Abstract
A series of naphthopyran derivatives 3a–f were prepared. Reaction of 2-amino-4-(p-chlorophenyl)-7-methoxy-4H-naphtho[2,1-b]pyran-3-carbonitrile (3b) with Ac2O afforded two products, 2-acetylamino-7-methoxy-4-(p-chlorophenyl)-4H-naphtho-[2,1-b]pyran-3-carbonitrile (4) and 10,11-dihydro-3-methoxy-9-methyl-12-(p-chloro-phenyl)-12H-naphtho[2,1-b]pyran[2,3-d]pyrimidine-11-one (5) and treatment of 3b with benzoyl chloride gave the pyranopyrimidin-11-one derivative 6. While treatment of 3b with formamide afforded 11-amino-3-methoxy-12-(p-chlorophenyl)-12H-naphtho[2,1-b]pyrano[2,3-d]pyrimidine (7). Reaction of 3b with triethyl orthoformate gave the corresponding 2-ethoxymethyleneamino-7-methoxy-4-(p-chlorophenyl)-4H-naphtho-[2,1-b]pyran-3-carbonitrile (8). Hydrazinolysis of 8 in EtOH at room temperature yielded 10-amino-10,11-dihydro-11-imino-3-methoxy-12-(p-chlorophenyl)-12H-naphtho[2,1-b]pyrano-[2,3-d]pyrimidine (9), while aminolysis of 8 with methylamine or dimethylamine gave the corresponding pyranopyrimidine and N,N-dimethylaminomethylene derivatives 10 and 11. Condensation of 9 with some carboxylic acid derivatives afforded triazolopyrimidine derivatives 12–16, while reaction of 9 with benzaldehyde gave 10-benzalamino-10,11-dihydro-11-imino-3-methoxy-12-(p-chlorophenyl)12H-naphtho[2,1-b]pyrano[2,3-d]pyrimidine (17). The structures of the newly synthesized compounds were confirmed by spectral data. The synthesized compounds were also screened for their antimicrobial activity.
1. Introduction
Pyran and fused 4H-pyran derivatives have attracted a great deal of interest owing to their antimicrobial activity [1,2,3,4,5], inhibition of influenza, virus sialidases [6], mutagenic activity [7], activity as antiviral [8] and antiproliferation agents [9], sex-pheromones [10], antitumor [11] and anti-inflammatory agents [12]. Moreover, pyran derivatives are well known for their antihistaminic activity [13]. Also pyrimdines are an important class of compounds and have widespread applications from pharmaceuticals to materials [14], with activities such as Tie-2 kinase inhibitors [15], HIV-1 inhibitor [16], anti-malarial [17], adenosine A1 receptor antagonism [18], anticancer [19], analgesic [20], cardiovascular [21] and antiallergic activities [22]. In view of the important biological properties of the pyran and pyrimidine derivatives as medicinal agents, we report here the synthesis and antimicrobial activities of new naphthopyrano, naphthopyranopyrimidine and naphthopyranotriazolopyrimidine derivatives.
2. Results and Discussion
Condensation of 6-methoxy-2-naphthol (1) with substituted 4-halobenzylidenmalononitriles 2a–c and/or ethyl 4-halobenzylidenmalonates 2d–f afforded the corresponding 2-amino-4-(p-halophenyl)-7-methoxy-4H-naphtho[2,1-b]pyran-3-carbonitriles 3a–c and ethyl-2-amino-4-(p-halophenyl)-7-methoxy-4H-naphtho[2,1-b]pyran-3-carboxylates 3d–f, respectively [23,24] (Scheme 1).
Scheme 1.
Synthesis of naphthopyran derivatives 3a–f.
Scheme 1.
Synthesis of naphthopyran derivatives 3a–f.

The structure of compounds 3a–f were established by spectral data. The IR spectrum of compounds 3a–f showed absorptions at 3,466–3,350, 3,346–3,314 cm−1 (NH2), 3,192–3,000 cm−1 (CH-aromatic), 2,950–2,900 (CH-aliphatic), 2,200–2,192 cm−1 (C≡N), 1,682–1,670 cm−1 (C=O). The 1H-NMR of compounds 3a–f showed chemical shifts δH at 3.75–3.78 (s, 3H, OCH3), 5.27–5.530 (s, 1H, pyran CH), 6.98–7.21 (br, 2H, NH2, exchangeable by D2O) while the 13C-NMR of compound 3b showed δC at 56.5 (OCH3), 28.4 (C-4), 117.1 (C≡N) and compound 3e showed chemical shifts δC at 13.1 (CH3-ester), 28.4 (C-4), 56.5 (OCH3), 62.5 (CH2-ester) and 172.2 (CO).
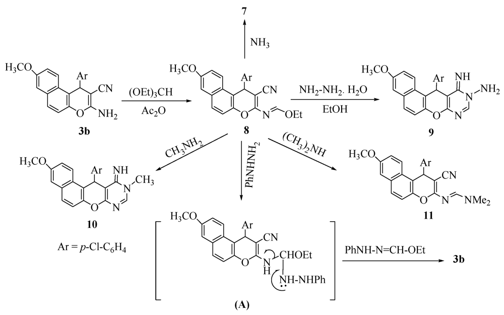
Treatment of 3b with Ac2O gave two products, depending on the reaction time; one product was identified as 2-acetylamino-7-methoxy-4-(p-chlorophenyl)-4H-naphtho[2,1-b]pyran-3-carbonitrile (4, 1/2 hour), while the other was identified as 10,11-dihydro-3-methoxy-9-methyl-12-(p-chlorophenyl)-12H-naphtho[2,1-b]pyrano-[2,3-d]pyrimidine-11-one (5, 3 hours). Support for structure 5 was obtained by its independent synthesis by the reaction of 3e with CH3CN in the presence of dry HCl gas [25]. Reaction of 3b with benzoyl chloride gave the pyranopyrimidin-11-one derivative 6, while with formamide afforded 11-amino-3-methoxy-12-(p-chlorophenyl)-12H-naphtho[2,1-b]pyrano[2,3-d]pyrimidine 7 (Scheme 2).
