Design and Synthesis of Bis-Chalcones as Curcumin Simplified Analogs and Assessment of Their Antiproliferative Activities Against Human Lung Cancer Cells and Trypanosoma cruzi Amastigotes †
Abstract
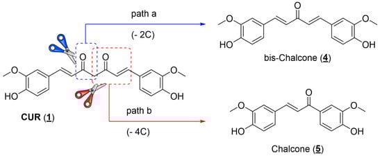
1. Introduction
2. Results and Discussion
3. Materials and Methods
3.1. Chemistry
3.1.1. Equipment, Reagents, and Solvents
3.1.2. Separation of Natural Curcuminoids from the Commercial Curcumin
(1E,6E)-1,7-Bis(4-hydroxy-3-methoxyphenyl)hepta-1,6-dien-3,5-dione (CUR, 1)
(1E,6E)-1-(4-Hydroxy-3-methoxyphenyl)-7-(4-hydroxyphenyl)hepta-1,6-dien-3,5-dione (DMC, 2)
(1E,6E)-1,7-Bis(4-hydroxyphenyl)hepta-1,6-diene-3,5-dione (BDMC, 3)
3.1.3. Chemical Synthesis
Synthesis of (E)-1,3-Bis(4-hydroxy-3-methoxyphenyl)prop-2-en-1-one (5)
General Procedure for the Synthesis of Bis-Chalcones 4 and 6–10
(1E,4E)-1,5-Bis(4-hydroxy-3-methoxyphenyl)penta-1,4-dien-3-one (4)
2,5-Bis((E)-4-hydroxy-3-methoxybenzylidene)cyclopentan-1-one (6)
2,6-Bis((E)-4-hydroxy-3-methoxybenzylidene)cyclohexan-1-one (7)
(3E,5E)-3,5-Bis(4-hydroxy-3-methoxybenzylidene)tetrahydro-4H-pyran-4-one (8)
(3E,5E)-3,5-Bis(4-hydroxy-3-methoxybenzylidene)-1-methylpiperidin-4-one (9)
(3Z,5Z)-3,5-Bis(4-hydroxy-3-methoxybenzylidene)dihydro-2H-thiopyran-4(3H)-one (10)
Synthesis of (3Z,5Z)-3,5-Bis(4-hydroxy-3-methoxybenzylidene)dihydro-2H-thiopyran-4(3H)-one 1-oxide (11)
Synthesis of (3Z,5Z)-3,5-Bis(4-hydroxy-3-methoxybenzylidene)dihydro-2H-thiopyran-4(3H)-one 1,1-dioxide (12)
3.1.4. Stability Study of CUR 1 and Bis-Chalcones 4 and 8 by HPLC-DAD
3.2. Biological Assays
3.2.1. Evaluation of Cytotoxicity Against LLC-MK2, A549, H460, and Human Peripheral Blood Mononuclear Cells
3.2.2. Evaluation of Trypanocidal Activity Against Amastigote Forms of T. cruzi
3.2.3. Cell Cycle Arrest of A549 Cells After Treatment with Curcuminoids
3.2.4. Cell Death Analysis by Flow Cytometry
3.2.5. ADME Prediction
3.2.6. Molecular Docking Calculations
3.2.7. Statistical Analysis
4. Conclusions
Supplementary Materials
Author Contributions
Funding
Institutional Review Board Statement
Informed Consent Statement
Data Availability Statement
Acknowledgments
Conflicts of Interest
References
- Klinkert, M.Q.; Heussler, V. The use of anticancer drugs in antiparasitic chemotherapy. Mini Rev. Med. Chem. 2006, 6, 131–143. [Google Scholar] [CrossRef] [PubMed]
- Baum, S.G.; Wittner, M.; Nadler, J.P.; Horwitz, S.B.; Dennis, J.E.; Schiff, P.B.; Tanowitz, H.B. Taxol, a microtubule stabilizing agent, blocks the replication of Trypanosoma cruzi. Proc. Natl. Acad. Sci. USA 1981, 78, 4571–4575. [Google Scholar] [CrossRef] [PubMed]
- Dantas, A.P.; Barbosa, H.S.; De Castro, S.L. Biological and ultrastructural effects of the anti-microtubule agent taxol against Trypanosoma cruzi. J. Submicrosc. Cytol. Pathol. 2003, 35, 287–294. [Google Scholar] [PubMed]
- Shokri, A.; Akhtari, J.; Keighobadi, M.; Fakhar, M.; Teshnizi, S.H.; Emami, S.; Sadjjadian, S. Promising antileishmanial effectiveness of doxorubicin and Doxil against Leishmania major: An in vitro assay. Asian Pac. J. Trop. Med. 2017, 10, 544–548. [Google Scholar] [CrossRef]
- Landoni, M.; Pinero, T.; Soprano, L.L.; Garcia-Bournissen, F.; Fichera, L.; Esteva, M.I.; Duschak, V.G.; Couto, A.S. Tamoxifen acts on Trypanosoma cruzi sphingolipid pathway triggering an apoptotic death process. Biochem. Biophys. Res. Commun. 2019, 516, 934–940. [Google Scholar] [CrossRef]
- Dorosti, Z.; Yousefi, M.; Sharafi, S.M.; Darani, H.Y. Mutual action of anticancer and antiparasitic drugs: Are there any shared targets? Future Oncol. 2014, 10, 2529–2539. [Google Scholar] [CrossRef]
- Mahal, K.; Ahmad, A.; Schmitt, F.; Lockhauserbaumer, J.; Starz, K.; Pradhan, R.; Padhye, S.; Sarkar, F.H.; Koko, W.S.; Schobert, R.; et al. Improved anticancer and antiparasitic activity of new lawsone Mannich bases. Eur. J. Med. Chem. 2017, 126, 421–431. [Google Scholar] [CrossRef]
- Perez-Soto, M.; Penalver, P.; Street, S.T.G.; Weenink, D.; O’Hagan, M.P.; Ramos-Soriano, J.; Jiang, Y.J.; Hollingworth, G.J.; Galan, M.C.; Morales, J.C. Structure-activity relationship studies on divalent naphthalene diimide G quadruplex ligands with anticancer and antiparasitic activity. Bioorg. Med. Chem. 2022, 71, 116946. [Google Scholar] [CrossRef]
- Pitasse-Santos, P.; Salustiano, E.; Pena, R.B.; Chaves, O.A.; da Fonseca, L.M.; da Costa, K.M.; Santos, C.; Reis, J.S.D.; da Costa Santos, M.A.R.; Previato, J.O.; et al. A Novel Protocol for the Synthesis of 1,2,4-Oxadiazoles Active against Trypanosomatids and Drug-Resistant Leukemia Cell Lines. Trop. Med. Infect. Dis. 2022, 7, 403. [Google Scholar] [CrossRef]
