The Glutaminase-1 Inhibitor [11C-carbony]BPTES: Synthesis and Positron Emission Tomography Study in Mice
Abstract
1. Introduction
2. Results and Discussion
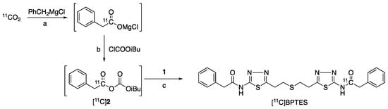
2.1. Synthetic Route
2.2. Chemical Synthesis
2.3. Radiosynthesis
2.4. Small-Animal PET Imaging
2.5. Biodistribution
2.6. Metabolite Analysis
3. Materials and Methods
3.1. Chemical Synthesis
3.1.1. 5,5′-(Thiobis(ethane-2,1-diyl)) bis (1,3,4-thiadiazol-2-amine) (5)
3.1.2. N-(5-(2-((2-(5-Amino-1,3,4-thiadiazol-2-yl)ethyl)thio)ethyl)-1,3,4-thiadiazol-2-yl)-2-phenylacetamide (1) and N,N′-((Thiobis(ethane-2,1-diyl))bis(1,3,4-thiadiazole-5,2-diyl))bis(2-phenylacetamide) (BPTES)
3.2. Radiosynthesis of [11C]BPTES
3.3. Animal Experiments
3.3.1. Animals
3.3.2. Small-Animal Pet Imaging
3.3.3. Biodistribution Study
3.3.4. Metabolite Analysis
4. Conclusions
Author Contributions
Funding
Institutional Review Board Statement
Informed Consent Statement
Data Availability Statement
Acknowledgments
Conflicts of Interest
References
- Robinson, M.M.; McBryant, S.J.; Tsukamoto, T.; Rojas, C.; Ferraris, D.V.; Hamilton, S.K.; Hansen, J.C.; Curthoys, N.P. Novel mechanism of inhibition of rat kidney-type glutaminase by bis-2-(5-phenylacetamido-1,2,4-thiadiazol-2-yl)ethyl sulfide (BPTES). Biochem. J. 2007, 40, 407–414. [Google Scholar] [CrossRef] [PubMed]
- Seltzer, M.J.; Bennett, B.D.; Joshi, A.D.; Gao, P.; Thomas, A.G.; Ferraris, D.V.; Tsukamoto, T.; Rojas, C.J.; Slusher, B.S.; Rabinowitz, J.D.; et al. Inhibition of glutaminase preferentially slows growth of glioma cells with mutant IDH1. Cancer Res. 2010, 70, 8981–8987. [Google Scholar] [CrossRef]
- Lee, J.S.; Kang, J.H.; Lee, S.H.; Lee, C.H.; Son, J.; Kim, S.Y. Glutaminase 1 inhibition reduces thymidine synthesis in NSCLC. Biochem. Biophys. Res. Commun. 2016, 477, 374–382. [Google Scholar] [CrossRef]
- Lee, J.S.; Kang, J.H.; Lee, S.H.; Hong, D.; Son, J.; Hong, K.M.; Song, J.; Kim, S.Y. Dual targeting of glutaminase 1 and thymidylate synthase elicits death synergistically in NSCLC. Cell Death Dis. 2016, 7, e2511. [Google Scholar] [CrossRef]
- De Santis, M.C.; Gozzelino, L.; Margaria, J.P.; Costamagna, A.; Ratto, E.; Gulluni, F.; Di Gregorio, E.; Mina, E.; Lorito, N.; Bacci, M.; et al. pancreatic cancer. Lysosomal lipid switch sensitives to nutrient deprivation and mTOR targeting in pancreatic cancer. Gut 2023, 72, 360–371. [Google Scholar] [CrossRef] [PubMed]
- O’Neill, L.A.J.; Kishton, R.J.; Rathmell, J. A guide to immunometabolism for immunologists. Nat. Rev. Immunol. 2016, 16, 553. [Google Scholar] [CrossRef]
- Sumikawa, M.H.; Iwata, S.; Zhang, M.; Miyata, H.; Ueno, M.; Todoroki, Y.; Nagayasu, A.; Kanda, R.; Sonomoto, K.; Torimoto, K.; et al. An enhanced mitochondrial function through glutamine metabolism in plasmablast differentiation in systemic lupus erythematosus. Rheumatology 2022, 61, 3049–3059. [Google Scholar] [CrossRef]
