Microwave-Assisted Organic Synthesis: An Eco-Friendly Method of Green Chemistry
Abstract
1. Fundamentals Principles of Microwave-Assisted Organic Synthesis
- Higher reaction speeds compared to those in conventional heating, which occurs for example by heating the mixture in batch with the heating mantle and a bubble condenser. In MW conditions the heating speed is 4–8 °C per second [23]. For instance, the synthesis of bioactive heterocycles such as pyrroles, pyrazoles, and imidazoles has been significantly accelerated using microwave irradiation, reducing reaction times from several hours to just minutes while maintaining high yields [24].
- High reaction temperatures; in fact, the reactors work up to 300 °C. However, this is a limit temperature because if we set the reaction temperature at 300 °C we must consider many factors, like whether the reagents could degrade at those temperatures. Thus, generally, reaction temperatures are set until 150–160 °C, due to the instability of the reagents. Since microwave reactors work at high pressures (up to 30 bar), the increase in pressure inside the reactor allows to use much higher temperatures for each solvent, with respect to its normal boiling point (at 760 mmHg). However, the law that regulates the increase in temperature as a function of the increase of pressure is the Clausius–Clapeyron Equation (1) [23].
- High yields. The yields are always improved than in batch synthesis, due precisely to homogeneous heating; thereafter, reactions proceed with high reaction speeds, and obviously, if the yield is improved, the by-products are lower [23]. In peptide chemistry, MAOS methods facilitate rapid peptide bond formation under milder conditions, minimizing side reactions and the use of large volumes of solvents. For instance, a study demonstrated that MAOS peptide synthesis could achieve 68% crude purity of a complex peptide in under four hours, compared to traditional methods requiring 20 h [25].
- Minimization of the quantities of solvents. This problem is due to an economic point of view because the vials used in this apparatus are small, the sizes are 10, 35, and at most 100 mL, and so, the amount of solvent used is very small compared to traditional synthesis [23].
- Green solvents are used, solvents that have very low polluting potential, such as water, ethanol, methanol or ethylene glycol, which is why MW-assisted reactions move in the field of green chemistry. Common green solvents in MAOS include water, ethanol, glycerol, and polyethylene glycol (PEG). Water, being non-toxic and abundantly available, minimizes hazardous waste and reduces the reliance on volatile organic compounds (VOCs). Ethanol, derived from renewable biomass, offers low toxicity and biodegradability, making it an environmentally friendly alternative to conventional organic solvents. Glycerol and PEG are non-volatile, biodegradable, and reusable, contributing to lower environmental impact and enhanced process sustainability. Including such details would underscore the environmental benefits of these solvents, such as reduced toxicity, decreased flammability, and improved energy efficiency, thereby reinforcing the green chemistry principles applied in MAOS [23].
- (1)
- Safer working conditions, because since the system is automated, if an over pressure occurs, the reaction is stopped and the system subjected to venting [23].
- (2)
- Reproducibility of the reactions carried out under microwave irradiation, for example, repeating a synthesis in which it seems that there is a variation in yield from one researcher to another. This problem is due to the operator variability, naturally, in the microwave reactor the processes are more reproducible, and the yields will certainly be much more comparable, because the automated procedures reduce human error and improve reproducibility by providing rapid, uniform heating, and precise control over reaction conditions. The incorporation of automated systems into MAOS further enhances these advantages by allowing for the precise programming of temperature profiles, irradiation power, and reaction times, which are critical parameters influencing reaction outcomes. Modern automated MAOS platforms, such as automated microwave reactors equipped with robotic sample handling and in-line analytical monitoring (e.g., IR, NMR, or mass spectrometry), enable high-throughput screening and parallel synthesis with minimal operator intervention. This not only standardizes reactions across multiple experiments but also facilitates the rapid optimization of reaction conditions, reducing trial and error approaches typical of manual synthesis. Moreover, automated data acquisition and process logging improve reproducibility and allow for better reaction tracking and troubleshooting. The synergy between microwave irradiation and automation thus provides a highly efficient, scalable, and reliable approach for both routine and exploratory organic synthesis, making MAOS a valuable tool in medicinal chemistry, heterocyclic synthesis, and materials science.
- (3)
- This technique allows to work on both small or large scales; accordingly, there are both classic reactors specifically for synthesis in academies and then there are reactors for scale-up, which are those used at an industrial level [23]. MAOS has demonstrated significant advantages in enhancing reaction rates, improving yields, and reducing energy consumption at the laboratory scale. However, translating these benefits to industrial-scale synthesis requires careful consideration of several factors. The scalability of MAOS is influenced by the uniformity of microwave energy distribution, the thermal conductivity of the reaction mixture, and the ability to maintain consistent reaction conditions over extended periods. To address these challenges, continuous-flow microwave reactors have been developed, offering improved heat and mass transfer characteristics compared to traditional batch systems. These reactors facilitate the efficient processing of larger volumes, enabling the application of MAOS in industrial settings. For instance, a study demonstrated the successful scale-up of a continuous-flow microwave reactor operating at high temperatures and pressures, achieving throughput rates suitable for industrial applications. Additionally, the integration of Process Analytical Technology (PAT) with microwave systems allows for real-time monitoring and control of reaction parameters, ensuring consistent product quality and facilitating regulatory compliance [26].
- (a)
- In solution, where the reagents go into solution in the solvent.
- (b)
- Supported reagents could be used; indeed, these are particularly frequent both in these types of reactors and especially in flow chemistry ones. In this case, reagents are anchored to support, which can usually be of polymeric nature, or composed by silica or an alumina matrix. The advantage is that if there is a supported reagent A and reagent B in solution the product will remain linked to the support and will be recovered by filtration. So, it is clear that the use of supported reagents will make the purification processes easier, both in microwave and flow chemistry reactors [33]. The use of supported reagents represents a valuable strategy to enhance reaction efficiency, facilitate product isolation, and minimize solvent usage. Ensuring uniform distribution of the reagent on the support material is critical in achieving reproducible and selective outcomes and this is typically accomplished through controlled impregnation, co-precipitation, or deposition techniques that maximize surface area exposure. Characterization methods such as scanning electron microscopy (SEM), energy-dispersive X-ray spectroscopy (EDX) and infrared spectroscopy are often employed to verify homogeneity and chemical integrity of the supported systems. Equally important is the selection of an inert support, such as silica, alumina, or polymeric matrices, to prevent undesired interactions with the reagents or substrates; in cases where the support possesses catalytic properties, it must be carefully matched to the target transformation to avoid competing pathways. Despite these advantages, the use of supported reagents does present limitations, not all reaction types are compatible, particularly those requiring homogeneous conditions or involving bulky substrates with limited access to the reactive sites. Additionally, reusability of the supported system may decrease over successive cycles due to leaching or degradation of the active species. These considerations highlight both the opportunities and the challenges of integrating supported reagents into MAOS, underscoring the need for tailored design of both reagents and supports for each specific application.
- (c)
- If one reagent is used in excess, specific scavengers can be used to selectively capture the reagents in excess. Considering a 1 equivalent of reagent A and 1.5 of reagent B, the scavenger is used for the half equivalent in excess of reagent B; therefore, in the subsequent filtration the scavenger linked to the excess of the reagent B will remain on the filter, while the reaction product will be recovered solution [33].
- (d)
- Atmosphere: Reactions can be carried out under gaseous atmosphere, using hydrogen rather than inert gas and others. The vials, that will be appropriately inserted into the reactor, are hermetically closed with a PTFE septum, if a reaction under gaseous atmosphere has to be carried out a “gas addiction kit”, will allow to first perform the vacuum into the vial and then to flow the gas of interest directly into the reaction mixture in absolute safe conditions [33].
- (e)
- Temperature: the reactors start from 60 °C and reach up to 300 °C, even if the real working range of activity is between 100 °C and 150° C to avoid reagent decomposition.
- (f)
- Pressure: In terms of pressure, the maximum that can be reached is 30 bar; obviously, the pressure control systems are automated, so that the reactors that are based on artificial intelligence (AI) normally calculate applying Clausius Clapeyron Equation (1) the real pressure required to avoid solvent evaporation at the selected temperature. If, during the reaction time, an overpressure occurs, the reactor stops immediately and vents, so systems are very safe compared to batch synthesis. As an example, if we consider acetone, which has a boiling point of 56 °C at atmospheric pressure, i.e., 1.01 bar that corresponds to 1 atm or 760 mmHg, setting the reaction in the MW reactor at 30 bar, the temperature can be selected until 183.5 °C without solvent evaporation. This law regulates the increase in temperature with the pressure of the solvents inside the reactor and describes that the logarithm of P1/P2 (P1 is 1.01 bar, P2 is 30 bar) is equal to the ratio between the enthalpy of vaporization and the gas constant (R = 8.314 J/(K mol)) multiplied for the difference of the ratios 1/T2−1/T1, where T1 is 56 °C, and T2 is the unknown parameter to find. Thus, solving this equation T2 results in 183.5 °C. Therefore, this calculation allows us to know what is the maximum ceiling beyond which the solvent evaporates even in the microwave reactor [31]. The advancement of MAOS has been closely linked to the integration of sophisticated monitoring and control systems that ensure reproducibility, safety, and scalability. Conventional thermocouple-based monitoring is often inadequate under microwave conditions due to electromagnetic interference and slow response times; consequently, fiber-optic sensors, infrared (IR) pyrometry, and sapphire-crystal probes have become the standard for real-time, non-invasive temperature measurements with high accuracy. Pressure monitoring is achieved through piezoelectric or strain-gauge transducers, enabling precise control of sealed-vessel systems operating at elevated temperatures, thus extending the accessible reaction window. These sensor inputs are processed by advanced control algorithms, typically employing proportional-integral-derivative (PID) regulation to continuously modulate microwave power output and maintain isothermal or ramped profiles. Beyond PID, model predictive control and machine learning (ML) based approaches are increasingly being explored to predict solvent-specific absorption, reaction kinetics and thermal inertia, thereby allowing pre-emptive adjustments rather than reactive corrections. In parallel, the incorporation of Process Analytical Technology (PAT) has transformed MAOS into a data-rich process: in situ Raman, NIR, and UV–Vis spectroscopic probes permit continuous monitoring of chemical transformations, providing mechanistic insights and enabling real-time feedback loops between reaction progress and power modulation. Such integrated sensor-algorithm frameworks not only minimize risks of thermal runaway and by-product formation but also facilitate scale-up from laboratory to industrial applications, aligning MAOS with modern principles of process intensification and quality-by-design.
- (g)
- Concentration of the reaction. Another condition that has to be considered is the concentration of the reaction mixture, that is not specifically relevant if the reaction is unimolecular, while if the reactions are bi- or tri-molecular, the concentration of the reagents is very important for the yield and the speediness of the reaction [33].
- (h)
- Volume of the vials. Another important factor in MAOS is the volume because we should never fill the vials more than half of their capacity, otherwise, there will be no space necessary for the pressure increase [33].
