Anti-Trichomonas vaginalis Activity of Triterpenes from Tagetes nelsonii Greenm
Abstract
1. Introduction
2. Results
2.1. Bioguided Isolation of Compounds from Tagetes nelsonii
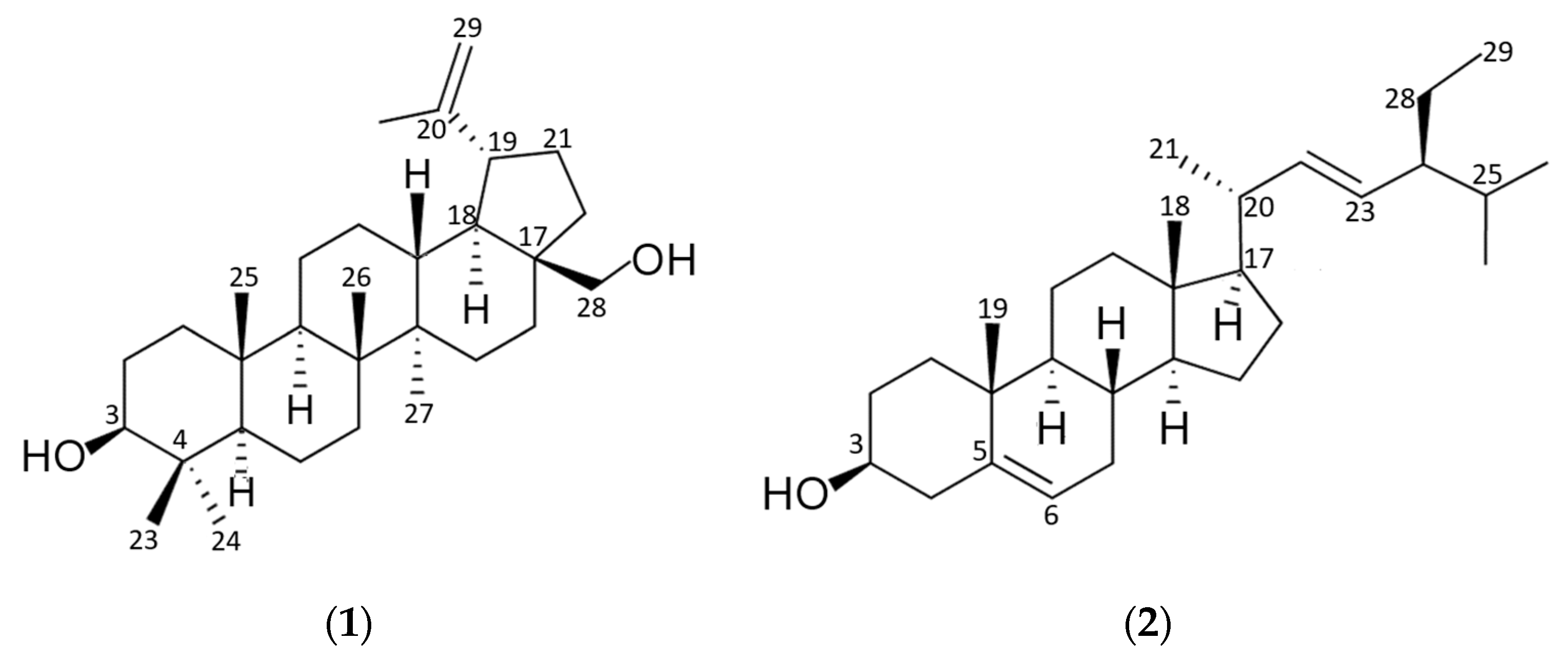
2.2. Structural Elucidation of Isolated Compounds from Tagetes nelsonii
2.3. Anti-Trichomonas Vaginalis and Hemolytic Activity
2.4. In Silico Anti-Trichomonas Vaginalis Activity
3. Discussion
4. Materials and Methods
4.1. General Experimental Procedures
4.2. Plant Material
4.3. Extraction and Isolation
4.4. In Vitro Anti-Trichomonas Vaginalis Assays
4.5. Hemolytic Activity of Extracts, Partitions and Compounds
4.6. Target Proteins
4.7. Molecular Docking
4.8. Statical Analysis
5. Conclusions
Author Contributions
Funding
Institutional Review Board Statement
Informed Consent Statement
Data Availability Statement
Acknowledgments
Conflicts of Interest
References
- WHO. Global Progress Report on HIV, Viral Hepatitis and Sexually Transmitted Infections. Accountability for the Global Health Sector Strategies 2016–2021: Actions for Impact; World Health Organization: Geneva, Switzerland, 2021; pp. 8–10. Available online: https://www.who.int/publications/i/item/9789240027077 (accessed on 17 October 2025).
- Santos Diéguez, I. Tricomoniasis: Una visión amplia. Iatreia 2014, 27, 198–205. [Google Scholar] [CrossRef]
- Cancelo Hidalgo, M.J.; Cancelo Hidalgo, C.; Chavida García, F. Vaginitis por Trichomonas. Med. De Fam. Semer. 2005, 31, 121–124. [Google Scholar] [CrossRef]
- Poole, D.N.; McClelland, R.S. Global epidemiology of Trichomonas vaginalis. Sex. Transm. Infect. 2013, 89, 418–422. [Google Scholar] [CrossRef]
- Silver, B.J.; Guy, R.J.; Kaldor, J.M.; Jamil, M.S.; Rumbold, A.R. Trichomonas vaginalis as a Cause of Perinatal Morbidity: A Systematic Review and Meta-Analysis. Sex. Transm. Dis. 2014, 41, 369–376. [Google Scholar] [CrossRef]
- McClelland, R.S.; Sangare, L.; Hassan, W.M.; Lavreys, L.; Mandaliya, K.; Kiarie, J.; Ndinya-Achola, J.; Jaoko, W.; Baeten, J.M. Infection with Trichomonas vaginalis increases the risk of HIV-1 acquisition. J. Infect. Dis. 2007, 195, 698–702. [Google Scholar] [CrossRef]
- Yang, S.; Zhao, W.; Wang, H.; Wang, Y.; Li, J.; Wu, X. Trichomonas vaginalis infection-associated risk of cervical cancer: A meta-analysis. Eur. J. Obstet. Gynecol. Reprod. Biol. 2018, 228, 166–173. [Google Scholar] [CrossRef] [PubMed]
- Schwebke, J.R.; Barrientes, F.J. Prevalence of Trichomonas vaginalis isolates with resistance to metronidazole and tinidazole. Antimicrob. Agents Chemother. 2006, 50, 4209–4210. [Google Scholar] [CrossRef] [PubMed]
- López Nigro, M.M.; Carballo, M.A. Los nitroimidazoles como modelo de mutagénesis química y muerte celular. Theoria 2008, 17, 47–62. Available online: https://www.redalyc.org/articulo.oa?id=29911533005 (accessed on 17 October 2025).