Scheme 2.
Synthesis of naphthopyran and naphthopyranpyrimidine derivatives 4–7.
Scheme 2.
Synthesis of naphthopyran and naphthopyranpyrimidine derivatives 4–7.

The structure of compounds 4–7 were established from their spectral data. The IR spectrum of compound 4 showed absorptions at 3,400 (NH), 2,202 cm−1 (CN), 1,612 cm−1 (C=O), while compound 5 showed absorptions at 3,464 (NH), 1,650 cm−1 (C=O) and compound 7 showed υ at 3,458, 3,380 (NH2). The 1H-NMR of compounds 4–7 showed chemical shifts δH at 3.78–3.82 (s, 3H, OCH3), 5.66–5.70 (s, 1H, pyran CH). The mass spectra of compounds 6 and 7 provided additional evidence for the proposed structures.
Reaction of 3b with triethyl orthoformate gave the corresponding 2-ethoxymetheneamino derivative 8. Hydrazinolysis of 8 in EtOH at room temperature yielded 10-amino-10,11-dihydro-11-imino-3-methoxy-12-(p-chlorophenyl)-12H-naphtho[2,1-b]pyrano[2,3-d]pyrimidine (9). During treatment of 8 with phenylhydrazine, an nonisolable addition product A was formed first, followed by elimination of the nonisolable ethyl formatephenylhydrazone to give the enaminonitrile 3b. Ammonolysis of 8 in MeOH at room temperature afforded compound 7 and aminolysis of 8 with methylamine and/or dimethylamine gave the corresponding 10-methyl-pyranopyrimidine and N,N-dimethylamino-methylene derivatives 10 and 11, respectively (Scheme 3).
The structure of compounds 8–11 were established from their spectral data. The IR spectrum of compound 8 showed absorptions at 2,203 cm−1 (C≡N), while compound 9 showed υ at 3,316, 3,270 (NH2), 3,209 cm−1 (NH) and compound 11 showed an absorption at 2,204 cm−1 (C≡N). The 1H-NMR of compounds 8–11 showed chemical shifts δH at 3.77–3.80 (s, 3H, OCH3) and 5.29–5.58 (s, 1H, pyran CH).
Scheme 3.
Reaction of 3b with triethyl orthoformate and of ammionium derivatives.
Scheme 3.
Reaction of 3b with triethyl orthoformate and of ammionium derivatives.

Reaction of 9 with formic acid or triethyl orthoformate, acetylchloride and benzoyl chloride afforded the corresponding triazolopyrimidine derivatives 12–14, while cyclocondensation of 9 with ethyl cyanoacetate gave the corresponding 2-cyanomethyl derivative 15. Treatment of 9 with ethyl chloroformate in dry benzene affored traizolo-2-one derivative 16. Reaction of 9 with benzaldehyde gave 10-benzalamino-10,11-dihydro-11-imino-3-methoxy-12-(p-chlorophenyl)-12H-naphtho-[2,1-b]-pyrano[2,3-d]pyrimidine (17) instead of the expected triazolopyrimidine derivative 14 (Scheme 4).
Scheme 4.
Synthesis of naphthopyrantriazolopyridimide derivatives 12–17.
Scheme 4.
Synthesis of naphthopyrantriazolopyridimide derivatives 12–17.

The structure of compounds 12–17 were established from their spectral data. The IR spectrum of compound 15 showed an absorption at 2,200 cm−1 (C≡N), compound 16 showed absorptions at 3,200 cm−1 (NH) and 1,638 cm−1 (C=O), while compound 17 showed absorptions at 3,261 cm−1 (NH), and 1,621 cm−1 (C=N). The 1H-NMR of compounds 12–17 showed chemical shifts δH at 3.78–3.80 (s, 3H, OCH3), 526–5.66 (s, 1H, pyran CH), 8.63–9.64 (s, 1H, pyrimidine CH).
The antimicrobial activity of the newly synthesized compounds 3–17 was evaluated against the bacterial strains Staphylococcus aureus (NCTC-7447), Bacillus cereus (ATCC-14579), Escherichia coli (NCTC-10410), Serratia marcescens (IMRU-70) and the fungal strains Aspergillus fumigatus (MTCC-3008), and Candida albicans (MTCC-227) by the disk diffusion method [26,27]. Ampicillin and ketoconazole were used as standard drugs for the bacteria and fungi, respectively. Preliminary screening of the naphthopyran derivatives and standard drugs was performed at fixed concentrations of 500 μg/mL. Inhibition was recorded by measuring the diameter of the inhibition zone at the end of 24 hours for bacteria and 72 hours for fungi. Each experiment was repeated twice. Based on the results of zone of inhibition, the minimum inhibitory concentration (MIC) of compounds 3–17 against all bacterial and fungal strains was determined by the liquid dilution method. Stock solutions of the tested compounds with 500, 250, 200, 100, 50, 25, 12.5, and 6.25 μg/mL concentrations were prepared with DMSO as solvent. The solutions of standard drugs, ampicillin and ketoconazole, were prepared in the same concentrations. The minimum inhibitory concentration at which no growth was observed was taken as the MIC value (Table 1). The comparison of the MICs (μg/mL) of potent compounds and standard drugs against tested strains are presented in Table 1. Investigation of the antibacterial screening data showed that some of the compounds were active against all four pathogenic bacteria. Ethyl 2-amino-4-(p-chlorophenyl)naphthopyrane-3-carboxylate (3e), triazolopyrimidine derivative 12, 2-methyl-triazolopyrimidine derivative 13, 2-phenyl-triazolopyrimidine derivative 14 and, 2-oxa-triazolopyrimidine derivative 16 exhibited good activity against S. aureus. Similarly 2-amino-3-cyano-4-(p-flourophenyl)naphthopyran (3c), 2-methyltriazolopyrimidine derivative 14, triazolopyrimidine derivative 12, triazolopyrimidine 2-ethanenitrile derivative 15 and 2-oxa-triazolopyrimidine derivative 16 exhibited good activity against B. cereus and 2-amino-3-cyano4-(p-bromophenyl)naphthopyran (3a), 2-amino-3-cyano-4-(p-chlorophenyl)naphthopyran (3b), 2-amino-3-cyano-4-(p-flourophenyl)naphthopyran 3c, ethyl 2-amino-4-(p-chlorophenyl)naphthopyran-3-carboxylate (3e), 2-methyl-triazolopyrimidine derivative 13 and triazolopyrimidine 2-ethanenitrile derivative 16 exhibited good activity against E. coli, while 2-amino-3-cyano-4-(p-bromo/chloro/fluorophenyl)naphthopyran derivatives 3a–c, triazolopyrimidine derivative 12, 2-phenyltriazolopyrimidine derivative 14 and 2-oxatriazolopyrimidine derivative 16 exhibited good activity against S. marcescens. Aminoimino derivative 9 was inactive against S. aureus, while the pyranpyrimidin-11-one 6 and 10-benzalamino-pyranopyrimidine derivative 17 was inactive against B. cereus, the compounds ethyl 2-amino-4-(p-chlorophenyl)naphthopyrane-3-carboxylate (3e), 11-amino-pyranopyrimidine 7 and 2-ethoxy-methyleneamino derivative 8 was inactive against E. coli, and the 2-acetylamino-pyranopyrimidine compound 4 was inactive against S. marcescens. The remaining compounds showed moderate to weak antibacterial activity.
