galleri, D.; Massi, M.; Berti, P. Ultrasonography estimated thyroid volume: A prospective study about its reliability. Thyroid 2006, 16, 37–39. [Google Scholar] [CrossRef]
- Shabana, W.; Peeters, E.; Verbeek, P.; Osteaux, M.M. Reducing inter-observer variation in thyroid volume calculation using a new formula and technique. Eur. J. Ultrasound 2003, 16, 207–210. [Google Scholar] [CrossRef]
- Schlogl, S.; Andermann, P.; Luster, M.; Reiners, C.; Lassmann, M. A novel thyroid phantom for ultrasound volumetry: Determination of intraobserver and interobserver variability. Thyroid 2006, 16, 41–46. [Google Scholar] [CrossRef] [PubMed]
- Cagli, K.; Ulas, M.M.; Hizarci, M.; Sener, E. Substernal goitre: An unusual cause of respiratory failure after coronary artery bypass grafting. Tex. Heart Inst. J. 2005, 32, 224–227. [Google Scholar]
- Shabana, W.; Peeters, E.; De Maeseneer, M. Measuring thyroid gland volume: Should we change the correction factor? AJR Am. J. Roentgenol. 2006, 186, 234–236. [Google Scholar] [CrossRef] [PubMed]
- Nygaard, B.; Nygaard, T.; Court-Payen, M.; Jensen, L.I.; Søe-Jensen, P.; Gerhard Nielsen, K.; Fugl, M.; Hegedüs, L. Thyroid volume measured by ultrasonography and CT. Acta Radiol. 2002, 43, 269–274. [Google Scholar] [CrossRef] [PubMed]
- Lee, S.J.; Chong, S.; Kang, K.H.; Hur, J.; Hong, B.W.; Kim, H.J.; Kim, S.J. Semiautomated thyroid volumetry using 3D CT: Prospective comparison with measurements obtained using 2D ultrasound, 2D CT, and water displacement method of specimen. AJR Am. J. Roentgenol. 2014, 203, 12206. [Google Scholar] [CrossRef] [PubMed]
- Choi, J.Y.; Lee, K.E.; Koo do, H.; Kim, K.H.; Kim, E.; Bae, D.S.; Jung, S.E.; Youn, Y.K. Use of spiral computed tomography volumetry for determining the operative approach in patients with Graves’ disease. World J. Surg. 2014, 38, 639–644. [Google Scholar] [CrossRef]
- Bennett, A.M.; Hashmi, S.M.; Premachandra, D.J.; Wright, M.M. The myth of tracheomalacia and difficult intubation in cases of retrosternal goitre. J. Laryngol. Otol. 2004, 118, 778–780. [Google Scholar] [CrossRef]
- Leung, A.M.; Braverman, L.E. Iodine-induced thyroid dysfunction. Curr. Opin. Endocrinol. Diabetes Obes. 2012, 19, 414–419. [Google Scholar] [CrossRef]
- Rhee, C.M.; Bhan, I.; Alexander, E.K.; Brunelli, S.M. Association between iodinated contrast media exposure and incident hyperthyroidism and hypothyroidism. Arch Intern. Med. 2012, 172, 153–159. [Google Scholar] [CrossRef] [PubMed]