2. Applications of Microwave Reactions
2.1. Synthesis of N-Heterocycles
2.2. Cross-Coupling Reactions for Modifying Heterocycles
2.3. Click Chemistry: 1,3-Dipolar Cycloadditions
2.4. Cross and Ring-Closing Metathesis
2.5. Impact of High Temperature and Pressure on Homogeneous Organic Synthesis
2.6. Applied Homogeneous and Heterogeneous Catalysis in MW
2.7. Synthesis of Heterocycles and Multicomponent Reaction
2.8. Stereoselectivity in Microwave-Assisted Synthesis
3. MW-Assisted Nanoparticles Synthesis
4. MW-Assisted Synthesis in Medicinal Chemistry
4.1. Antimicrobial Activity
4.2. Anti-Inflammatory Activity
4.3. Anticancer Acitivy
4.4. Antibiotic Activity
4.5. Drugs for Cardiovascular Activity
4.6. Drugs for Central Nervous Disease
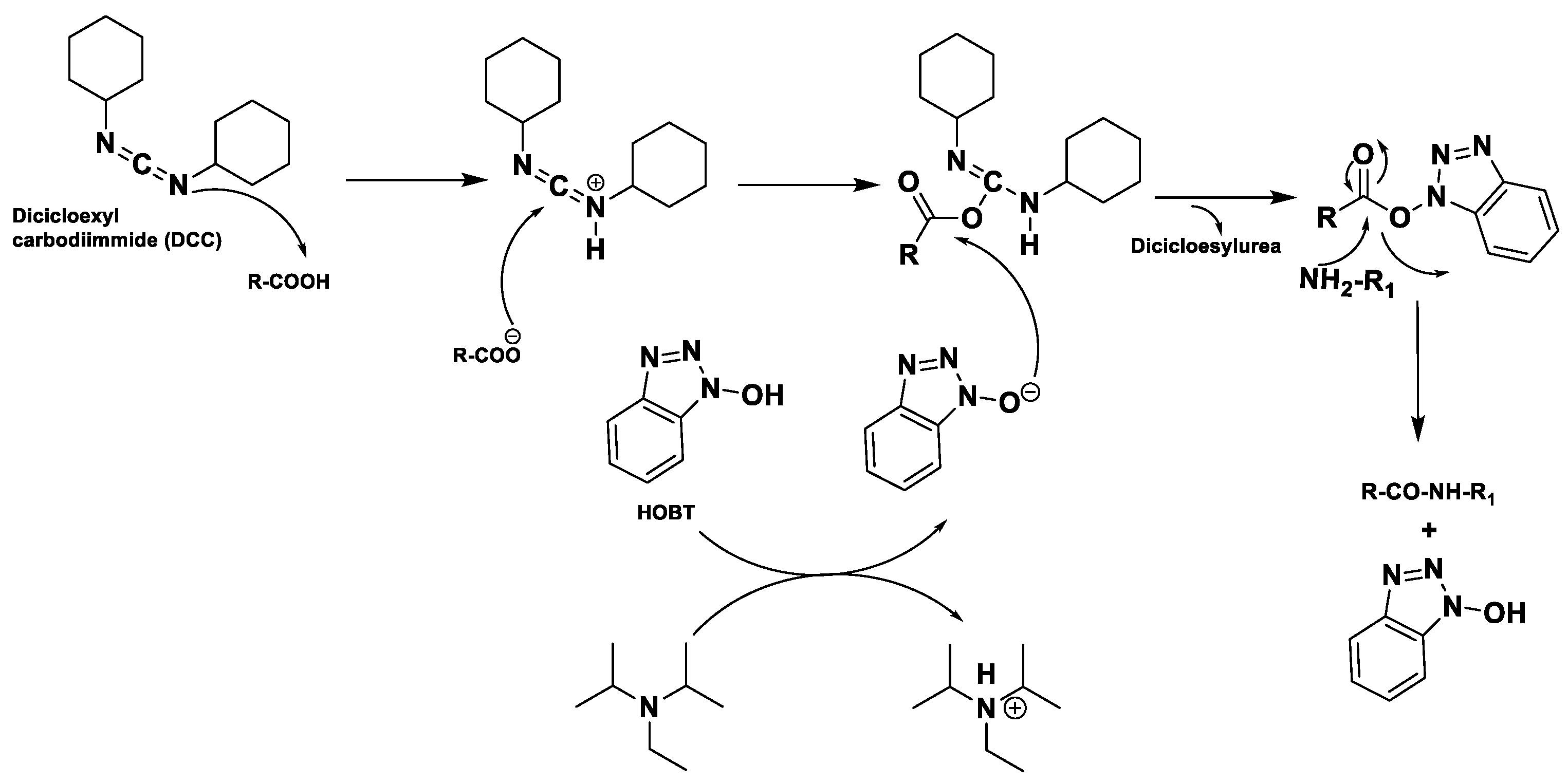
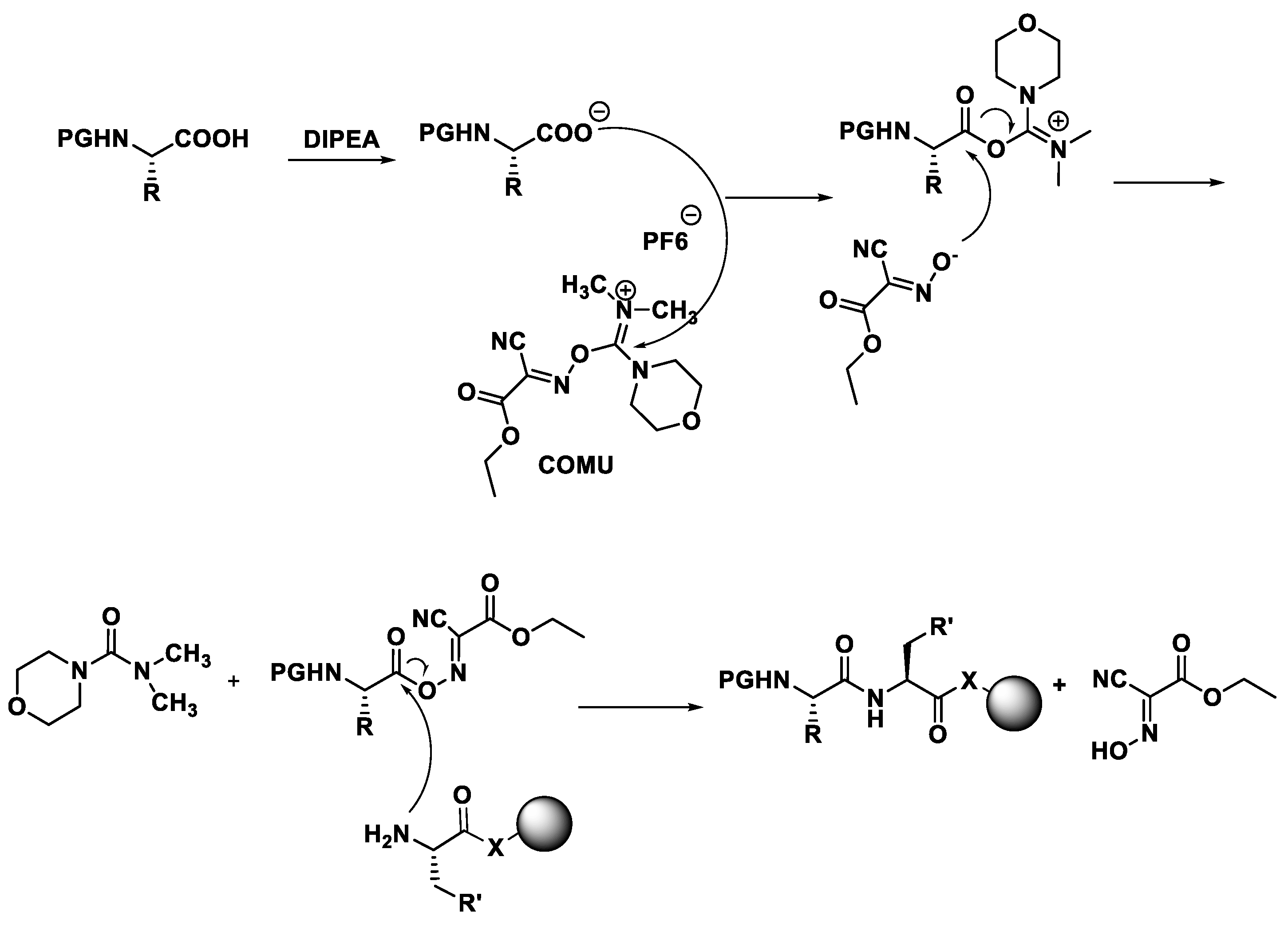
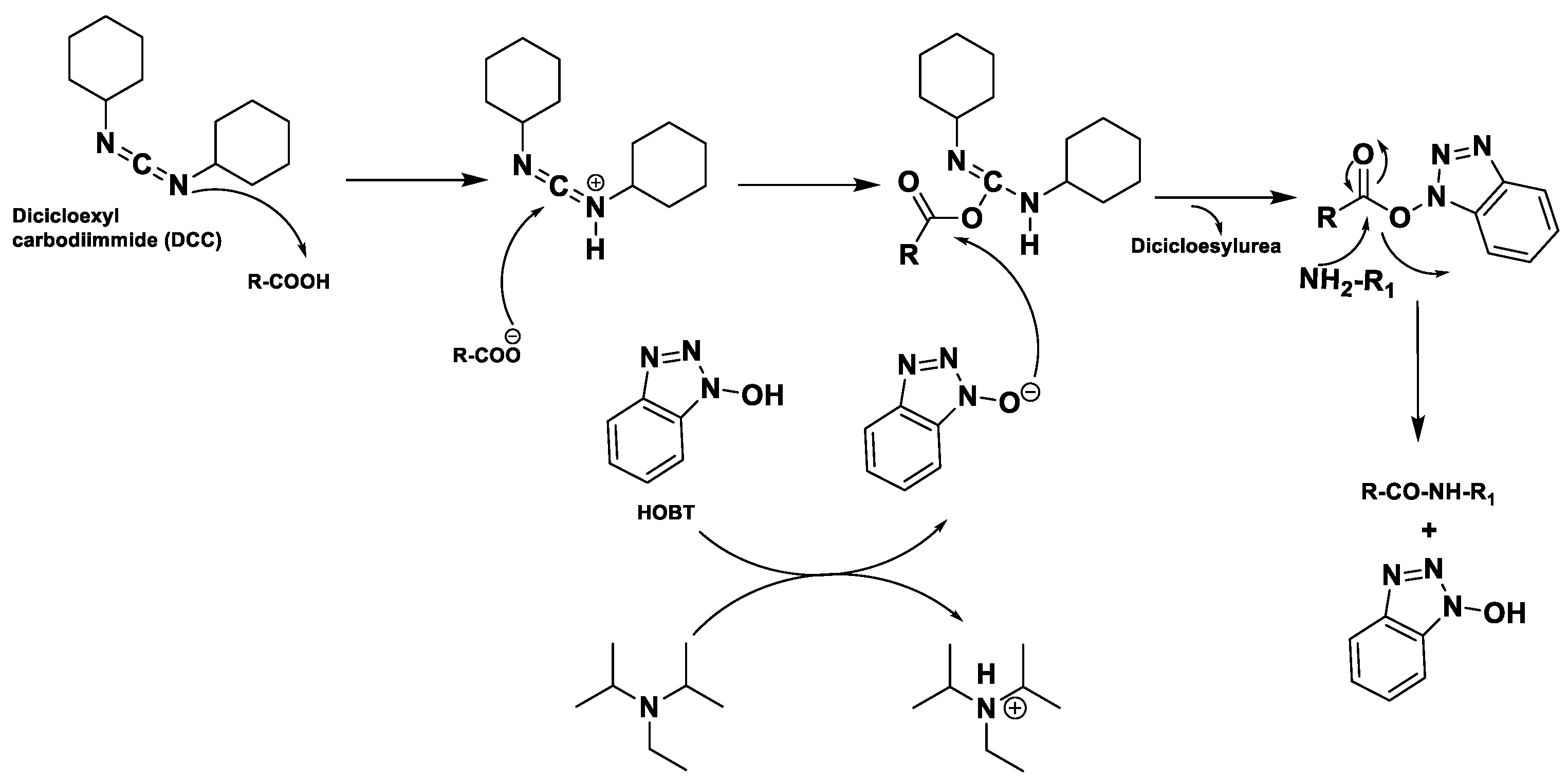
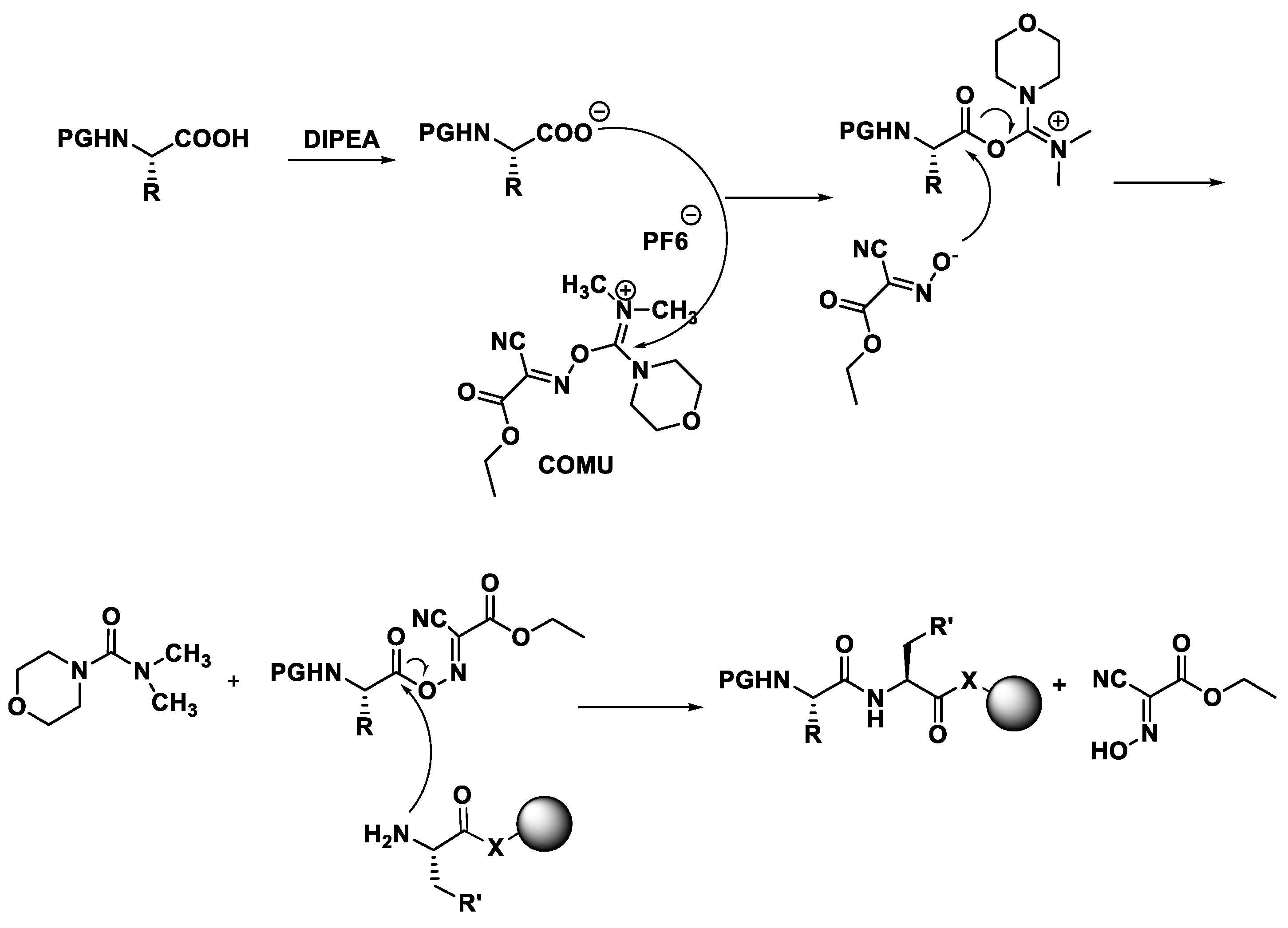
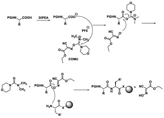
5. MW-Assisted Green Chemistry in Peptide Synthesis
5.1. Green Solvents in Peptide Synthesis
5.2. Deep Eutectic Solvents (DESs)
6. Conclusions and Perspectives
Author Contributions
Funding
Data Availability Statement
Conflicts of Interest
Abbreviations
| MAOS | Microwave-assisted organic synthesis |
| MW | Microwaves |
| LET | Light emitting technology |
| PTFE | Politetrafluoroethylene |
| DBSA | p-Dodecylbenzenesulfonic acid |
| INH | Isoniazid |
| PTSA | p-toluenesulfonic acid |
| NMP | N-methyl-2-pyrrolidone |
| RCM | N-methyl-2-pyrrolidone |
| RCM | Ring-closing metathesis |
| CM | Closing metathesis |
| HGII | Hoveyda-Grubbs II generation catalyst |
| HMF | 5-hydroxymethylfurfural |
| PEG | Polyethylene glycol |
| VOCs | Volatile organic compounds |
| PAT | Process analytical technology |
| DMSO | Dimethyl sulfoxide |
| SEM | Scanning Electron Microscopy |
| EDX | X-ray Spectroscopy |
| PID | Proportional integral derivative |
| ML | Machine learning |
| PID | Proportional-integral-derivative |
| MCRs | Multicomponent reaction |
References
- Gedye, R.; Smith, F.; Westaway, K.; Ali, H.; Baldisera, L.; Laberge, L.; Rousell, J. The use of microwave ovens for rapid organic synthesis. Tetrahedron Lett. 1986, 27, 279–282. [Google Scholar] [CrossRef]
- Giguere, R.J.; Bray, T.L.; Duncan, S.M.; Majetich, G. Application of commercial microwave ovens to organic synthesis. Tetrahedron Lett. 1986, 27, 4945–4948. [Google Scholar] [CrossRef]
- Loupy, A.; Perreux, L. A tentative rationalization of microwave effects in organic synthesis according to the reaction medium, and mechanistic considerations. Tetrahedron 2001, 57, 9199–9223. [Google Scholar] [CrossRef]
- Lidström, P.; Tierney, J.; Wathey, B.; Westman, J. Microwave assisted organic synthesis—A review. Tetrahedron 2001, 57, 9225–9283. [Google Scholar] [CrossRef]
- de la Hoz, A.; Díaz-Ortiz, Á.; Moreno, A. Microwaves in organic synthesis. Thermal and non-thermal microwave effects. Chem. Soc. Rev. 2005, 34, 164–178. [Google Scholar] [CrossRef] [PubMed]
- Kurul, F.; Doruk, B.; Topkaya, S.N. Principles of Green Chemistry: Building a Sustainable Future. Discov. Chem. 2025, 2, 68. [Google Scholar] [CrossRef]
- Beach, E.S.; Cui, Z.; Anastas, P.T. Green Chemistry: A Design Framework for Sustainability. Energy Environ. Sci. 2009, 2, 1038–1049. [Google Scholar] [CrossRef]
- Mulvihill, M.J.; Beach, E.S.; Zimmerman, J.B.; Anastas, P.T. Green Chemistry and Green Engineering: A Framework for Sustainable Technology Development. Annu. Rev. Environ. Resour. 2011, 36, 271–293. [Google Scholar] [CrossRef]
- Henary, M.; Kananda, C.; Rotolo, L.; Savino, B.; Owens, E.A.; Cravotto, G. Benefits and applications of microwave-assisted synthesis of nitrogen containing heterocycles in medicinal chemistry. RSC Adv. 2020, 10, 14170–14197. [Google Scholar] [CrossRef]
- Varma, R.S. Solvent-Free Organic Syntheses Using Supported Reagents and Microwave Irradiation. Green Chem. 2002, 4, 43–55. [Google Scholar]
- Varma, R.S.; Namboodiri, V.V. An Expeditious Solvent-Free Route to ionic liquids Using Microwaves. Chem. Commun. 2001, 7, 643–644. [Google Scholar] [CrossRef]
- Pedersen, S.L.; Tofteng, A.P.; Malik, L.; Jensen, K.J. Microwave Heating in Solid-Phase Peptide Synthesis. Chem. Soc. Rev. 2012, 41, 1826–1844. [Google Scholar] [CrossRef]
- Tejas, W.; Shrikant, S.; Vinod, W.; Manisha, S.; Pallavi, P. Review on Green Chemistry. J. Drug Deliv. Ther. 2023, 13, 190. [Google Scholar] [CrossRef]
- Verma, D.K.; Verma, C.; Otero Fuertes, P. (Eds.) Green Chemical Synthesis with Microwaves and Ultrasound; Wiley-VCH: Weinheim, Germany, 2024. [Google Scholar]
- Anastas, P.T.; Warner, J.C. Green Chemistry: Theory and Practice; Oxford University Press: New York, NY, USA, 1998. [Google Scholar]
- Banerjee, S.; Periyasamy, S.; Muthukumaradoss, K.; Deivasigamani, P.; Saravanan, V. Revolutionizing organic synthesis through green chemistry: Metal-free, bio-based, and microwave-assisted methods. Front. Chem. 2025, 13, 1656935. [Google Scholar] [CrossRef]
- Hayes, B.L. Microwave Synthesis: Chemistry at the Speed of Light; CEM Publishing: Matthews, NC, USA, 2002. [Google Scholar]
- Sun, J.; Wang, W.; Yue, Q. Review on Microwave-Matter Interaction Fundamentals and Efficient Microwave-Associated Heating Strategies. Materials 2016, 9, 231. [Google Scholar] [CrossRef]
- Vermeiren, J.; Goovaerts, V. Vleugels, Design, electromagnetic model and experimental validation of a 2.45 GHz mono-mode microwave rotary tube furnace for high temperature applications. Energy 2025, 331, 136965. [Google Scholar] [CrossRef]
- Sangeetha, M.; Sada, B.; Bohara, K.; Pasha, S.Y.; Shravya, Y.; Rao, T.R. Microwave-Assisted Organic Synthesis: A Green Chemistry Strategy. Int. J. Res. Pharm. Allied Sci. 2025, 4, 50–62. [Google Scholar] [CrossRef]
- Kumar, S.; Maurya, A. Microwave-Assisted Synthesis of Heterocyclic Scaffolds. SynOpen 2024, 8, 138–152. [Google Scholar] [CrossRef]
- Goyal, H.; Chen, T.-Y.; Chen, W.; Vlachos, D.G. A review of microwave-assisted process intensified multiphase reactors. Chem. Eng. J. 2022, 430, 133183. [Google Scholar] [CrossRef]
- Coker, A.K. Rules of Thumb—Summary. In Petroleum Refining Design and Applications Handbook, 2nd ed.; Wiley: Hoboken, NJ, USA, 2021. [Google Scholar]
- Adhikari, A.; Bhakta, S.; Ghosh, T. Microwave-assisted synthesis of bioactive heterocycles: An overview. Tetrahedron 2022, 126, 133085. [Google Scholar] [CrossRef]
- Vanier, G.S. Microwave-assisted solid-phase peptide synthesis based on the Fmoc protecting group strategy (CEM). Methods Mol. Biol. 2013, 1047, 235–249. [Google Scholar]
- Bálint, E.; Keglevich, G. The Spread of the Application of the Microwave Technique in Organic Synthesis. In Milestones in Microwave Chemistry; Keglevich, G., Ed.; Springer: Cham, Switzerland, 2016; pp. 1–10. [Google Scholar]
- Dudley, G.B.; Stiegman, A.E. Changing Perspectives on the Strategic Use of Microwave Heating in Organic Synthesis. Chem. Rec. 2017, 18, 381–389. [Google Scholar] [CrossRef]
- Tiwari, G.; Khanna, A.; Mishra, V.K.; Sagar, R. Recent developments on microwave-assisted organic synthesis of nitrogen- and oxygen-containing preferred heterocyclic scaffolds. RSC Adv. 2023, 13, 32858–32892. [Google Scholar] [CrossRef]
- Gomha, S.M.; Edrees, M.M.; Faty, R.A.M.; Muhammad, Z.A.; Mabkhot, Y.N. Microwave-assisted one pot three-component synthesis of some novel pyrazole scaffolds as potent anticancer agents. Chem. Cent. J. 2017, 11, 37. [Google Scholar] [CrossRef] [PubMed]
- Kappe, C.O.; Dallinger, D. Controlled Microwave Heating in Modern Organic Synthesis: Highlights from the 2004–2008 literature. Mol Divers. 2009, 13, 71–193. [Google Scholar] [CrossRef] [PubMed]
- Kappe, C.O. Microwave dielectric heating in synthetic organic chemistry. Chem. Soc. Rev. 2008, 37, 1127–1139. [Google Scholar] [CrossRef] [PubMed]
- Ganesh, K.N.; Zhang, D.; Miller, S.J.; Rossen, K.; Chirik, P.J.; Kozlowski, M.C.; Zimmerman, J.B.; Brooks, B.W.; Savage, P.E.; Allen, D.T.; et al. Green Chemistry: A Framework for a Sustainable Future. ACS Omega 2021, 6, 16254–16258. [Google Scholar] [CrossRef]
- Priecel, P.; López-Sánchez, J.A. Advantages and Limitations of Microwave Reactors: From Chemical Synthesis to the Catalytic Valorization of Biobased Chemicals. ACS Sustain. Chem. Eng. 2018, 7, 3–21. [Google Scholar] [CrossRef]