Table 1.
Antimicrobial activity of the new compounds.
| Compounds | Minimum inhibitory concentration (MIC) in μg/mL | |||||
|---|---|---|---|---|---|---|
| Bacterial strains | Fungal strains | |||||
| S. aureus | B. cereus | E. coli | S. marcescens | A. fumigatus | C. albicans | |
| 3a | 100 | 100 | 25 | 50 | 100 | 100 |
| 3b | 125 | 200 | 50 | 50 | 125 | 100 |
| 3c | 100 | 50 | 25 | 50 | 50 | 50 |
| 3d | 250 | 200 | 500 | 500 | 250 | 100 |
| 3e | 25 | 100 | 50 | 100 | 25 | 50 |
| 3f | 500 | 500 | - | 125 | 250 | 500 |
| 4 | 500 | 250 | 250 | 100 | 500 | - |
| 5 | 100 | 125 | - | 500 | - | 250 |
| 6 | 100 | - | 100 | 250 | 500 | 500 |
| 7 | 500 | 200 | - | 200 | - | 250 |
| 8 | 250 | 200 | 500 | 500 | 250 | 100 |
| 9 | - | 500 | - | 100 | 500 | 500 |
| 10 | 500 | 250 | 100 | 250 | 250 | 500 |
| 11 | - | 500 | 250 | - | - | 500 |
| 12 | 25 | 25 | 50 | 25 | 100 | 50 |
| 13 | 25 | 50 | 25 | 50 | 50 | 500 |
| 14 | 50 | 100 | 100 | 25 | 25 | 50 |
| 15 | 100 | 25 | 25 | 125 | 100 | 500 |
| 16 | 50 | 25 | 50 | 50 | 125 | 100 |
| 17 | 500 | - | 250 | 500 | - | - |
| Ampcillin | 6.25 | 6.25 | 6.25 | 6.25 | 6.25 | 6.25 |
| Ketoconazole | - | - | - | - | 31.25 | 31.25 |
The antifungal results (Table 1) revealed that the synthesized compounds showed variable degrees of inhibition against the tested fungi. The compounds 2-amino-3-cyano-4-(p-fluorophenyl)naphthopyran (3c), ethyl 2-amino-4-(p-chlorophenyl)naphthopyran-3-carboxylate (3e), and 2-phenyltriazolopyrimidine 14 possessed good antifungal activity against A. fumigatus and C. albicans, while the compounds 9-methyl-pyranopyrimidine 5, 11-amino-pyranopyrimidine 7, N,N-dimethylaminomethylene derivative 11 and 10-benzalaminopyranopyrimidine 17 were inactive against A. fumigates, and the 2-acetylaminopyranopyrimidine 4 and 10-benzalaminopyranopyrimidine 17 were inactive against C. albicans. The remaining compounds showed moderate to weak antifungal activity.
3. Experimental
3.1. General
Melting points were determined on a Stuart melting point apparatus and are uncorrected. IR spectra (ν, cm−1) were recorded in KBr using a FT-IR 5300 spectrometer and aPerkin Elmer spectrum RXIFT-IR system. The 1H-NMR at (300 MHz) and 13C-NMR spectra (75 MHz) were recorded in DMSO-d6 on a Varian Mercury VX-300 NMR spectrometer. Chemical shifts (δ) are referred to that of the solvent. Mass spectra were measured on a Shimadzu GMMS-QP-1000 EX mass spectrometer at 70 eV. The elemental analyses were performed at the Micro Analytical Center, Cairo University, Egypt.
3.2. General Procedure: Synthesis of 4H-Pyran Derivatives 3a–f
A mixture of substituted 4-halobenzylidenmalononitriles 2a–c (10 mmol) and/or ethyl 4-halobenzylidenmalonates 2d–f (10 mmol), 6-methoxy-2-naphthol (1) (0.17 g, 10 mmol) and piperidine (0.5 mL) in absolute EtOH (50 mL) was heated until precipitation was completed. The precipitate was collected by filtration and recrystallized from dioxane and EtOH/benzene respectively.
2-Amino-4-(p-bromophenyl)-7-methoxy-4H-naphtho[2,1-b]pyrane-3-carbonnitrile (3a). White crystals (dioxane); yield 88%, mp 260–262 °C; IR: 3,454, 3,315 (NH2), 3,182 (CH-aromatic), 2,950 (CH-aliphatic), 2,192 (C≡N), 1,658 (C=C). 1H-NMR δ: 3.78 (s, 3H, OCH3), 5.27 (s, 1H, pyran CH), 6.98 (br, 2H, NH2, exchangeable by D2O), 7.06–7.79 (m, 9H, Ar-H). Anal. Calcd. for C21H15BrN2O2 (406.03): C, 61.90; H, 3.90; N, 6.84%. Found: C, 61.93; H, 3.71; N, 6.88%.