| Male (n = 94) | Female (n = 69) | p Value | |
|---|---|---|---|
| The mean age | 46.15 ± 14.25 | 50.57 ± 13.90 | 0.070 |
| The minimum TV | 7.00 | 7.31 | N/A |
| The maximum TV | 249.42 | 138.27 | N/A |
| The mean TV | 31.08 ± 36.87 | 22.01 ± 20.96 | <0.001 |
| The minimum TCR | 0.06 | 0.06 | N/A |
| The maximum TCR | 1.00 | 1.00 | N/A |
| The mean TCR | 0.85 ± 0.15 | 0.86 ± 0.14 | 0.954 |
| (1 − TCR) × 100 ≤ 15% | (1 − TCR) × 100 > 15% | p | |
|---|---|---|---|
| The mean TV (mL) | 19.77 ± 10.40 | 40.08 ± 47.46 | <0.001 |
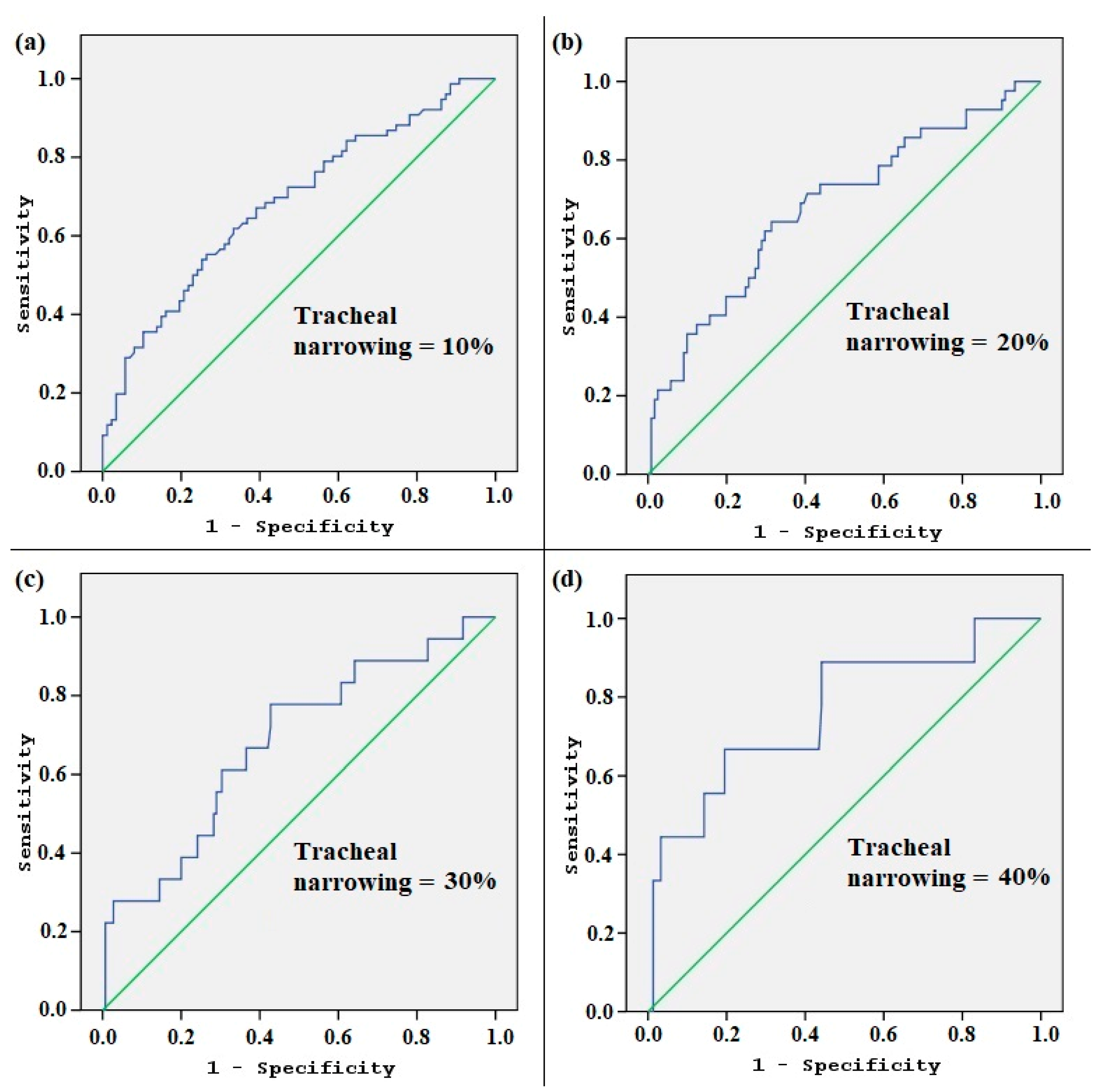
| (1 − TCR) × 100 (Tracheal Narrowing) | Cut-Off (TV) | AUC | Lower Bound | Upper Bound | p |
|---|---|---|---|---|---|
| >10% (n = 76) | 19.75 mL | 0.684 | 0.602 | 0.766 | <0.001 |
| >20% (n = 42) | 21.56 mL | 0.683 | 0.586 | 0.780 | <0.001 |
| >30% (n = 18) | 24.54 mL | 0.682 | 0.548 | 0.816 | 0.012 |
| >40% (n = 9) | 30.29 mL | 0.764 | 0.587 | 0.942 | 0.008 |
© 2019 by the authors. Licensee MDPI, Basel, Switzerland. This article is an open access article distributed under the terms and conditions of the Creative Commons Attribution (CC BY) license (http://creativecommons.org/licenses/by/4.0/).
Share and Cite
Binar, M.; Serindere, M.; Bozlar, U.; Karahatay, S.; Demirkapi, S.; Aydin, U.; Gokgoz, M.; Tasar, M.; Gerek, M. Determining the Thyroid Gland Volume Causing Tracheal Compression: A Semiautomated 3D CT Volumetry Study. Medicina 2019, 55, 143. https://doi.org/10.3390/medicina55050143
Binar M, Serindere M, Bozlar U, Karahatay S, Demirkapi S, Aydin U, Gokgoz M, Tasar M, Gerek M. Determining the Thyroid Gland Volume Causing Tracheal Compression: A Semiautomated 3D CT Volumetry Study. Medicina. 2019; 55(5):143. https://doi.org/10.3390/medicina55050143
Chicago/Turabian StyleBinar, Murat, Mehmet Serindere, Ugur Bozlar, Serdar Karahatay, Suat Demirkapi, Umit Aydin, Mert Gokgoz, Mustafa Tasar, and Mustafa Gerek. 2019. "Determining the Thyroid Gland Volume Causing Tracheal Compression: A Semiautomated 3D CT Volumetry Study" Medicina 55, no. 5: 143. https://doi.org/10.3390/medicina55050143
APA StyleBinar, M., Serindere, M., Bozlar, U., Karahatay, S., Demirkapi, S., Aydin, U., Gokgoz, M., Tasar, M., & Gerek, M. (2019). Determining the Thyroid Gland Volume Causing Tracheal Compression: A Semiautomated 3D CT Volumetry Study. Medicina, 55(5), 143. https://doi.org/10.3390/medicina55050143