- Upcroft, P.; Upcroft, J.A. Drug targets and mechanisms of resistance in the anaerobic protozoa. Clini Microbiol. Rev. 2001, 14, 150–164. [Google Scholar] [CrossRef]
- Seña, A.C.; Bachmann, L.H.; Hobbs, M.M. Persistent and recurrent Trichomonas vaginalis infections: Epidemiology, treatment and management considerations. Expert. Rev. Anti Infect. Ther. 2018, 12, 673–685. [Google Scholar] [CrossRef]
- Roy, U.; Panwar, A.; Pandit, A.; Das, S.K.; Joshi, B. Clinical and Neuroradiological Spectrum of Metronidazole Induced Encephalopathy: Our Experience and the Review of Literature. J. Clin. Diagn. Res. 2016, 10, OE01–OE9. [Google Scholar] [CrossRef]
- Shang, X.; Dai, L.; Cao, X.; Ma, Y.; Gulnaz, I.; Miao, X.; Li, X.; Yang, X. Natural products in antiparasitic drug discovery: Advances, opportunities and challenges. Nat. Prod. Rep. 2025, 42, 1419–1458. [Google Scholar] [CrossRef]
- Hashemi, N.; Ommi, D.; Kheyri, P.; Khamesipour, F.; Setzer, W.N.; Benchimol, M. A review study on the anti-trichomonas activities of medicinal plants. Int. J. Parasitol. Drugs Drug Resist. 2021, 15, 92–104. [Google Scholar] [CrossRef]
- Friedman, M.; Tam, C.C.; Cheng, L.W.; Land, K.M. Anti-trichomonad activities of different compounds from foods, marine products, and medicinal plants: A review. BMC Complement. Med. Ther. 2020, 20, 271. [Google Scholar] [CrossRef] [PubMed]
- Millet, C.O.; Lloyd, D.; Williams, C.; Williams, D.; Evans, G.; Saunders, R.A.; Cable, J. Effect of garlic and allium-derived products on the growth and metabolism of Spironucleus vortens. Exp. Parasitol. 2011, 127, 490–499. [Google Scholar] [CrossRef]
- Ibrahim, A.N. Comparison of in vitro activity of metronidazole and garlic-based product (Tomex®) on Trichomonas vaginalis. Parasitol. Res. 2013, 112, 2063–2067. [Google Scholar] [CrossRef]
- Soffar, S.A.; Metwali, D.M.; Abdel-Aziz, S.S.; el-Wakil, H.S.; Saad, G.A. Evaluation of the effect of a plant alkaloid (berberine derived from Berberis aristata) on Trichomonas vaginalis in vitro. J. Egypt. Soc. Parasitol. 2001, 31, 893–904 + 1p plate. [Google Scholar]
- Elizondo-Luevano, J.H.; Verde-Star, J.; González-Horta, A.; Castro-Ríos, R.; Hernández-García, M.E.; Chávez-Montes, A. In Vitro Effect of Methanolic Extract of Argemone mexicana against Trichomonas vaginalis. Korean J. Parasitol. 2020, 58, 135–145. [Google Scholar] [CrossRef]
- Mallo, N.; Lamas, J.; Leiro, J.M. Hydrogenosome metabolism is the key target for antiparasitic activity of resveratrol against Trichomonas vaginalis. Antimicrob. Agents Chemother. 2013, 57, 2476–2484. [Google Scholar] [CrossRef]
- Noritake, S.M.; Liu, J.; Kanetake, S.; Levin, C.E.; Tam, C.; Cheng, L.W.; Land, K.M.; Friedman, M. Phytochemical-rich foods inhibit the growth of pathogenic trichomonads. BMC Complement. Altern. Med. 2017, 17, 461. [Google Scholar] [CrossRef]
- Özel, Y.; Çavuş, İ.; Ünlü, G.; Ünlü, M.; Özbilgin, A. Investigation of the Antitrichomonal Activity of Cinnamaldehyde, Carvacrol and Thymol and Synergy with Metronidazole. Turkiye Parazitol. Derg. 2024, 48, 72–76. [Google Scholar] [CrossRef]
- Peramuna, T.; Wood, G.E.; Hu, Z.; Wendt, K.L.; Aguila, L.K.T.; Kim, C.M.; Duerfeldt, A.S.; Cichewicz, R.H. Semisynthetic Tetramate-Containing Fungal Metabolites with Activity against Trichomonas vaginalis and Mycoplasma genitalium. ACS Med. Chem. Lett. 2024, 15, 1933–1939. [Google Scholar] [CrossRef] [PubMed]
- Pradines, B.; Domenichini, S.; Lievin-Le Moal, V. Adherent Bacteria and Parasiticidal Secretion Products of Human Cervicovaginal Microbiota-Associated Lactobacillus gasseri Confer Non-Identical Cell Protection against Trichomonas vaginalis-Induced Cell Detachment. Pharmaceuticals 2022, 15, 1350. [Google Scholar] [CrossRef] [PubMed]
- Newman, D.J.; Cragg, G.M. Natural Products as Sources of New Drugs over the Nearly Four Decades from 01/1981 to 09/2019. J. Nat. Prod. 2020, 83, 770–803. [Google Scholar] [CrossRef]
- Alonso, J.; Desmarchelier, C. Plantas Medicinales Autóctonas de la Argentina. Bases Científicas para su Aplicación en Atención Primaria de la Salud, 1st ed.; Lola: Buenos Aires, Argentina, 2005; pp. 249–252. Available online: https://www.researchgate.net/publication/299371108_Plantas_Medicinales_Autoctonas_de_la_Argentina_-_Bases_Cientificas_para_su_Aplicacion_en_Atencion_Primaria_de_la_Salud (accessed on 17 October 2025).