- Upadhyay, A. Cancer: An unknown territory; rethinking before going ahead. Genes Dis. 2021, 8, 655–661. [Google Scholar] [CrossRef]
- Wolf, A.M.D.; Oeffinger, K.C.; Shih, T.Y.; Walter, L.C.; Church, T.R.; Fontham, E.T.H.; Elkin, E.B.; Etzioni, R.D.; Guerra, C.E.; Perkins, R.B.; et al. Screening for lung cancer: 2023 guideline update from the American Cancer Society. CA Cancer J. Clin. 2024, 74, 50–81. [Google Scholar] [CrossRef] [PubMed]
- Araghi, M.; Mannani, R.; Heidarnejad Maleki, A.; Hamidi, A.; Rostami, S.; Safa, S.H.; Faramarzi, F.; Khorasani, S.; Alimohammadi, M.; Tahmasebi, S.; et al. Recent advances in non-small cell lung cancer targeted therapy; an update review. Cancer Cell Int. 2023, 23, 162. [Google Scholar] [CrossRef] [PubMed]
- Montagne, F.; Guisier, F.; Venissac, N.; Baste, J.M. The Role of Surgery in Lung Cancer Treatment: Present Indications and Future Perspectives-State of the Art. Cancers 2021, 13, 3711. [Google Scholar] [CrossRef] [PubMed]
- Anand, U.; Dey, A.; Chandel, A.K.S.; Sanyal, R.; Mishra, A.; Pandey, D.K.; De Falco, V.; Upadhyay, A.; Kandimalla, R.; Chaudhary, A.; et al. Cancer chemotherapy and beyond: Current status, drug candidates, associated risks and progress in targeted therapeutics. Genes Dis. 2023, 10, 1367–1401. [Google Scholar] [CrossRef]
- Liu, Y.Q.; Wang, X.L.; He, D.H.; Cheng, Y.X. Protection against chemotherapy- and radiotherapy-induced side effects: A review based on the mechanisms and therapeutic opportunities of phytochemicals. Phytomedicine 2021, 80, 153402. [Google Scholar] [CrossRef]
- Singh, J.; Luqman, S.; Meena, A. Emerging role of phytochemicals in targeting predictive, prognostic, and diagnostic biomarkers of lung cancer. Food Chem. Toxicol. 2020, 144, 111592. [Google Scholar] [CrossRef]
- Choudhari, A.S.; Mandave, P.C.; Deshpande, M.; Ranjekar, P.; Prakash, O. Phytochemicals in Cancer Treatment: From Preclinical Studies to Clinical Practice. Front. Pharmacol. 2019, 10, 1614. [Google Scholar] [CrossRef]
- Zoi, V.; Galani, V.; Lianos, G.D.; Voulgaris, S.; Kyritsis, A.P.; Alexiou, G.A. The Role of Curcumin in Cancer Treatment. Biomedicines 2021, 9, 1086. [Google Scholar] [CrossRef]
- Yang, Z.J.; Huang, S.Y.; Zhou, D.D.; Xiong, R.G.; Zhao, C.N.; Fang, A.P.; Zhang, Y.J.; Li, H.B.; Zhu, H.L. Effects and Mechanisms of Curcumin for the Prevention and Management of Cancers: An Updated Review. Antioxidants 2022, 11, 1481. [Google Scholar] [CrossRef]
- Wilken, R.; Veena, M.S.; Wang, M.B.; Srivatsan, E.S. Curcumin: A review of anti-cancer properties and therapeutic activity in head and neck squamous cell carcinoma. Mol. Cancer 2011, 10, 12. [Google Scholar] [CrossRef]
- Moon, D.O. Curcumin in Cancer and Inflammation: An In-Depth Exploration of Molecular Interactions, Therapeutic Potentials, and the Role in Disease Management. Int. J. Mol. Sci. 2024, 25, 2911. [Google Scholar] [CrossRef] [PubMed]
- Lee, A.Y.; Fan, C.C.; Chen, Y.A.; Cheng, C.W.; Sung, Y.J.; Hsu, C.P.; Kao, T.Y. Curcumin Inhibits Invasiveness and Epithelial-Mesenchymal Transition in Oral Squamous Cell Carcinoma Through Reducing Matrix Metalloproteinase 2, 9 and Modulating p53-E-Cadherin Pathway. Integr. Cancer Ther. 2015, 14, 484–490. [Google Scholar] [CrossRef] [PubMed]
- Wang, T.Y.; Chen, J.X. Effects of Curcumin on Vessel Formation Insight into the Pro- and Antiangiogenesis of Curcumin. Evid. Based Complement. Alternat. Med. 2019, 2019, 1390795. [Google Scholar] [CrossRef]
- Tan, B.L.; Norhaizan, M.E. Curcumin Combination Chemotherapy: The Implication and Efficacy in Cancer. Molecules 2019, 24, 2527. [Google Scholar] [CrossRef]
- Farghadani, R.; Naidu, R. Curcumin as an Enhancer of Therapeutic Efficiency of Chemotherapy Drugs in Breast Cancer. Int. J. Mol. Sci. 2022, 23, 2144. [Google Scholar] [CrossRef]
- Sueth-Santiago, V.; Moraes, J.B.; Sobral Alves, E.S.; Vannier-Santos, M.A.; Freire-de-Lima, C.G.; Castro, R.N.; Mendes-Silva, G.P.; Del Cistia, C.N.; Magalhaes, L.G.; Andricopulo, A.D.; et al. The Effectiveness of Natural Diarylheptanoids against Trypanosoma cruzi: Cytotoxicity, Ultrastructural Alterations and Molecular Modeling Studies. PLoS ONE 2016, 11, e0162926. [Google Scholar] [CrossRef]
- WHO. Chagas Disease (American Trypanosomiasis). Available online: https://www.who.int/news-room/fact-sheets/detail/chagas-disease-(american-trypanosomiasis) (accessed on 11 April 2023).
