Evaluation of Serum Antioxidant Activity in Type 2 Diabetes and Prediabetes: Links with Nutritional and Anthropometric Factors—Preliminary Studies
Abstract
1. Introduction
2. Materials and Methods
2.1. Materials
2.2. Methods
2.2.1. Dietary Assessment
2.2.2. Blood Collection
2.2.3. Total Antioxidant Capacity (TAC) Determination
2.2.4. DPPH Assay
2.2.5. ABTS Assay
2.2.6. FRAP Assay
2.2.7. Statistical Analysis
3. Results
4. Discussion
4.1. Analysis of the Usefulness of Oxidative Stress Assessment Methods
4.2. Severity of Oxidative Stress in the Study Groups
4.3. The Effect of Diet on Oxidative Stress in the Study Groups
4.4. Limitations
5. Conclusions
Author Contributions
Funding
Institutional Review Board Statement
Informed Consent Statement
Data Availability Statement
Conflicts of Interest
Abbreviations
| ABTS | 2,2′-azino-bis(3-ethylbenzothiazoline-6-sulfonic acid) |
| AMPK | AMP-activated protein kinase |
| BMI | Body Mass Index |
| CG | Control Group |
| DPPH | 2,2-diphenyl-1-picrylhydrazyl |
| FDR | False discovery rate |
| FRAP | Ferric Ion Reducing Antioxidant Parameter |
| GPx | Glutathione peroxidase |
| HbA1c | Glycated haemoglobin |
| IQR | Interquartile range |
| Me | Median |
| MUFA | Monounsaturated fatty acids |
| Nrf2 | The nuclear factor erythroid 2-related factor 2 |
| PDG | Prediabetes Group |
| PUFA | Polyunsaturated fatty acids |
| Q | Quartile |
| ROS | Reactive oxygen species |
| SD | Standard Deviation |
| T2DM | Type 2 Diabetes Mellitus |
| T2DMG | Type 2 Diabetes Mellitus Group |
| TAC | Total Antioxidant Capacity |
| TE | Trolox Equivalent |
| TEAC | Trolox equivalent antioxidant capacity |
| WHO | World Health Organisation |
| X | Mean |
References
- Ong, K.L.; Stafford, L.K.; McLaughlin, S.A.; Boyko, E.J.; Vollset, S.E.; Smith, A.E.; Dalton, B.E.; Duprey, J.; Cruz, J.A.; Hagins, H.; et al. Global, Regional, and National Burden of Diabetes from 1990 to 2021, with Projections of Prevalence to 2050: A Systematic Analysis for the Global Burden of Disease Study 2021. Lancet 2023, 402, 203–234, Erratum in Lancet 2023, 402, 1132. https://doi.org/10.1016/S0140-6736(23)02044-5Erratum in Lancet 2025, 405, 202. https://doi.org/10.1016/S0140-6736(25)00053-4. [Google Scholar] [CrossRef]
- Saeedi, P.; Petersohn, I.; Salpea, P.; Malanda, B.; Karuranga, S.; Unwin, N.; Colagiuri, S.; Guariguata, L.; Motala, A.A.; Ogurtsova, K.; et al. Global and Regional Diabetes Prevalence Estimates for 2019 and Projections for 2030 and 2045: Results from the International Diabetes Federation Diabetes Atlas, 9th Edition. Diabetes Res. Clin. Pract. 2019, 157, 107843. [Google Scholar] [CrossRef] [PubMed]
- Sun, H.; Saeedi, P.; Karuranga, S.; Pinkepank, M.; Ogurtsova, K.; Duncan, B.B.; Stein, C.; Basit, A.; Chan, J.C.N.; Mbanya, J.C.; et al. IDF Diabetes Atlas: Global, Regional and Country-Level Diabetes Prevalence Estimates for 2021 and Projections for 2045. Diabetes Res. Clin. Pract. 2022, 183, 109119, Erratum in Diabetes Res. Clin. Pract. 2023, 204, 110945. https://doi.org/10.1016/j.diabres.2023.110945. [Google Scholar] [CrossRef] [PubMed]
- Araszkiewicz, A.; Bandurska-Stankiewicz, E.; Borys, S.; Budzyński, A.; Cyganek, K.; Cypryk, K.; Czech, A.; Czupryniak, L.; Drzewoski, J.; Dzida, G.; et al. 2023 Guidelines on the management of patients with diabetes—A position of Diabetes Poland. Curr. Top. Diabetes 2023, 3, 1–133. [Google Scholar] [CrossRef]
- Tabák, A.G.; Herder, C.; Rathmann, W.; Brunner, E.J.; Kivimäki, M. Prediabetes: A High-Risk State for Diabetes Development. Lancet Lond. Engl. 2012, 379, 2279–2290. [Google Scholar] [CrossRef]
- Sagesaka, H.; Sato, Y.; Someya, Y.; Tamura, Y.; Shimodaira, M.; Miyakoshi, T.; Hirabayashi, K.; Koike, H.; Yamashita, K.; Watada, H.; et al. Type 2 Diabetes: When Does It Start? J. Endocr. Soc. 2018, 2, 476–484. [Google Scholar] [CrossRef]
- Nicolaisen, S.K.; Pedersen, L.; Witte, D.R.; Sørensen, H.T.; Thomsen, R.W. HbAHbA1c-Defined Prediabetes and Progression to Type 2 Diabetes in Denmark: A Population-Based Study Based on Routine Clinical Care Laboratory Data. Diabetes Res. Clin. Pract. 2023, 203, 110829. [Google Scholar] [CrossRef] [PubMed]