- Wang, P.-P.; Bai, H.-M.; He, S.-Y.; Xia, Z.-Q.; Liu, M.-J.; An, J.; Zhou, J.-H.; Li, C.-H.; Zhang, W.; Zhang, X.; et al. Inhibition of glutaminolysis alleviates myocardial fibrosis induced by angiotensin II. Sheng Li Xue Bao 2023, 75, 179–187. [Google Scholar] [PubMed]
- Shim, J.S.; Lee, H.S.; Kwon, H.; Kim, M.H.; Cho, Y.J.; Park, H.W. Inhibition of glutaminase 1 activity reverses airway hyperresponsiveness and decreases IL-1β+ M1s and IL-17 producing ILC3s in high-fat diet-fed obese mice. Am. J. Physiol. Lung Cell Mol. Physiol. 2023, 324, L625–L638. [Google Scholar] [CrossRef]
- Childs, B.G.; Durik, M.; Baker, D.J.; van Deursen, J.M. Cellular senescence in aging and age-related disease: From mechanisms to therapy. Nat. Med. 2015, 21, 1424–1435. [Google Scholar] [CrossRef]
- Baar, M.P.; Brandt, R.M.C.; Putavet, D.A.; Klein, J.D.D.; Derks, K.W.J.; Bourgeois, B.R.M.; Stryeck, S.; Rijksen, Y.; van Willigenburg, H.; Feijtel, D.A.; et al. Targeted apoptosis of senescent cells restores tissue homeostasis in response to chemotoxicity and aging. Cell 2017, 169, 132–147.e16. [Google Scholar] [CrossRef] [PubMed]
- He, S.; Sharpless, N.E. Senescence in health and disease. Cell 2017, 169, 1000–1011. [Google Scholar] [CrossRef] [PubMed]
- Xu, M.; Pirtskhalava, T.; Farr, J.N.; Weigand, B.M.; Palmer, A.K.; Weivoda, M.M.; Inman, C.L.; Ogrodnik, M.B.; Hachfeld, C.M.; Fraser, D.G.; et al. Senolytics improve physical function and increase lifespan in old age. Nat. Med. 2018, 24, 1246–1256. [Google Scholar] [CrossRef] [PubMed]
- Johmura, Y.; Yamanaka, T.; Omori, S.; Wang, T.W.; Sugiura, Y.; Matsumoto, M.; Suzuki, N.; Kumamoto, S.; Yamaguchi, K.; Hatakeyama, S.; et al. Senolysis by glutaminolysis inhibition ameliorates various age-associated disorders. Science 2021, 371, 265–270. [Google Scholar] [CrossRef]
- Kusama, K.; Yamauchi, N.; Yoshida, K.; Azumi, M.; Yoshie, M.; Tamura, K. Senolytic stromal cells. Biochem. Biophys. Res. Commun. 2021, 571, 174–180. [Google Scholar] [CrossRef]
- Shintani-Ishida, K.; Tsurumi, R.; Ikegaya, H. Decrease in the expression of muscle-specific miRNAs, miR-133a and miR-1, in myoblasts with replicative senescence. PLoS ONE 2023, 18, e0280527. [Google Scholar] [CrossRef]
- Takaya, K.; Ishii, T.; Asou, T.; Kishi, K. Glutaminase inhibitors rejuvenate human skin via clearance of senescent cells: A study using a mouse/human chimeric model. Aging 2022, 14, 8914–8926. [Google Scholar] [CrossRef]
- Elgogary, A.; Xu, Q.; Poore, B.; Alt, J.; Zimmermann, S.C.; Zhao, L.; Fu, J.; Chen, B.; Xia, S.; Liu, Y.; et al. BPTES nanoparticles pancreatic cancer. Proc. Natl. Acad. Sci. USA 2016, 113, E5328–E5336. [Google Scholar]
- Shukla, K.; Ferraris, D.V.; Thomas, A.G.; Stathis, M.; Duvall, B.; Delahanty, G.; Alt, J.; Rais, R.; Rojas, C.; Gao, P.; et al. Design, synthesis, and pharmacological evaluation of bis-2-(5-phenylacetamido-1,2,4-thiadiazol-2-yl)ethyl sulfide 3 (BPTES) analogs as glutaminase inhibitors. J. Med. Chem. 2012, 55, 10551–10563. [Google Scholar] [CrossRef]