- Perez-Molina, J.A.; Molina, I. Chagas disease. Lancet 2018, 391, 82–94. [Google Scholar] [CrossRef]
- PAHO. Chagas Disease. Available online: https://www.paho.org/en/topics/chagas-disease (accessed on 11 April 2023).
- WHO. Ending the Neglect to Attain the Sustainable Development Goals: A Road Map for Neglected Tropical Diseases 2021–2030. Available online: https://www.who.int/publications/i/item/9789240010352 (accessed on 11 April 2023).
- Urbina, J.A. Specific chemotherapy of Chagas disease: Relevance, current limitations and new approaches. Acta Trop. 2010, 115, 55–68. [Google Scholar] [CrossRef]
- Newman, D.J.; Cragg, G.M. Natural Products as Sources of New Drugs over the Nearly Four Decades from 01/1981 to 09/2019. J. Nat. Prod. 2020, 83, 770–803. [Google Scholar] [CrossRef]
- Meng, F.-C.; Zhou, Y.-Q.; Ren, D.; Wang, R.; Wang, C.; Lin, L.-G.; Zhang, X.-Q.; Ye, W.-C.; Zhang, Q.-W. Turmeric: A review of its chemical composition, quality control, bioactivity, and pharmaceutical application.33 In Handbook of Food Bioengineering, Natural and Artificial Flavoring Agents and Food Dyes; Grumezescu, A.M., Holban, A.M., Eds.; Academic Press: Cambridge, MA, USA, 2018; pp. 299–350. ISBN 9780128115183. [Google Scholar] [CrossRef]
- Panknin, T.; Bucchireddigari, B.; Howe, C.; Hauer, M.; Rossi, A.; Funk, J. Curcumin-containing turmeric dietary supplement clinical trials: A scoping review. Curr. Dev. Nutr. 2021, 5, 357. [Google Scholar] [CrossRef]
- Hewlings, S.J.; Kalman, D.S. Curcumin: A Review of Its Effects on Human Health. Foods 2017, 6, 92. [Google Scholar] [CrossRef] [PubMed]
- Kunnumakkara, A.B.; Bordoloi, D.; Harsha, C.; Banik, K.; Gupta, S.C.; Aggarwal, B.B. Curcumin mediates anticancer effects by modulating multiple cell signaling pathways. Clin. Sci. 2017, 131, 1781–1799. [Google Scholar] [CrossRef]
- Hassanzadeh, K.; Buccarello, L.; Dragotto, J.; Mohammadi, A.; Corbo, M.; Feligioni, M. Obstacles against the Marketing of Curcumin as a Drug. Int. J. Mol. Sci. 2020, 21, 6619. [Google Scholar] [CrossRef]
- Liu, W.; Zhai, Y.; Heng, X.; Che, F.Y.; Chen, W.; Sun, D.; Zhai, G. Oral bioavailability of curcumin: Problems and advancements. J. Drug Target 2016, 24, 694–702. [Google Scholar] [CrossRef]
- Anand, P.; Kunnumakkara, A.B.; Newman, R.A.; Aggarwal, B.B. Bioavailability of curcumin: Problems and promises. Mol. Pharm. 2007, 4, 807–818. [Google Scholar] [CrossRef]
- Schneider, C.; Gordon, O.N.; Edwards, R.L.; Luis, P.B. Degradation of Curcumin: From Mechanism to Biological Implications. J. Agric. Food Chem. 2015, 63, 7606–7614. [Google Scholar] [CrossRef]
- Mbese, Z.; Khwaza, V.; Aderibigbe, B.A. Curcumin and Its Derivatives as Potential Therapeutic Agents in Prostate, Colon and Breast Cancers. Molecules 2019, 24, 4386. [Google Scholar] [CrossRef]
- Tomeh, M.A.; Hadianamrei, R.; Zhao, X. A Review of Curcumin and Its Derivatives as Anticancer Agents. Int. J. Mol. Sci. 2019, 20, 1033. [Google Scholar] [CrossRef]
- Zhao, S.; Pi, C.; Ye, Y.; Zhao, L.; Wei, Y. Recent advances of analogues of curcumin for treatment of cancer. Eur. J. Med. Chem. 2019, 180, 524–535. [Google Scholar] [CrossRef]
- Hobani, Y.; Jerah, A.; Bidwai, A. A comparative molecular docking study of curcumin and methotrexate to dihydrofolate reductase. Bioinformation 2017, 13, 63–66. [Google Scholar] [CrossRef]
- Yadav, P.; Bandyopadhyay, A.; Chakraborty, A.; Sarkar, K. Enhancement of anticancer activity and drug delivery of chitosan-curcumin nanoparticle via molecular docking and simulation analysis. Carbohydr. Polym. 2018, 182, 188–198. [Google Scholar] [CrossRef] [PubMed]
- Furlan, V.; Konc, J.; Bren, U. Inverse Molecular Docking as a Novel Approach to Study Anticarcinogenic and Anti-Neuroinflammatory Effects of Curcumin. Molecules 2018, 23, 3351. [Google Scholar] [CrossRef]
- Ye, M.X.; Li, Y.; Yin, H.; Zhang, J. Curcumin: Updated molecular mechanisms and intervention targets in human lung cancer. Int. J. Mol. Sci. 2012, 13, 3959–3978. [Google Scholar] [CrossRef] [PubMed]