- Galicia-Garcia, U.; Benito-Vicente, A.; Jebari, S.; Larrea-Sebal, A.; Siddiqi, H.; Uribe, K.B.; Ostolaza, H.; Martín, C. Pathophysiology of Type 2 Diabetes Mellitus. Int. J. Mol. Sci. 2020, 21, 6275. [Google Scholar] [CrossRef]
- Młynarska, E.; Czarnik, W.; Dzieża, N.; Jędraszak, W.; Majchrowicz, G.; Prusinowski, F.; Stabrawa, M.; Rysz, J.; Franczyk, B. Type 2 Diabetes Mellitus: New Pathogenetic Mechanisms, Treatment and the Most Important Complications. Int. J. Mol. Sci. 2025, 26, 1094. [Google Scholar] [CrossRef]
- Wang, L.; Li, L.; Liu, J.; Sheng, C.; Yang, M.; Hu, Z.; Yue, R. Associated Factors and Principal Pathophysiological Mechanisms of Type 2 Diabetes Mellitus. Front. Endocrinol. 2025, 16, 1499565. [Google Scholar] [CrossRef]
- Oh, Y.S.; Bae, G.D.; Baek, D.J.; Park, E.-Y.; Jun, H.-S. Fatty Acid-Induced Lipotoxicity in Pancreatic Beta-Cells During Development of Type 2 Diabetes. Front. Endocrinol. 2018, 9, 384. [Google Scholar] [CrossRef]
- Mizukami, H.; Kudoh, K. Diversity of Pathophysiology in Typen 2 Diabetes Shown by Islet Pathology. J. Diabetes Investig. 2022, 13, 6–13. [Google Scholar] [CrossRef] [PubMed]
- Sies, H. Oxidative Stress: Concept and Some Practical Aspects. Antioxidants 2020, 9, 852. [Google Scholar] [CrossRef] [PubMed]
- Pizzino, G.; Irrera, N.; Cucinotta, M.; Pallio, G.; Mannino, F.; Arcoraci, V.; Squadrito, F.; Altavilla, D.; Bitto, A. Oxidative Stress: Harms and Benefits for Human Health. Oxid. Med. Cell. Longev. 2017, 2017, 8416763. [Google Scholar] [CrossRef] [PubMed]
- Reddy, V.P. Oxidative Stress in Health and Disease. Biomedicines 2023, 11, 2925. [Google Scholar] [CrossRef]
- Singh, A.; Kukreti, R.; Saso, L.; Kukreti, S. Mechanistic Insight into Oxidative Stress-Triggered Signaling Pathways and Type 2 Diabetes. Molecules 2022, 27, 950. [Google Scholar] [CrossRef]
- Burgos-Morón, E.; Abad-Jiménez, Z.; de Marañón, A.M.; Iannantuoni, F.; Escribano-López, I.; López-Domènech, S.; Salom, C.; Jover, A.; Mora, V.; Roldan, I.; et al. Relationship Between Oxidative Stress, ER Stress, and Inflammation in Type 2 Diabetes: The Battle Continues. J. Clin. Med. 2019, 8, 1385. [Google Scholar] [CrossRef] [PubMed]
- Bhatti, J.S.; Sehrawat, A.; Mishra, J.; Sidhu, I.S.; Navik, U.; Khullar, N.; Kumar, S.; Bhatti, G.K.; Reddy, P.H. Oxidative Stress in the Pathophysiology of Type 2 Diabetes and Related Complications: Current Therapeutics Strategies and Future Perspectives. Free Radic. Biol. Med. 2022, 184, 114–134. [Google Scholar] [CrossRef]
- Caturano, A.; Rocco, M.; Tagliaferri, G.; Piacevole, A.; Nilo, D.; Di Lorenzo, G.; Iadicicco, I.; Donnarumma, M.; Galiero, R.; Acierno, C.; et al. Oxidative Stress and Cardiovascular Complications in Type 2 Diabetes: From Pathophysiology to Lifestyle Modifications. Antioxidants 2025, 14, 72. [Google Scholar] [CrossRef]
- Apostolova, N.; Iannantuoni, F.; Gruevska, A.; Muntane, J.; Rocha, M.; Victor, V.M. Mechanisms of Action of Metformin in Type 2 Diabetes: Effects on Mitochondria and Leukocyte-Endothelium Interactions. Redox Biol. 2020, 34, 101517. [Google Scholar] [CrossRef]
- Vial, G.; Detaille, D.; Guigas, B. Role of Mitochondria in the Mechanism(s) of Action of Metformin. Front. Endocrinol. 2019, 10, 294. [Google Scholar] [CrossRef]
- Buczyńska, A.; Malinowski, P.; Żbikowski, A.; Krętowski, A.J.; Zbucka-Krętowska, M. Metformin Modulates Oxidative Stress via Activation of AMPK/NF-κB Signaling in Trisomy 21 Fibroblasts: An in Vitro Study. Front. Mol. Biosci. 2025, 12, 1577044. [Google Scholar] [CrossRef] [PubMed]
- Buczyńska, A.; Sidorkiewicz, I.; Krętowski, A.J.; Adamska, A. Examining the Clinical Relevance of Metformin as an Antioxidant Intervention. Front. Pharmacol. 2024, 15, 1330797. [Google Scholar] [CrossRef] [PubMed]
- Reed, S.; Taka, E.; Darling-Reed, S.; Soliman, K.F.A. Neuroprotective Effects of Metformin Through the Modulation of Neuroinflammation and Oxidative Stress. Cells 2025, 14, 1064. [Google Scholar] [CrossRef] [PubMed]