2-Amino-4-(p-chlorophenyl)-7-methoxy-4H-naphtho[2,1-b]pyrane-3-carbonnitrile (3b). White crystals (dioxane); yield 90%, mp 246–248 °C; IR: 3,358, 3,314 (NH2), 3,186 (CH-aromatic), 2,932 (CH-aliphatic), 2,198 (C≡N), 1,660 (C=C). 1H-NMR δ: 3.77 (s, 3H, OCH3), 5.28 (s, 1H, pyran CH), 6.99 (br, 2H, NH2, exchangeable by D2O), 7.06–7.79 (m, 9H, Ar-H). 13C-NMR δ: 28.4 (C-4), 56.50 (OCH3), 59.1 (C-3), 105.9 (C-7), 117.1 (C≡N), 118.6 (C-5), 118.9 (C-9), 121.3 (C-4a), 123.6 (C-10), 127.1 (C-6), 128.2 (C-5a, C-8a), 128.7, 129.7, 131.3, 136.6, 143.8 (Ar), 150.2 (C-10), 157.2 (C-8), 160.2 (C-2). Anal. Calcd. for C21H15ClN2O2 (362.08): C, 69.52; H, 4.17; N, 7.72%. Found: C, 69.50; H, 4.15; N, 7.70%.
2-Amino-4-(p-flouroophenyl)-7-methoxy-4H-naphtho[2,1-b]pyran-3-carbonitrile (3c). White crystals (dioxane); yield 86%, mp 255–257 °C; IR: 3,466, 3,318 (NH2), 3,192 (CH-aromatic), 2,900 (CH-aliphatic), 2,200 (C≡N), 1,662 (C=C). 1H-NMR δ: 3.75 (s, 3H, OCH3), 5.30 (s, 1H, pyran CH), 7.01 (br, 2H, NH2, exchangeable by D2O), 7.08–8.31 (m, 9H, Ar-H). Anal. Calcd for C21H15FN2O2 (346.11): C, 72.82; H, 4.37; N, 8.09%. Found: C, 72.80; H, 4.35; N, 7.99%.
Ethyl 2-amino-4-(p-bromophenyl)-7-methoxy-4H-naphtho[2,1-b]pyran-3-carboxylate (3d). Colourless needle-like crystals (ethanol/benzene); yield 79%, mp 167–169 °C: IR: 3,350, 3,324 (NH2), 3,000 (CH-aromatic), 2,944 (CH-aliphatic), 1,682 (C=O), 1,618 (C=C). 1H-NMR δ: 1.21 (t, 3H, CH3, J = 7.1 Hz), 3.78 (s, 3H, OCH3), 4.04 (q, 2H, CH2, J = 7.1 Hz), 5.42 (s, 1H, pyran CH), 7.21(br, 2H, NH2, exchangeable by D2O), 7.28–7.86 (m, 9H, Ar-H). Anal. Calcd. for C23H20BrNO4 (453.06): C, 60.81; H, 4.44; N, 3.08%. Found: C, 60.80; H, 4.41; N, 3.03%.
Ethyl 2-amino-4-(p-chlorophenyl)-7-methoxy-4H-naphtho[2,1-b]pyran-3-carboxylate (3e). Colourless needle crystals, (ethanol/benzene); yield 82%, mp 172–174 °C: IR: 3,458, 3,324 (NH2), 3,010 (CH-aromatic), 2,970 (CH-aliphatic), 1,670 (C=O), 1,622 (C=C). 1H-NMR δ: 1.38 (t, 3H, CH3, J = 7.1 Hz), 3.80 (s, 3H, OCH3), 4.31 (q, 2H, CH2, J = 7.1 Hz), 5.40 (s, 1H, pyran CH), 6.24 (br, 2H, NH2, exchangeable by D2O), 6.89–7.75 (m, 9H, Ar-H). 13C-NMR δ: 13.1 (CH3-ester), 28.4 (C-4), 56.5 (OCH3), 59.1 (C-3), 62.5 (CH2-ester), 105.9 (C-7), 118.6 (C-5), 118.9 (C-9), 121.3 (C-4a), 123.6 (C-10), 127.1 (C-6), 128.2 (C-5a, C-8a), 128.7, 129.7, 131.3, 136.6, 143.8 (Ar),150.2 (C-10), 157.2 (C-8), 160.2 (C-2), 172 (C=O). Anal. Calcd. for C23H20ClNO4 (409.11): C, 67.40; H, 4.92; N, 3.42%. Found: C, 67.38; H, 4.90; N, 3.39%.
Ethyl 2-amino-4-(p-flouophenyl)-7-methoxy-4H-naphtho[2,1-b]pyran-3-carboxylate (3f). Colourless needle-like crystals (ethanol/benzene); yield 77%, mp 186–188 °C; IR: 3,422, 3,346 (NH2), 3,192 (CH-aromatic), 2,900 (CH-aliphatic), 1,682 (CO), 1,600 (C=C). 1H-NMR δ: 1.39 (t, 3H, CH3, J = 7.1 Hz), 3.78 (s, 3H, OCH3), 4.30 (q, 2H, CH2, J = 7.1 Hz), 5.54 (s, 1H, pyran CH), 6.36 (br, 2H, NH2, exchangeable by D2O), 7.05–8.06 (m, 9H, Ar-H). Anal. Calcd. for C23H20FNO4 (393.14): C, 70.20; H, 5.10; N, 3.52%. Found: C, 70.22; H, 5.12; N, 3.56%.
Synthesis of 2-acetylamino-7-methoxy-4-(p-chlorophenyl)-4H-naphtho[2,1-b]pyran-3-carbonitrile (4). A solution of 3b (0.36 g, 10 mmol) in Ac2O (20 mL) was heated under reflux for 30 min. The solid product formed was filtered off and washed with cold EtOH, The solid obtained was filtered off and recrystallized from EtOH. Pale yellow crystals, yield 89%, mp 175–177 °C; IR: 3,400 (NH), 3,122 (CH-aromatic), 2,940 (CH-aliphatic), 2,202 (C≡N), 1,612 (C=O). 1H-NMR δ: 2.26 (s, 3H, CH3), 3.82 (s, 3H, OCH3), 5.70 (s, 1H, pyran CH), 7.22–7.83 (m, 9H, Ar-H), 12.49 (br, 1H, NH, exchangeable by D2O). Anal. Calcd. for C23H17ClN2O3 (404.09): C, 68.23; H, 4.23; N, 6.92%. Found: C, 68.20; H, 4.19; N, 6.90%.