- Zhang, Y.; Cui, Y.; Liu, S.; Fan, L.; Zhou, N.; Peng, P.; Wang, Y.; Guo, F.; Min, M.; Cheng, Y.; et al. Fast Microwave-Assisted Pyrolysis of Wastes for Biofuels Production—A Review. Bioresour. Technol. 2020, 297, 122480. [Google Scholar] [CrossRef]
- Wang, Z.; Yang, H.; Zhang, D.; Du, Z.; Hou, H.; Yang, W.; Zhan, X. Recent Advances in Metal–Organic Frameworks and Derived Multifunctional Materials for Photocatalytic Applications. Nanoscale 2025, 17, 22648–22681. [Google Scholar] [CrossRef]
- Meloni, E.; Iervolino, G.; Palma, V. Microwave-Assisted Catalysis: Principles, Mechanisms, and Applications. In Advances in Microwave-Assisted Heterogeneous Catalysis; Hu, J., Reddy, B.M., Eds.; Royal Society of Chemistry: London, UK, 2023; pp. 1–24. [Google Scholar]
- Li, Z.; Peng, K.; Ji, N.; Zhang, W.; Tian, W.; Gao, Z. Microwave-Assisted Synthesis of Highly Dispersed Pt Nanoparticles on Mesoporous Carbon Nanospheres for Efficient Hydrogen Generation. Nanoscale Adv. 2025, 7, 419–432. [Google Scholar] [CrossRef]
- Zhang, H.; Chen, Y.; Tang, K.; Lin, Z.; Li, X.; Zhang, H.; Zhang, Y.; Saito, T.; Wong, C.H.; Leung, C.W.; et al. Microwave-Induced Catalytic Cracking of Polyolefins into Fuels and Chemicals over Hierarchical Zeolites. arXiv 2023, arXiv:2303.05560. [Google Scholar]
- Singh, A.; Patel, R.; Kumar, S.; Gupta, P. Rapid Microwave-Assisted Synthesis of Heterocyclic Compounds: Green Chemistry Perspective. Microw. Chem. 2025, 7, 88–102. [Google Scholar]
- Yu, Z.; Deng, C.; Ma, W.; Liu, Y.; Liu, C.; Zhang, T.; Xiao, H. Microwave-Assisted Synthesis of N, S Co-Doped Carbon Quantum Dots for Fluorescent Sensing of Fe(III) and Hydroquinone in Water and Cell Imaging. Nanomaterials 2024, 14, 1827. [Google Scholar] [CrossRef] [PubMed]
- Devi, N.; Sahoo, S.; Kumar, R.; Singh, R.K. Microwave Assisted Synthesis of Nanomaterials for Environmental Applications. Nanoscale 2021, 13, 11679–11711. [Google Scholar] [CrossRef]
- Martina, K.; Cravotto, G.; Varma, R.S. Impact of Microwaves on Organic Synthesis and Strategies toward Flow Processes and Scaling Up. J. Org. Chem. 2021, 86, 13857–13872. [Google Scholar] [CrossRef]
- Santagada, V.; Perissutti, E.; Caliendo, G. The Application of Microwave Irradiation as a New Convenient Synthetic Procedure in Drug Discovery. Curr. Med. Chem. 2002, 9, 1251–1283. [Google Scholar] [CrossRef]
- Gupta, S.S.; Kumari, S.; Kumar, I.; Sharma, U. Microwave-Assisted Synthesis of Heterocyclic Compounds: A Review. Chem. Heterocycl. Compd. 2020, 56, 433–444. [Google Scholar] [CrossRef]
- Santagada, V.; Frecentese, F.; Perissutti, E.; Fiorino, F.; Severino, B.; Caliendo, G. Microwave Assisted Synthesis: A New Technology in Drug Discovery. Mini-Rev. Med. Chem. 2009, 9, 340–358. [Google Scholar] [CrossRef]
- Majumder, A.; Gupta, R.; Jain, A. Microwave-Assisted Synthesis of Nitrogen-Containing Heterocycles. Green Chem. Lett. Rev. 2013, 6, 151–182. [Google Scholar]
- Zhao, L.; Li, Y.; Wang, S. Recent Advances in Microwave-Assisted Organic Synthesis. Chem. Rev. 2023, 123, 7585–7632. [Google Scholar]
- Park, H.; Hwang, K.Y.; Kim, Y.H.; Oh, K.H.; Lee, J.Y.; Kim, K. Microwave-Assisted Synthesis and Biological Evaluation of 2-Arylbenzoxazoles as Potential Anticancer Agents. Bioorg. Med. Chem. Lett. 2008, 18, 3711–3715. [Google Scholar] [CrossRef]
- Gabra, M.T.; El-Gohary, N.S.; El-Bendary, E.R.; El-Kerdawy, M.M.; Ni, N. Microwave-Assisted Synthesis and Antitumor Evaluation of a New Series of Thiazolylcoumarin Derivatives. EXCLI J. 2017, 16, 1114–1131. [Google Scholar]
- Ramani, A.V.; Monika, A.; Indira, V.L.; Karyavardhi, G.; Venkatesh, J.; Jeankumar, V.U.; Manjashetty, T.H.; Yogeeswari, P.; Sriram, D. Synthesis of Highly Potent Novel Anti-Tubercular Isoniazid Analogues with Preliminary Pharmacokinetic Evaluation. Bioorg. Med. Chem. Lett. 2012, 22, 2764–2767. [Google Scholar] [CrossRef] [PubMed]
- Chitra, S.; Nidhin, P.; Muthusubramanian, S.; Manisankar, P. A Facile, Water Mediated, Microwave Assisted Synthesis of 4,6-Diaryl-2,3,3a,4-Tetrahydro-1H-Pyrido[3,2,1-jk] carbazoles by a Domino Fischer Indole Reaction–Intramolecular Cyclization Sequence. Green Chem. 2011, 13, 2777–2785. [Google Scholar] [CrossRef]
- Alghamdi, S.; Qusty, N.F.; Atwah, B.; Alhindi, Z.; Alatawy, R.; Verma, S.; Asif, M. Isoniazid analogs and their biological activities as antitubercular agents (a review). Russ. J. Gen. Chem. 2024, 94, 2101–2141. [Google Scholar] [CrossRef]
- Shaikh, I.N.; Baseer, M.A.; Ahmed, D.B.; Adil, S.F.; Khan, M.; Alwarthan, A. Microwave-Assisted Green Synthesis of 1,5-Benzodiazepines Using Cu(II)-Clay Nanocatalyst. J. King Saud Univ. Sci. 2020, 32, 979–985. [Google Scholar] [CrossRef]
- Negishi, E.; Anastasia, L. Palladium Catalyzed Alkynylation. Chem. Rev. 2003, 103, 1979–2017. [Google Scholar] [CrossRef]
- Baig, R.B.N.; Varma, R.S. A Highly Active and Magnetically Retrievable Nanoferrite–DOPA–Copper Catalyst for the Coupling of Thiophenols with Aryl Halides. Chem. Commun. 2012, 48, 2582–2584. [Google Scholar] [CrossRef]
- Kou, J.H.; Saha, A.; Bennett Stamper, C.; Varma, R.S. Inside out Core–Shell Architecture: Controllable Fabrication of Cu2O@Cu with High Activity for the Sonogashira Coupling Reaction. Chem. Commun. 2012, 48, 5862–5864. [Google Scholar] [CrossRef]
- Sedelmeier, J.; Ley, S.V.; Lange, H.; Baxendale, I.R. Pd-EnCatTM TPP30 as a Catalyst for the Generation of Highly Functionalized Aryl- and Alkenyl-Substituted Acetylenes via Microwave-Assisted Sonogashira Type Reactions. Eur. J. Org. Chem. 2009, 2009, 4412–4420. [Google Scholar] [CrossRef]
- Qu, G.R.; Xin, P.-Y.; Niu, H.-Y.; Jin, X.; Guo, X.-T.; Yang, X.-N.; Guo, H.-M. Microwave Promoted Palladium-Catalyzed Suzuki–Miyaura Cross-Coupling Reactions of 6-Chloropurines with Sodium Tetraarylborate in Water. Tetrahedron 2011, 67, 9099–9103. [Google Scholar] [CrossRef]
- Ley, S.V.; Thomas, A.W. Modern Synthetic Methods for Copper-Mediated C(aryl)–O, C(aryl)–N, and C(aryl)–S Bond Formation. Angew. Chem. Int. Ed. 2003, 42, 5400–5449. [Google Scholar] [CrossRef]
- Brændvang, M.; Gundersen, L.-L. Selective Anti-Tubercular Purines: Synthesis and Chemotherapeutic Properties of 6-Aryl- and 6-Heteroaryl-9-Benzylpurines. Bioorg. Med. Chem. 2005, 13, 6360–6373. [Google Scholar] [CrossRef] [PubMed]
- Kolb, H.C.; Finn, M.G.; Sharpless, K.B. Click Chemistry: Diverse Chemical Function from a Few Good Reactions. Angew. Chem. Int. Ed. 2001, 40, 2004–2021. [Google Scholar] [CrossRef]
- Swami, S.; Sharma, N.; Sharma, G.; Shrivastava, R. Recent advances in microwave-assisted synthesis of triazoles and their derivatives: A green approach toward sustainable development methods. RSC Adv. 2025, 15, 2361–2415. [Google Scholar] [CrossRef] [PubMed]
- Baig, R.B.N.; Varma, R.S. Stereo- and Regioselective One Pot Synthesis of Triazole Based Unnatural Amino Acids and β Amino Triazoles. Chem. Commun. 2012, 48, 5853–5855. [Google Scholar] [CrossRef]
- Kumar, D.; Reddy, V.B.; Varma, R.S. A Facile and Regioselective Synthesis of 1,4-Disubstituted 1,2,3-Triazoles Using Click Chemistry. Tetrahedron Lett. 2009, 50, 2065–2068. [Google Scholar] [CrossRef]
- Baig, R.B.N.; Varma, R.S. Mixing with microwaves: A simple catalyst free and solvent free synthesis of pyrazoles and diazepines using magnetically recoverable Pd catalyst. Green Chem. 2013, 15, 1839–1843. [Google Scholar] [CrossRef]
- Ettari, R.; Micale, N. Chloro-Substituted Hoveyda–Grubbs Ruthenium Carbene: Investigation of Electronic Effects. J. Organomet. Chem. 2007, 692, 3574–3576. [Google Scholar] [CrossRef]
- Feng, X.-S.; Taton, D.; Chaikof, E.L.; Gnanou, Y. Toward an Easy Access to Dendrimer-Like Poly(ethylene oxide)s. J. Am. Chem. Soc. 2005, 127, 10956–10966. [Google Scholar] [CrossRef]
- Cortez, G.A.; Baxter, C.A.; Schrock, R.R.; Hoveyda–Grubbs, A.H. Comparison of Ru- and Mo-Based Chiral Olefin Metathesis Catalysts: Complementarity in Asymmetric Ring-Opening/Cross-Metathesis Reactions of Oxa- and Azabicycles. Org. Lett. 2007, 9, 2871–2874. [Google Scholar] [CrossRef] [PubMed]
- Villar, H.; Frings, M.; Bolm, C. Ring closing enyne metathesis: A powerful tool for the synthesis of heterocycles. Chem. Soc. Rev. 2006, 36, 55–66. [Google Scholar] [CrossRef] [PubMed]
- Korber, J.N.; Wille, C.; Leutzsch, M.; Fürstner, A. From the Glovebox to the Benchtop: Air-Stable High-Performance Molybdenum Alkylidyne Catalysts for Alkyne Metathesis. J. Am. Chem. Soc. 2023, 145, 26993–27009. [Google Scholar] [CrossRef] [PubMed]