- Duvall, B.; Zimmermann, S.C.; Gao, R.-D.; Thomas, A.G.; Kalčic, F.; Veeravalli, V.; Elgogary, A.; Rais, R.; Rojas, C.; Le, A.; et al. Allosteric kidney-type glutaminase (GLS) inhibitors with a mercaptoethyl linker. Bioorg. Med. Chem. 2020, 28, 115698. [Google Scholar] [CrossRef]
- Yang, T.; Tian, Y.; Yang, Y.; Tang, M.; Shi, M.; Chen, Y.; Yang, Z.; Chen, L. Design, synthesis, and pharmacological evaluation of 2-(1-(1,3,4-thiadiazol-2-yl)piperidin-4-yl)ethan-1-ol analogs as novel glutaminase 1 inhibitors. Eur. J. Med. Chem. 2022, 243, 114686. [Google Scholar] [CrossRef] [PubMed]
- Lee, E.J.; Duggirala, K.B.; Lee, Y.; Yun, M.R.; Jang, J.; Cyriac, R.; Jung, M.E.; Choi, G.; Chae, C.H.; Cho, B.C.; et al. Novel allosteric glutaminase 1 inhibitors with macrocyclic structure activity relationship analysis. Bioorg. Med. Chem. Lett. 2022, 75, 128956. [Google Scholar] [CrossRef] [PubMed]
- Fu, Z.; Du, H.; Meng, S.; Yao, M.; Zhao, P.; Li, X.; Zheng, X.; Yuan, Z.; Yang, H.; Cai, K.; et al. Tumor-targeted dual-starvation therapy based on redox-responsive micelle nanosystem with co-loaded LND and BPTES. Mater. Today Bio 2022, 16, 100449. [Google Scholar] [CrossRef]
- Cai, X.; Shi, S.; Chen, G.; Zhong, M.; Yang, Y.; Mai, Z.; Tian, Y.; Tan, J.; He, L.; Cui, C.; et al. Glutamine metabolism targeting liposomes for synergistic chemosensitization and starvation therapy in ovarian cancer. Acta Biomater. 2023, 158, 560–570. [Google Scholar] [CrossRef] [PubMed]
- Yu, C.; Wan, N.; Chen, X.; Jiang, Y.; Luan, Y.; Qin, W.; He, W. A photodynamic-mediated glutamine metabolic intervention nanodrug for triple negative breast cancer therapy. Mater. Today Bio 2023, 19, 100577. [Google Scholar] [CrossRef]
- Zhang, M.-R.; Kida, T.; Noguchi, J.; Furutsuka, K.; Maeda, J.; Suhara, T.; Suzuki, K. [11C]DAA1106: Radiosynthesis and in vivo binding to peripheral benzodiazepine receptors in mouse brain. Nucl. Med. Biol. 2003, 30, 513–519. [Google Scholar] [CrossRef]
- Zhang, M.-R.; Kumata, K.; Maeda, J.; Yanamoto, K.; Hatori, A.; Okada, M.; Higuchi, M.; Obayashi, S.; Suhara, T.; Suzuki, K. 11C-AC-5216: A novel PET ligand for peripheral benzodiazepine receptors in the primate brain. J. Nucl. Med. 2007, 48, 1853–1861. [Google Scholar] [CrossRef]
- Hatori, A.; Arai, T.; Yanamoto, K.; Yamasaki, T.; Kawamura, K.; Yui, J.; Konno, F.; Nakao, R.; Suzuki, K.; Zhang, M.-R. Biodistribution and metabolism of the anti-influenza drug [11C]oseltamivir and its active metabolite [11C]Ro 64-0802 in mice. Nucl. Med. Biol. 2009, 36, 47–55. [Google Scholar] [CrossRef]
- Hatori, A.; Yui, J.; Yanamoto, K.; Yamasaki, T.; Kawamura, K.; Takei, M.; Arai, T.; Fukumura, T.; Zhang, M.-R. Determination of radioactivity in infant, juvenile and adult rat brains after injection of anti-influenza drug [11C]oseltamivir using PET and autoradiography. Neurosci. Lett. 2011, 495, 187–191. [Google Scholar] [CrossRef]