- Selvam, C.; Prabu, S.L.; Jordan, B.C.; Purushothaman, Y.; Umamaheswari, A.; Hosseini Zare, M.S.; Thilagavathi, R. Molecular mechanisms of curcumin and its analogs in colon cancer prevention and treatment. Life Sci. 2019, 239, 117032. [Google Scholar] [CrossRef] [PubMed]
- Ahmad, I.; Ahmad, S.; Ahmad, A.; Zughaibi, T.A.; Alhosin, M.; Tabrez, S. Curcumin, its derivatives, and their nanoformulations: Revolutionizing cancer treatment. Cell Biochem. Funct. 2024, 42, e3911. [Google Scholar] [CrossRef]
- Mardaneh, P.; Lavian, S.; Bagherniya, M.; Roufogalis, B.; Sahebkar, A. Synthetic Curcumin Analogs in the Treatment of Cancer: A Literature Review. Curr. Med. Chem. 2024, 32, e230124225961. [Google Scholar] [CrossRef]
- Bayet-Robert, M.; Kwiatkowski, F.; Leheurteur, M.; Gachon, F.; Planchat, E.; Abrial, C.; Mouret-Reynier, M.A.; Durando, X.; Barthomeuf, C.; Chollet, P. Phase I dose escalation trial of docetaxel plus curcumin in patients with advanced and metastatic breast cancer. Cancer Biol. Ther. 2010, 9, 8–14. [Google Scholar] [CrossRef]
- Péret-Almeida, L.; Cherubino, A.; Alves, R.; Dufossé, L.; Glória, M. Separation and determination of the physico-chemical characteristics of curcumin, demethoxycurcumin and bisdemethoxycurcumin. Food Res. Int. 2005, 38, 1039–1044. [Google Scholar]
- Wang, S.; Dong, G.; Sheng, C. Structural simplification: An efficient strategy in lead optimization. Acta Pharm. Sin. B 2019, 9, 880–901. [Google Scholar] [CrossRef]
- Zhao, C.; Liu, Z.; Liang, G. Promising curcumin-based drug design: Mono-carbonyl analogues of curcumin (MACs). Curr. Pharm. Des. 2013, 19, 2114–2135. [Google Scholar]
- Moreira, J.; Saraiva, L.; Pinto, M.M.; Cidade, H. Bioactive Diarylpentanoids: Insights into the Biological Effects beyond Antitumor Activity and Structure-Activity Relationships. Molecules 2022, 27, 6340. [Google Scholar] [CrossRef]
- Siddiqui, L.; Hawsawi, M.B.; Chotana, G.A.; Saleem, R.S.Z. Bis-Chalcones: Recent Reports of Their Diverse Applications in Biological and Material Sciences. ACS Omega 2024, 9, 42061–42090. [Google Scholar] [CrossRef] [PubMed]
- Din, Z.U.; dos Santos, A.; Trapp, M.A.; Lazarin-Bidóia, D.; Garcia, F.P.; Peron, F.; Nakamura, C.V.; Rodrigues-Filho, E. Curcumin inspired synthesis of unsymmetrical diarylpentanoids with highly potent anti-parasitic activities: In silico studies and DFT-based stereochemical calculation. MedChemComm 2016, 7, 820–831. [Google Scholar]
- Mahapatra, D.K.; Bharti, S.K.; Asati, V. Anti-cancer chalcones: Structural and molecular target perspectives. Eur. J. Med. Chem. 2015, 98, 69–114. [Google Scholar] [CrossRef] [PubMed]
- Zhuang, C.; Zhang, W.; Sheng, C.; Zhang, W.; Xing, C.; Miao, Z. Chalcone: A Privileged Structure in Medicinal Chemistry. Chem. Rev. 2017, 117, 7762–7810. [Google Scholar] [CrossRef]
- Rodrigues, F.C.; Anil Kumar, N.V.; Thakur, G. Developments in the anticancer activity of structurally modified curcumin: An up-to-date review. Eur. J. Med. Chem. 2019, 177, 76–104. [Google Scholar] [CrossRef]
- Wang, H. Comprehensive Organic Name Reactions; Wiley: New York, NY, USA, 2010; Volume 2. [Google Scholar]
- Ismail, N.I.; Othman, I.; Abas, F.; Lajis, N.H.; Naidu, R. The Curcumin Analogue, MS13 (1,5-Bis(4-hydroxy-3- methoxyphenyl)-1,4-pentadiene-3-one), Inhibits Cell Proliferation and Induces Apoptosis in Primary and Metastatic Human Colon Cancer Cells. Molecules 2020, 25, 3798. [Google Scholar] [CrossRef]
- Fang, Z.; Song, Y.; Zhan, P.; Zhang, Q.; Liu, X. Conformational restriction: An effective tactic in ‘follow-on’-based drug discovery. Future Med. Chem. 2014, 6, 885–901. [Google Scholar] [CrossRef]
- Chattaraj, A.; Syed, M.P.; Low, C.A.; Owonikoko, T.K. Cisplatin-Induced Ototoxicity: A Concise Review of the Burden, Prevention, and Interception Strategies. JCO Oncol. Pract. 2023, 19, 278–283. [Google Scholar] [CrossRef]
- Yan, W.; Wu, T.H.Y.; Leung, S.S.Y.; To, K.K.W. Flavonoids potentiated anticancer activity of cisplatin in non-small cell lung cancer cells in vitro by inhibiting histone deacetylases. Life Sci. 2020, 258, 118211. [Google Scholar] [CrossRef]