- Mayo, K.G.; Nearhoof, E.H.; Kiddle, J.J. Microwave-accelerated ruthenium-catalyzed olefin metathesis. Org. Lett. 2002, 4, 1567–1570. [Google Scholar] [CrossRef]
- Nagahata, R.; Nakamura, T.; Mori, Y.; Takeuchi, K. Microwave-assisted facile and rapid esterification of amino acids I: Esterification of L-leucine from batch to flow processes and scale up. Nat. Sci. 2017, 9, 110–122. [Google Scholar] [CrossRef][Green Version]
- Li, X.; Xu, J. Effects of the microwave power on the microwave-assisted esterification. Curr. Microw. Chem. 2017, 4, 158–162. [Google Scholar] [CrossRef]
- Tajti, A.; Toth, N.; Balint, E.; Keglevich, G. Esterification of benzoic acid in a continuous flow microwave reactor. J. Flow Chem. 2018, 8, 11–19. [Google Scholar] [CrossRef]
- Balint, E.; Tajti, A.; Toth, N.; Keglevich, G. Continuous flow alcoholysis of dialkyl H phosphonates with aliphatic alcohols. Molecules 2018, 23, 1618. [Google Scholar] [CrossRef]
- Kiss, N.Z.; Henyecz, R.; Keglevich, G. Continuous flow esterification of a H phosphinic acid, and transesterification of H phosphonates and phosphinates. Molecules 2020, 25, 719. [Google Scholar] [CrossRef]
- Balint, E.; Tajti, A.; Keglevich, G. Application of the microwave technique in continuous flow processing of organophosphorus chemical reactions. Materials 2019, 12, 788. [Google Scholar] [CrossRef]
- Isaksson, R.; Kumpiņa, I.; Larhed, M.; Wannberg, J. Rapid and straightforward transesterification of sulfonyl carbamates. Tetrahedron Lett. 2016, 57, 1476–1478. [Google Scholar] [CrossRef]
- Kumpina, I.; Isaksson, R.; Saevmarker, J.; Wannberg, J.; Larhed, M. Development of sustainable processes for organic synthesis in flow chemistry. Org. Process Res. Dev. 2016, 20, 440–446. [Google Scholar]
- Marafie, J.A.; Moseley, J.D. Microwave-assisted organic synthesis in heterocyclic chemistry. Org. Biomol. Chem. 2010, 8, 2219–2227. [Google Scholar] [CrossRef] [PubMed]
- Horikoshi, S.; Watanabe, T.; Kamata, M.; Suzuki, Y.; Serpone, N. Photocatalytic degradation of pollutants under visible light. RSC Adv. 2015, 5, 90272–90280. [Google Scholar] [CrossRef]
- Öhrngren, P.; Fardost, A.; Russo, F.; Schanche, J.-S.; Fagrell, M.; Larhed, M. Continuous-flow processes for green chemistry applications. Org. Process Res. Dev. 2012, 16, 1053–1063. [Google Scholar] [CrossRef]
- Abele, S.; Hock, S.; Schmidt, G.; Funel, J.-A.; Marti, R. Advances in flow chemistry for pharmaceutical synthesis. Org. Process Res. Dev. 2012, 16, 1114–1120. [Google Scholar] [CrossRef]
- Barham, J.P.; Tamaoki, S.; Egami, H.; Ohneda, N.; Okamoto, T.; Odajima, H.; Hamashima, Y. Enantioselective catalysis using microwave activation. Org. Biomol. Chem. 2018, 16, 7568–7571. [Google Scholar] [CrossRef]
- Rathi, A.K.; Gawande, M.B.; Zboril, R.; Varma, R.S. Nanocatalysis in green chemistry: Emerging trends. Coord. Chem. Rev. 2015, 291, 68–94. [Google Scholar] [CrossRef]
- Salih, K.S.M.; Baqi, Y. Microwave-Assisted Palladium-Catalyzed Cross-Coupling Reactions: Generation of Carbon–Carbon Bond. Catalysts 2020, 10, 4. [Google Scholar] [CrossRef]
- Petricci, E.; Cini, E.; Taddei, M. Synthesis and application of organometallic complexes in catalysis. Eur. J. Org. Chem. 2020, 2020, 4435–4446. [Google Scholar] [CrossRef]
- Nguyen, R.; Galy, N.; Alasmary, F.A.; Len, C. Microwave-Assisted Continuous Flow for the Selective Oligomerization of Glycerol. Catalysts 2021, 11, 166. [Google Scholar] [CrossRef]
- Etse, K.S.; Ngendera, A.; Ntumba, N.T.; Demonceau, A.; Delaude, L.; Dragutan, I.; Dragutan, V. Medicinal chemistry applications of microwave chemistry. Curr. Med. Chem. 2018, 24, 4538–4562. [Google Scholar]
- Driowya, M.; Saber, A.; Marzag, H.; Demange, L.; Bougrin, K.; Benhida, R. Microwave-assisted synthesis of biologically active molecules. Molecules 2016, 21, 1032. [Google Scholar] [CrossRef] [PubMed]
- Comer, E.; Organ, M.G. Cross-coupling reactions in organic synthesis. J. Am. Chem. Soc. 2005, 127, 8160–8167. [Google Scholar] [CrossRef] [PubMed]
- Rosana, M.R.; Tao, Y.; Stiegman, A.E.; Dudley, G.B. Sustainable approaches to heterocycle synthesis. Chem. Sci. 2012, 3, 1240–1243. [Google Scholar] [CrossRef]
- Morin, E.; Sosoe, J.; Raymond, M.; Amorelli, B.; Boden, R.; Collins, S. Process intensification by microwave activation in organic synthesis. Org. Process Res. Dev. 2019, 23, 283–290. [Google Scholar] [CrossRef]
- Aljerf, L.; Nadra, R. Developed greener method based on MW implementation in manufacturing CNFs. Int. J. Nanomanuf. 2019, 15, 213–227. [Google Scholar] [CrossRef]
- Tagliapietra, S.; Gaudino, E.C.; Martina, K.; Barge, A.; Cravotto, G. Advances in automated organic synthesis. Chem. Rec. 2019, 19, 98–110. [Google Scholar] [CrossRef]
- Lau, C.C.; Bayazit, M.K.; Reardon, P.J.T.; Tang, J. Microwave-assisted peptide synthesis. Chem. Rec. 2019, 19, 172–187. [Google Scholar]
- Nadagouda, M.N.; Speth, T.F.; Varma, R.S. Green chemistry and nanotechnology. Acc. Chem. Res. 2011, 44, 469–478. [Google Scholar] [CrossRef] [PubMed]
- Varma, R.S. Solvent-free microwave chemistry. Pure Appl. Chem. 2013, 85, 1703–1710. [Google Scholar] [CrossRef]
- Li, H.; Zhang, C.; Pang, C.; Li, X.; Gao, X. Recent developments in microwave-assisted hematology applications. Front. Hematol. 2020, 8, 355. [Google Scholar]
- Wahab, S.; Salman, A.; Khan, Z.; Khan, S.; Krishnaraj, C.; Yun, S.-I. Metallic Nanoparticles: A Promising Arsenal against Antimicrobial Resistance—Unraveling Mechanisms and Enhancing Medication Efficacy. Int. J. Mol. Sci. 2023, 24, 14897. [Google Scholar] [CrossRef]
- Gawande, M.B.; Shelke, S.N.; Zboril, R.; Varma, R.S. Microwave-assisted chemistry: Synthetic applications for rapid assembly of nanomaterials and organics. Acc. Chem. Res. 2014, 47, 1338–1348. [Google Scholar] [CrossRef]
- Tucker, J.L. Green Chemistry, a Pharmaceutical Perspective. Org. Process. Res. Dev. 2006, 10, 315–319. [Google Scholar] [CrossRef]
- Kokel, A.; Schäfer, C.; Török, B. Sustainable green catalysts for chemical reactions. Green Chem. 2017, 19, 3729–3747. [Google Scholar] [CrossRef]
- De Risi, C.; Bortolini, O.; Brandolese, A.; Di Carmine, G.; Ragno, D.; Massi, A. Continuous-flow reactors in sustainable chemical manufacturing. React. Chem. Eng. 2020, 5, 1017–1037. [Google Scholar] [CrossRef]
- Moran, M.J.; Martina, K.; Stefanidis, G.D.; Jordens, J.; Van Gerven, T.; Goovaerts, V.; Manzoli, M.; Groffils, C.; Cravotto, G. Advances in flow chemistry for sustainable synthesis. Front. Chem. 2020, 8, 34. [Google Scholar]
- Calcio Gaudino, E.; Manzoli, M.; Carnaroglio, D.; Wu, Z.; Grillo, G.; Rotolo, L.; Medlock, J.; Bonrath, W.; Cravotto, G. Microwave-assisted synthesis for sustainable organic transformations. RSC Adv. 2018, 8, 7029–7036. [Google Scholar] [CrossRef]
- Song, S.; Sun, X.; Li, X.; Yuan, Y.; Jiao, N. Microwave-assisted organic synthesis in catalysis. Org. Lett. 2015, 17, 2886–2889. [Google Scholar] [CrossRef]
- Taddei, M.; Steitz, D.A.; van Bokhoven, J.A.; Ranocchiari, M. Continuous-Flow Microwave Synthesis of Metal-Organic Frameworks: A highly efficient method for large-scale production. Chem. Eur. J. 2016, 22, 3245–3249. [Google Scholar] [CrossRef] [PubMed]
- Bundhoo, Z.M.A. Sustainable energy approaches in chemical synthesis. Renew. Sustain. Energy Rev. 2018, 82, 1149–1167. [Google Scholar] [CrossRef]
- Manvar, A.; Shah, A. Microwave-assisted reactions in Asian organic chemistry. Asian J. Org. Chem. 2014, 3, 1134–1143. [Google Scholar] [CrossRef]
- Sniady, A.; Bedore, M.W.; Jamison, T.F. Advances in Microwave-Assisted Heterocyclic Synthesis. Angew. Chem. Int. Ed. 2011, 50, 2155. [Google Scholar] [CrossRef]
- Su, T.; Zhao, D.; Wang, Y.; Lü, H.; Varma, R.S.; Len, C. Sustainable Chemistry Enabled by Microwave Technology. ChemSusChem 2021, 14, 266. [Google Scholar] [CrossRef]
- Zhao, D.; Padron, D.R.; Triantafyllidis, K.S.; Wang, Y.; Luque, R.; Len, C. Microwave-Assisted Green Chemistry for Sustainable Engineering. ACS Sustain. Chem. Eng. 2020, 8, 3091. [Google Scholar] [CrossRef]
- Daştan, A.; Kulkarni, A.; Török, B. Environmentally benign synthesis of heterocyclic compounds by combined microwave-assisted heterogeneous catalytic approaches. Green Chem. 2011, 14, 17–37. [Google Scholar] [CrossRef]
- Javahershenas, R.J.; Makarem, A.; Klika, K.D. Recent advances in microwave-assisted multicomonent synthesis f spiro heterocycles. RSC Adv. 2024, 14, 5545–5565. [Google Scholar] [CrossRef]