- Serrato, C.M.A. El recurso genético cempoa lxóchitl (Tagetes spp.) de México (Diagnóstico), 1st ed.; Universidad Autónoma Chapingo: Texcoco, Mexico, 2014; p. 49. Available online: https://www.gob.mx/cms/uploads/attachment/file/225091/El_recurso_gen_tico_del_cempoalxochitl__tagetes_spp__de_mexico__diagnostico_.pdf (accessed on 17 October 2025).
- Rahman, I.U.; Ijaz, F.; Iqbal, Z.; Afzal, A.; Ali, N.; Afzal, M.; Khan, M.A.; Muhammad, S.; Qadir, G.; Asif, M. A novel survey of the ethno medicinal knowledge of dental problems in Manoor Valley (Northern Himalaya), Pakistan. J. Ethnopharmacol. 2016, 194, 877–894. [Google Scholar] [CrossRef]
- Riaz, M.; Ahmad, R.; Rahman, N.U.; Khan, Z.; Dou, D.; Sechel, G.; Manea, R. Traditional uses, Phyto-chemistry and pharmacological activities of Tagetes Patula L. J. Ethnopharmacol. 2020, 255, 112718. [Google Scholar] [CrossRef]
- Bohatu, S.I.; Prystupa, B.V.; Rozhkovskyi, Y.V. Phytochemistry analysis and medicinal use of plants of the genus Tagetes. Farmatsevtychnyi Zhurnal 2024, 2, 73–91. [Google Scholar] [CrossRef]
- Hernández Torres, M.A.; Hernández García, M.E.; Carranza Torres, I.E.; Viveros Valdez, J.E. Actividad antiprotozoaria de plantas de la etnomedicina mexicana frente a Trichomonas tenax, protozoario asociado a enfermedad periodontal. Espacio I+D Innovación Desarro. 2025, 14, 42. Available online: https://www.espacioimasd.unach.mx/index.php/Inicio/article/view/478 (accessed on 17 October 2025).
- Marotti, M.; Piccaglia, R.; Biavati, B.; Marotti, I. Characterization and yield evaluation of essential oils from different Tagetes species. J. Essent. Oil Res. 2004, 16, 440–444. [Google Scholar] [CrossRef]
- Igwaran, A.; Iweriebor, B.C.; Ofuzim Okoh, S.; Uchechukwu Nwodo, U.; Chikwelu Obi, L.; Ifeanyi Okoh, A. Chemical constituents, antibacterial and antioxidant properties of the essential oil flower of Tagetes minuta grown in Cala community Eastern Cape, South Africa. BMC Complement. Altern. Med. 2017, 17, 351. [Google Scholar] [CrossRef]
- Monzote, L.; Gutiérrez, Y.; Machin, L.; Staniek, K.; Scull, R.; Satyal, P.; Gille, L.; Setzer, W.N. Antileishmanial Activity and Influence on Mitochondria of the Essential Oil from Tagetes lucida Cav. and Its Main Component. Sci. Pharm. 2020, 88, 31. [Google Scholar] [CrossRef]
- Rodríguez-Juárez, M.I.; Arjona-Suárez, E.; Cadena-Íñiguez, J.; Guevara-Olivar, B.K.; Ruiz-Posadas, L.d.M. Antifungal potential and chemical composition of Tagetes lunulata Ort. essential oil for the control of Trichophyton rubrum Malmsten. Agro Productividad 2023, 16, 119–126. [Google Scholar] [CrossRef]
- Mendoza-García, E.E.; Ortega-Arenas, L.D.; Serrato-Cruz, M.A.; Díaz-Cedillo, F.; Villanueva-Jiménez, J.A.; López-Arroyo, J.I.; Pérez-Pacheco, R. Efecto biológico del aceite de Tagetes coronopifolia (Asteraceae) contra Diaphorina citri (Hemiptera: Liviidae). R. Rev. Colomb. Entomol. 2015, 41, 157–162. Available online: http://www.scielo.org.co/scielo.php?script=sci_arttext&pid=S0120-04882015000200001&lng=en&tlng=es (accessed on 17 October 2025).