Synthesis of 10,11-dihydro-3-methoxy-9-methyl-12-(p-chlorophenyl)-12H-naphtho-[2,1-b]pyrano[2,3-d]pyrimidine-11-one (5). Method A: A solution of 3b (0.36 g, 10 mmol) in Ac2O (20 mL) was heated under reflux for 3 hours. The precipitate was filtered off, washed with cold EtOH. The solid obtained was filtered off and recrystallized from DMF; Method B: Gaseous dry HCl was bubbled through the mixture of 3e (0.40 g, 10 mmol) and CH3CN (30 mL) for 4–6 hours. The reaction mixture was poured into ice water and made alkaline with 10% aqueous ammonium hydroxide to give 5. White crystals, yield 85%, mp 290–292 °C: IR: 3,464 (NH), 3,001 (CH-aromatic), 2,980 (CH-aliphatic), 1,650 (C=O), 1,620 (C=C). 1H-NMR δ: 2.28 (s, 3H, CH3), 3.78 (s, 3H, OCH3), 5.66 (s, 1H, pyran CH), 6.89–8.01 (m, 10H, Ar-H and NH). Anal. Calcd. for C23H17ClN2O3 (404.09): C, 68.23; H, 4.23; N, 6.92%. Found: C, 68.20; H, 4.19; N, 6.90%.
Synthesis of 10,11-dihydro-3-methoxy-9-phenyl-12-(p-chlorophenyl)-12H-naphtho[2,1-b]-pyrano[2,3-d]pyrimidine-11-one (6). A solution of 3b (0.36 g, 10 mmol) in benzoyl chloride (20 mL) was heated under reflux for 6 hours. The excess of benzoyl chloride was removed under reduced pressure and the residue was poured into cold water. The precipitate was collected by filtration, washed with CCl4 (10 mL) to remove the formed benzoic acid and the residue was dried. The solid obtained was filtered off and recrystallized from DMF. Yellow crystals, yield 80%, mp > 360 °C; IR: 3,433 (NH), 3,012 (CH-aromatic), 2,892 (CH-aliphatic), 1,640 (C=O), 1,572 (C=C). MS m/z (%) = 466 (M+, 47.7), 326 (100), 250 (16.4), 129 (10.9). Anal. Calcd. for C28H19ClN2O3 (466.11): C, 72.03; H, 4.10; N, 6.01%. Found: C, 72.01; H, 4.02; N, 5.88%.
Synthesis of 11-amino-3-methoxy-12-(p-chlorophenyl))-12H-naphtho[2,1-b]pyrano[2,3-d]pyrimidine (7). Method A: A solution of 3b (0.36 g, 10 mmol) in formamide (20 mL) was heated under reflux for 6 hours. The solid obtained was filtered off and recrystallized from benzene; Method B: Gaseous NH3 was bubbled through 8 (0.41 g, 10 mmol) in MeOH for 1 hour. The solid formed was collected to give 7. White crystals (benzene); yield 75%, mp 317–319 °C; IR: 3,458, 3,380 (NH2), 3,174 (CH-aromatic), 2,901 (CH-aliphatic), 1,658 (C=C). MS m/z (%) = 389 (M+, 25.6), 249 (100), 223 (10.1), 181 (1.1). Anal. Calcd. for C22H16ClN3O3 (389.09): C, 67.78; H, 4.14; N, 10.78%. Found: C, 67.72; H, 4.10; N, 10.74%.
Synthesis of 2-ethoxymethyleneamino-7-methoxy-4-(p-chlorophenyl)-4H-naphtho-[2,1-b]pyrane-3-carbonitrile (8). A mixture of 3b (0.36 g, 10 mmol) and triethyl orthoformate (2 mL) in acetic anhydride (10 mL) was refluxed for 2 hours. After cooling, the precipitated product was filtered off and washed several times with cold EtOH. The solid obtained was filtered off and recrystallized from benzene. Colourless crystals, yield 77%, mp 211–213 °C; IR: 2,980 (CH-aromatic), 2,835 (CH-aliphatic), 2,204 (CN), 1,612 (C=N). 1H-NMR δ: 1.27 (t, 3H, CH3, J = 7.1 Hz), 3.78 (s, 3H, OCH3), 4.40 (q, 2H, CH2, J = 7.1 Hz), 5.58 (s, 1H, pyran CH), 7.24–785 (m, 9H, Ar-H), 8.67 (s, 1H, N = CH). Anal. Calcd. for C24H19ClN2O3 (418.11): C, 68.82; H, 4.57; N, 6.69%. Found: C, 68.80; H, 4.51; N, 6.62%.
3.3. General Procedure: Synthesis of Pyranopyrimidine Derivatives 9 and 10
A mixture of 8 (0.41 g, 10 mmol), hydrazine hydrate (5 mL, 99%) or methylamine (10 mmol) in absolute ethanol (50 mL) was stirred for 1 hour at room temperature. The solid obtained was filtered off and recrystallized from dioxane.
10-Amino-10,11-dihydro-11-imino-3-methoxy-12-(p-chlorophenyl)-12H-naphtho[2,1-b]pyrano[2,3-d]pyrimidine (9). White crystals, yield 81%, mp 256–258 °C; IR: 3,316, 3,270 (NH2), 3,209 (NH), 2,936 (CH-aromatic), 2,899 (CH-aliphatic), 1,647 (C=N). 1H-NMR δ: 3.80 (s, 3H, OCH3), 5.66 (s, 1H, pyran CH), 5.87 (br, 2H, NH2, exchangeable by D2O), 7.15–7.79 (m, 10H, Ar-H and NH), 8.04 (s, 1H, pyrimidine CH). Anal. Calcd. for C22H17ClN4O2 (404.10): C, 65.27; H, 4.23; N, 13.84%. Found: C, 65.25; H, 4.20; N, 13.82%.