- Das, A.; Ray, D.; Ashraf, M.W.; Banik, B.K. Recent Trends in Microwave-Assisted Drug Discovery. Curr. Top. Med. Chem. 2025, 25, 554–580. [Google Scholar] [CrossRef]
- Gutmann, B.; Gottsponer, M.; Elsner, P.; Cantillo, D.; Roberge, D.; Kappe, C.O. Innovations in Microwave Chemistry for Pharmaceutical Manufacturing. Org. Process Res. Dev. 2013, 17, 294. [Google Scholar] [CrossRef]
- Panther, J.; Rechmann, J.; Müller, T.J.J. Microwave-Assisted Synthesis of Heterocycles. Chem. Heterocycl. Compd. 2016, 52, 897. [Google Scholar] [CrossRef]
- Xu, J.; Yu, J.; Jin, Y.; Li, J.; Yu, Z.; Lv, Y. Microwave-Assisted Chemical Engineering Applications. Chem. Eng. Process. 2017, 121, 144. [Google Scholar] [CrossRef]
- Cirillo, P.F.; Caccavale, A.; De Luna, A. Educational Aspects of Microwave Chemistry. J. Chem. Educ. 2021, 98, 567. [Google Scholar] [CrossRef]
- Karthikeyan, S.V.; Perumal, S.; Shetty, K.A.; Yogeeswari, P.; Sriram, D. A Microwave-Assisted Facile Regioselective Fischer Indole Synthesis and Antitubercular Evaluation of Novel 2-Aryl-3,4-Dihydro-2H-Thieno[3,2-b]indoles. Bioorg. Med. Chem. Lett. 2009, 19, 3006–3009. [Google Scholar] [CrossRef]
- Damm, M.; Glasnov, T.N.; Kappe, C.O. Microwave-Enhanced Organic Synthesis in Process Development. Org. Process Res. Dev. 2010, 14, 215. [Google Scholar] [CrossRef]
- Poddar, S.K.; Saqueeb, N.; Abdur Rahman, S.M. Synthesis and Biological Evaluation of 2-Methyl-1H-Benzimidazole and 1H-Benzimidazol-2-yl-Methanol. Dhaka Univ. J. Pharm. Sci. 2016, 15, 83–87. [Google Scholar] [CrossRef]
- Salvador, C.E.M.; Andrade, C.K.Z. A mild, fast, and scalable synthesis of substituted α-acyloxy ketones via multicomponent reaction using a continuous flow approach. Front. Chem. 2019, 7, 531. [Google Scholar] [CrossRef]
- Slobbe, P.; Ruijter, E.; Orru, R.V.A. Microwave-Assisted Synthesis in Medicinal Chemistry. MedChemComm 2012, 3, 1189. [Google Scholar] [CrossRef]
- Abdella, A.M.; Abdelmoniem, A.M.; Abdelhamid, I.A.; Elwahy, A.H.M. Microwave Synthesis of Heterocyclic Compounds. J. Heterocycl. Chem. 2020, 57, 1476. [Google Scholar] [CrossRef]
- Mahato, A.; Sahoo, B.M.; Banik, K.; Mohanta, B.C. Indian Advances in Microwave-Assisted Organic Chemistry. J. Indian Chem. Soc. 2018, 95, 1327. [Google Scholar]
- Devine, W.G.; Leadbeater, N.E. Probing the energy efficiency of microwave heating and continuous-flow conventional heating as tools for organic chemistry. ARKIVOC 2011, 2011, 127–143. [Google Scholar]
- Bagley, M.C.; Fusillo, V.; Jenkins, R.L.; Lubinu, M.C.; Mason, C. Microwave-Assisted Synthesis of Organic Compounds. J. Org. Chem. 2013, 9, 1957. [Google Scholar]
- Engen, K.; Sävmarker, J.; Rosenström, U.; Wannberg, J.; Lundbäck, T.; Jenmalm-Jensen, A.; Larhed, M. Continuous Flow Microwave-Assisted Organic Synthesis. Org. Process Res. Dev. 2014, 18, 1582. [Google Scholar] [CrossRef]
- Kappe, C.O. Controlled Microwave Heating in Modern Organic Synthesis. Angew. Chem. Int. Ed. 2004, 43, 6250–6284. [Google Scholar] [CrossRef]
- Rotstein, B.H.; Zaretsky, S.; Rai, V.; Yudin, A.K. Small Heterocycles in Multicomponent Reactions. Chem. Rev. 2014, 114, 8323–8359. [Google Scholar] [CrossRef]
- Ghashghaei, O.; Seghetti, F.; Lavilla, R. Recent Advances in Isocyanide-Based Multicomponent Reactions. Beilstein J. Org. Chem. 2019, 15, 521–534. [Google Scholar] [CrossRef]
- Zhu, J.; Wang, Q.; Wang, M.X. Multicomponent Reactions in Organic Synthesis; Wiley-VCH: Weinheim, Germany, 2015. [Google Scholar]
- Hoz, A.; Diaz-Ortiz, A.; Moreno, A.; Sanchez-Migallon, A.; Prieto, P.; Carrillo, J.R.; Vazquez, E.; Gomez, M.V.; Herrero, M.A. Microwave-Assisted Reactions in Heterocyclic Compounds with Applications in Medicinal and Supramolecular Chemistry. Comb. Chem. High Throughput Screen. 2007, 10, 877–902. [Google Scholar] [CrossRef]
- Gray, A.N.; Ramirez, B.M.; Mawugbe, S.K.; Mar, J.F.; Wong, Y.-L.C.; Huang, K.S. Microwave-Assisted Multicomponent Reaction for the Synthesis of Pyrimidine Derivatives. J. Vis. Exp. 2021, 168, e61950. [Google Scholar]
- Thaima, T.; Yazici, A.; Auranwiwat, C.; Willis, A.C.; Wille, U.; Limtharakul, T.; Pyne, S.G. Synthesis of Highly Functionalized Cyclopenta[b]indoles and Indolines by Multicomponent Reactions of Isatins, Amines, and Cyclopentadiene. Org. Biomol. Chem. 2021, 19, 259–272. [Google Scholar] [CrossRef]
- King, T.A.; Stewart, H.L.; Mortensen, K.T.; North, A.J.P.; Sore, H.F.; Spring, D.R. Diversity-Oriented Synthesis of Spirocyclic Scaffolds via Multicomponent Reactions. Eur. J. Org. Chem. 2019, 2019, 5219–5231. [Google Scholar] [CrossRef] [PubMed]
- Ullah, S.; Haider, R.; Siddiqi, H.M. Design, Synthesis, and Characterization of Novel Schiff Base Polymers as Corrosion Inhibitors. Arab. J. Chem. 2020, 13, 7210–7221. [Google Scholar]
- El-Hashash, M.; Rizk, S.; Atta-Allah, S. Synthesis, Characterization and Antimicrobial Activity of Some New Quinazolin-4(3H)-one Derivatives. Molecules 2015, 20, 22069–22086. [Google Scholar] [CrossRef] [PubMed]
- Insuasty, D.; Castillo, J.; Becerra, D.; Rojas, H.; Abonia, R. Synthesis of Biologically Active Molecules through Multicomponent Reactions. Molecules 2020, 25, 505. [Google Scholar] [CrossRef]
- Nandakumar, A.; Thirumurugan, P.; Perumal, P.T.; Vembu, P.; Ponnuswamy, M.N.; Ramesh, P. Microwave-Assisted Synthesis of Novel Spiroindoline Derivatives and Their Antimicrobial Evaluation. Bioorg. Med. Chem. Lett. 2010, 20, 4252–4255. [Google Scholar] [CrossRef]
- Badiola, K.A.; Quan, D.H.; Triccas, J.A.; Todd, M.H. Design, Synthesis and Biological Evaluation of Novel Triazole-Based Antimycobacterial Agents. PLoS ONE 2014, 9, e111782. [Google Scholar]
- Popiołek, Ł.; Kosikowska, U.; Mazur, L.; Dobosz, M.; Malm, A. Synthesis and Antimicrobial Evaluation of Some Novel 1,2,4-Triazole and 1,3,4-Thiadiazole Derivatives. Med. Chem. Res. 2013, 22, 3134–3147. [Google Scholar] [CrossRef]
- Bondock, S.; Alabbad, N.; Hossan, A.; Abdou, M.M.; Shati, A.A.; Alfaifi, M.Y.; Elbehairi, S.E.I.; Mohamed, N.M. Design, Synthesis, and Anticancer Evaluation of Novel Coumarin/Thiazole Congeners as Potential CDK2 Inhibitors with Molecular Dynamics. RSC Adv. 2024, 14, 18838–18855. [Google Scholar] [CrossRef]
- Heilmann, J.; Mayr, S.; Brun, R.; Rali, T.; Sticher, O. Antimalarial and Cytotoxic Activity of Papua New Guinea Rain Forest Plant Extracts and Their Constituents. Helv. Chim. Acta 2000, 83, 2939–2948. [Google Scholar] [CrossRef]
- Rajanarendar, E.; Ramakrishna, S.; Reddy, K.G.; Nagaraju, D.; Reddy, Y.N. Synthesis and Antimicrobial Activity of Some Novel Spirooxindoles Fused with Pyrrolidine and Pyrrolizidine Derivatives. Bioorg. Med. Chem. Lett. 2013, 23, 3954–3958. [Google Scholar] [CrossRef]
- Receveur, J.-M.; Bryans, J.S.; Field, M.J.; Singh, L.; Horwell, D.C. Design and Synthesis of Novel Analgesic Agents Acting on the NMDA Receptor Complex. Bioorg. Med. Chem. Lett. 1999, 9, 2329–2334. [Google Scholar] [CrossRef]
- Zinser, E.W.; Wolf, M.L.; Alexander-Bowman, S.J.; Thomas, E.M.; Davis, J.P.; Groppi, V.E.; Lee, B.H.; Thompson, D.P.; Geary, T.G. Characterization of Anthelmintic Agents Targeting Glutamate-Gated Chloride Channels in Parasitic Nematodes. J. Vet. Pharmacol. Ther. 2002, 25, 241–250. [Google Scholar]
- Potschka, H.; Feuerstein, T.J.; Löscher, W. Measurement of Neurotransmitter Release in Brain Slices to Assess Antiepileptic Drug Effects. Naunyn-Schmiedeberg’s Arch. Pharmacol. 2000, 361, 200–207. [Google Scholar] [CrossRef]
- Rajesh, S.M.; Perumal, S.; Menéndez, J.C.; Yogeeswari, P.; Sriram, D. Design, Synthesis and Antimycobacterial Evaluation of Novel Spirooxindole Derivatives via Three-Component Reactions. MedChemComm 2011, 2, 626–633. [Google Scholar] [CrossRef]
- Jarrahpour, A.; Ebrahimi, E.; De Clercq, E.; Sinou, V.; Latour, C.; Djouhri, B.L.; Brunel, J.M. Design, Synthesis and Antiviral Evaluation of New Bis-Schiff Bases of Isatin and Their Derivatives. Tetrahedron 2011, 67, 8699–8709. [Google Scholar] [CrossRef]
- Gullapelli, K.; Brahmeshwari, G.; Ravichander, M.; Kusuma, U. Synthesis, antibacterial and molecular docking studies of new benzimidazole derivatives. Egypt. J. Basic Appl. Sci. 2017, 4, 303–309. [Google Scholar] [CrossRef]
- Yu, B.; Yu, D.Q.; Liu, H.M. Spirooxindoles: Promising Scaffold for Anticancer Agents. Eur. J. Med. Chem. 2015, 97, 673–698. [Google Scholar] [CrossRef] [PubMed]