- López, S.B.; López, M.L.; Aragón, L.M.; Tereschuk, M.L.; Slanis, A.C.; Feresin, G.E.; Zygadlo, J.; Tapia, A.A. Composition and anti-insect activity of essential oils from Tagetes L. species (Asteraceae, Helenieae) on Ceratitis capitata Wiedemann and Triatoma infestans Klug. J. Agric. Food Chem. 2011, 59, 5286–5292. [Google Scholar] [CrossRef] [PubMed]
- Zhang, W.J.; Liu, Q.Y.; Li, D.W.; Zhang, Z.M.; You, C.X. Antagonistic storage potential of Tagetes minuta, Eupatorium fortunei and Ocimum basilicum oils with volatile secondary metabolites against Tribolium castaneum and Lasioderma serricorne. Ind. Crop. Prod. 2022, 187, 115502. [Google Scholar] [CrossRef]
- Álvarez, S.; Botina, D.E.; Ortiz, J.A.; Jarminton, A.; Botina, L.L. Evaluación nematicida del aceite esencial de Tagetes zypaquirensis en el manejo del nematodo Meloidogyne spp. Rev. Cienc. Agric. 2016, 33, 22–33. [Google Scholar] [CrossRef]
- Zarate-Escobedo, J.; Castañeda-González, E.L.; Cuevas-Sánchez, J.A.; Carrillo-Fonseca, C.L.; Mendoza-García, E.E.; Serrato-Cruz, M.A. Concentraciones e intervalos de aplicación del aceite esencial de Tagetes lucida Cav. contra Nacobbus aberrans. Rev. Mex. Cienc. Agrícolas 2018, 9, 589–600. [Google Scholar] [CrossRef]
- Kashif, M.; Bano, S.; Naqvi, S.; Faizi, S.; Lubna; Mesaik, M. A.; Shamsuddin Azeemi, K.; Farooq, A.D. Cytotoxic and antioxidant properties of phenolic compounds from Tagetes patula flower. Pharm. Biol. 2014, 53, 672–681. [Google Scholar] [CrossRef]
- Ibrahim, S.R.M.; Mohamed, G.A. Thiotagetin A, a new cytotoxic thiophene from Tagetes minuta. Nat. Prod. Res. 2016, 31, 543–547. [Google Scholar] [CrossRef] [PubMed]
- Ibrahim, S.R.M.; Mohamed, G.A.A. Tagetones A and B, new cytotoxic monocyclic diterpenoids from flowers of Tagetes minuta. Chin. J. Nat. Med. 2017, 15, 546–549. [Google Scholar] [CrossRef] [PubMed]
- Takibayeva, A.T.; Zhumabayeva, G.K.; Bakibaev, A.A.; Demets, O.V.; Lyapunova, M.V.; Mamaeva, E.A.; Yerkassov, R.S.; Kassenov, R.Z.; Ibrayev, M.K. Methods of Analysis and Identification of Betulin and Its Derivatives. Molecules 2023, 28, 5946. [Google Scholar] [CrossRef]
- Tijjani, A.; Ndukwe, I.; Ayo, R. Isolation and Characterization of Lup-20(29)-ene-3, 28- diol (Betulin) from the Stem-Bark of Adenium obesum (Apocynaceae). Trop. J. Pharm. Res. 2012, 11, 259–262. [Google Scholar] [CrossRef]
- Kamal, N.; Clements, C.; Gray, A.I.; Edrada-Ebel, R. Anti-infective Activities of Secondary Metabolites from Vitex pinnata. J. Appl. Pharm. Sci. 2016, 6, 102–106. [Google Scholar] [CrossRef]
- Erwin, U.; Pusparohmana, W.R.; Safitry, R.D.; Marliana, E.; Usman, E.; Kusuma, I.W. Isolation and characterization of stigmasterol and β-sitosterol from wood bark extract of Baccaurea macrocarpa Miq. Mull. Arg. Rasayan J. Chem. 2020, 13, 2552–2558. [Google Scholar] [CrossRef]
- Calzada, F.; Yépez-Mulia, L.; Tapia-Contreras, A. Effect of Mexican medicinal plant used to treat trichomoniasis on Trichomonas vaginalis trophozoites. J. Ethnopharmacol. 2007, 113, 248–251. [Google Scholar] [CrossRef] [PubMed]
- Amang à Ngnoung, G.A.; Nganso Ditchou, Y.O.; Leutcha, P.B.; Dize, D.; Tatsimo, S.J.N.; Tchokouaha, L.R.Y.; Kowa, T.K.; Tembeni, B.; Mamoudou, H.; Poka, M.; et al. Antiplasmodial and Antileishmanial Activities of a New Limonoid and Other Constituents from the Stem Bark of Khaya senegalensis. Molecules 2023, 28, 7227. [Google Scholar] [CrossRef] [PubMed]
- Wu, G.; Fiser, A.; ter Kuile, B.; Sali, A.; Müller, M. Convergent evolution of Trichomonas vaginalis lactate dehydrogenase from malate dehydrogenase. Proc. Natl. Acad. Sci. USA 1999, 96, 6285–6290. [Google Scholar] [CrossRef]
- Sato, D.; Nozaki, T. Methionine gamma-lyase: The unique reaction mechanism, physiological roles, and therapeutic applications against infectious diseases and cancers. IUBMB Life 2009, 61, 1019–1028. [Google Scholar] [CrossRef]
- Rinaldo-Matthis, A.; Wing, C.; Ghanem, M.; Deng, H.; Wu, P.; Gupta, A.; Tyler, P.C.; Evans, G.B.; Furneaux, R.H.; Almo, S.C.; et al. Inhibition and structure of Trichomonas vaginalis purine nucleoside phosphorylase with picomolar transition state analogues. Biochemistry 2007, 46, 659–668. [Google Scholar] [CrossRef] [PubMed]
- Zothantluanga, J.; Chetia, D. A Beginner’s Guide to Molecular Docking. Sci. Phytochem. 2022, 1, 90–93. [Google Scholar] [CrossRef]
- Steindel, P.A.; Chen, E.H.; Wirth, J.D.; Theobald, D.L. Gradual neofunctionalization in the convergent evolution of trichomonad lactate and malate dehydrogenases. Protein Sci. 2016, 25, 1319–1331. [Google Scholar] [CrossRef] [PubMed]
- Chabrière, E.; Charon, M.H.; Volbeda, A.; Pieulle, L.; Hatchikian, E.C.; Fontecilla-Camps, J.C. Crystal structures of the key anaerobic enzyme pyruvate:ferredoxin oxidoreductase, free and in complex with pyruvate. Nat. Struct. Biol. 1999, 6, 182–190. [Google Scholar] [CrossRef]
- Katsyv, A.; Schoelmerich, M.C.; Basen, M.; Müller, V. The pyruvate:ferredoxin oxidoreductase of the thermophilic acetogen, Thermoanaerobacter kivui. FEBS Open Bio 2021, 11, 1332–1342. [Google Scholar] [CrossRef]
- Leonti, M.; Vibrans, H.; Sticher, O.; Heinrich, M. Ethnopharmacology of the Popoluca, Mexico: An evaluation. J. Pharm. Pharmacol. 2001, 53, 1653–1669. [Google Scholar] [CrossRef]
- Moreno-Salazar, S.F.; Robles-Zepeda, R.E.; Johnson, D.E. Plant folk medicines for gastrointestinal disorders among the main tribes of Sonora, Mexico. Fitoterapia 2008, 79, 132–141. [Google Scholar] [CrossRef]
- Ijaz, F.; Iqbal, Z.; Rahman, I.U.; Alam, J.; Khan, S.M.; Shah, G.M.; Khan, K.; Afzal, A. Investigation of traditional medicinal floral knowledge of Sarban Hills, Abbottabad, KP, Pakistan. J. Ethnopharmacol. 2016, 179, 208–233. [Google Scholar] [CrossRef]
- Serrato-Cruz, M.A. Extracción de Aceite Esencial de la ‘Chik Chawua’ (Tagetes nelsonii Greenm.), Endémica de los Altos de Chiapas, para Obtención de Bioplaguicidas y de Medicamento y Como Parte de una Estrategia para la Conservación in situ en la Región: Propuesta, 1st ed.; Universidad Autónoma Chapingo: Texcoco, Mexico, 2014; p. 3. Available online: https://www.gob.mx/cms/uploads/attachment/file/225090/Extraccion_de_aceite_esencial_de_la_chik_chawua.pdf (accessed on 17 October 2025).