- Chhunchha, B.; Kubo, E.; Singh, D.P. Obligatory Role of AMPK Activation and Antioxidant Defense Pathway in the Regulatory Effects of Metformin on Cellular Protection and Prevention of Lens Opacity. Cells 2022, 11, 3021. [Google Scholar] [CrossRef]
- Alberti, K.G.; Zimmet, P.Z. Definition, Diagnosis and Classification of Diabetes Mellitus and Its Complications. Part 1: Diagnosis and Classification of Diabetes Mellitus Provisional Report of a WHO Consultation. Diabet. Med. J. Br. Diabet. Assoc. 1998, 15, 539–553. [Google Scholar] [CrossRef]
- Norma, P.M.; Virginia, N.-M.; Ral, R.-H.; Jos, C.E.; Cristbal, N.A. A Microassay for Quantification of 2,2-Diphenyl-1-Picrylhydracyl (DPPH) Free Radical Scavenging. Afr. J. Biochem. Res. 2014, 8, 14–18. [Google Scholar] [CrossRef]
- Miller, N.J.; Rice-Evans, C.; Davies, M.J.; Gopinathan, V.; Milner, A. A Novel Method for Measuring Antioxidant Capacity and Its Application to Monitoring the Antioxidant Status in Premature Neonates. Clin. Sci. 1993, 84, 407–412. [Google Scholar] [CrossRef]
- Benzie, I.F.; Strain, J.J. The Ferric Reducing Ability of Plasma (FRAP) as a Measure of “Antioxidant Power”: The FRAP Assay. Anal. Biochem. 1996, 239, 70–76. [Google Scholar] [CrossRef]
- Chrzczanowicz, J.; Gawron, A.; Zwolinska, A.; de Graft-Johnson, J.; Krajewski, W.; Krol, M.; Markowski, J.; Kostka, T.; Nowak, D. Simple Method for Determining Human Serum 2,2-Diphenyl-1-Picryl-Hydrazyl (DPPH) Radical Scavenging Activity—Possible Application in Clinical Studies on Dietary Antioxidants. Clin. Chem. Lab. Med. 2008, 46, 342–349. [Google Scholar] [CrossRef]
- Kedare, S.B.; Singh, R.P. Genesis and Development of DPPH Method of Antioxidant Assay. J. Food Sci. Technol. 2011, 48, 412–422. [Google Scholar] [CrossRef]
- Gawron-Skarbek, A.; Kontarska-Krauza, M.; Dynowska, B.; Guligowska, A.; Prymont-Przymińska, A.; Nowak, D.; Kostka, T. Salivary and Plasma Native and Non-Urate Total Antioxidant Capacity versus Oral Health Status in Older Non-Smoking Adults. Arch. Oral Biol. 2019, 107, 104515. [Google Scholar] [CrossRef]
- Gheflati, A.; Bashiri, R.; Ghadiri-Anari, A.; Reza, J.Z.; Kord, M.T.; Nadjarzadeh, A. The Effect of Apple Vinegar Consumption on Glycemic Indices, Blood Pressure, Oxidative Stress, and Homocysteine in Patients with Type 2 Diabetes and Dyslipidemia: A Randomized Controlled Clinical Trial. Clin. Nutr. ESPEN 2019, 33, 132–138. [Google Scholar] [CrossRef]
- Janaszewska, A.; Bartosz, G. Assay of Total Antioxidant Capacity: Comparison of Four Methods as Applied to Human Blood Plasma. Scand. J. Clin. Lab. Investig. 2002, 62, 231–236. [Google Scholar] [CrossRef]
- Lee, S.G.; Wang, T.; Vance, T.M.; Hubert, P.; Kim, D.-O.; Koo, S.I.; Chun, O.K. Validation of Analytical Methods for Plasma Total Antioxidant Capacity by Comparing with Urinary 8-Isoprostane Level. J. Microbiol. Biotechnol. 2017, 27, 388–394. [Google Scholar] [CrossRef]
- Erel, O. A Novel Automated Direct Measurement Method for Total Antioxidant Capacity Using a New Generation, More Stable ABTS Radical Cation. Clin. Biochem. 2004, 37, 277–285. [Google Scholar] [CrossRef] [PubMed]
- Lambadiari, V.; Thymis, J.; Kouretas, D.; Skaperda, Z.; Tekos, F.; Kousathana, F.; Kountouri, A.; Balampanis, K.; Parissis, J.; Andreadou, I.; et al. Effects of a 12-Month Treatment with Glucagon-like Peptide-1 Receptor Agonists, Sodium-Glucose Cotransporter-2 Inhibitors, and Their Combination on Oxidant and Antioxidant Biomarkers in Patients with Type 2 Diabetes. Antioxidants 2021, 10, 1379. [Google Scholar] [CrossRef] [PubMed]
- Benzie, I.F.F.; Devaki, M. The Ferric Reducing/Antioxidant Power (FRAP) Assay for Non-Enzymatic Antioxidant Capacity: Concepts, Procedures, Limitations and Applications. In Measurement of Antioxidant Activity & Capacity; John Wiley & Sons, Ltd.: Hoboken, NJ, USA, 2018; pp. 77–106. ISBN 978-1-119-13538-8. [Google Scholar]
- Sheikh, R.; Jannat, T.; Tamanna, S.; Khan, N.I.; Islam, L.N. Evaluation of Antioxidants and Antioxidant Capacity among Bangladeshi Patients with Type 2 Diabetes Mellitus. Baghdad J. Biochem. Appl. Biol. Sci. 2023, 4, 229–244. [Google Scholar] [CrossRef]