- Nafie, M.S.; Shawish, I.; Fahmy, S.A.; Diab, M.K.; Abdelfattah, M.M.; Hassen, B.M.; Darwish, K.M.; El-Faham, A.; Barakat, A. Recent Advances in the Halogenated Spirooxindoles as Novel Anticancer Scaffolds: Chemistry and Bioactivity Approach. RSC Adv. 2025, 15, 22336–22375. [Google Scholar] [CrossRef] [PubMed]
- Ameen, M.A.; Ahmed, E.K.; Ramadan, M.; Abd El-Naby, H.A.; Abdel-Haseeb, A.A. Synthesis, Characterization, and Antimicrobial Evaluation of Some Novel Thiazole Derivatives. Monatsh. Chem. 2017, 148, 1513–1523. [Google Scholar] [CrossRef]
- Barakat, A.; Islam, M.S.; Ghawas, H.M.; Al-Majid, A.M.; El-Senduny, F.F.; Badria, F.A.; Elshaier, Y.A.M.; Ghabbour, H.A. Synthesis, Crystal Structure, and Biological Evaluation of Novel Pyridine-Based Heterocycles. RSC Adv. 2018, 8, 14335–14345. [Google Scholar] [CrossRef]
- Leañez, J.; Nuñez, J.; García-Marchan, Y.; Sojo, F.; Arvelo, F.; Rodriguez, D.; Buscema, I.; Alvarez-Aular, A.; Serrano-Martín, X. In Vitro and In Vivo Anti-Leishmanial Activity of Novel Quinoline Derivatives. Exp. Parasitol. 2019, 198, 31–38. [Google Scholar] [CrossRef] [PubMed]
- Gao, X.; Yang, Z.; Hao, W.-J.; Jiang, B.; Tu, S.-J. Microwave-Assisted Synthesis of Heterocycles: A Rapid and Efficient Approach to Novel Compounds. J. Heterocycl. Chem. 2017, 54, 2434–2440. [Google Scholar] [CrossRef]
- Mahmoud Naglaa, F.H.; Rizk, S.A.; Elsayed Galal, A.; Ali, A.K. Expeditious microwavable one-pot synthesis and biological exploration of spiro[indoline-3,4′-pyrazolo[3,4-b] pyridine derivatives. J. Iran. Chem. Soc. 2022, 19, 3711–3719. [Google Scholar] [CrossRef]
- Sahu, N.K.; Sharma, R.; Suhas, K.P.; Joshi, J.; Prakash, K.; Sharma, R.; Pratap, R.; Hu, X.; Kaur, S.; Jain, M.; et al. Natural-Product-Inspired Microwave-Assisted Synthesis of Novel Spirooxindoles as Antileishmanial Agents: Synthesis, Stereochemical Assignment, Bioevaluation, SAR, and Molecular Docking Studies. Molecules 2023, 28, 4817. [Google Scholar] [CrossRef]
- Sharma, R.; Yadav, L.; Nasim, A.A.; Yadav, R.K.; Chen, R.H.; Kumari, N.; Ruiqi, F.; Sharon, A.; Sahu, N.K.; Ippagunta, S.K.; et al. Chemo-/Regio-Selective Synthesis of Novel Functionalized Spiro[pyrrolidine-2,3′-oxindoles] under Microwave Irradiation and Their Anticancer Activity. Molecules 2023, 28, 6503. [Google Scholar] [CrossRef]
- Gulati, S.; John, S.E.; Shankaraiah, N. Microwave-Assisted Multicomponent Reactions in Heterocyclic Chemistry and Mechanistic Aspects. Beilstein J. Org. Chem. 2021, 17, 819–865. [Google Scholar] [CrossRef]
- Yin, G.; Liu, Q.; Ma, J.; She, N. Solvent- and Catalyst-Free Synthesis of New Hydroxylated Trisubstituted Pyridines under Microwave Irradiation. Green Chem. 2012, 14, 1796–1798. [Google Scholar] [CrossRef]
- Kerru, N.; Maddila, S.; Jonnalagadda, S.B. A Facile and Catalyst-Free Microwave-Promoted Multicomponent Reaction for the Synthesis of Functionalised 1,4-Dihydropyridines with Superb Selectivity and Yields. Front. Chem. 2021, 9, 638832. [Google Scholar] [CrossRef]
- Lo, V.K.-Y.; Chan, Y.-M.; Zhou, D.; Toy, P.H.; Che, C.-M. Highly Enantioselective Gold Catalyzed Synthesis of Axially Chiral Biaryl Compounds via C–H Activation. Org. Lett. 2019, 21, 7717–7721. [Google Scholar] [CrossRef]
- Eronen, A.E.K.; Mannisto, J.K.; Moslova, K.; Nieger, M.; Heliövaara, E.; Repo, T. Stereospecific Synthesis of Cyclohexenone Acids by [3,3]-Sigmatropic Rearrangement Strategies. J. Org. Chem. 2020, 85, 5799. [Google Scholar] [CrossRef]
- Xu, J. Stereoselectivity in the Synthesis of 2-Azetidinones from Ketenes and Imines via the Staudinger Reaction. ARKIVOC 2009, 2009, 21–44. [Google Scholar] [CrossRef]
- Musio, B.; Mariani, F.; Sliwinski, E.; Kabeshov, M.A.; Odajima, H.; Ley, S.V. Combination of Enabling Technologies to Improve and Describe the Stereoselectivity of Wolff-Staudinger Cascade Reaction. Synthesis 2016, 48, 3515–3526. [Google Scholar]
- Ndlwana, L.; Raleie, N.; Dimpe, K.M.; Ogutu, H.F.; Oseghe, E.O.; Motsa, M.M.; Msagati, T.A.M.; Mamba, B.B. Sustainable Hydrothermal and Solvothermal Synthesis of Advanced Carbon Materials in Multidimensional Applications: A Review. Materials 2021, 14, 5094. [Google Scholar] [CrossRef]
- Gedanken, A. Using Sonochemistry for the Fabrication of Nanomaterials. Ultrason. Sonochem. 2004, 11, 47–55. [Google Scholar] [CrossRef]
- Yin, Z.; Li, S.; Li, X.; Shi, W.; Liu, W.; Gao, Z.; Tao, M.; Ma, C.; Liu, Y. A Review on the Synthesis of Metal Oxide Nanomaterials by Microwave-Induced Solution Combustion. RSC Adv. 2023, 13, 3265–3277. [Google Scholar] [CrossRef]
- Bajpai, R.; Roy, S.; Verma, S. Microwave-Assisted Solid-State Synthesis of Dichalcogenide Nanostructures for Electrocatalytic Hydrogen Evolution. ACS Appl. Nano Mater. 2022, 5, 8511–8525. [Google Scholar] [CrossRef]
- Ouaras, K.; Lombardi, G.; Hassouni, K. Nanoparticles Synthesis in Microwave Plasmas: Peculiarities and Comprehensive Insight. Sci. Rep. 2024, 14, 4653. [Google Scholar] [CrossRef] [PubMed]
- Sajini, T.; Joseph, J. Microwave-Assisted Synthesis of Nanomaterials: A Green Chemistry Perspective and Sustainability Assessment. RSC Sustain. 2025, 3, 4911–4935. [Google Scholar] [CrossRef]
- de la Hoz, A.; Loupy, A. Microwaves in Organic Synthesis, 3rd ed.; Wiley-VCH: Weinheim, Germany, 2012. [Google Scholar]
- Shipe, W.D.; Yang, F.; Zhao, Z.; Wolkenberg, S.E.; Nolt, M.B.; Lindsley, C.W. Convenient and general microwave-assisted protocols for the expedient synthesis of heterocycles. Heterocycles 2006, 70, 655–679. [Google Scholar] [CrossRef]
- Polshettiwar, V.; Varma, R.S. Greener and sustainable approaches to the synthesis of pharmaceutically active heterocycles. Curr. Opin. Drug Discov. Dev. 2007, 10, 723–737. [Google Scholar]
- Hulme, C.; Lee, Y.-S. Recent Advances in Combinatorial Chemistry and Molecular Diversity. Mol. Divers. 2008, 12, 1–17. [Google Scholar] [CrossRef]
- Patil, S.A.; Patil, R.; Miller, D.D. Heterocyclic Scaffolds in Medicinal Chemistry: Current Strategies and Applications. Curr. Med. Chem. 2011, 18, 615–639. [Google Scholar] [PubMed]
- Srinivasan, K.V.; Chaskar, P.K.; Dighe, S.N.; Rane, D.S.; Khade, P.V.; Jain, K.S. Advances in the Chemistry of Heterocycles. Heterocycles 2011, 83, 2451–2475. [Google Scholar]
- Taylor, A.P.; Robinson, R.P.; Fobian, Y.M.; Blakemore, D.C.; Jones, L.H.; Fadeyi, O. Modern Advances in Heterocyclic Chemistry in Drug Discovery. Org. Biomol. Chem. 2016, 14, 6611–6637. [Google Scholar] [CrossRef] [PubMed]
- Tandon, R.; Singh, I.; Luxami, V.; Tandon, N.; Paul, K. Recent Advances and Developments of in vitro Evaluation of Heterocyclic Moieties on Cancer Cell Lines. Chem. Rec. 2019, 19, 362–393. [Google Scholar] [CrossRef]
- Castagnolo, D.; De Logu, A.; Radi, M.; Bechi, B.; Manetti, F.; Magnani, M.; Supino, S.; Meleddu, R.; Chisu, L.; Botta, M. Design, Synthesis, and Biological Evaluation of Novel Bioactive Heterocycles. Bioorg. Med. Chem. 2008, 16, 8587–8595. [Google Scholar] [CrossRef]
- Hafez, H.N.; El-Gazzar, A.-R.B.A. Synthesis and Biological Evaluation of N- Pyrazolyl Derivatives and Pyrazolopyrimidine Bearing a Biologically Active Sulfonamide Moiety as Potential Antimicrobial Agent. Molecules 2016, 21, 1156. [Google Scholar] [CrossRef]
- McLean, K.J.; Marshall, K.R.; Richmond, A.; Hunter, I.S.; Fowler, K.; Kieser, T.; Gurcha, S.S.; Besra, G.S.; Munro, A.W. Characterization of Heterocyclic Compound Interactions with Mycobacterial Enzymes. Microbiology 2002, 148, 2937–2948. [Google Scholar] [CrossRef]
- Tully, W.R.; Gardner, C.R.; Gillespie, R.J.; Westwood, R. 2-(Oxadiazolyl)- and 2-(thiazolyl)imidazo[1,2-a]pyrimidines as agonists and inverse agonists at benzodiazepine receptors. J. Med. Chem. 1991, 34, 2060–2067. [Google Scholar] [CrossRef]
- Martins, M.A.P.; Frizzo, C.P.; Moreira, D.N.; Buriol, L.; Machado, P. Solvent-Free Heterocyclic Synthesis. Chem. Rev. 2009, 109, 4140–4182. [Google Scholar] [CrossRef]
- Jadhav, R.P.; Raundal, H.N.; Patil, A.A.; Bobade, V.D. Synthesis and Biological Evaluation of a Series of 1,4-Disubstituted 1,2,3-Triazole Derivatives as Possible Antimicrobial Agents. J. Saudi Chem. Soc. 2017, 21, 152–159. [Google Scholar] [CrossRef]
- Lee, H.; Yi, Y.; Jun, C.-H. Copper(II)-Promoted, One-Pot Conversion of 1-Alkynes with Anhydrides or Primary Amines to the Respective 2,5-Disubstituted Furans or Pyrroles under Microwave Irradiation Conditions. Adv. Synth. Catal. 2015, 357, 3485–3490. [Google Scholar] [CrossRef]