- Hu, K.; Xie, L.; Zhang, Y.; Hanyu, M.; Yang, Z.; Nagatsu, K.; Suzuki, H.; Ouyang, J.; Ji, X.; Wei, J.; et al. Marriage of black phosphorus and Cu2+ as effective photothermal agents for PET-guided combination cancer therapy. Nat. Commun. 2020, 11, 2778. [Google Scholar] [CrossRef]
- Yui, J.; Hatori, A.; Kawamura, K.; Yanamoto, K.; Yamasaki, T.; Ogawa, M.; Yoshida, Y.; Kumata, K.; Fujinaga, M.; Nengaki, N.; et al. Visualization of early infarction in rat brain after ischemia using a translocator protein (18 kDa) PET ligand [11C]DAC with ultra-high specific activity. Neuroimage 2011, 54, 123–130. [Google Scholar] [CrossRef] [PubMed]
- Arai, T.; Zhang, M.-R.; Ogawa, M.; Fukumura, T.; Kato, K.; Suzuki, K. [1-11C]acetyl chloride. Appl. Radiat. Isot. 2009, 67, 296–300. [Google Scholar] [CrossRef] [PubMed]
- Konno, F.; Arai, T.; Zhang, M.-R.; Hatori, A.; Yanamoto, K.; Ogawa, M.; Ito, G.; Odawara, C.; Yamasaki, T.; Kato, K.; et al. Radiosyntheses of two positron emission tomography probes: [11C]Oseltamivir and its active metabolite [11C]Ro 64-0802. Bioorg. Med. Chem. Lett. 2008, 18, 1260–1263. [Google Scholar] [CrossRef] [PubMed]
- Maeda, J.; Suhara, T.; Ogawa, M.; Okauchi, T.; Kawabe, K.; Zhang, M.-R.; Semba, J.; Suzuki, K. In vivo binding properties of [carbonyl-11C]WAY-100635: Effect of endogenous serotonin. Synapse 2001, 40, 122–129. [Google Scholar] [CrossRef]
- Okada, M.; Nakao, R.; Momosaki, S.; Yanamoto, K.; Kikuchi, T.; Okamura, T.; Wakizaka, H.; Hosoi, R.; Zhang, M.R.; Inoue, O. Improvement of brain uptake for in vivo PET imaging of astrocytic oxidative metabolism using benzyl [1-11C]acetate. Appl. Radiat. Isot. 2013, 78, 102–127. [Google Scholar] [CrossRef]
- Kikuchi, T.; Okamura, T.; Okada, M.; Ogawa, M.; Suzuki, C.; Wakizaka, H.; Yui, J.; Fukumura, T.; Gee, A.D.; Zhang, M.-R. Benzyl [(11)C]hippurate as an agent for measuring the activities of organic anion transporter 3 in the brain and multidrug resistance-associated protein 4 in the heart of mice. J. Med. Chem. 2016, 59, 5847–5856. [Google Scholar] [CrossRef]
- Yamasaki, T.; Kumata, K.; Hiraishi, A.; Zhang, Y.; Wakizaka, H.; Kurihara, Y.; Nengaki, N.; Zhang, M.-R. Synthesis of [11C]carbonyl-labeled cyclohexyl (5-(2-acetamidobenzo[d]thiazol-6-yl)-2-methylpyridin-3-yl)carbamate ([11C-carbonyl]PK68) as a potential PET tracer for receptor-interacting protein 1 kinase. EJNMMI Radiopharm. Chem. 2022, 7, 4. [Google Scholar] [CrossRef]






| Organ | 1 min | 5 min | 15 min | 30 min | 60 min |
|---|---|---|---|---|---|
| Blood | 6.12 ± 0.12 | 1.61 ± 0.08 | 1.4 ± 0.17 | 1.06 ± 0.2 | 0.47 ± 0.03 |
| Heart | 5.11 ± 0.16 | 3.56 ± 0.5 | 2.86 ± 0.2 | 2.07 ± 0.05 | 1.69 ± 0.16 |
| Thymus | 1.86 ± 0.03 | 0.88 ± 0.05 | 0.92 ± 0.1 | 0.69 ± 0.15 | 0.44 ± 0.12 |
| Lung | 18.77 ± 3.95 | 6.04 ± 0.2 | 2.83 ± 0.2 | 1.56 ± 0.06 | 1.23 ± 0.07 |
| Liver | 27.85 ± 4.3 | 34.74 ± 1.35 | 31.46 ± 0.86 | 20.96 ± 1.9 | 12.96 ± 1.55 |