- Kidwai, M.Z.; Bindra, M. Assessment of Nitric Oxide and Peroxiredoxin along with Frap in Newly Diagnosed Patients of Type 2 Diabetes Mellitus. Health Sci. Int. J. 2024, 2, 1–12. [Google Scholar] [CrossRef]
- Ustundag, Y.; Huysal, K.; Kahvecioglu, S.; Demirci, H.; Yavuz, S.; Sambel, M.; Unal, D. Establishing Reference Values and Evaluation of an In-House Ferric Reducing Antioxidant Power (FRAP) Colorimetric Assay in Microplates. Eur. Res. J. 2016, 2, 126–131. [Google Scholar] [CrossRef]
- Gawlik, K.; Naskalski, J.W.; Fedak, D.; Pawlica-Gosiewska, D.; Grudzień, U.; Dumnicka, P.; Małecki, M.T.; Solnica, B. Markers of Antioxidant Defense in Patients with Type 2 Diabetes. Oxid. Med. Cell. Longev. 2016, 2016, 2352361. [Google Scholar] [CrossRef] [PubMed]
- Honarmand, M.; Nakhaei, A.R.; Shad, M. Comparison of Total Antioxidant Capacity of Serum in Type 2 Diabetic Patients and Healthy Individuals. SSU_Journals 2014, 21, 742–750. [Google Scholar]
- Mahat, R.K.; Singh, N.; Rathore, V.; Arora, M.; Yadav, T. Cross-Sectional Correlates of Oxidative Stress and Inflammation with Glucose Intolerance in Prediabetes. Diabetes Metab. Syndr. 2019, 13, 616–621. [Google Scholar] [CrossRef] [PubMed]
- Mulla, I.G.; Anjankar, A.; Pratinidhi, S.A.; Lambe, S.D.; Agrawal, S.V. Oxidative Stress in Prediabetic Young Adults. Cureus 2024, 16, e62504. [Google Scholar] [CrossRef]
- Yesupatham, A.; Saraswathy, R. Role of Oxidative Stress in Prediabetes Development. Biochem. Biophys. Rep. 2025, 43, 102069. [Google Scholar] [CrossRef]
- Espinosa-Diez, C.; Miguel, V.; Mennerich, D.; Kietzmann, T.; Sánchez-Pérez, P.; Cadenas, S.; Lamas, S. Antioxidant Responses and Cellular Adjustments to Oxidative Stress. Redox Biol. 2015, 6, 183–197. [Google Scholar] [CrossRef]
- Blagov, A.V.; Summerhill, V.I.; Sukhorukov, V.N.; Zhigmitova, E.B.; Postnov, A.Y.; Orekhov, A.N. Potential Use of Antioxidants for the Treatment of Chronic Inflammatory Diseases. Front. Pharmacol. 2024, 15, 1378335. [Google Scholar] [CrossRef]
- Li, B.; Ming, H.; Qin, S.; Nice, E.C.; Dong, J.; Du, Z.; Huang, C. Redox Regulation: Mechanisms, Biology and Therapeutic Targets in Diseases. Signal Transduct. Target. Ther. 2025, 10, 72. [Google Scholar] [CrossRef]
- Raghunath, A.; Sundarraj, K.; Nagarajan, R.; Arfuso, F.; Bian, J.; Kumar, A.P.; Sethi, G.; Perumal, E. Antioxidant Response Elements: Discovery, Classes, Regulation and Potential Applications. Redox Biol. 2018, 17, 297–314. [Google Scholar] [CrossRef]
- Chukwunonso Obi, B.; Chinwuba Okoye, T.; Okpashi, V.E.; Nonye Igwe, C.; Olisah Alumanah, E. Comparative Study of the Antioxidant Effects of Metformin, Glibenclamide, and Repaglinide in Alloxan-Induced Diabetic Rats. J. Diabetes Res. 2016, 2016, 1635361. [Google Scholar] [CrossRef]
- Choi, S.W.; Ho, C.K. Antioxidant Properties of Drugs Used in Type 2 Diabetes Management: Could They Contribute to, Confound or Conceal Effects of Antioxidant Therapy? Redox Rep. Commun. Free Radic. Res. 2018, 23, 1–24. [Google Scholar] [CrossRef] [PubMed]
- Sáez, G.T.; Tormos, C.; Giner, V.; Chaves, J.; Lozano, J.V.; Iradi, A.; Redón, J. Factors Related to the Impact of Antihypertensive Treatment in Antioxidant Activities and Oxidative Stress Byproducts in Human Hypertension. Am. J. Hypertens. 2004, 17, 809–816. [Google Scholar] [CrossRef]
- Sorriento, D.; De Luca, N.; Trimarco, B.; Iaccarino, G. The Antioxidant Therapy: New Insights in the Treatment of Hypertension. Front. Physiol. 2018, 9, 258. [Google Scholar] [CrossRef]
- Chandran, G.; Sirajudeen, K.N.S.; Yusoff, N.S.N.; Swamy, M.; Samarendra, M.S. Effect of the Antihypertensive Drug Enalapril on Oxidative Stress Markers and Antioxidant Enzymes in Kidney of Spontaneously Hypertensive Rat. Oxid. Med. Cell. Longev. 2014, 2014, 608512. [Google Scholar] [CrossRef]
- Pfeiffer, A.F.H.; Pedersen, E.; Schwab, U.; Risérus, U.; Aas, A.-M.; Uusitupa, M.; Thanopoulou, A.; Kendall, C.; Sievenpiper, J.L.; Kahleová, H.; et al. The Effects of Different Quantities and Qualities of Protein Intake in People with Diabetes Mellitus. Nutrients 2020, 12, 365. [Google Scholar] [CrossRef] [PubMed]