- Tsukahara, Y.; Higashi, A.; Yamauchi, T.; Nakamura, T.; Yasuda, M.; Baba, A.; Wada, Y. In Situ Observation of Nonequilibrium Local Heating as an Origin of Special Effect of Microwave on Chemistry. J. Phys. Chem. C 2010, 114, 8965–8970. [Google Scholar] [CrossRef]
- Nguyen, H.H.; Kurth, M.J. Microwave-Assisted Synthesis of 3-Nitroindoles from N-Aryl Enamines via Intramolecular Arene–Alkene Coupling. Org. Lett. 2013, 15, 362–365. [Google Scholar] [CrossRef]
- Carpita, A.; Ribecai, A.; Stabile, P. Microwave-Assisted Synthesis of Indole- and Azaindole-Derivatives in Water via Cycloisomerization of 2-Alkynylanilines and Alkynylpyridinamines Promoted by Amines or Catalytic Amounts of Neutral or Basic Salts. Tetrahedron 2010, 66, 7169–7178. [Google Scholar] [CrossRef]
- Surineni, G.; Yogeeswari, P.; Sriram, D.; Kantevari, S. Design and Synthesis of Novel Carbazole-Tethered Pyrrole Derivatives as Potent Inhibitors of Mycobacterium tuberculosis. Bioorg. Med. Chem. Lett. 2015, 25, 485–491. [Google Scholar] [CrossRef] [PubMed]
- Michlik, S.; Kempe, R. A Sustainable Catalytic Pyrrole Synthesis. Nat. Chem. 2013, 5, 140–144. [Google Scholar] [CrossRef] [PubMed]
- Kheder, A.N. Hydrazonoyl Chlorides as Precursors for Synthesis of Novel Bis-Pyrrole Derivatives. Molecules 2016, 21, 326. [Google Scholar] [CrossRef] [PubMed]
- Thiriveedhi, A.; Nadh, R.; Srinivasu, N.; Bobde, Y.; Ghosh, B.; Sekhar, K. Design, Synthesis and Anti-Tumour Activity of New Pyrimidine-Pyrrole Appended Triazoles. Toxicol. Vitr. 2019, 60, 87–96. [Google Scholar] [CrossRef]
- Gao, M.; Zhao, W.; Zhao, H.; Lin, Z.; Zhang, D.; Huang, H. An Efficient and Facile Access to Highly Functionalized Pyrrole Derivatives. Beilstein J. Org. Chem. 2018, 14, 884–890. [Google Scholar] [CrossRef]
- Dong, J.; Pan, X.; Wang, J.; Su, P.; Zhang, L.; Wei, F.; Zhang, J. Synthesis and Biological Evaluation of Novel Aromatic-Heterocyclic Biphenyls as Potent Anti-Leukemia Agents. Eur. J. Med. Chem. 2015, 101, 780–789. [Google Scholar] [CrossRef]
- Gilani, S.J.; Khan, S.A.; Siddiqui, N.; Verma, S.P.; Mullick, P.; Alam, O. Synthesis and In Vitro Antimicrobial Activity of Novel N-(6-Chlorobenzo[d]thiazol-2-yl) Hydrazine Carboxamide Derivatives of the Benzothiazole Class. J. Enzyme Inhib. Med. Chem. 2011, 26, 332–340. [Google Scholar] [CrossRef] [PubMed]
- Creencia, E.C.; Tsukamoto, M.; Horaguchi, T. One-Pot-One-Step, Microwave-Assisted Fischer Indole Synthesis. ChemInform 2012, 43, 1095–1102. [Google Scholar] [CrossRef]
- Allman, E.L.; Painter, H.J.; Samra, J.; Carrasquilla, M.; Llinás, M. Metabolomic Profiling of the Malaria Box Reveals Antimalarial Target Pathways. Antimicrob. Agents Chemother. 2016, 60, 6635–6649. [Google Scholar] [CrossRef] [PubMed]
- Cury, N.; Capitao, R.; Almeida, R.; Artico, L.; Correa, J.; Santos, E.; Yunes, J.; Correia, C. Synthesis and Evaluation of 2-Carboxy Indole Derivatives as Potent and Selective Anti-Leukemic Agents. Eur. J. Med. Chem. 2019, 181, 111570. [Google Scholar] [CrossRef]
- Nicolaou, K.C.; Wang, Y.; Lu, M.; Mandal, D.; Pattanayak, M.R.; Yu, R.; Shah, A.A.; Chen, J.S.; Zhang, H.; Crawford, J.J.; et al. Streamlined Total Synthesis of Uncialamycin and Its Application to the Synthesis of Designed Analogues for Biological Investigations. J. Am. Chem. Soc. 2016, 138, 8235–8246. [Google Scholar] [CrossRef]
- Rai, G.; Vyjayanti, V.N.; Dorjsuren, D.; Simeonov, A.; Jadhav, A.; Wilson, D.M., III; Maloney, D.J. Synthesis, Biological Evaluation, and Structure–Activity Relationships of a Novel Class of Apurinic/Apyrimidinic Endonuclease 1 Inhibitors. J. Med. Chem. 2012, 55, 3101–3112. [Google Scholar] [CrossRef]
- Karpińska, M.M.; Matysiak, J.; Niewiadomy, A. Synthesis of Novel 4-(1H-Benzimidazol-2-yl)benzene-1,3-diols and Their Cytotoxic Activity against Human Cancer Cell Lines. Arch. Pharm. Res. 2011, 34, 1639–1647. [Google Scholar] [CrossRef]
- Chauhan, P.M.; Martins, C.J.; Horwell, D.C. Syntheses of Novel Heterocycles as Anticancer Agents. Bioorg. Med. Chem. 2005, 13, 3513–3518. [Google Scholar] [CrossRef]
- Vaddula, B.R.; Varma, R.S.; Leazer, J. Mixing with Microwaves: Solvent-Free and Catalyst-Free Synthesis of Pyrazoles and Diazepines. Tetrahedron Lett. 2013, 54, 1538–1541. [Google Scholar] [CrossRef]
- Czarnomysy, R.; Surazyński, A.; Muszynska, A.; Gornowicz, A.; Bielawska, A.; Bielawski, K. A Novel Series of Pyrazole-Platinum(II) Complexes as Potential Anti-Cancer Agents That Induce Cell Cycle Arrest and Apoptosis in Breast Cancer Cells. J. Enzyme Inhib. Med. Chem. 2018, 33, 1006–1023. [Google Scholar] [CrossRef]
- Kharb, R.; Sharma, P.; Yar, M. Pharmacological Significance of Triazole Scaffold. J. Enzym. Inhib. Med. Chem. 2011, 26, 1–21. [Google Scholar] [CrossRef]
- Subhashini, N.J.P.; Kumar, E.P.; Gurrapu, N.; Yerragunta, V. Design and Synthesis of Imidazolo-1, 2,3-Triazoles Hybrid Compounds by Microwave-Assisted Method: Evaluation as an Antioxidant and Antimicrobial Agents and Molecular Docking Studies. J. Mol. Struct. 2019, 1180, 618–628. [Google Scholar] [CrossRef]
- Aarjane, M.; Slassi, S.; Tazi, B.; Maouloua, M.; Amine, A. Novel Series of Acridone-1,2,3-Triazole Derivatives: Microwave-Assisted Synthesis, DFT Study and Antibacterial Activities. J. Chem. Sci. 2019, 131, 85. [Google Scholar] [CrossRef]
- Kale, S.; Kahandal, S.; Disale, S.; Jayaram, R. Conventional and Microwave-Assisted Multicomponent Reaction of Alkyne, Halide and Sodium Azide Catalyzed by Copper Apatite as Heterogeneous Base and Catalyst in Water. Curr. Chem. Lett. 2012, 1, 69–80. [Google Scholar] [CrossRef]
- Neto, J.; Zeni, G. A Decade of Advances in the Reaction of Nitrogen Sources and Alkynes for the Synthesis of Triazoles. Coord. Chem. Rev. 2020, 409, 213217. [Google Scholar] [CrossRef]
- Bozorov, K.; Zhao, J.; Aisa, H. 1,2,3-Triazole-Containing Hybrids as Leads in Medicinal Chemistry: A Recent Overview. Bioorg. Med. Chem. 2019, 27, 3511–3531. [Google Scholar] [CrossRef] [PubMed]
- Dheer, D.; Singh, V.; Shankar, R. Medicinal Attributes of 1,2,3-Triazoles: Current Developments. Bioorg. Chem. 2017, 71, 30–54. [Google Scholar] [CrossRef] [PubMed]
- Hu, T.; Li, C. Synthesis of Lactams via Copper-Catalyzed Intramolecular Vinylation of Amides. Org. Lett. 2005, 7, 2035–2038. [Google Scholar] [CrossRef] [PubMed]
- Stavila, E.; Loos, K. Synthesis of Lactams Using Enzyme-Catalyzed Aminolysis. Tetrahedron Lett. 2013, 54, 370–372. [Google Scholar] [CrossRef]
- Hernández-Vázquez, L.G.; Leyva, M.A.; Metta-Magaña, A.J.; Escalante, J. Microwave-Assisted Synthesis of β-Lactams and Cyclo-β-Dipeptides. Helv. Chim. Acta 2012, 95, 2218–2230. [Google Scholar] [CrossRef]
- Bhalla, A.; Singh, B.; Shamsher, B.; Shiwani, B.; Jitender, B.; Vats, S.; Mandal, S.; Khullar, S. Facile Synthesis of Novel Monocyclic Trans- and Cis-3-Oxy/Thio/Seleno-4-Pyrazolyl-β-Lactams. Arch. Org. Chem. 2015, 7, 10–27. [Google Scholar]
- Ebrahimi, E.; Jarrahpour, A.; Heidari, N.; Sinou, V.; Latour, C.; Brunel, J.; Zolghadr, A.; Turos, E. Synthesis and Antimalarial Activity of New Nanocopolymer β-Lactams and Molecular Docking Study of Their Monomers. Med. Chem. Res. 2015, 25, 247–262. [Google Scholar] [CrossRef]
- Wang, Q.; Lv, Y.; Pang, J.; Li, X.; Lu, X.; Wang, X.; Hu, X.; Nie, T.; Yang, X.; Xiong, Y.; et al. In Vitro and In Vivo Activity of D-Serine in Combination with β-Lactam Antibiotics against Methicillin-Resistant Staphylococcus aureus. Acta Pharm. Sin. B 2019, 9, 496–504. [Google Scholar] [CrossRef]
- Carcione, D.; Siracusa, C.; Sulejmani, A.; Leoni, V.; Intra, J. Old and New β-Lactamase Inhibitors: Molecular Structure, Mechanism of Action, and Clinical Use. Antibiotics 2021, 10, 995. [Google Scholar] [CrossRef]
- Alcázar, J.; Oehlrich, D. Recent Applications of Microwave Irradiation to Medicinal Chemistry. Futur. Med. Chem. 2010, 2, 169–176. [Google Scholar] [CrossRef]
- Wu, L.; Lu, K.; Desai, M.; Packiarajan, M.; Joshi, A.; Marzabadi, M.R.; Jubian, V.; Andersen, K.; Chandrasena, G.; Boyle, N.J.; et al. N-Heteroaryl Glycinamides and Glycinamines as Potent NPY5 Antagonists. Bioorg. Med. Chem. Lett. 2011, 21, 5573–5576. [Google Scholar] [CrossRef]
- Andersson, H.; Demaegdt, H.; Johnsson, A.; Vauquelin, G.; Lindeberg, G.; Hallberg, M.; Erdélyi, M.; Karlén, A.; Hallberg, A. Potent Macrocyclic Inhibitors of Insulin-Regulated Aminopeptidase (IRAP) by Olefin Ring-Closing Metathesis. J. Med. Chem. 2011, 54, 3779–3792. [Google Scholar] [CrossRef]