| Pancreas | 5.86 ± 0.6 | 5.34 ± 0.22 | 4.84 ± 0.22 | 3.66 ± 0.09 | 2.66 ± 0.31 |
| Spleen | 4.05 ± 0.71 | 3.03 ± 0.64 | 1.38 ± 0.07 | 0.86 ± 0.08 | 0.69 ± 0.13 |
| Kidneys | 40.73 ± 3.06 | 33.19 ± 2.59 | 19.84 ± 1.04 | 12.22 ± 0.22 | 7.09 ± 0.57 |
| A. gland | 4.54 ± 0.92 | 3.05 ± 0.59 | 1.53 ± 0.1 | 1.74 ± 0.23 | 1.04 ± 0.19 |
| Stomach | 2.9 ± 0.37 | 2.5 ± 0.49 | 2.68 ± 0.21 | 6.92 ± 1.89 | 10.4 ± 4.22 |
| S. intestine | 10.59 ± 1.79 | 17.02 ± 3.25 | 28.16 ± 6.72 | 24.9 ± 5.26 | 28.91 ± 10.12 |
| L. intestine | 2.53 ± 0.79 | 2.19 ± 0.42 | 1.71 ± 0.27 | 2.4 ± 0.23 | 7.29 ± 1.81 |
| Muscle | 0.78 ± 0.03 | 0.89 ± 0.09 | 0.93 ± 0.07 | 0.71 ± 0.06 | 0.62 ± 0.08 |
| Bone | 1.56 ± 0.19 | 1.32 ± 0.23 | 0.85 ± 0.06 | 0.57 ± 0.13 | 0.35 ± 0.09 |
| Testis | 0.33 ± 0.11 | 0.35 ± 0.01 | 0.5 ± 0.16 | 0.41 ± 0.1 | 0.09 ± 0.01 |
| Bladder | 3.94 ± 2.74 | 5.2 ± 1.09 | 8.95 ± 1.71 | 5.56 ± 0.86 | 12.97 ± 10.89 |
| Brain | 0.68 ± 0.05 | 0.36 ± 0.02 | 0.19 ± 0.01 | 0.14 ± 0.01 | 0.1 ± 0.01 |
| Time after Injection | Plasma | Liver |
|---|---|---|
| 15 min | 36.11 ± 1.68 | 73.13 ± 6.28 |
| 30 min | 23.71 ± 2.55 | 62.33 ± 4.68 |
| 60 min | 11.14 ± 3.00 | 14.50 ± 7.85 |
Disclaimer/Publisher’s Note: The statements, opinions and data contained in all publications are solely those of the individual author(s) and contributor(s) and not of MDPI and/or the editor(s). MDPI and/or the editor(s) disclaim responsibility for any injury to people or property resulting from any ideas, methods, instructions or products referred to in the content. |
© 2023 by the authors. Licensee MDPI, Basel, Switzerland. This article is an open access article distributed under the terms and conditions of the Creative Commons Attribution (CC BY) license (https://creativecommons.org/licenses/by/4.0/).
Share and Cite
Zhang, Y.; Kumata, K.; Xie, L.; Kurihara, Y.; Ogawa, M.; Kokufuta, T.; Nengaki, N.; Zhang, M.-R. The Glutaminase-1 Inhibitor [11C-carbony]BPTES: Synthesis and Positron Emission Tomography Study in Mice. Pharmaceuticals 2023, 16, 963. https://doi.org/10.3390/ph16070963
Zhang Y, Kumata K, Xie L, Kurihara Y, Ogawa M, Kokufuta T, Nengaki N, Zhang M-R. The Glutaminase-1 Inhibitor [11C-carbony]BPTES: Synthesis and Positron Emission Tomography Study in Mice. Pharmaceuticals. 2023; 16(7):963. https://doi.org/10.3390/ph16070963
Chicago/Turabian StyleZhang, Yiding, Katsushi Kumata, Lin Xie, Yusuke Kurihara, Masanao Ogawa, Tomomi Kokufuta, Nobuki Nengaki, and Ming-Rong Zhang. 2023. "The Glutaminase-1 Inhibitor [11C-carbony]BPTES: Synthesis and Positron Emission Tomography Study in Mice" Pharmaceuticals 16, no. 7: 963. https://doi.org/10.3390/ph16070963
APA StyleZhang, Y., Kumata, K., Xie, L., Kurihara, Y., Ogawa, M., Kokufuta, T., Nengaki, N., & Zhang, M.-R. (2023). The Glutaminase-1 Inhibitor [11C-carbony]BPTES: Synthesis and Positron Emission Tomography Study in Mice. Pharmaceuticals, 16(7), 963. https://doi.org/10.3390/ph16070963