- Neuenschwander, M.; Barbaresko, J.; Pischke, C.R.; Iser, N.; Beckhaus, J.; Schwingshackl, L.; Schlesinger, S. Intake of Dietary Fats and Fatty Acids and the Incidence of Type 2 Diabetes: A Systematic Review and Dose-Response Meta-Analysis of Prospective Observational Studies. PLoS Med. 2020, 17, e1003347. [Google Scholar] [CrossRef]
- Snorgaard, O.; Poulsen, G.M.; Andersen, H.K.; Astrup, A. Systematic Review and Meta-Analysis of Dietary Carbohydrate Restriction in Patients with Type 2 Diabetes. BMJ Open Diabetes Res. Care 2017, 5, e000354. [Google Scholar] [CrossRef]
- Rychlik, E.; Stoś, K.; Kunachowicz, H.; Chwojnowska, Z.; Charzewska, J.; Szponar, L.; Pachocka, L.; Wajszczyk, B.; Pietraś, E.; Woźniak, A.; et al. (Eds.) Nutrition Standards for the Polish Population [Normy Żywienia Dla Populacji Polski]; Narodowy Instytut Zdrowia Publicznego PZH—Państwowy Instytut Badawczy: Warszawa, Poland, 2024; ISBN 978-83-65870-78-0. [Google Scholar]
- Song, Q.; Zhou, Y.; Yang, Y.; Wei, Y.; Sheng, L.; Xu, F. Risk Factors for Osteoporosis in the Elderly and Predictive Value of Age, Body Mass Index, and Visceral Fat Area. Nutr. Res. Pract. 2025, 19, 375–385. [Google Scholar] [CrossRef]
- Chapman, L.E.; Darling, A.L.; Brown, J.E. Association between Metformin and Vitamin B12 Deficiency in Patients with Type 2 Diabetes: A Systematic Review and Meta-Analysis. Diabetes Metab. 2016, 42, 316–327. [Google Scholar] [CrossRef]
- Anaya-Morua, W.; Villafan-Bernal, J.R.; Ramírez-Moreno, E.; García-Ortiz, H.; Martínez-Portilla, R.J.; Contreras-Cubas, C.; Martínez-Hernández, A.; Centeno-Cruz, F.; Pedroza-Montoya, F.E.; Orozco, L.; et al. Total Antioxidant Capacity in Obese and Non-Obese Subjects and Its Association with Anthropo-Metabolic Markers: Systematic Review and Meta-Analysis. Antioxidants 2023, 12, 1512. [Google Scholar] [CrossRef]
- Balkan, J.; Doğru-Abbasoğlu, S.; Aykaç-Toker, G.; Uysal, M. The Effect of a High Cholesterol Diet on Lipids and Oxidative Stress in Plasma, Liver and Aorta of Rabbits and Rats. Nutr. Res. 2004, 24, 229–234. [Google Scholar] [CrossRef]
- Shabalala, S.C.; Johnson, R.; Basson, A.K.; Ziqubu, K.; Hlengwa, N.; Mthembu, S.X.H.; Mabhida, S.E.; Mazibuko-Mbeje, S.E.; Hanser, S.; Cirilli, I.; et al. Detrimental Effects of Lipid Peroxidation in Type 2 Diabetes: Exploring the Neutralizing Influence of Antioxidants. Antioxidants 2022, 11, 2071. [Google Scholar] [CrossRef]
- Semenovich, D.S.; Plotnikov, E.Y.; Titko, O.V.; Lukiyenko, E.P.; Kanunnikova, N.P. Effects of Panthenol and N-Acetylcysteine on Changes in the Redox State of Brain Mitochondria under Oxidative Stress In Vitro. Antioxidants 2021, 10, 1699. [Google Scholar] [CrossRef]
- Kieliszek, M. Selenium–Fascinating Microelement, Properties and Sources in Food. Molecules 2019, 24, 1298. [Google Scholar] [CrossRef]
- Bourdon, E.; Blache, D. The Importance of Proteins in Defense against Oxidation. Antioxid. Redox Signal. 2001, 3, 293–311. [Google Scholar] [CrossRef]
- Guéraud, F.; Taché, S.; Steghens, J.-P.; Milkovic, L.; Borovic-Sunjic, S.; Zarkovic, N.; Gaultier, E.; Naud, N.; Héliès-Toussaint, C.; Pierre, F.; et al. Dietary Polyunsaturated Fatty Acids and Heme Iron Induce Oxidative Stress Biomarkers and a Cancer Promoting Environment in the Colon of Rats. Free Radic. Biol. Med. 2015, 83, 192–200. [Google Scholar] [CrossRef] [PubMed]
- Zaloga, G.P. Narrative Review of N-3 Polyunsaturated Fatty Acid Supplementation upon Immune Functions, Resolution Molecules and Lipid Peroxidation. Nutrients 2021, 13, 662. [Google Scholar] [CrossRef] [PubMed]
- Wahl, P.; Xie, H.; Scialla, J.; Anderson, C.A.M.; Bellovich, K.; Brecklin, C.; Chen, J.; Feldman, H.; Gutierrez, O.M.; Lash, J.; et al. Earlier Onset and Greater Severity of Disordered Mineral Metabolism in Diabetic Patients with Chronic Kidney Disease. Diabetes Care 2012, 35, 994–1001. [Google Scholar] [CrossRef] [PubMed]