10,11-Dihydro-11-imino-3-methoxy-10-methyl-12-(p-chlorophenyl)-12H-naphtho[2,1-b]pyrano[2,3-d]pyrimidine (10). White crystals, yield 80%, mp 255–257 °C; IR: 3,376 (NH), 3,006 (CH-aromatic), 2,980, 2,830 (CH-aliphatic), 1,620 (C=N). 1H-NMR δ: 3.32 (s, 3H, N-CH3), 3.77 (s, 3H, OCH3), 5.29 (s, 1H, pyran CH), 6.98–7.80 (m, 10H, Ar-H and NH), 8.01 (s, 1H, pyrimidine CH). Anal. Calcd for C23H18ClN3O2 (403.11): C, 68.40; H, 4.49; N, 10.40%. Found: C, 68.20; H, 4.41; N, 10.38%.
Synthesis of 7-methoxy-2-(N,N-dimethylaminomethylene)-4-(p-chlorophenyl)-4H-naphtho[2,1-b]-pyrane-3-carbonitrile (11). A mixture of 8 (0.41 g, 10 mmol) and dimethylamine (5 mL) in ethanol was stirred for 1 hour. The white solid formed was filtered, washed with cold EtOH and recrystallized from benzene. White crystals, yield 79%, mp 218–220 °C; IR: 2,924 (CH-aliphatic), 2,190 (C≡N), 1,616 (C=N). 1H-NMR δ: 2.97 (s, 3H, N-CH3), 3.13 (s, 3H, N-CH3), 3.78 (s, 3H, OCH3), 5.40 (s, 1H, pyran CH), 7.18–7.83 (m, 9H, Ar-H), 8.42 (s, 1H, N=CH). Anal. Calcd. for C24H20ClN3O2 (417.12): C, 68.98; H, 4.82; N, 10.06%. Found: C, 68.81; H, 4.66; N, 9.98%.
3.4. General Procedure: Synthesis of Pyranotriazolopyrimidine Derivatives 12–16
A mixture of 9 (0.40 g, 10 mmol), triethyl orthoformate, formic acid, acetyl chloride or benzoyl chloride (0.01 mol) in dry benzene (20 mL), was refluxed for 3 hours. The solid obtained was filtered off and recrystallized from dioxane.
11-Methoxy-14-(p-chlorophenyl)-14H-naphtho[2,1-b]pyrano[3,2-b][1,2,4]triazolo[1,5-c]pyrimidine (12). White crystals, yield 80%, mp 260–262 °C; IR: 3,064 (CH-aromatic), 2,984, 2,844 (CH-aliphatic), 1,602 (C=C). 1H-NMR δ: 3.78 (s, 3H, OCH3), 5.42 (s, 1H, pyran CH), 7.00–7.91 (m, 9H, Ar-H), 8.63 (s, 1H, pyrimidine CH), 9.51 (s, 1H, triazolo CH). Anal. Calcd. for C23H15ClN4O2(414.09): C, 66.59; H, 3.61; N, 13.50%. Found: C, 66.50; H, 3.53; N, 13.10%.
2-Methyl-11-methoxy-14-(p-chlorophenyl)-14H-naphtho[2,1-b]pyrano[3,2-e][1,2,4]triazolo[1,5-c]pyrimidine (13). White crystals, yield 85%, mp 283–285 °C; IR: 3,074 (CH-aromatic), 2,936, (CH-aliphatic), 1,622 (C=C). 1H-NMR δ: 2.40 (s, 3H, CH3), 3.79 (s, 3H, OCH3), 5.43 (s, 1H, pyran CH), 6.99–7.99 (m, 9H, Ar-H), 9.51 (s, 1H, pyrimidine CH). Anal. Calcd. for C24H17ClN4O2 (428.10): C, 67.21; H, 3.96; N, 13.06%. Found: C, 67.10; H, 3.66; N, 12.99%.
2-Phenyl-11-methoxy-14-(p-chlorophenyl)-14H-naphtho[2,1-b]pyrano[3,2-e][1,2,4]triazolo[1,5-c]pyrimidine (14). Pale yellow crystals, yield 70%, mp 281–283 °C; IR: 3,058 (CH-aromatic), 2,920 (CH-aliphatic), 1,626 (C=C). 1H-NMR δ: 3.78 (s, 3H, OCH3), 5.32 (s, 1H, pyran CH), 7.03–7.91 (m, 14H, Ar-H), 8.70 (s, 1H, pyrimidine CH). Anal. Calcd for C29H19ClN4O2 (490.12): C, 70.95; H, 3.87; N, 11.41%. Found: C, 70.65; H, 3.66; N, 11.27%.
Synthesis of 11-methoxy-14-(p-chlorophenyl)-14H-naphtho[2,1-b]pyrano[3,2-e][1,2,4]triazolo[1,5-c]pyrimidine-2-ethanenitrile (15). A mixture of 9 (0.40 g, 10 mmol) with ethyl cyanoacetate (10 mmol) in absolute ethanol (30 mL), was refluxed for 3 hours. The solid obtained was filtered off and recrystallized from dioxane. White crystals, yield 70%, mp 291–293 °C; IR: 2,934 (CH-aliphatic), 2,200 (C≡N), 1,604 (C=C). 1H-NMR δ: 3.80 (s, 3H, OCH3), 4.50 (s, 2H, CH2), 5.40 (s, 1H, pyran CH), 6.99–7.94 (m, 9H, Ar-H), 9.64 (s, 1H, pyrimidine CH). Anal. Calcd. for C25H16ClN5O2 (453.10): C, 66.16; H, 3.52; N, 15.42%. Found: C, 66.01; H, 3.41; N, 15.23%.