- Espinoza, R.M.; Palomeque, R.M.A.; Salazar, S.I.; Domínguez, A.S.; Canseco, A.L.M. Análisis preliminar de la actividad antimicrobiana de la planta medicinal Chik chawa (Tagetes nelsonii Greenm.). Rev. Cuba. Plantas Med. 2009, 14, 4. Available online: http://scielo.sld.cu/scielo.php?script=sci_arttext&pid=S1028-47962009000400007&lng=es&tlng=es (accessed on 17 October 2025).
- De La Cruz-Jiménez, L.; Hernández-Torres, M.A.; Monroy-García, I.N.; Rivas-Morales, C.; Verde-Star, M.J.; González-Villasana, V.; Viveros-Valdez, E. Biological Activities of Seven Medicinal Plants Used in Chiapas, Mexico. Plants 2022, 11, 1790. [Google Scholar] [CrossRef]
- Olán-Jiménez, K.A.; Cruz-Rodríguez, R.I.; Couder-García, B.d.C.; Jacobo-Herrera, N.; Ruiz-Lau, N.; Hernández-Cruz, M.d.C.; Ruíz-Valdiviezo, V.M. Antibacterial and Wound Healing Activity In Vitro of Individual and Combined Extracts of Tagetes nelsonii Greenm, Agave americana and Aloe vera. Sci. Pharm. 2024, 92, 41. [Google Scholar] [CrossRef]
- Gupta, P.; Vasudeva, N. In vitro antiplasmodial and antimicrobial potential of Tagetes erecta roots. Pharm. Biol. 2010, 48, 1218–1223. [Google Scholar] [CrossRef]
- Al-Musayeib, N.M.; Mothana, R.A.; Matheeussen, A.; Cos, P.; Maes, L. In vitro antiplasmodial, antileishmanial and antitrypanosomal activities of selected medicinal plants used in the traditional Arabian Peninsular region. BMC Complement. Altern. Med. 2012, 12, 49. [Google Scholar] [CrossRef]
- Lima, B.; Agüero, M.B.; Zygadlo, J.A.; Tapia, A.; Solís, C.; Arias, A.R.; Yaluff, G.; Zacchino, S.; Feresin, G.E.; Schmeda-Hirschmann, G. Antimicrobial activity of extracts, essential oil and metabolites obtained from Tagetes mendocina. J. Chil. Chem. Soc. 2009, 54, 68–72. [Google Scholar] [CrossRef]
- Noushahi, H.A.; Khan, A.H.; Noushahi, U.F.; Hussain, M.; Javed, T.; Zafar, M.; Batool, M.; Ahmed, U.; Liu, K.; Harrison, M.T.; et al. Biosynthetic pathways of triterpenoids and strategies to improve their Biosynthetic Efficiency. Plant Growth Regul. 2022, 97, 439–454. [Google Scholar] [CrossRef]
- Bishayee, A.; Ahmed, S.; Brankov, N.; Perloff, M. Triterpenoids as potential agents for the chemoprevention and therapy of breast cancer. FBL 2011, 16, 980–996. [Google Scholar] [CrossRef]
- Liaw, C.C.; Chen, Y.C.; Huang, G.J.; Tsai, Y.C.; Chien, S.C.; Wu, J.H.; Wang, S.Y.; Chao, L.K.; Sung, P.J.; Huang, H.C.; et al. Anti-inflammatory lanostanoids and lactone derivatives from Antrodia camphorata. J. Nat. Prod. 2013, 76, 489–494. [Google Scholar] [CrossRef]
- De Silva, M.d.L.; David, J.P.; Silva, L.C.; Santos, R.A.; David, J.M.; Lima, L.S.; Reis, P.S.; Fontana, R. Bioactive oleanane, lupane and ursane triterpene acid derivatives. Molecules 2012, 17, 12197–12205. [Google Scholar] [CrossRef]
- Sycz, Z.; Tichaczek-Goska, D.; Wojnicz, D. Propiedades antiplanctónicas y antibiofilm de los triterpenos pentacíclicos: Ácido asiático y ácido ursólico como prometedores fármacos antibacterianos para el futuro. Biomolecules 2022, 12, 98. [Google Scholar] [CrossRef]
- Kazakova, O.B.; Giniyatullina, G.V.; Yamansarov, E.Y.; Tolstikov, G.A. Betulin and ursolic acid synthetic derivatives as inhibitors of Papilloma virus. Bioorganic Med. Chem. Lett. 2010, 20, 4088–4090. [Google Scholar] [CrossRef] [PubMed]
- Sureda, A.; Monserrat-Mesquida, M.; Pinya, S.; Ferriol, P.; Tejada, S. Hypotensive Effects of the Triterpene Oleanolic Acid for Cardiovascular Prevention. Curr. Mol. Pharmacol. 2021, 14, 935–942. [Google Scholar] [CrossRef] [PubMed]
- Somova, L.I.; Shode, F.O.; Ramnanan, P.; Nadar, A. Antihypertensive, antiatherosclerotic and antioxidant activity of triterpenoids isolated from Olea europaea, subspecies africana leaves. J. Ethnopharmacol. 2003, 84, 299–305. [Google Scholar] [CrossRef]