- Norbitt, C.F.; Kimita, W.; Ko, J.; Bharmal, S.H.; Petrov, M.S. Associations of Habitual Mineral Intake with New-Onset Prediabetes/Diabetes after Acute Pancreatitis. Nutrients 2021, 13, 3978. [Google Scholar] [CrossRef]
- Wongdee, K.; Krishnamra, N.; Charoenphandhu, N. Derangement of Calcium Metabolism in Diabetes Mellitus: Negative Outcome from the Synergy between Impaired Bone Turnover and Intestinal Calcium Absorption. J. Physiol. Sci. JPS 2017, 67, 71–81. [Google Scholar] [CrossRef] [PubMed]
- Wang, S.; Bai, H.; Liu, T.; Yang, J.; Wang, Z. Optimization of Concentrations of Different N-3PUFAs on Antioxidant Capacity in Mouse Hepatocytes. Lipids Health Dis. 2024, 23, 214. [Google Scholar] [CrossRef] [PubMed]

| Characteristics | T2DM Group (T2DMG) n = 19 | Prediabetes Group (PDG) n = 12 | Control Group (CG) n = 18 | p-Value |
|---|---|---|---|---|
| Gender n (%) | 0.6480 | |||
| Female | 17 (89) | 9 (75) | 15 (78) | |
| Male | 2 (11) | 3 (25) | 4 (22) | |
| Age (years) | 65.00 (61; 69.50) a 64.11 ± 7.33 | 63.50 (59.75; 65.75) a 63.25 ± 4.33 | 68.00 (63.50; 71) a 66.47 ± 4.95 | 0.1600 |
| Body weight (kg) | 82.00 (78.00; 91.00) b 83.47 ± 11.36 | 76.50 (65.03; 82.50) b 79.75 ± 23.03 | 63.00 (57.25; 70.00) a 63.97 ± 9.15 | <0.0001 |
| Height (m) | 1.65 (1.60; 1.70) a 1.65 ± 0.07 | 1.62 (1.60; 1.69) a 1.64 ± 0.06 | 1.71 (1.69; 1.77) b 1.73 ± 0.10 | 0.0054 |
| BMI (kg/m2) | 30.10 (28; 34.15) b 30.65 ± 4.07 | 29.04 (25.35; 31.67) b 29.49 ± 6.74 | 21.60 (19.59; 23.02) a 21.37 ± 2.28 | <0.0001 |
| Place of residence n (%) | 0.0004 | |||
| City | 9 | 7 | 18 | |
| Village | 10 | 5 | 0 | |
| Fasting glucose (mg/dl) | 132.00 (123.50; 161.50) 145.10 ± 32.00 | 113.50 (103.75; 120.5) 116.70 ± 17.40 | – – | 0.0021 |
| HbA1c (%) | 6.29 (5.95; 7.42) 6.77 ± 1.13 | 5.58 (5.24; 5.83) 5.69 ± 0.61 | – – | 0.0013 |
| Number of taken medications and supplements n (%) | 0.0090 | |||
| 0 | 0 (0) | 1 (8.30) | 4 (22.22) | |
| (1–2] | 6 (31.60) | 4 (33.30) | 12 (66.67) | |
| (2–4] | 7 (36.80) | 4 (33.30) | 2 (11.11) | |
| (4–6] | 4 (21.05) | 1 (8.33) | 0 (0) | |
| (6–9] | 2 (10.50) | 2 (16.70) | 0 (0) | |
| Smoking cigarettes | 0.5579 | |||
| Yes | 3 | 3 | 3 | |
| No | 16 | 9 | 16 | |
| Alcohol consumption | 0.1987 | |||
| Once a week | 2 (10.53) | 3 (25.00) | 2 (11.11) | |
| 1–3 times a month | 4 (21.05) | 2 (16.67) | 9 (50.00) | |
| No | 13 (68.42) | 7 (58.33) | 7 (38.89) | |
| Physical activity | 0.4710 | |||
| No exercise | 3 (15.79) | 5 (44.67) | 8 (44.44) | |
| Low (<150 min per week of moderate intensity) | 7 (36.84) | 4 (33.33) | 3 (16.67) | |
| Moderate (150–300 min per week of moderate intensity) | 5 (26.32) | 2 (16.67) | 3 (16.67) | |
| High (>300 min per week of moderate intensity) | 4 (21.05) | 1 (8.33) | 4 (22.22) |
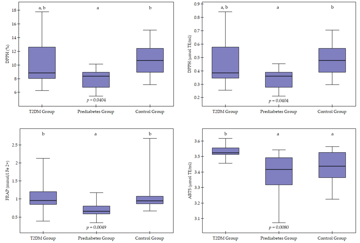
| Parameter | T2DM Group (T2DMG) n = 19 | Prediabetes Group (PDG) n = 12 | Control Group (CG) n = 19 | p-Value | η2 (Effect Size) |
|---|---|---|---|---|---|
| DPPH (%) | 8.82 (8.04; 12.60) a, b 10.41 ± 3.57 | 8.35 (6.73; 8.94) a 7.99 ± 1.65 | 10.65 (8.93; 12.43) b 10.78 ± 2.46 | 0.0404 | 0.14 |
| (95% CI) | (8.69–12.13) | (6.94–9.04) | (9.60–11.96) | ||
| DPPH (µmol TE/mL) | 0.39 (0.34; 0.58) a, b 0.47 ± 0.18 | 0.36 (0.28; 0.39) a 0.34 ± 0.08 | 0.48 (0.39; 0.57) b 0.49 ± 0.13 | 0.0404 | 0.15 |
| (95% CI) | (0.38–0.56) | (0.29–0.39) | (0.43–0.55) | ||
| ABTS (µmol TE/mL) | 3.52 (3.51; 3.6) b 3.53 ± 0.05 | 3.42 (3.32; 3.49) a 3.38 ± 0.16 | 3.44 (3.36; 3.53) a 3.43 ± 0.11 | 0.0080 | 0.24 |
| (95% CI) | (3.51–3.55) | (3.28–3.48) | (3.38–3.48) | ||
| FRAP (mmol/L Fe 2+) | 0.96 (0.85; 1.21) b 1.06 ± 0.43 | 0.66 (0.59; 0.80) a 0.71 ± 0.22 | 0.95 (0.87; 1.08) b 1.06 ± 0.43 | 0.0049 | 0.13 |
| (95% CI) | ((0.85–1.27) | (0.57–0.85) | (0.85–1.27) |
| Nutrients | T2DM Group (T2DMG) n = 19 | Prediabetes Group (PDG) n = 12 | Control Group (CG) n = 19 | p-Value |
|---|---|---|---|---|
| Calories (kcal/d) | 1589.00 (1495.00; 1710.00) a 1625.26 ± 182.38 | 1889.50 (1599.75; 1996.00) a 1856.92 ± 297.32 | 1861.00 (1508.50; 2074.00) a 1866.16 ± 453.46 | 0.0625 |
| Proteins (%) | 22.20 (20.30; 23.70) b 21.73 ± 3.16 | 17.60 (16.30; 20.10) b 18.45 ± 2.70 | 14.60 (12.80; 16.20) a 14.56 ± 2.39 | <0.0001 |