Synthesis of 11-methoxy-14-(p-chlorophenyl)-2oxa-2H,3H,14H-naphtho[2,1-b]pyrano[3,2-e][1,2,4]-triazolo[1,5-c]pyrimidine (16). A mixture of 9 (0.40 g, 10 mmol) with ethyl chloroformate (10 mmol) in dry benzene (30 mL) was refluxed for 1 hour. The solid obtained was filtered off and recrystallized from dioxane. White crystals, yield 76%, mp 310–312 °C: IR: 3,200 (NH), 2,988, 2,930 (CH-aliphatic), 1,638 (C=O), 1H-NMR δ: 3.80 (s, 3H, OCH3), 5.28 (s, 1H, pyran CH), 6.80–7.88 (m, 10H, Ar-H and NH), 9.64 (s, 1H, pyrimidine CH). Anal. Calcd. for C23H15ClN4O3 (431.08): C, 64.12; H, 3.50; N, 13.00%. Found: C, 63.86; H, 3.45; N, 12.81%.
Synthesis of 10-benzalamino-10,11-dihydro-11-imino-3-methoxy-12-(p-chlorophenyl)12H-naphtho-[2,1-b]pyrano-[2,3-d]pyrimidine (17). A mixture of 9 (0.40 g, 1.0 mmol), with benzaldehyde (10 mmol), piperidine (0.5 mL) and dioxane (30 mL) was refluxed for 6 hours. The precipitate was filtered off and washed several times with cold EtOH. The solid was recrystallized from dioxane. White crystals, yield 71%, mp 255–257 °C; IR: 3,261 (NH), 2,988, 2,930 (CH-aliphatic), 1,652 (C=N), 1H-NMR δ: 3.79 (s, 3H, OCH3), 5.66 (s, 1H, pyran CH), 6.80–7.88 (m, 15H, Ar-H and NH), 8.27 (s, 1H, N=CH), 9.64 (s, 1H, pyrimidine CH). Anal. Calcd. for C29H21ClN4O2(492.14): C, 70.66; H, 4.29; N, 11.37%. Found: C, 70.54; H, 4.04; N, 11.21%.
3.5. Antimicrobial Assay
Inoculums of the bacterial and fungal culture were prepared. To a series of tubes containing 1 mL each of naphthopyran compound solution with different concentrations and 0.2 mL of the inoculums was added. A further 3.8 mL of sterile water was added to each of the test tubes. These test tubes were incubated for 24 hours at 37 °C and observed for the presence of turbidity. This method was repeated by changing naphthopyran compounds for the standard drugs ampicillin and ketoconazole for comparison.
4. Conclusions
Our interest in the synthesis of such compounds was to focus on their study as antimicrobial agents as a part of our program which aimed at the development of new heterocyclic compounds as more potent antimicrobial agents. In this paper we revealed the synthesis of some new naphthopyran, naphthopyranopyrimidine and naphthopyranotriazolopyrimidine derivatives and the antimicrobial evaluation of all the novel compounds. The structures of these compounds were elucidated on the basis of IR, 1H-NMR, 13C-NMR and MS data. Evaluation of the new compounds established that 3a–e, 12–14 and 16 showed improved antimicrobial activity.
References and Notes
- Eid, F.A.; Abd El-Wahab, A.H.F.; El-Hagali, G.A.M.; Khafagy, M.M. Syhthesis and antimicrobial evaluation of naphtho[2,1-b]pyrano[2,3-d]pyrimidine and pyrano[3,2-e][1,2,4]triazolo[1,5-c]pyrimidine derivative. Acta Pharm. 2004, 54, 13–26. [Google Scholar]
- Abd El-Wahab, A.H.F. Synthesis of some new pyrano[2,3-d][1,2,4]triazolo[1,5-c]pyrimidine and pyrimido[1,6-b]triazine derivatives. Acta Pharm. 2003, 58, 701–720. [Google Scholar]
- El-Agrody, A.M.; Abd El-Latif, M.S.; El-Hady, N.A.; Fakery, A.H.; Bedair, A.H. Heteroaromatization with 4-Hyroxycoumarin. Part II: Synthesis of some new pyrano[2,3-d][1,2,4]triazolo[1,5-c]pyrimidine and pyrimido[1,6-b]triazine derivatives. Molecules 2001, 6, 519–527. [Google Scholar] [CrossRef]
- Bedair, A.H.; El-Haddy, N.A.; Abd El-Latif, M.S.; Fakery, A.H.; El-Agrody, A.M. 4-Hyroxycoumarin in heterocycloic synthesis. Part III: Synthesis of some new pyrano[2,3-d]pyrimidine, 2-substituted[1,2,4]triazolo[1,5-c]pyrimidine and pyrimido[1,6-b]triazine derivatives. Farmaco 2000, 55, 708–714. [Google Scholar] [CrossRef]
- El-Agrody, A.M.; El-Hakim, M.H.; Abd El-Latif, M.S.; Fakery, A.H.; El-Sayed, E.M.; El-Ghareab, K.A. Synthesis pyrano[2,3-d]pyrimidine and pyrano[3,2-e][1,2,4]triazolo[2,3-c]pyrimidine derivatives with promising antibacterial activities. Acta Pharm. 2000, 50, 111–120. [Google Scholar]
- Taylor, R.N.; Cleasby, A.; Singh, O.; Skarzynski, T. Dihydropyrancarboxamide related to zanamivir, a new series of inhibitors of influrnza virus sialidase. 2-Crystallographic and molecular modeling study of complex 4-amino-4H-pyran-6-carboxamides and sialidase from influenza virus types. J. Med. Chem. 1998, 41, 798–807. [Google Scholar] [CrossRef]
- Hirmoto, K.; Nasuhara, A.; Michiloshi, K.; Kato, T.; Kikugawa, K. DNA strand-breaking activity and mutagenicity of 2,3-dihydro-3,5-dihydroxy-6-methyl-4H-pyran-4-one (DDMP). A Maillard reaction product of glucose and glycine. Mutat. Res. 1997, 395, 47–56. [Google Scholar] [CrossRef]
- Martinez, A.G.; Marco, L.J. Friedlander reaction on 2-amino-3-cyano-4H-pyrans, synthesis of derivatives of 4H-pyran[2,3-b]quinoline, new tacrine analogues. Bioorg. Med. Chem. Lett. 1997, 7, 3165–3170. [Google Scholar] [CrossRef]
- Dell, C.P.; Smith, C.W. Antiproliferative derivatives of 4H-naphtho[1,2-b]pyran and process for their preparation. EP 537949, 21 April 1993. [Google Scholar]
- Bianchi, G.; Tava, A. Synthesis of (2R)(+)-2,3-dihydro-2,6-dimethyl-4H-pyran-one, a homologue of pheromones of a species in the hepialidae family. Agric. Biol. Chem. 1987, 51, 2001–2002. [Google Scholar] [CrossRef]
- Eiden, F.; Denk, F. Synthesis and CNS activity of pyrane derivatives 6,8-dioxabicyclo(3,2,1)octanes. Arch. Pharm. (Weinheim) 1991, 324, 353–354. [Google Scholar] [CrossRef]
- Shishoo, C.J.; Devani, M.B.; Ullas, G.V.; Ananthan, S.; Bahadit, V.S. Studies in the synthesis and interconversion of isomeric triazolopyrimidinees. J. Heterocycl. Chem. 1981, 18, 43–46. [Google Scholar] [CrossRef]
- Noda, K.; Nakagawa, A.; Nakajima, Y.; Ide, H. Pyrido[2,3-d]-s-triazolo[4,3-c]pyrimidine derivatives. Japan Kokai. 1997, 194, 7785, [Chem. Abstr. 1978, 88, P50908q].. [Google Scholar]
- The Chemistry of Heterocyclic Compounds, the Pyrimidines; Brown, D.J.; Evans, R.F.; Cowden, W.B.; Fenn, M.D. (Eds.) John Wiley & Sons: New York, NY, USA, 1994; Volume 23.
