Design, Synthesis, In Vitro, and In Silico Studies of New N5-Substituted-pyrazolo[3,4-d]pyrimidinone Derivatives as Anticancer CDK2 Inhibitors
Abstract
:1. Introduction
2. Results and Discussion
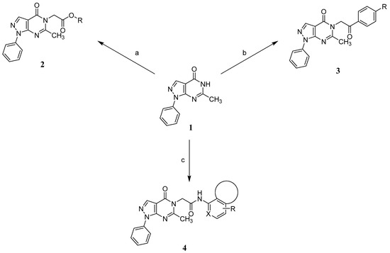
2.1. Chemistry
2.2. In Vitro Antiproliferative Activity
2.3. Structure Activity Relationship
2.4. CDK2 Inhibitory Activity
2.5. In Silico Docking Study
2.6. Predicted Physicochemical Properties and Toxicity Parameters
3. Materials and Methods
3.1. Chemistry
3.2. In Vitro Assay of Antiproliferative Activity
3.3. In Vitro Assay of CDK2 Inhibition
3.4. Statistical Analysis
3.5. In Silico Docking Study
4. Conclusions
Supplementary Materials
Author Contributions
Funding
Institutional Review Board Statement
Informed Consent Statement
Data Availability Statement
Conflicts of Interest
Abbreviations
| HCC | Hepatocellular carcinoma |
| CRC | Colorectal cancer |
| IARC | International Agency for Research on Cancer |
| CDK2 | Cyclin-dependent kinase-2 |
| SD | Standard deviation |
| IC50 | Half-maximal inhibitory concentration |
| RMSD | Root mean square deviation |
References
- Sung, H.; Ferlay, J.; Siegel, R.L.; Laversanne, M.; Soerjomataram, I.; Jemal, A.; Bray, F. Global Cancer Statistics 2020: GLOBOCAN Estimates of Incidence and Mortality Worldwide for 36 Cancers in 185 Countries. CA Cancer J. Clin. 2021, 71, 209. [Google Scholar] [CrossRef] [PubMed]
- Elnaggar, M.H.; Abushouk, A.I.; Hassan, A.H.E.; Lamloum, H.M.; Benmelouka, A.; Moatamed, S.A.; Abd-Elmegeed, H.; Attia, S.; Samir, A.; Amr, N.; et al. Nanomedicine as a putative approach for active targeting of hepatocellular carcinoma. Semin. Cancer Biol. 2021, 69, 91–99. [Google Scholar] [CrossRef]
- Xi, Y.; Xu, P. Global colorectal cancer burden in 2020 and projections to 2040. Transl. Oncol. 2021, 14, 101174. [Google Scholar] [CrossRef]
- Ferlay, J.; Colombet, M.; Soerjomataram, I.; Parkin, D.M.; Piñeros, M.; Znaor, A.; Bray, F. Cancer statistics for the year 2020: An overview. Int. J. Cancer 2021, 149, 778. [Google Scholar] [CrossRef]
- Li, C.; He, W.-Q. Comparison of primary liver cancer mortality estimates from World Health Organization, global burden disease and global cancer observatory. Liver Int. 2022, 42, 2299. [Google Scholar] [CrossRef]
- Makhlouf, N.A.; Abdel-Gawad, M.; Mahros, A.M.; Lashen, S.A.; Zaghloul, M.; Eliwa, A.; Elshemy, E.E.; Ali-Eldin, Z.; Abdeltawab, D.; El-Raey, F.; et al. Colorectal cancer in Arab world: A systematic review. World J. Gastrointest. Oncol. 2021, 13, 1791. [Google Scholar] [CrossRef] [PubMed]
- Man, S.; Luo, C.; Yan, M.; Zhao, G.; Ma, L.; Gao, W. Treatment for liver cancer: From sorafenib to natural products. Eur. J. Med. Chem. 2021, 224, 113690. [Google Scholar] [CrossRef]
- Zhu, X.-D.; Sun, H.-C. Emerging agents and regimens for hepatocellular carcinoma. J. Hematol. Oncol. 2019, 12, 110. [Google Scholar] [CrossRef] [PubMed]
- Arai, H.; Battaglin, F.; Wang, J.; Lo, J.H.; Soni, S.; Zhang, W.; Lenz, H.-J. Molecular insight of regorafenib treatment for colorectal cancer. Cancer Treat. Rev. 2019, 81, 101912. [Google Scholar] [CrossRef]