- Ferrazzano, L.; Catani, M.; Cavazzini, A.; Martelli, G.; Corbisiero, D.; Cantelmi, P.; Fantoni, T.; Mattellone, A.; De Luca, C.; Felletti, S.; et al. Sustainability in Peptide Chemistry: Current Synthesis and Purification Technologies and Future Challenges. Green Chem. 2022, 24, 975–1020. [Google Scholar] [CrossRef]
- Kar, S.; Sanderson, H.; Roy, K.; Benfenati, E.; Leszczynski, J. Green chemistry in the synthesis of pharmaceuticals. Chem. Rev. 2022, 122, 3637–3710. [Google Scholar] [CrossRef]
- Martin, V.; Egelund, P.H.G.; Johansson, H.; Thordal Le Quement, S.; Wojcik, F.; Pedersen, D.S. Greening the Synthesis of Peptide Therapeutics: An Industrial Perspective. RSC Adv. 2020, 10, 42457–42492. [Google Scholar] [CrossRef]
- Jad, Y.E.; Kumar, A.; El Faham, A.; de la Torre, B.G.; Albericio, F. Green Transformation of Solid-Phase Peptide Synthesis. ACS Sustain. Chem. Eng. 2019, 7, 3671–3683. [Google Scholar] [CrossRef]
- Mukhia, M.; Pradhan, K.; Biswas, K. Microwave-Assisted Solid Phase Synthesis of Different Peptide Bonds: Recent Advancements. Curr. Microw. Chem. 2023, 10, 155–179. [Google Scholar] [CrossRef]
- Leena, M. Paving the Way for Sustainable Chemistry: Solvent Reduction or Replacement. Trends Green Chem. 2024, 10, 10103. [Google Scholar]
- Panda, S.; Gorantla, S. Green Analytical Approaches and Eco-Friendly Solvents: Advancing Industrial Applications and Environmental Sustainability: A Comprehensive Review. Orient. J. Chem. 2025, 41, 616–627. [Google Scholar] [CrossRef]
- Lane, M.K.M.; Rudel, H.E.; Wilson, J.A.; Erythropel, H.C.; Backhaus, A.; Gilcher, E.B.; Ishii, M.; Jean, C.F.; Lin, F.; Muellers, T.D.; et al. Green Chemistry as Just Chemistry. Nat. Sustain. 2023, 6, 502–512. [Google Scholar] [CrossRef]
- Clarke, C.J.; Tu, W.-C.; Levers, O.; Bröhl, A.; Hallett, J.P. Green and Sustainable Solvents in Chemical Processes. Chem. Rev. 2018, 118, 747–800. [Google Scholar] [CrossRef]
- Hessel, V.; Tran, N.N.; Asrami, M.R.; Malek, N.; Jähnisch, K.; Poliakoff, M.; Harmer, J.; Price, G. Continuous-Flow Technology—A Tool for Green Chemistry? Green Chem. 2022, 24, 410–437. [Google Scholar] [CrossRef]
- Kong, D.; Dolzhenko, A.V. Cyrene: A Bio-Based Sustainable Solvent for Organic Synthesis. Sustain. Chem. Pharm. 2022, 25, 100591. [Google Scholar] [CrossRef]
- Kreutzer, J.; Martin, S.; Jensen, K.F. Rapid, High-Yield Synthesis of Active Pharmaceutical Ingredients Using Flow Microreactors. Org. Process Res. Dev. 2023, 27, 1210–1218. [Google Scholar]
- Sherwood, J.; Albericio, F.; de la Torre, B.G. Sustainable Peptide Synthesis: Green Chemistry in Peptide Production. ACS Sustain. Chem. Eng. 2023, 11, 1037–1044. [Google Scholar]
- Sherwood, J.; Albericio, F.; de la Torre, B.G. Innovations in Sustainable Chemistry: Recent Advances and Future Perspectives. ChemSusChem 2024, 17, e202301639. [Google Scholar] [CrossRef]
- Stini, N.A.; Gkizis, P.L.; Kokotos, C.G. Cyrene: A Bio-Based Solvent for the Mizoroki–Heck Reaction of Aryl Iodides. Org. Biomol. Chem. 2023, 21, 351–358. [Google Scholar] [CrossRef]
- Sullivan, C.; Zhang, Y.; Xu, G.; Christianson, L.; Luengo, F.; Halkoski, T.; Gao, P. Cyrene™ blends: A greener solvent system for organic syntheses. Green Chem. 2022, 24, 7184–7193. [Google Scholar] [CrossRef]
- Stini, N.A.; Gkizis, P.L.; Kokotos, C.G. Cyrene: A bio-based novel and sustainable solvent for organic synthesis. Green Chem. 2022, 24, 6435–6449. [Google Scholar] [CrossRef]
- Citarella, A.; Amenta, A.; Passarella, D.; Micale, N. Molecular Approaches for Green Drug Design. Int. J. Mol. Sci. 2022, 23, 15960. [Google Scholar] [CrossRef] [PubMed]
- Qaroush, A.K.; Alsayyed, A.W.; Eftaiha, A.F.; Al Qaisi, F.M.; Salameh, B.A. Sustainable Catalysis in Organic Transformations. ChemistrySelect 2022, 7, e202200478. [Google Scholar] [CrossRef]
- Vicente, F.A.; Tkalec, N.; Likozar, B. Responsive Deep Eutectic Solvents: Mechanisms, Applications and Their Role in Sustainable Chemistry. Chem. Commun. 2025, 61, 1002–1013. [Google Scholar] [CrossRef]
- Hansen, B.B.; Spittle, S.; Chen, B.; Poe, D.; Zhang, Y.; Klein, J.M.; Horton, A.; Adhikari, L.; Zelovich, T.; Doherty, B.W.; et al. Deep Eutectic Solvents: A Review of Fundamentals and Applications. Chem. Rev. 2021, 121, 1232–1285. [Google Scholar] [CrossRef]
- Płotka-Wasylka, J.; de la Guardia, M.; Andruch, V.; Vilková, M. Deep Eutectic Solvents vs Ionic Liquids: Similarities and Differences. Microchem. J. 2020, 159, 105539. [Google Scholar] [CrossRef]
- Stanisz, M.; Stanisz, B.J.; Cielecka-Piontek, J. A Comprehensive Review on Deep Eutectic Solvents: Their Current Status and Potential for Extracting Active Compounds from Adaptogenic Plants. Molecules 2024, 29, 4767. [Google Scholar] [CrossRef]
- Ferreira, C.; Sarraguça, M. A Comprehensive Review on Deep Eutectic Solvents and Its Use to Extract Bioactive Compounds of Pharmaceutical Interest. Pharmaceuticals 2024, 17, 124. [Google Scholar] [CrossRef]
































































| Solvent | Dielectric Constant (ε′) | Dipole Moment | Dissipation Factor (tan δ) | Boiling Point (°C) | Temperature in a Closed Container |
|---|---|---|---|---|---|
| Acetone Acetonitrile Ethanol | 20.7 | - | - | 56 | 164 |
| 37.5 | - | - | 82 | 194 | |
| 24.3 | 1.96 | 2.500 | 78 | 164 | |
| Hexane Methanol Water | 1.89 | 69 | - | ||
| 32.6 78.3 | 2.87 2.30 | 6.400 1.570 | 65 100 | 151 - |
| Solvent | Tan δ | Solvent | Tan δ | Solvent | Tan δ |
|---|---|---|---|---|---|
| Ethylene glycol Ethanol DMSO | 1.350 | 2-Butanol | 0.447 | Chloroform | 0.091 |
| 0.941 | Dichlorobenzene | 0.280 | Acetonitrile | 0.062 | |
| 0.825 | NMP | 0.275 | Ethyl acetate | 0.059 | |
| 2-Propanol Formic acid | 0.799 | Acetic acid | 0.174 | Acetone | 0.054 |
| 0.722 | DMF | 0.161 | THF | 0.047 | |
| Methanol Nitrobenzene 1-Butanol | 0.659 | Dichloroethane | 0.127 | Dichloromethane | 0.042 |
| 0.589 | Water | 0.123 | Toluene | 0.040 | |
| 1.350 | Chlorobenzene | 0.101 | Hexane | 0.020 |
| Reactant | Product | Time (minutes) | Yield (%) |
|---|---|---|---|
![]() | ![]() | 3 | 99 |
![]() | ![]() | 5 | 99 |
![]() | ![]() | 20 | 89 |
![]() | ![]() | 5 | 89 |
![]() | ![]() | 15 | 99 |
| Olefin | CM-Partner | Product | Conditions | Catalyst | Yield% |
|---|---|---|---|---|---|
![]() | ![]() | ![]() | 2.5 mol% of catalyst CH2Cl2, 12h | II gen. Grubbs Hoveyda-Grubbs Zhan | 99 99 |
![]() | ![]() | ![]() | 2.5 mol% of catalyst CH2Cl2, 5h | II gen. Grubbs Hoveyda-Grubbs Zhan | 99 99 99 |
![]() | ![]() | ![]() | 2.5 mol% of catalyst CH2Cl2, 12h | II gen. Grubbs Hoveyda-Grubbs Zhan | 43 71 62 |
![]() | ![]() | ![]() | 2.5 mol% of catalyst CH2Cl2, 5h | II gen. Grubbs Hoveyda-Grubbs Zhan | 51 67 59 |
![]() | ![]() | ![]() | 5 mol% of catalyst CH2Cl2, MW, 100 °C, 30 min | II gen. Grubbs Hoveyda-Grubbs Zhan | 30 65 45 |
Disclaimer/Publisher’s Note: The statements, opinions and data contained in all publications are solely those of the individual author(s) and contributor(s) and not of MDPI and/or the editor(s). MDPI and/or the editor(s) disclaim responsibility for any injury to people or property resulting from any ideas, methods, instructions or products referred to in the content. |
© 2025 by the authors. Licensee MDPI, Basel, Switzerland. This article is an open access article distributed under the terms and conditions of the Creative Commons Attribution (CC BY) license (https://creativecommons.org/licenses/by/4.0/).
Share and Cite
Starvaggi, J.; Ettari, R. Microwave-Assisted Organic Synthesis: An Eco-Friendly Method of Green Chemistry. Pharmaceuticals 2025, 18, 1692. https://doi.org/10.3390/ph18111692
Starvaggi J, Ettari R. Microwave-Assisted Organic Synthesis: An Eco-Friendly Method of Green Chemistry. Pharmaceuticals. 2025; 18(11):1692. https://doi.org/10.3390/ph18111692
Chicago/Turabian StyleStarvaggi, Josè, and Roberta Ettari. 2025. "Microwave-Assisted Organic Synthesis: An Eco-Friendly Method of Green Chemistry" Pharmaceuticals 18, no. 11: 1692. https://doi.org/10.3390/ph18111692
APA StyleStarvaggi, J., & Ettari, R. (2025). Microwave-Assisted Organic Synthesis: An Eco-Friendly Method of Green Chemistry. Pharmaceuticals, 18(11), 1692. https://doi.org/10.3390/ph18111692

