- Matloobi, M.; Kappe, C.O. Microwave assisted solution- and solid-phase synthesis of amino-4-arylpyrimidine derivatives. J. Comb. Chem. 2007, 9, 275–284. [Google Scholar] [CrossRef]
- Gadhachanda, V.R.; Wu, B.; Wang, Z.; Kuhen, K.L.; Caldwell, J.; Zondler, H.; Walter, H.; Havenhand, M.; He, Y. 4-Amino-pyrimidines as novel HIV-1 inhibitors. Bioorg. Med. Chem. Lett. 2007, 17, 260–265. [Google Scholar]
- Agarwal, A.; Srivastava, K.; Puri, S.K.; Chauhan, P.M.S. Synthesis of 4-pyrido-6-aryl-2-substituted amino pyrimidines as a new class of antimalarial agents. Bioorg. Med. Chem. 2005, 13, 6226–6232. [Google Scholar] [CrossRef]
- Chang, L.C.W.; Spanjersberg, R.F.; Frijtag, D.K.; Mulder-K, T.; Hout, G.V.; Beukers, M.W.; Brussee, J.; Jzerman, A.P. 2,4,6-Trisubstituted pyrimidines as a new class of selective adenosine A1 receptor antagonists. J. Med. Chem. 2004, 47, 6529–6540. [Google Scholar]
- Capdeville, R.; Buchdunger, E.; Zimmermann, J.; Matter, A. Glivec (STI571, imatinib), a rationally developed, targeted anticancer drug. Nat. Rev. Drug Discov. 2002, 1, 493–502. [Google Scholar] [CrossRef]
- Sondhi, S.M.; Dinodia, M.; Rani, R.S.; Shukla, R.; Raghubir, R. Synthesis, anti-inflammatory and analgesic activity evaluation of some pyrimidine derivatives. Indian J. Chem. 2009, 48, 273–281. [Google Scholar]
- Shanker, K.; Gupta, G.P.; Singh, S. Synthesis of novel pyrimidinediones and thiazolidinones as Cardiovascular agents. Indian J. Chem. 1985, 24, 1094–1097. [Google Scholar]
- Ozeki, K.; Ichikawa, T.; Takehara, H.; Tanimura, K.; Sato, M.; Yaginuma, H. Studies on antiallergy agents. III. Synthesis of 2-anilino-1, 6-dihydro-6-oxo-5-pyrimidine carboxylic acids and related compounds. Chem. Pharm. Bull. 1989, 37, 1780–1787. [Google Scholar]
- Elagamey, A.G.A.; El-Taweel, F.M.A.; Sowellim, S.Z.A.; Sofan, M.A.; Elnagdi, M.H. Nitriles in heterocyclic synthesis, a novel route for the synthesis of naphthodipyrans, pyridines, 2H- and 4H-pyrans. Collect. Czech. Chem. Commun. 1990, 55, 524–534. [Google Scholar] [CrossRef]
- Elngdi, M.H.; Elghandour, A.H.H.; Ibrahim, M.K.A.; Hafez, I.S.A. Studies with polyfunctionally substituted heterocyclic, synthesis of new pyrimidines, naphtha[1,2-b]pyrans, pyrazolo[3,4-b]pyrimidines and pyrazolo[1,5-a]pyrimidines. Z. Naturforsch. 1992, 47, 572–578. [Google Scholar]
- Dave, K.G.; Shishoo, C.J.; Devani, M.B.; Kalyanaraman, R.; Ananthan, S.; Ullas, G.V.; Bahadit, V.S. Reaction of nitriles under acidic conditions. Part I: A general method of synthesis of condensed pyridines. J. Heterocycl. Chem. 1980, 17, 1497–1501. [Google Scholar]
- European Committee for Antimicrobial Susceptibility Testing (EUCAST) of the European Society of Clinical Microbiology and Infectious Diseases (ESCMID). Determination of minimum inhibitory concentrations (MICs) of antibacterial agents by agar dilution. Clin. Microbiol. Infect. 2000, 6, 509. [CrossRef]
- National Committee for Clinical Laboratory Standards, Methods for Dilution AntimicrobialSusceptibility Tests for Bacteria That Grow Aerobicallyl; Approved Standard M7-A5, 5th ed; NCCLS: Wayne, PA, USA, 2000.
© 2012 by the authors; licensee MDPI, Basel, Switzerland. This article is an open-access article distributed under the terms and conditions of the Creative Commons Attribution license (http://creativecommons.org/licenses/by/3.0/).