- Gao, J.; Tang, X.; Dou, H.; Fan, Y.; Zhao, X.; Xu, Q. Hepatoprotective activity of Terminalia catappa L. leaves and its two triterpenoids. J. Pharm. Pharmacol. 2004, 56, 1449–1455. [Google Scholar] [CrossRef]
- Renda, G.; Gökkaya, İ.; Şöhretoğlu, D. Immunomodulatory properties of triterpenes. Phytochem. Rev. 2022, 21, 537–563. [Google Scholar] [CrossRef]
- Kuzminac, I.; Savić, M.P.; Ajduković, J.J.; Nikolić, A.R. Steroid and Triterpenoid Compounds with Antiparasitic Properties. Curr. Top. Med. Chem. 2023, 23, 791–815. [Google Scholar] [CrossRef]
- Struijs, K.; Lampi, A.M.; Ollilainen, V.; Piironen, V. Dimer formation during the thermo-oxidation of stigmasterol. Eur. Food Res. Technol. 2010, 231, 853–863. [Google Scholar] [CrossRef]
- Valitova, J.; Renkova, A.; Beckett, R.; Minibayeva, F. Stigmasterol: An Enigmatic Plant Stress Sterol with Versatile Functions. Int. J. Mol. Sci. 2024, 25, 8122. [Google Scholar] [CrossRef] [PubMed]
- Lal, M.; Kadam, A.; Padole, A.S. HPTLC method development and validation of stigmasterol from different extracts of Tagetes erecta and Capsicum annuum. J. Drug Deliv. Ther. 2019, 9, 169–172. [Google Scholar] [CrossRef]
- Xu, L.W.; Wang, G.Y.; Shi, Y.P. Chemical constituents from Tagetes erecta flowers. Chem. Nat. Compd. 2011, 47, 281–283. [Google Scholar] [CrossRef]
- Alakurtti, S.; Bergström, P.; Sacerdoti-Sierra, N.; Jaffe, C.L.; Yli-Kauhaluoma, J. Anti-leishmanial activity of betulin derivatives. J. Antibiot. 2010, 63, 123–126. [Google Scholar] [CrossRef]
- De Jesus, J.A.; Laurenti, M.D.; Antonangelo, L.; Faria, C.S.; Lago, J.H.G.; Passero, L.F.D. Related Pentacyclic Triterpenes Have Immunomodulatory Activity in Chronic Experimental Visceral Leishmaniasis. J. Immunol. Res. 2021, 2021, 6671287. [Google Scholar] [CrossRef]
- Alenezi, S.S.; Alenezi, N.D.; Ebiloma, G.U.; Natto, M.J.; Ungogo, M.A.; Igoli, J.O.; Ferro, V.A.; Gray, A.I.; Fearnley, J.; de Koning, H.P.; et al. The Antiprotozoal Activity of Papua New Guinea Propolis and Its Triterpenes. Molecules 2022, 27, 1622. [Google Scholar] [CrossRef]
- Frezza, C.; Venditti, A.; Bianco, A.; Serafini, M.; Pitorri, M.; Sciubba, F.; Di Cocco, M.E.; Spinozzi, E.; Cappellacci, L.; Hofer, A.; et al. Phytochemical Analysis and Trypanocidal Activity of Marrubium incanum Desr. Molecules 2020, 25, 3140. [Google Scholar] [CrossRef]
- Rocha-Garduño, G.; Hernández-Martínez, N.A.; Colín-Lozano, B.; Estrada-Soto, S.; Hernández-Núñez, E.; Prieto-Martinez, F.D.; Medina-Franco, J.L.; Chale-Dzul, J.B.; Moo-Puc, R.; Navarrete-Vázquez, G. Metronidazole and Secnidazole Carbamates: Synthesis, Antiprotozoal Activity, and Molecular Dynamics Studies. Molecules 2020, 25, 793. [Google Scholar] [CrossRef]
- Alves, M.S.D.; das Neves, R.N.; Sena-Lopes, Â.; Dimingues, M.; Casaril, A.M.; Vieira, N.; Mendoca, T.; de Souza, N.; Savegnano, L.; Kömmling, F.; et al. Antiparasitic activity of furanyl N-acylhydrazone derivatives against Trichomonas vaginalis: In vitro and in silico analyses. Parasites Vectors 2020, 13, 59. [Google Scholar] [CrossRef]
- Setzer, M.S.; Byler, K.G.; Ogungbe, I.V.; Setzer, W.N. Natural Products as New Treatment Options for Trichomoniasis: A Molecular Docking Investigation. Sci. Pharm. 2017, 85, 5. [Google Scholar] [CrossRef]
- Mata-Cárdenas, B.D.; Vargas-Villarreal, J.; González-Salazar, F.; Palacios-Corona, R.; Salvador, S.-F. A new vial microassay to screen antiprotozoal drugs. Pharmacologyonline 2008, 1, 529–537. [Google Scholar]
- Abramson, J.; Adler, J.; Dunger, J.; Evans, R.; Green, T.; Pritzel, A.; Ronneberger, O.; Willmore, L.; Ballard, A.J.; Bambrick, J.; et al. Accurate structure prediction of biomolecular interactions with AlphaFold 3. Nature 2024, 630, 493–500. [Google Scholar] [CrossRef] [PubMed]
- The UniProt Consortium. UniProt: The Universal Protein Knowledgebase in 2025. Nucleic Acids Res. 2025, 53, D609–D617. [Google Scholar] [CrossRef] [PubMed]