- Ongnok, B.; Chattipakorn, N.; Chattipakorn, S.C. Doxorubicin and cisplatin induced cognitive impairment: The possible mechanisms and interventions. Exp. Neurol. 2020, 324, 113118. [Google Scholar] [CrossRef] [PubMed]
- Quintanilha, J.C.F.; Visacri, M.B.; Sousa, V.M.; Bastos, L.B.; Vaz, C.O.; Guarnieri, J.P.O.; Amaral, L.S.; Malaguti, C.; Lima, C.S.P.; Vercesi, A.E.; et al. Cisplatin-induced human peripheral blood mononuclear cells’ oxidative stress and nephrotoxicity in head and neck cancer patients: The influence of hydrogen peroxide. Mol. Cell. Biochem. 2018, 440, 139–145. [Google Scholar] [CrossRef] [PubMed]
- Wang, Y.J.; Pan, M.H.; Cheng, A.L.; Lin, L.I.; Ho, Y.S.; Hsieh, C.Y.; Lin, J.K. Stability of curcumin in buffer solutions and characterization of its degradation products. J. Pharm. Biomed. Anal. 1997, 15, 1867–1876. [Google Scholar] [CrossRef] [PubMed]
- Gabrielli, B.; Brooks, K.; Pavey, S. Defective cell cycle checkpoints as targets for anti-cancer therapies. Front. Pharmacol. 2012, 3, 9. [Google Scholar] [CrossRef]
- Aithal, M.G.S.; Rajeswari, N. Bacoside A Induced Sub-G0 Arrest and Early Apoptosis in Human Glioblastoma Cell Line U-87 MG through Notch Signaling Pathway. Brain Tumor Res. Treat. 2019, 7, 25–32. [Google Scholar] [CrossRef]
- Chen, Q.Y.; Lu, G.H.; Wu, Y.Q.; Zheng, Y.; Xu, K.; Wu, L.J.; Jiang, Z.Y.; Feng, R.; Zhou, J.Y. Curcumin induces mitochondria pathway mediated cell apoptosis in A549 lung adenocarcinoma cells. Oncol. Rep. 2010, 23, 1285–1292. [Google Scholar] [CrossRef]
- Yao, Q.; Lin, M.; Wang, Y.; Lai, Y.; Hu, J.; Fu, T.; Wang, L.; Lin, S.; Chen, L.; Guo, Y. Curcumin induces the apoptosis of A549 cells via oxidative stress and MAPK signaling pathways. Int. J. Mol. Med. 2015, 36, 1118–1126. [Google Scholar] [CrossRef]
- Endo, H.; Inoue, I.; Masunaka, K.; Tanaka, M.; Yano, M. Curcumin induces apoptosis in lung cancer cells by 14-3-3 protein-mediated activation of Bad. Biosci. Biotechnol. Biochem. 2020, 84, 2440–2447. [Google Scholar] [CrossRef]
- Daina, A.; Michielin, O.; Zoete, V. SwissADME: A free web tool to evaluate pharmacokinetics, drug-likeness and medicinal chemistry friendliness of small molecules. Sci. Rep. 2017, 7, 42717. [Google Scholar] [CrossRef]
- Lin, J.H.; Yamazaki, M. Clinical relevance of P-glycoprotein in drug therapy. Drug Metab. Rev. 2003, 35, 417–454. [Google Scholar] [CrossRef]
- Chaves, O.A.; dos Santos Oliveira, C.H.; Ferreira, R.C.; Cesarin-Sobrinho, D.; da Hora Machado, A.E.; Netto-Ferreira, J.C. Synthetic dimethoxyxanthones bind similarly to human serum albumin compared with highly oxygenated xanthones. Chem. Phys. Impact 2024, 8, 100411. [Google Scholar] [CrossRef]
- Nascimento, L.G.A.d.; Barbetta, M.F.; Chaves, O.A.; Oliveira, A.R.d.; Nikolaou, S. Interaction of a Triruthenium ortho-Metallated Phenazine with Cytochrome P450 Enzymes. J. Braz. Chem. Soc. 2024, 35, e-20240136. [Google Scholar] [CrossRef]
- Talib, W.H.; Al-Hadid, S.A.; Ali, M.B.W.; Al-Yasari, I.H.; Ali, M.R.A. Role of curcumin in regulating p53 in breast cancer: An overview of the mechanism of action. Breast Cancer Targets Ther. 2018, 10, 207–217. [Google Scholar] [CrossRef] [PubMed]
- Gajiwala, K.S.; Wu, J.C.; Christensen, J.; Deshmukh, G.D.; Diehl, W.; DiNitto, J.P.; English, J.M.; Greig, M.J.; He, Y.A.; Jacques, S.L.; et al. KIT kinase mutants show unique mechanisms of drug resistance to imatinib and sunitinib in gastrointestinal stromal tumor patients. Proc. Natl. Acad. Sci. USA 2009, 106, 1542–1547. [Google Scholar] [CrossRef]
- Francisco, K.R.; Monti, L.; Yang, W.; Park, H.; Liu, L.J.; Watkins, K.; Amarasinghe, D.K.; Nalli, M.; Roberto Polaquini, C.; Regasini, L.O.; et al. Structure-activity relationship of dibenzylideneacetone analogs against the neglected disease pathogen, Trypanosoma brucei. Bioorg. Med. Chem. Lett. 2023, 81, 129123. [Google Scholar] [CrossRef]