| Fats (%) | 31.00 (25.40; 34.45) a 31.95 ± 7.45 | 31.25 (28.65; 37.68) a 32.07 ± 9.00 | 35.40 (29.78; 37.40) a 34.36 ± 9.65 | 0.4338 |
| Carbohydrates (%) | 48.00 (44.30; 51.90) a 46.32 ± 7.84 | 51.30 (44.88; 54.15) a 49.49 ± 8.34 | 50.10 (47.80; 56.35) a 51.05 ± 10.12 | 0.2758 |
| Proteins (g) | 91.49 (76.82; 103.46) b 90.36 ± 16.15 | 82.13 (70.87; 105) a, b 87.02 ± 20.09 | 62.53 (54.81; 83.85) a 68.93 ± 23.12 | 0.0038 |
| Animal protein (g) | 46.46 (32.46; 61.97) a 45.62 ± 20.98 | 22.65 (16.28; 42.71) a 28.96 ± 20.79 | 39.98 (30.26; 58.06) a 42.68 ± 17.92 | 0.0822 |
| Plant protein (g) | 11.75 (10.22; 15.34) a 12.78 ± 3.64 | 14.57 (10.23; 16.51) a 14.57 ± 5.97 | 23.40 (21.42; 29.54) b 26.30 ± 9.41 | <0.0001 |
| Fats (g) | 58.84 (48.12; 64.41) a 59.00 ± 13.93 | 69.66 (53.57; 80.40) a 67.41 ± 21.17 | 67.90 (59.29; 78.58) a 72.75 ± 32.29 | 0.1383 |
| Saturated fatty acids (g) | 17.74 (13.42; 19.51) a 17.62 ± 5.11 | 24.24 (18.28; 28.34) a, b 23.16 ± 7.47 | 26.14 (18.16; 32.14) b 26.03 ± 10.20 | 0.0066 |
| Monounsaturated fatty acids (g) | 14.20 (11.15; 21.12) a 15.79 ± 7.23 | 13.49 (10.74; 18.91) a 13.80 ± 6.50 | 25.99 (20.99; 35.66) b 30.33 ± 16.46 | 0.0001 |
| Polyunsaturated fatty acids (g) | 4.76 (3.46; 5.38) a 4.70 ± 1.99 | 4.02 (2.58; 6.36) a 4.63 ± 2.70 | 9.40 (6.84; 12.7) b 11.49 ± 7.90 | <0.0001 |
| Omega-3 (g) | 0.66 (0.41;0.99) a 0.72 ± 0.36 | 0.63 (0.24; 1.50) a, b 0.98 ± 0.98 | 1.27 (0.85; 1.82) b 1.70 ± 1.54 | 0.0070 |
| Omega-6 (g) | 2.84 (2.31; 3.53) a 2.93 ± 1.08 | 1.69 (1.25; 3.16) a 2.25 ± 1.43 | 6.66 (4.71; 8.01) b 7.96 ± 6.34 | <0.0001 |
| Cholesterol (mg) | 159.30 (125.52; 191.95) a 154.09 ± 51.31 | 153.95 (71.64; 211.69) a 161.14 ± 111.88 | 238.20 (174.83; 318.59) b 268.83 ± 141.00 | 0.0075 |
| Carbohydrates (g) | 195.15 (175.99; 211.99) a 192.91 ± 37.98 | 227.36 (205.89; 243.63) a, b 229.72 ± 44.66 | 233.45 (213.23; 274.51) b 249.54 ± 65.73 | 0.0033 |
| Sugars (g) | 33.29 (26.07; 39.23) a 33.10 ± 11.60 | 66.70 (47.6; 78.48) b 62.83 ± 28.56 | 49.77 (36.01; 65.67) b 50.39 ± 22.79 | 0.0032 |
| Fibre (g) | 19.70 (15.04; 25.72) a 20.36 ± 7.06 | 16.48 (15.10; 17.89) a 16.95 ± 4.38 | 18.03 (12.95; 22.37) a 17.78 ± 6.27 | 0.4090 |
| Vitamin A (mg) | 0.83 (0.43; 1.16) a 0.93 ± 0.72 | 0.77 (0.60; 0.92) a 0.84 ± 0.49 | 0.83 (0.47; 1,16) a 0.92 ± 0.67 | 0.9874 |
| Vitamin B1 (mg) | 0.62 (0.53; 0.86) a 0.78 ± 0.42 | 0.68 (0.46; 0.95) a 0.78 ± 0.41 | 0.78 (0.70; 0.91) a 0.91 ± 0.40 | 0.2353 |
| Vitamin B2 (mg) | 0.93 (0.70; 1.12) a 0.94 ± 0.30 | 0.99 (0.74;1.28) a, b 1.04 ± 0.48 | 1.28 (1.09; 1.5) b 1.38 ± 0.52 | 0.0103 |
| Vitamin B5 (mg) | 0.50 (0.27; 0.64) b 0.48 ± 0.26 | 0.21 (0.12; 0.68) b 0.56 ± 0.75 | 0 (0; 0.03) a 0.11 ± 0.25 | <0.0001 |
| Vitamin B6 (mg) | 1.91 (1.69; 2.34) a 2.03 ± 0.62 | 1.22 (1.06; 1.88) a 1.48 ± 0.70 | 1.37 (1.23; 1.84) a 1.57 ± 0.71 | 0.0270 |
| Vitamin B12 (μg) | 1.37 (0.87; 1.86) a 1.75 ± 1.70 | 2.07 (1.17; 3.08) a, b 3.30 ± 4.23 | 2.75 (1.78; 3.26) b 2.85 ± 1.36 | 0.0099 |
| Folic acid (mg) | 0.24 (0.19; 0.29) a 0.24 ± 0.07 | 0.18 (0.13; 0.25) a 0.24 ± 0.22 | 0.26 (0.20; 0.29) a 0.28 ± 0.13 | 0.1430 |
| Vitamin C (mg) | 147.92 (114.13; 203.01) b 171.91 ± 96.73 | 120.18 (67.56; 156.80) a, b 129.66 ± 105.40 | 84.47 (43.69; 97.87) a 84.95 ± 57.90 | 0.0039 |
| Vitamin D (μg) | 0.58 (0.50; 1.34) a 1.84 ± 4.60 | 1.34 (0.63; 2.06) a, b 3.62 ± 6.41 | 1.35 (0.99; 1.94) b 1.79 ± 1.89 | 0.0301 |
| Vitamin E (mg) | 7.90 (6.19; 9.23) a 7.91 ± 2.58 | 6.43 (4.13; 7.78) a 6.78 ± 3.84 | 8.60 (7.64; 12.36) a 9.80 ± 4.93 | 0.0923 |
| Niacin (mg) | 17.48 (10.52; 18.52) a 15.59 ± 6.92 | 9.99 (5.40; 16.54) a 10.64 ± 6.22 | 12.22 (10.79; 19.73) a 14.97 ± 6.85 | 0.0940 |
| Zinc (mg) | 5.41 (4.22; 6.07) a 5.43 ± 2.08 | 6.25 (4.84; 7.61) a, b 6.21 ± 2.93 | 8.11 (6.22; 9.71) b 8.48 ± 2.87 | 0.0014 |
| Phosphorus (mg) | 649.27 (563.53; 770.75) a 649.83 ± 179.91 | 766.64 (523.91; 900.42) a 723.18 ± 378.45 | 1062.65 (912.25; 1382.38) b 1129.88 ± 347.94 | 0.0001 |
| Magnesium (mg) | 207.82 (159.40; 237.25) a, b 205.34 ± 65.39 | 165.95 (145.40; 186.18) a 172.53 ± 60.14 | 265.05 (216.46; 337.67) b 269.62 ± 91.34 | 0.0033 |