- Huang, X.-M.; Yang, Z.-J.; Xie, Q.; Zhang, Z.-K.; Zhang, H.; Ma, J.-Y. Natural products for treating colorectal cancer: A mechanistic review. Biomed. Pharmacother. 2019, 117, 109142. [Google Scholar] [CrossRef]
- Ocran Mattila, P.; Ahmad, R.; Hasan, S.S.; Babar, Z.-U.-D. Availability, Affordability, Access, and Pricing of Anti-cancer Medicines in Low- and Middle-Income Countries: A Systematic Review of Literature. Front. Public Health 2021, 9, 628744. [Google Scholar] [CrossRef] [PubMed]
- Kazibwe, J.; Tran, P.B.; Annerstedt, K.S. The household financial burden of non-communicable diseases in low- and middle-income countries: A systematic review. Health Res. Policy Syst. 2021, 19, 96. [Google Scholar] [CrossRef] [PubMed]
- Saqub, H.; Proetsch-Gugerbauer, H.; Bezrookove, V.; Nosrati, M.; Vaquero, E.M.; de Semir, D.; Ice, R.J.; McAllister, S.; Soroceanu, L.; Kashani-Sabet, M.; et al. Dinaciclib, a cyclin-dependent kinase inhibitor, suppresses cholangiocarcinoma growth by targeting CDK2/5/9. Sci. Rep. 2020, 10, 18489. [Google Scholar] [CrossRef] [PubMed]
- Malumbres, M. Cyclin-dependent kinases. Genome Biol. 2014, 15, 122. [Google Scholar] [CrossRef] [PubMed]
- Mandour, A.A.; Nassar, I.F.; Abdel Aal, M.T.; Shahin, M.A.E.; El-Sayed, W.A.; Hegazy, M.; Yehia, A.M.; Ismail, A.; Hagras, M.; Elkaeed, E.B.; et al. Synthesis, biological evaluation, and in silico studies of new CDK2 inhibitors based on pyrazolo[3,4-d]pyrimidine and pyrazolo[4,3-e][1,2,4]triazolo[1,5-c]pyrimidine scaffold with apoptotic activity. J. Enzyme Inhib. Med. Chem. 2022, 37, 1957. [Google Scholar] [CrossRef]
- Li, J.-Q.; Miki, H.; Ohmori, M.; Wu, F.; Funamoto, Y. Expression of cyclin E and cyclin-dependent kinase 2 correlates with metastasis and prognosis in colorectal carcinoma. Hum. Pathol. 2001, 32, 945. [Google Scholar] [CrossRef]
- Yang, A.-L.; Wu, Q.; Hu, Z.-D.; Wang, S.-P.; Tao, Y.-F.; Wang, A.-M.; Sun, Y.-X.; Li, X.-L.; Dai, L.; Zhang, J. A network pharmacology approach to investigate the anticancer mechanism of cinobufagin against hepatocellular carcinoma via downregulation of EGFR-CDK2 signaling. Toxicol. Appl. Pharmacol. 2021, 431, 115739. [Google Scholar] [CrossRef]
- Tadesse, S.; Anshabo, A.T.; Portman, N.; Lim, E.; Tilley, W.; Caldon, C.E.; Wang, S. Targeting CDK2 in cancer: Challenges and opportunities for therapy. Drug Discov. Today 2020, 25, 406. [Google Scholar] [CrossRef]
- van den Heuvel, S.; Harlow, E. Distinct Roles for Cyclin-Dependent Kinases in Cell Cycle Control. Science 1993, 262, 2050–2054. [Google Scholar] [CrossRef]
- Maddika, S.; Ande, S.R.; Wiechec, E.; Hansen, L.L.; Wesselborg, S.; Los, M. Akt-mediated phosphorylation of CDK2 regulates its dual role in cell cycle progression and apoptosis. J. Cell Sci. 2008, 121, 979–988. [Google Scholar] [CrossRef]
- Fagundes, R.; Teixeira, L.K. Cyclin E/CDK2: DNA Replication, Replication Stress and Genomic Instability. Front. Cell Dev. Biol. 2021, 9, 3266. [Google Scholar] [CrossRef] [PubMed]
- Nassar, I.F.; Abdel Aal, M.T.; El-Sayed, W.A.; E Shahin, A.M.; Elsakka, E.G.E.; Mokhtar, M.M.; Hegazy, M.; Hagras, M.; Mandour, A.A.; Ismail, N.S.M. Discovery of pyrazolo[3,4-d]pyrimidine and pyrazolo[4,3-e][1,2,4]triazolo[1,5-c]pyrimidine derivatives as novel CDK2 inhibitors: Synthesis, biological and molecular modeling investigations. RSC Adv. 2022, 12, 14865. [Google Scholar] [CrossRef] [PubMed]