- Lazarin-Bidoia, D.; Desoti, V.C.; Martins, S.C.; Ribeiro, F.M.; Ud Din, Z.; Rodrigues-Filho, E.; Ueda-Nakamura, T.; Nakamura, C.V.; de Oliveira Silva, S. Dibenzylideneacetones Are Potent Trypanocidal Compounds That Affect the Trypanosoma cruzi Redox System. Antimicrob. Agents Chemother. 2016, 60, 890–903. [Google Scholar] [CrossRef]
- Ud Din, Z.; Fill, T.P.; de Assis, F.F.; Lazarin-Bidoia, D.; Kaplum, V.; Garcia, F.P.; Nakamura, C.V.; de Oliveira, K.T.; Rodrigues-Filho, E. Unsymmetrical 1,5-diaryl-3-oxo-1,4-pentadienyls and their evaluation as antiparasitic agents. Bioorg. Med. Chem. 2014, 22, 1121–1127. [Google Scholar] [CrossRef]
- Buckner, F.S.; Verlinde, C.L.; La Flamme, A.C.; Van Voorhis, W.C. Efficient technique for screening drugs for activity against Trypanosoma cruzi using parasites expressing beta-galactosidase. Antimicrob. Agents Chemother. 1996, 40, 2592–2597. [Google Scholar] [CrossRef]
- Martin-Escolano, J.; Marin, C.; Rosales, M.J.; Tsaousis, A.D.; Medina-Carmona, E.; Martin-Escolano, R. An Updated View of the Trypanosoma cruzi Life Cycle: Intervention Points for an Effective Treatment. ACS Infect. Dis. 2022, 8, 1107–1115. [Google Scholar] [CrossRef]
- Sueth-Santiago, V.; Decote-Ricardo, D.; Morrot, A.; Freire-de-Lima, C.G.; Lima, M.E. Challenges in the chemotherapy of Chagas disease: Looking for possibilities related to the differences and similarities between the parasite and host. World J. Biol. Chem. 2017, 8, 57–80. [Google Scholar] [CrossRef]
- Chatelain, E. Chagas disease drug discovery: Toward a new era. J. Biomol. Screen 2015, 20, 22–35. [Google Scholar] [CrossRef] [PubMed]
- Weber, W.M.; Hunsaker, L.A.; Abcouwer, S.F.; Deck, L.M.; Vander Jagt, D.L. Anti-oxidant activities of curcumin and related enones. Bioorg. Med. Chem. 2005, 13, 3811–3820. [Google Scholar] [CrossRef] [PubMed]
- Manikandan, G.; Rajarajan, G.; Jayabharathi, J.; Thanikachalam, V. Structural effects and thermal decomposition kinetics of chalcones under non-isothermal conditions. Arab. J. Chem. 2016, 9, S570–S575. [Google Scholar] [CrossRef]
- Du, Z.Y.; Liu, R.R.; Shao, W.Y.; Mao, X.P.; Ma, L.; Gu, L.Q.; Huang, Z.S.; Chan, A.S. Alpha-glucosidase inhibition of natural curcuminoids and curcumin analogs. Eur. J. Med. Chem. 2006, 41, 213–218. [Google Scholar] [CrossRef]
- Zhang, Y.; Liu, Z.; Wu, J.; Bai, B.; Chen, H.; Xiao, Z.; Chen, L.; Zhao, Y.; Lum, H.; Wang, Y.; et al. New MD2 inhibitors derived from curcumin with improved anti-inflammatory activity. Eur. J. Med. Chem. 2018, 148, 291–305. [Google Scholar] [CrossRef]
- Youssef, K.M.; El-Sherbeny, M.A.; El-Shafie, F.S.; Farag, H.A.; Al-Deeb, O.A.; Awadalla, S.A. Synthesis of curcumin analogues as potential antioxidant, cancer chemopreventive agents. Arch. Pharm. 2004, 337, 42–54. [Google Scholar] [CrossRef]
- Du, Z.Y.; Jiang, Y.F.; Tang, Z.K.; Mo, R.Q.; Xue, G.H.; Lu, Y.J.; Zheng, X.; Dong, C.Z.; Zhang, K. Antioxidation and tyrosinase inhibition of polyphenolic curcumin analogs. Biosci. Biotechnol. Biochem. 2011, 75, 2351–2358. [Google Scholar] [CrossRef]
- da Costa Santos, M.A.R.; Dos Reis, J.S.; do Nascimento Santos, C.A.; da Costa, K.M.; Barcelos, P.M.; de Oliveira Francisco, K.Q.; Barbosa, P.; da Silva, E.D.S.; Freire-de-Lima, C.G.; Morrot, A.; et al. Expression of O-glycosylated oncofetal fibronectin in alternatively activated human macrophages. Immunol. Res. 2023, 71, 92–104. [Google Scholar] [CrossRef]
- Bernardo, A.A.; Pinto-Silva, F.E.; Persechini, P.M.; Coutinho-Silva, R.; Meyer-Fernandes, J.R.; de Souza, A.L.; Rumjanek, V.M. Effect of extracellular ATP on the human leukaemic cell line K562 and its multidrug counterpart. Mol. Cell. Biochem. 2006, 289, 111–124. [Google Scholar] [CrossRef]
- Reis, J.S.D.; Santos, M.; da Costa, K.M.; Freire-de-Lima, C.G.; Morrot, A.; Previato, J.O.; Previato, L.M.; da Fonseca, L.M.; Freire-de-Lima, L. Increased expression of the pathological O-glycosylated form of oncofetal fibronectin in the multidrug resistance phenotype of cancer cells. Matrix Biol. 2023, 118, 47–68. [Google Scholar] [CrossRef]
- SwissDrugDesign. Available online: http://www.swissadme.ch (accessed on 3 February 2025).