| Copper (mg) | 0.76 (0.66; 0.85) a, b 0.77 ± 0.22 | 0.64 (0.51; 0.75) a 0.64 ± 0.26 | 0.99 (0.80; 1.19) b 0.98 ± 0.33 | 0.0066 |
| Potassium (mg) | 2809.01 (2562.68; 3182.80) a 2895.48 ± 513.58 | 2146.09 (1677.93; 2702.03) a 2257.37 ± 874.09 | 2489.97 (2184.23; 2938.50) a 2620.84 ± 853.64 | 0.0580 |
| Selenium (μg) | 7.07 (2.18; 8.04) b 6.16 ± 4.60 | 2.69 (0.87; 8.82) b 7.40 ± 9.54 | 0 (0; 1.36) a 1.56 ± 2.92 | 0.0001 |
| Sodium (mg) | 1095.10 (633.61; 1312.86) a 1488.56 ± 1623.37 | 1064.11 (756.43; 1511.96) a 1169.68 ± 631.91 | 1769.47 (1465.59; 2013.60) b 2153.24 ± 1479.31 | 0.0016 |
| Calcium (mg) | 385.38 (308.21; 453.87) a 389.05 ± 178.00 | 544.99 (143.63; 819.9) a, b 533.63 ± 388.52 | 747.55 (474.91; 888.88) b 724.85 ± 267.74 | 0.0025 |
| Iron (mg) | 6.46 (5.76; 8.81) a 6.79 ± 1.70 | 5.70 (4.28; 7.7) a 6.01 ± 2.15 | 9.60 (7.51; 11.99) b 10.20 ± 3.78 | 0.0005 |
| Parameter | r Spearman | Two-Sided p-Value | q-Values (FDR) |
|---|---|---|---|
| DPPH (%) vs. Body weight (kg) | −0.40 | 0.0095 | N/A |
| DPPH (%) vs. BMI (kg/m2) | −0.33 | 0.0381 | N/A |
| DPPH (%) vs. Cholesterol (g) | −0.40 | 0.0261 | 0.3332 |
| DPPH (µmol TE/mL) vs. Body weight (kg) | −0.40 | 0.0095 | N/A |
| DPPH (µmol TE/mL) vs. BMI (kg/m2) | −0.33 | 0.0381 | N/A |
| DPPH (µmol TE/mL) vs. Cholesterol (g) | −0.40 | 0.0261 | 0.3332 |
| ABTS (µmol TE/mL) vs. Vitamin B5 (μg) | 0.53 | 0.0004 | 0.0135 |
| ABTS (µmol TE/mL) vs. Selenium (μg) | 0.38 | 0.0153 | 0.0601 |
| ABTS (µmol TE/mL) vs. Protein (%) | 0.34 | 0.0305 | 0.0807 |
| ABTS (µmol TE/mL) vs. Omega-3 (g) | −0.37 | 0.0163 | 0.0601 |
| ABTS (µmol TE/mL) vs. Omega-6 (g) | −0.44 | 0.0042 | 0.0220 |
| ABTS (µmol TE/mL) vs. Monounsaturated fatty acids (g) | −0.35 | 0.0229 | 0.0736 |
| ABTS (µmol TE/mL) vs. Polyunsaturated fatty acids (g) | −0.35 | 0.0239 | 0.0736 |
| ABTS (µmol TE/mL) vs. Phosphorus (mg) | −0.50 | 0.0009 | 0.0328 |
| ABTS (µmol TE/mL) vs. Calcium (mg) | −0.46 | 0.0024 | 0.0176 |
| ABTS (µmol TE/mL) vs. Zinc (mg) | −0.49 | 0.0012 | 0.0138 |
| FRAP (mmol/l Fe2+) vs. Omega-3 (g) | −0.35 | 0.0130 | 0.3657 |
| FRAP (mmol/l Fe2+) vs. Omega-6 (g) | −0.33 | 0.0198 | 0.3657 |
Disclaimer/Publisher’s Note: The statements, opinions and data contained in all publications are solely those of the individual author(s) and contributor(s) and not of MDPI and/or the editor(s). MDPI and/or the editor(s) disclaim responsibility for any injury to people or property resulting from any ideas, methods, instructions or products referred to in the content. |
© 2025 by the authors. Licensee MDPI, Basel, Switzerland. This article is an open access article distributed under the terms and conditions of the Creative Commons Attribution (CC BY) license (https://creativecommons.org/licenses/by/4.0/).
Share and Cite
Banaszak, M.; Kosewski, G.; Górna, I.; Drzymała-Czyż, S. Evaluation of Serum Antioxidant Activity in Type 2 Diabetes and Prediabetes: Links with Nutritional and Anthropometric Factors—Preliminary Studies. Curr. Issues Mol. Biol. 2025, 47, 1017. https://doi.org/10.3390/cimb47121017
Banaszak M, Kosewski G, Górna I, Drzymała-Czyż S. Evaluation of Serum Antioxidant Activity in Type 2 Diabetes and Prediabetes: Links with Nutritional and Anthropometric Factors—Preliminary Studies. Current Issues in Molecular Biology. 2025; 47(12):1017. https://doi.org/10.3390/cimb47121017
Chicago/Turabian StyleBanaszak, Michalina, Grzegorz Kosewski, Ilona Górna, and Sławomira Drzymała-Czyż. 2025. "Evaluation of Serum Antioxidant Activity in Type 2 Diabetes and Prediabetes: Links with Nutritional and Anthropometric Factors—Preliminary Studies" Current Issues in Molecular Biology 47, no. 12: 1017. https://doi.org/10.3390/cimb47121017
APA StyleBanaszak, M., Kosewski, G., Górna, I., & Drzymała-Czyż, S. (2025). Evaluation of Serum Antioxidant Activity in Type 2 Diabetes and Prediabetes: Links with Nutritional and Anthropometric Factors—Preliminary Studies. Current Issues in Molecular Biology, 47(12), 1017. https://doi.org/10.3390/cimb47121017