- Williams, C.J.; Headd, J.J.; Moriarty, N.W.; Prisant, M.G.; Videau, L.L.; Deis, L.N.; Verma, V.; Keedy, D.A.; Hintze, B.J.; Chen, V.B.; et al. MolProbity: More and better reference data for improved all-atom structure validation. Protein Sci. A Publ. Protein Soc. 2018, 27, 293–315. [Google Scholar] [CrossRef]
- Waterhouse, A.; Bertoni, M.; Bienert, S.; Studer, G.; Tauriello, G.; Gumienny, R.; Heer, F.T.; de Beer, T.A.P.; Rempfer, C.; Bordoli, L.; et al. SWISS-MODEL: Homology modelling of protein structures and complexes. Nucleic Acids Res. 2018, 46, W296–W303. [Google Scholar] [CrossRef]
- Berman, H.; Westbrook, J.; Feng, Z.; Gilliland, G.; Bhat, T.N.; Weissig, H.; Shindyalov, I.; Bourne, P. The Protein Data Bank. Nucleic Acids Res. 2000, 28, 235–242. [Google Scholar] [CrossRef]
- Liu, Y.; Grimm, M.; Dai, W.T.; Hou, M.C.; Xiao, Z.X.; Cao, Y. CB-Dock: A web server for cavity detection-guided protein-ligand blind docking. Acta Pharmacol. Sin. 2020, 41, 138–144. [Google Scholar] [CrossRef]
- Pettersen, E.F.; Goddard, T.D.; Huang, C.C.; Couch, G.S.; Greenblatt, D.M.; Meng, E.C.; Ferrin, T.E. UCSF Chimera--a visualization system for exploratory research and analysis. Comput. Chem. 2004, 25, 1605–1612. [Google Scholar] [CrossRef]
- Irwin, J.J.; Tang, K.G.; Young, J.; Dandarchuluun, C.; Wong, B.R.; Khurelbaatar, M.; Moroz, Y.S.; Mayfield, J.; Sayle, R.A. ZINC20—A Free Ultralarge-Scale Chemical Database for Ligand Discovery. J. Chem. Inf. Model. 2020, 60, 6065–6073. [Google Scholar] [CrossRef] [PubMed]
- Kim, S.; Chen, J.; Cheng, T.; Gindulyte, A.; He, J.; He, S.; Li, Q.; Shoemaker, B.A.; Thiessen, P.A.; Yu, B.; et al. PubChem 2025 update. Nucleic Acids Res 2025, 53, D1516–D1525. [Google Scholar] [CrossRef] [PubMed]
- Hanwell, M.D.; Curtis, D.E.; Lonie, D.C.; Vandermeersch, T.; Zurek, E.; Hutchison, G.R. Avogadro: An advanced semantic chemical editor, visualization, and analysis platform. J. Cheminform. 2012, 4, 1–17. [Google Scholar] [CrossRef] [PubMed]
- Morris, G.M.; Huey, R.; Lindstrom, W.; Sanner, M.F.; Belew, R.K.; Goodsell, D.S.; Olson, A.J. Autodock4 and AutoDockTools4: Automated docking with selective receptor flexiblity. J. Comput. Chem. 2009, 16, 2785–2791. [Google Scholar] [CrossRef]
- Laskowski, R.A.; Swindells, M.B. LigPlot+: Multiple ligand-protein interaction diagrams for drug discovery. J. Chem. Inf. Model. 2011, 51, 2778–2786. [Google Scholar] [CrossRef]




| Position | Betulin (1) | Stigmasterol (2) | ||||
|---|---|---|---|---|---|---|
| Type | δC * | δH (J in Hz) | Type | δC | δH (J in Hz) | |
| 1 | CH2 | 32.7 | 2.04, m | CH2 | 37.4 | 1.01, m |
| 2 | CH2 | 25.1 | 1.68, m | CH2 | 31.5 | 1.85, m |
| 3 | CH | 78.9 | 3.18, dd (4.7, 11.6) | CH | 71.7 | 3.52, m |
| 4 | C | 37.1 | - | CH2 | 42.3 | 2.23, m |
| 5 | CH | 55.2 | 1.41, m | C | 140.7 | - |
| 6 | CH2 | 18.2 | 1.51, m | CH | 121.6 | 5.36, dd (2.3, 5.1) |
| 7 | CH2 | 34.2 | 1.39, m | CH2 | 31.8 | 1.85, m |
| 8 | C | 40.8 | - | CH | 31.5 | 1.83, m |
| 9 | CH | 50.4 | 1.25, m | CH | 50.1 | 1.01, m |
| 10 | C | 37.1 | - | C | 36.4 | - |
| 11 | CH2 | 20.9 | 1.67, m | CH2 | 21.1 | 1.52, m |
| 12 | CH2 | 25.6 | 1.66, m | CH2 | 39.5 | 2.05–2.02, m |
| 13 | CH | 38.0 | 2.03, d | C | 42.2 | - |
| 14 | C | 42.8 | - | CH | 56.8 | 1.02, m |
| 15 | CH2 | 27.39 | 1.87, m | CH2 | 24.2 | 1.60, m |
| 16 | CH2 | 29.3 | 1.47, m | CH2 | 29.2 | 1.70, m |
| 17 | C | 47.9 | - | CH | 55.9 | 1.13, m |
| 18 | CH | 48.3 | 1.29, m | CH3 | 12.1 | 0.69, s |
| 19 | CH | 50.4 | 2.37, td, (5.9, 11.1, 11.1) | CH3 | 19.6 | 1.01, s |
| 20 | C | 150.9 | - | CH | 39.7 | 2.02, m |
| 21 | CH2 | 29.8 | 1.18, m | CH3 | 21.1 | 1.02, s |
| 22 | CH2 | 39.9 | 1.66, m | CH | 138.2 | 5.15, dd (8.7, 15.2) |
| 23 | CH3 | 27.9 | 1.03, s | CH | 129.2 | 5.02, dd (8.7, 15.2) |