- Łukasik, P.; Baranowska-Bosiacka, I.; Kulczycka, K.; Gutowska, I. Inhibitors of Cyclin-Dependent Kinases: Types and Their Mechanism of Action. Int. J. Mol. Sci. 2021, 22, 2806. [Google Scholar] [CrossRef] [PubMed]
- Alessi, F.; Quarta, S.; Savio, M.; Riva, F.; Rossi, L.; Stivala, L.A.; Scovassi, A.I.; Meijer, L.; Prosperi, E. The Cyclin-Dependent Kinase Inhibitors Olomoucine and Roscovitine Arrest Human Fibroblasts in G1 Phase by Specific Inhibition of CDK2 Kinase Activity. Exp. Cell Res. 1998, 245, 8. [Google Scholar] [CrossRef]
- Markwalder, J.A.; Arnone, M.R.; Benfield, P.A.; Boisclair, M.; Burton, C.R.; Chang, C.-H.; Cox, S.S.; Czerniak, P.M.; Dean, C.L.; Doleniak, D.; et al. Synthesis and Biological Evaluation of 1-Aryl-4,5-dihydro-1H-pyrazolo[3,4-d]pyrimidin-4-one Inhibitors of Cyclin-Dependent Kinases. J. Med. Chem. 2004, 47, 5894–5911. [Google Scholar] [CrossRef]
- Vannini, F.; Chattopadhyay, M.; Kodela, R.; Rao, P.P.N.; Kashfi, K. Positional isomerism markedly affects the growth inhibition of colon cancer cells by NOSH-aspirin: COX inhibition and modeling. Redox Biol. 2015, 6, 318–325. [Google Scholar] [CrossRef] [PubMed]
- Gómez-Santacana, X.; Dalton, J.A.R.; Rovira, X.; Pin, J.P.; Goudet, C.; Gorostiza, P.; Giraldo, J.; Llebaria, A. Positional isomers of bispyridine benzene derivatives induce efficacy changes on mGlu5 negative allosteric modulation. Eur. J. Med. Chem. 2017, 127, 567–576. [Google Scholar] [CrossRef]
- Hassan, A.H.E.; Kim, H.J.; Gee, M.S.; Park, J.-H.; Jeon, H.R.; Lee, C.J.; Choi, Y.; Moon, S.; Lee, D.; Lee, J.K.; et al. Positional scanning of natural product hispidol’s ring-B: Discovery of highly selective human monoamine oxidase-B inhibitor analogues downregulating neuroinflammation for management of neurodegenerative diseases. J. Enzyme Inhib. Med. Chem. 2022, 37, 768–780. [Google Scholar] [CrossRef]
- Schenone, S.; Radi, M.; Musumeci, F.; Brullo, C.; Botta, M. Biologically Driven Synthesis of Pyrazolo[3,4-d]pyrimidines As Protein Kinase Inhibitors: An Old Scaffold As a New Tool for Medicinal Chemistry and Chemical Biology Studies. Chem. Rev. 2014, 114, 7189–7238. [Google Scholar] [CrossRef]
- Ismail, N.S.M.; Ali, E.M.H.; Ibrahim, D.A.; Serya, R.A.T.; Abou El Ella, D.A. Pyrazolo[3,4-d]pyrimidine based scaffold derivatives targeting kinases as anticancer agents. Future J. Pharm. Sci. 2016, 2, 20–30. [Google Scholar] [CrossRef]
- Baillache, D.J.; Unciti-Broceta, A. Recent developments in anticancer kinase inhibitors based on the pyrazolo[3,4-d]pyrimidine scaffold. RSC Med. Chem. 2020, 11, 1112–1135. [Google Scholar] [CrossRef] [PubMed]
- Miyashita, A.; Iijima, C.; Higashino, T. Studies on pyrazolo [3, 4-d] pyrimidine derivatives. XVIII, Facile preparation of 1H-pyrazolo [3, 4-d] pyrimidin-4 [5H]-ones. Heterocycles 1990, 31, 1309–1314. [Google Scholar] [CrossRef]
- Kamiloglu, S.; Sari, G.; Ozdal, T.; Capanoglu, E. Guidelines for cell viability assays. Food Front. 2020, 1, 332–349. [Google Scholar] [CrossRef]