- Stamos, J.; Sliwkowski, M.X.; Eigenbrot, C. Structure of the epidermal growth factor receptor kinase domain alone and in complex with a 4-anilinoquinazoline inhibitor. J. Biol. Chem. 2002, 277, 46265–46272. [Google Scholar] [CrossRef] [PubMed]
- Porter, J.; Payne, A.; de Candole, B.; Ford, D.; Hutchinson, B.; Trevitt, G.; Turner, J.; Edwards, C.; Watkins, C.; Whitcombe, I.; et al. Tetrahydroisoquinoline amide substituted phenyl pyrazoles as selective Bcl-2 inhibitors. Bioorg. Med. Chem. Lett. 2009, 19, 230–233. [Google Scholar] [CrossRef] [PubMed]
- Belo, Y.; Mielko, Z.; Nudelman, H.; Afek, A.; Ben-David, O.; Shahar, A.; Zarivach, R.; Gordan, R.; Arbely, E. Unexpected implications of STAT3 acetylation revealed by genetic encoding of acetyl-lysine. Biochim. Biophys. Acta Gen. Subj. 2019, 1863, 1343–1350. [Google Scholar] [CrossRef]
- Sansen, S.; Yano, J.K.; Reynald, R.L.; Schoch, G.A.; Griffin, K.J.; Stout, C.D.; Johnson, E.F. Adaptations for the oxidation of polycyclic aromatic hydrocarbons exhibited by the structure of human P450 1A2. J. Biol. Chem. 2007, 282, 14348–14355. [Google Scholar] [CrossRef]
- Wester, M.R.; Yano, J.K.; Schoch, G.A.; Yang, C.; Griffin, K.J.; Stout, C.D.; Johnson, E.F. The structure of human cytochrome P450 2C9 complexed with flurbiprofen at 2.0-A resolution. J. Biol. Chem. 2004, 279, 35630–35637. [Google Scholar] [CrossRef]
- Williams, P.A.; Cosme, J.; Vinkovic, D.M.; Ward, A.; Angove, H.C.; Day, P.J.; Vonrhein, C.; Tickle, I.J.; Jhoti, H. Crystal structures of human cytochrome P450 3A4 bound to metyrapone and progesterone. Science 2004, 305, 683–686. [Google Scholar] [CrossRef]
- Shao, Y.; Molnar, L.F.; Jung, Y.; Kussmann, J.; Ochsenfeld, C.; Brown, S.T.; Gilbert, A.T.; Slipchenko, L.V.; Levchenko, S.V.; O’Neill, D.P.; et al. Advances in methods and algorithms in a modern quantum chemistry program package. Phys. Chem. Chem. Phys. 2006, 8, 3172–3191. [Google Scholar] [CrossRef]
- Jones, G.; Willett, P.; Glen, R.C.; Leach, A.R.; Taylor, R. Development and validation of a genetic algorithm for flexible docking. J. Mol. Biol. 1997, 267, 727–748. [Google Scholar] [CrossRef]
- Adasme, M.F.; Linnemann, K.L.; Bolz, S.N.; Kaiser, F.; Salentin, S.; Haupt, V.J.; Schroeder, M. PLIP 2021: Expanding the scope of the protein-ligand interaction profiler to DNA and RNA. Nucleic Acids Res. 2021, 49, W530–W534. [Google Scholar] [CrossRef]
- Yuan, S.; Chan, H.S.; Hu, Z. Using PyMOL as a platform for computational drug design. Wiley Interdiscip. Rev. Comput. Mol. Sci. 2017, 7, e1298. [Google Scholar]









| Compounds | A549 | H460 | PBMC | Selective Index SI A549/SI H460 |
|---|---|---|---|---|
| IC50 (µM) | LD50 (µM) | |||
| 1 CUR | 56.48 ± 3.75 | 37.85 ± 8.81 | 146.5 ± 12.08 | 2.59/3.87 |
| 2 DMC | 73.29 ± 6.98 | 25.05 ± 5.55 | 144.3 ± 12.30 | 1.96/5.76 |
| 3 BDMC | 46.52 ± 3.45 | 27.09 ± 4.35 | 134.1 ± 13.30 | 2.88/13.14 |
| 4 | 18.05 ± 4.72 | 10.20 ± 3.76 | >200 | 11.08/19.60 |
| 5 | 58.02 ± 6.75 | 1.74 ± 0.28 | 119.1 ± 16.35 | 2.05/68.44 |
| 6 | 71.28 ± 1.53 | 36.14 ± 7.14 | 141.1 ± 18.53 | 1.97/3.90 |
| 7 | 76.16 ± 9.49 | 42.57 ± 3.94 | >200 | 2.62/4.69 |
| 8 | 8.10 ± 1.27 | 1.46 ± 0.28 | 131.8 ± 14.52 | 16.27/82.37 |
| 9 | 61.11 ± 6.20 | 9.89 ± 3.03 | 73.25 ± 5.87 | 1.19/7.40 |
| 10 | 36.97 ± 8.28 | 12.8 ± 3.94 | 186.4 ± 35.15 | 5.04/14.56 |
| 11 | 7.74 ± 1.65 | 1.02 ± 0.29 | >200 | 25.97/196.07 |
| 12 | 5.89 ± 2.81 | 0.27 ± 0.20 | 173.0 ± 37.4 | 29.37/640.74 |
| Cisplatin * | 6.05 ± 0.58 | 2.96 ± 0.44 | n.t. | n.c./n.c. |
| Compound | Consensus Log Po/w a | CYP Inhibition (Isoform) | Drug-Likeness (Number of Violations) | |||||
|---|---|---|---|---|---|---|---|---|
| TPSA (Å2) | Lipinski | Ghose | Veber | Egan | Muegge | |||
| 1 | 3.03 | Yes (2C9, 3A4) | 93.06 | Yes | Yes | Yes | Yes | Yes |
| 2 | 3.00 | Yes (1A2, 2C9, 3A4) | 83.83 | Yes | Yes | Yes | Yes | Yes |
| 3 | 2.83 | Yes (1A2, 2C9, 3A4) | 74.60 | Yes | Yes | Yes | Yes | Yes |
| 4 | 3.05 | Yes (1A2, 2C9, 3A4) | 75.99 | Yes | Yes | Yes | Yes | Yes |
| 5 | 2.63 | Yes (1A2, 2C9, 3A4) | 75.99 | Yes | Yes | Yes | Yes | Yes |
| 6 | 2.63 | Yes (1A2, 2C9, 3A4) | 75.99 | Yes | Yes | Yes | Yes | Yes |
| 7 | 2.63 | Yes (1A2, 2C9, 3A4) | 75.99 | Yes | Yes | Yes | Yes | Yes |