| 24 | CH3 | 15.3 | 0.94, s | CH | 51.2 | 1.51, m |
| 25 | CH3 | 16.0 | 0.83, s | CH | 31.8 | 1.46, m |
| 26 | CH3 | 15.9 | 1.01, s | CH3 | 21.1 | 0.85, m |
| 27 | CH3 | 14.6 | 0.97, s | CH3 | 18.7 | 0.84, t |
| 28 | CH2 | 63.2 | 3.64, td (1.2, 6.7, 6.7) | CH2 | 24.9 | 1.69, m |
| 29 | CH2 | 109.2 | 4.69, d (2.5) 4.57, dd (1.5, 2.7) | CH3 | 11.8 | 0.80, m |
| 30 | CH3 | 19.3 | 1.65, s | |||
| Sample | Anti T. vaginalis Activity | Hemolytic Activity | |
|---|---|---|---|
| IC50 (µg/mL) | IC50 (µM) | IC50 (µg/mL) | |
| Methanolic extract | 157.1 ± 8.9 | >500 | |
| DCM soluble part | 131.0 ± 2.0 | >500 | |
| DCM insoluble part | >200 | >500 | |
| Hexanic extract | 153.2 ± 9.0 | >500 | |
| Betulin | 54.5 ± 4.2 | 123.1 ± 9.5 | >100 |
| Stigmasterol | 43.8 ± 4.3 | 100.6 ± 10.4 | >100 |
| Metronidazole | 0.14 ± 0.04 | 0.8 ± 0.2 | NT |
| Compound | Target Protein | Binding Energy (kcal/mol) 1 | Binding Score RMSD | Hydrogen Bond Residues (Length Å) | Non-Covalent Interactions |
|---|---|---|---|---|---|
| Betulin | TvpFOR | −8.04 ± 0.28 | 0.58 ± 0.82 | Chain A: Thr38 (2.99), Glu41 (3.09), Tyr127 (3.15), Asp453 (3.20). | Chain A: Thr34, Asp99, Arg117, Ile126, Tyr127, Phe177, His181, Tyr 452, Ala454, Lys456, Val831, Phe857, Asn987, Thr988. Chain B: Ile222, Glu226. |
| TvLDH | −6.61 ± 0.65 | 1.65 ± 0.14 | None | Gln15, Ile16, Arg48, Ser88, Pro90, Leu91, Leu100, Asn130, Phe238, Thr239. | |
| TvPNP | −6.58 ± 0.66 | 1.58 ± 0.11 | None | Thr156, Phe159, Tyr160, Asn161, Met170, Ala167, Val178, Asp204, His205, Ile206, His209. | |
| Stigmasterol | TvpFOR | −8.07 ± 0.32 | 1.21 ± 1.71 | None | Chain A: Ile126, Phe177, His181, Lys432, Tyr452, Asp453, Ala454, Lys456, Val831, Asn987. Chain B: Ile222. |
| TvLDH | −7.83 ± 0.59 | 1.59 ± 0.29 | None | Gln15, Ile16, Ile128, Asn130, Leu154, Leu157, His186, Phe238, Thr239, Ser240, Pro244. | |
| TvPNP | −7.19 ± 0.78 | 1.59 ± 0.23 | None | Thr156, Phe159, Asn161, Ala167, Val178, Asp204, Ile206. |
Disclaimer/Publisher’s Note: The statements, opinions and data contained in all publications are solely those of the individual author(s) and contributor(s) and not of MDPI and/or the editor(s). MDPI and/or the editor(s) disclaim responsibility for any injury to people or property resulting from any ideas, methods, instructions or products referred to in the content. |
© 2025 by the authors. Licensee MDPI, Basel, Switzerland. This article is an open access article distributed under the terms and conditions of the Creative Commons Attribution (CC BY) license (https://creativecommons.org/licenses/by/4.0/).
Share and Cite
Hernández-Torres, M.A.; García-Davis, S.; Fernández, J.J.; Diaz-Marrero, A.R.; Hernández-García, M.E.; Carranza-Torres, I.E.; Viveros-Valdez, E. Anti-Trichomonas vaginalis Activity of Triterpenes from Tagetes nelsonii Greenm. Pharmaceuticals 2025, 18, 1587. https://doi.org/10.3390/ph18101587
Hernández-Torres MA, García-Davis S, Fernández JJ, Diaz-Marrero AR, Hernández-García ME, Carranza-Torres IE, Viveros-Valdez E. Anti-Trichomonas vaginalis Activity of Triterpenes from Tagetes nelsonii Greenm. Pharmaceuticals. 2025; 18(10):1587. https://doi.org/10.3390/ph18101587
Chicago/Turabian StyleHernández-Torres, Mario Alberto, Sara García-Davis, José J. Fernández, Ana R. Diaz-Marrero, Magda Elizabeth Hernández-García, Irma Edith Carranza-Torres, and Ezequiel Viveros-Valdez. 2025. "Anti-Trichomonas vaginalis Activity of Triterpenes from Tagetes nelsonii Greenm" Pharmaceuticals 18, no. 10: 1587. https://doi.org/10.3390/ph18101587
APA StyleHernández-Torres, M. A., García-Davis, S., Fernández, J. J., Diaz-Marrero, A. R., Hernández-García, M. E., Carranza-Torres, I. E., & Viveros-Valdez, E. (2025). Anti-Trichomonas vaginalis Activity of Triterpenes from Tagetes nelsonii Greenm. Pharmaceuticals, 18(10), 1587. https://doi.org/10.3390/ph18101587