- Lee, H.-H.; Shin, J.-S.; Chung, K.-S.; Kim, J.-M.; Jung, S.-H.; Yoo, H.-S.; Hassan, A.H.E.; Lee, J.K.; Inn, K.-S.; Lee, S.; et al. 3ʹ,4ʹ-Dihydroxyflavone mitigates inflammatory responses by inhibiting LPS and TLR4/MD2 interaction. Phytomedicine 2023, 109, 154553. [Google Scholar] [CrossRef]
- El-Naggar, A.M.; El-Hashash, M.A.; Elkaeed, E.B. Eco-friendly sequential one-pot synthesis, molecular docking, and anticancer evaluation of arylidene-hydrazinyl-thiazole derivatives as CDK2 inhibitors. Bioorg. Chem. 2021, 108, 104615. [Google Scholar] [CrossRef]
- Asghar, U.; Witkiewicz, A.K.; Turner, N.C.; Knudsen, E.S. The history and future of targeting cyclin-dependent kinases in cancer therapy. Nat. Rev. Drug Discov. 2015, 14, 130–146. [Google Scholar] [CrossRef]
- De Azevedo, W.F.; Leclerc, S.; Meijer, L.; Havlicek, L.; Strnad, M.; Kim, S.-H. Inhibition of Cyclin-Dependent Kinases by Purine Analogues. Eur. J. Chem. 1997, 243, 518. [Google Scholar] [CrossRef] [PubMed]
- Li, Y.; Zhang, J.; Gao, W.; Zhang, L.; Pan, Y.; Zhang, S.; Wang, Y. Insights on Structural Characteristics and Ligand Binding Mechanisms of CDK2. Int. J. Mol. Sci. 2015, 16, 9314. [Google Scholar] [CrossRef]
- Lipinski, C.A. Lead- and drug-like compounds: The rule-of-five revolution. Drug Discov. Today Technol. 2004, 1, 337. [Google Scholar] [CrossRef]
- Veber, D.F.; Johnson, S.R.; Cheng, H.-Y.; Smith, B.R.; Ward, K.W.; Kopple, K.D. Molecular Properties That Influence the Oral Bioavailability of Drug Candidates. J. Med. Chem. 2002, 45, 2615. [Google Scholar] [CrossRef]
- Hennek, J.; Alves, J.; Yao, E.; Goueli, S.A.; Zegzouti, H. Bioluminescent kinase strips: A novel approach to targeted and flexible kinase inhibitor profiling. Anal. Biochem. 2016, 495, 9. [Google Scholar] [CrossRef] [PubMed]
- Hassan, A.H.E.; Mahmoud, K.; Phan, T.-N.; Shaldam, M.A.; Lee, C.H.; Kim, Y.J.; Cho, S.B.; Bayoumi, W.A.; El-Sayed, S.M.; Choi, Y.; et al. Bestatin analogs-4-quinolinone hybrids as antileishmanial hits: Design, repurposing rational, synthesis, in vitro and in silico studies. Eur. J. Med. Chem. 2023, 250, 115211. [Google Scholar] [CrossRef] [PubMed]
- Hassan, A.H.E.; El-Sayed, S.M.; Yamamoto, M.; Gohda, J.; Matsumoto, T.; Shirouzu, M.; Inoue, J.-I.; Kawaguchi, Y.; Mansour, R.M.A.; Anvari, A.; et al. In Silico and In Vitro Evaluation of Some Amidine Derivatives as Hit Compounds towards Development of Inhibitors against Coronavirus Diseases. Viruses 2023, 15, 1171. [Google Scholar] [CrossRef] [PubMed]
- Gulia, K.; Hassan, A.H.E.; Lenhard, J.R.; Farahat, A.A. Escaping ESKAPE resistance: In vitro and in silico studies of multifunctional carbamimidoyl-tethered indoles against antibiotic-resistant bacteria. R. Soc. Open Sci. 2023, 10, 230020. [Google Scholar] [CrossRef]





![]() | ||||
|---|---|---|---|---|
| Compound | R1 | IC50 ± SD (µM) a | ||
| HCT116 | HepG2 | WI-38 | ||
| 2a | ![]() | 19.40 ± 0.86 | 32.89 ± 1.67 | NT b |
| 2b | ![]() | 10.91 ± 0.48 | 58.00 ± 2.94 | NT b |
| 3a | ![]() | 35.85 ± 1.59 | 26.25 ± 1.33 | NT b |
| 3b | ![]() | 10.75 ± 0.48 | 1.90 ± 0.10 | NT b |