| 8 | 2.63 | Yes (1A2, 2C9, 3A4) | 85.22 | Yes | Yes | Yes | Yes | Yes |
| 9 | 2.63 | Yes (1A2, 2C9, 3A4) | 79.23 | Yes | Yes | Yes | Yes | Yes |
| 10 | 2.63 | Yes (1A2, 2C9, 3A4) | 101.3 | Yes | Yes | Yes | Yes | Yes |
| 11 | 2.63 | Yes (1A2, 2C9, 3A4) | 112.3 | Yes | Yes | Yes | Yes | Yes |
| 12 | 2.63 | Yes (1A2, 2C9, 3A4) | 118.5 | Yes | Yes | Yes | Yes | Yes |
| Compound | 1M17 | 2W3L | 3DCY | 3G0E | 6QHD |
|---|---|---|---|---|---|
| 1 | 64.6 | 62.6 | 56.1 | 60.1 | 60.3 |
| 2 | 66.7 | 62.4 | 55.3 | 58.2 | 62.9 |
| 3 | 61.1 | 58.7 | 53.6 | 58.7 | 59.6 |
| 4 | 69.2 | 56.3 | 67.9 | 69.4 | 55.2 |
| 5 | 60.5 | 57.0 | 66.7 | 70.0 | 51.6 |
| 6 | 69.0 | 57.2 | 58.0 | 57.5 | 49.0 |
| 7 | 67.7 | 55.6 | 56.4 | 58.5 | 45.3 |
| 8 | 69.5 | 50.4 | 69.8 | 66.6 | 48.9 |
| 9 | 59.9 | 49.4 | 59.3 | 67.3 | 53.8 |
| 10 | 55.6 | 54.9 | 59.1 | 65.1 | 55.1 |
| 11 | 68.3 | 53.5 | 66.8 | 69.7 | 53.3 |
| 12 | 69.6 | 50.0 | 69.9 | 70.1 | 54.1 |
| Compounds | T. cruzi Amastigotes (Tulahuen C2C4-LacZ) 120 h | LLC-MK2 (Host Cells) 120 h | Selective Index |
|---|---|---|---|
| IC50 (µM) | |||
| 1 CUR | 17.75 ± 6.88 | 25.69 ± 6.05 | 1.44 |
| 2 DMC | 31.31 ± 0.77 | 22.69 ± 3.71 | 0.72 |
| 3 BDMC | 17.61 ± 0.26 | 19.68 ± 0.87 | 1.11 |
| 4 | 3.92 ± 0.33 | < 6.4 | n.c. |
| 5 | 15.64 ± 4.08 | 8.72 ± 2.42 | 0.55 |
| 6 | 8.35 ± 2.35 | < 6.4 | n.c. |
| 7 | 4.91 ± 0.40 | < 6.4 | n.c. |
| 8 | 12.78 ± 5.17 | 20.57 ± 4.65 | 1.60 |
| 9 | 9.60 ± 1.61 | 28.41 ± 3.80 | 2.95 |
| 10 | 5.87 ± 2.89 | 12.97 ± 2.36 | 2.20 |
| 11 | 16.70 ± 4.67 | 28.46 ± 5.17 | 1.70 |
| 12 | 7.33 ± 0.43 | 11.49 ± 3.71 | 1.56 |
| Benznidazole * | 1.50 ± 0.33 | > 200 | > 133 |
Disclaimer/Publisher’s Note: The statements, opinions and data contained in all publications are solely those of the individual author(s) and contributor(s) and not of MDPI and/or the editor(s). MDPI and/or the editor(s) disclaim responsibility for any injury to people or property resulting from any ideas, methods, instructions or products referred to in the content. |
© 2025 by the authors. Licensee MDPI, Basel, Switzerland. This article is an open access article distributed under the terms and conditions of the Creative Commons Attribution (CC BY) license (https://creativecommons.org/licenses/by/4.0/).
Share and Cite
de Souza, G.A.; Chaves, L.d.S.; Velez, A.S.M.M.; Lacerda, J.L.F.; Pitasse-Santos, P.; Santos, J.C.C.d.; Chaves, O.A.; Serpa, C.; Valente, R.d.C.; da Fonseca, L.M.; et al. Design and Synthesis of Bis-Chalcones as Curcumin Simplified Analogs and Assessment of Their Antiproliferative Activities Against Human Lung Cancer Cells and Trypanosoma cruzi Amastigotes. Pharmaceuticals 2025, 18, 456. https://doi.org/10.3390/ph18040456
de Souza GA, Chaves LdS, Velez ASMM, Lacerda JLF, Pitasse-Santos P, Santos JCCd, Chaves OA, Serpa C, Valente RdC, da Fonseca LM, et al. Design and Synthesis of Bis-Chalcones as Curcumin Simplified Analogs and Assessment of Their Antiproliferative Activities Against Human Lung Cancer Cells and Trypanosoma cruzi Amastigotes. Pharmaceuticals. 2025; 18(4):456. https://doi.org/10.3390/ph18040456
Chicago/Turabian Stylede Souza, Gabriela Alves, Lorrane de Souza Chaves, Afonso Santine M. M. Velez, Jorge Lucas F. Lacerda, Paulo Pitasse-Santos, Jayane Clys Conceição dos Santos, Otávio Augusto Chaves, Carlos Serpa, Raphael do Carmo Valente, Leonardo Marques da Fonseca, and et al. 2025. "Design and Synthesis of Bis-Chalcones as Curcumin Simplified Analogs and Assessment of Their Antiproliferative Activities Against Human Lung Cancer Cells and Trypanosoma cruzi Amastigotes" Pharmaceuticals 18, no. 4: 456. https://doi.org/10.3390/ph18040456
APA Stylede Souza, G. A., Chaves, L. d. S., Velez, A. S. M. M., Lacerda, J. L. F., Pitasse-Santos, P., Santos, J. C. C. d., Chaves, O. A., Serpa, C., Valente, R. d. C., da Fonseca, L. M., da Costa Santos, M. A. R., dos Reis, J. S., Santos, C. A. d. N., Mendonça-Previato, L., Previato, J. O., Freire-de-Lima, C. G., Decoté-Ricardo, D., Freire-de-Lima, L., & Lima, M. E. F. d. (2025). Design and Synthesis of Bis-Chalcones as Curcumin Simplified Analogs and Assessment of Their Antiproliferative Activities Against Human Lung Cancer Cells and Trypanosoma cruzi Amastigotes. Pharmaceuticals, 18(4), 456. https://doi.org/10.3390/ph18040456