| 4a | ![]() | 1.09 ± 0.05 | 0.58 ± 0.03 | 58.61 |
| 4b | ![]() | 3.38 ± 0.15 | 2.57 ± 0.13 | 48.49 |
| 4c | ![]() | 26.35 ± 1.17 | 87.27 ± 4.42 | NT b |
| 4d | ![]() | 27.04 ± 1.20 | 41.60 ± 2.11 | NT b |
| 4e | ![]() | 41.23 ± 1.83 | 16.08 ± 0.81 | NT b |
| Roscovitine | — | 12.24 ± 1.17 | 13.82 ± 1.15 | 17.31 |
![]() | ||
|---|---|---|
| Compound | R1 | CDK2 Inhibition IC50 ± SD (µM) a |
| 4a | ![]() | 0.21 ± 0.01 |
| 4b | ![]() | 0.96 ± 0.05 |
| Roscovitine | — | 0.25 ± 0.01 |
| Comp. | Binding Energy Score a | Type of Binding Interactions |
|---|---|---|
| 4a | −7.0394 |
|
| 4b | −7.0358 |
|
| Roscovitine | −7.8236 |
|
| Comp. | Lipinski’s Rule | Veber’s Rule | nVs g | Predicted Toxicity Parameters | ||||||
|---|---|---|---|---|---|---|---|---|---|---|
| cLogP a | M.Wt. b | nHBA c | nHBD d | nRB e | TPSA f | Mutagenic | Tumorigenic | Reproductive | ||
| 4a | 1.4553 | 377.378 | 7 | 1 | 4 | 79.59 | 0 | none | none | none |
| 4b | 1.9605 | 393.833 | 7 | 1 | 4 | 79.59 | 0 | none | none | none |
Disclaimer/Publisher’s Note: The statements, opinions and data contained in all publications are solely those of the individual author(s) and contributor(s) and not of MDPI and/or the editor(s). MDPI and/or the editor(s) disclaim responsibility for any injury to people or property resulting from any ideas, methods, instructions or products referred to in the content. |
© 2023 by the authors. Licensee MDPI, Basel, Switzerland. This article is an open access article distributed under the terms and conditions of the Creative Commons Attribution (CC BY) license (https://creativecommons.org/licenses/by/4.0/).
Share and Cite
Zaki, W.A.; El-Sayed, S.M.; Alswah, M.; El-Morsy, A.; Bayoumi, A.H.; Mayhoub, A.S.; Moustafa, W.H.; Awaji, A.A.; Roh, E.J.; Hassan, A.H.E.; et al. Design, Synthesis, In Vitro, and In Silico Studies of New N5-Substituted-pyrazolo[3,4-d]pyrimidinone Derivatives as Anticancer CDK2 Inhibitors. Pharmaceuticals 2023, 16, 1593. https://doi.org/10.3390/ph16111593
Zaki WA, El-Sayed SM, Alswah M, El-Morsy A, Bayoumi AH, Mayhoub AS, Moustafa WH, Awaji AA, Roh EJ, Hassan AHE, et al. Design, Synthesis, In Vitro, and In Silico Studies of New N5-Substituted-pyrazolo[3,4-d]pyrimidinone Derivatives as Anticancer CDK2 Inhibitors. Pharmaceuticals. 2023; 16(11):1593. https://doi.org/10.3390/ph16111593
Chicago/Turabian StyleZaki, Waheed A., Selwan M. El-Sayed, Mohamed Alswah, Ahmed El-Morsy, Ashraf H. Bayoumi, Abrahman S. Mayhoub, Walaa H. Moustafa, Aeshah A. Awaji, Eun Joo Roh, Ahmed H.E. Hassan, and et al. 2023. "Design, Synthesis, In Vitro, and In Silico Studies of New N5-Substituted-pyrazolo[3,4-d]pyrimidinone Derivatives as Anticancer CDK2 Inhibitors" Pharmaceuticals 16, no. 11: 1593. https://doi.org/10.3390/ph16111593
APA StyleZaki, W. A., El-Sayed, S. M., Alswah, M., El-Morsy, A., Bayoumi, A. H., Mayhoub, A. S., Moustafa, W. H., Awaji, A. A., Roh, E. J., Hassan, A. H. E., & Mahmoud, K. (2023). Design, Synthesis, In Vitro, and In Silico Studies of New N5-Substituted-pyrazolo[3,4-d]pyrimidinone Derivatives as Anticancer CDK2 Inhibitors. Pharmaceuticals, 16(11), 1593. https://doi.org/10.3390/ph16111593












