(L)-Monomethyl Tyrosine (Mmt): New Synthetic Strategy via Bulky ‘Forced-Traceless’ Regioselective Pd-Catalyzed C(sp2)–H Activation
Abstract
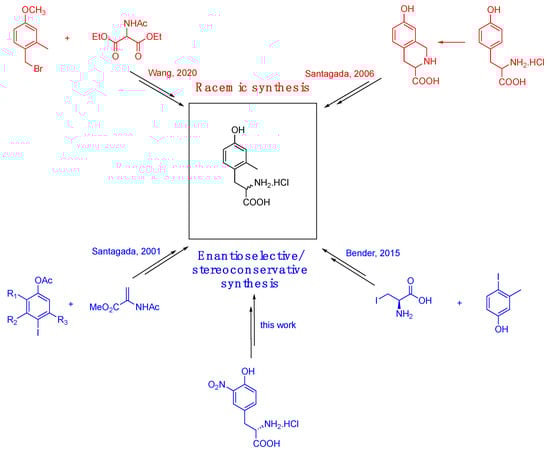
1. Introduction
2. Results and Discussion
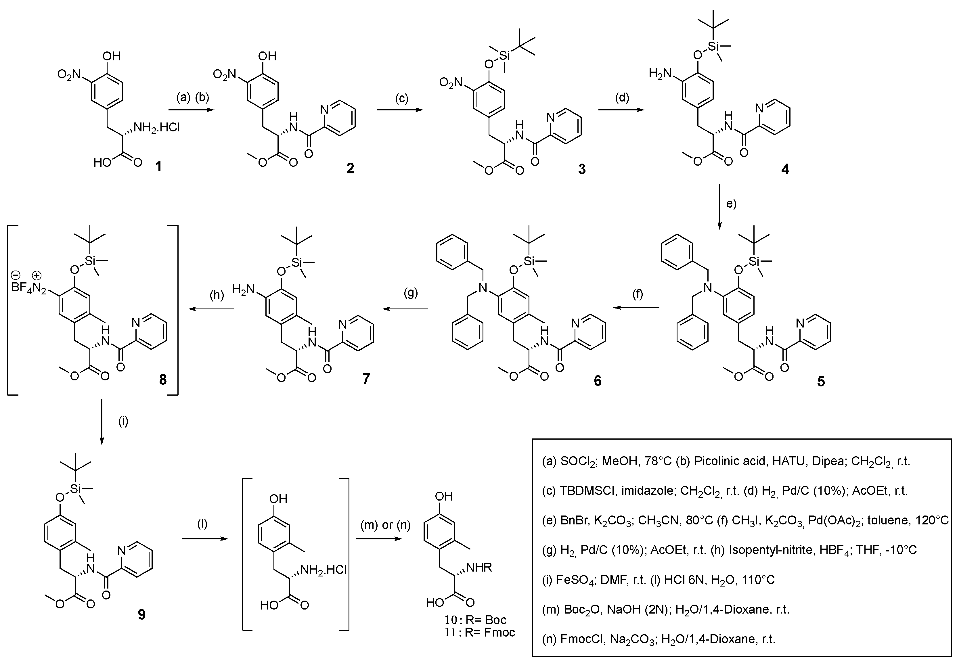
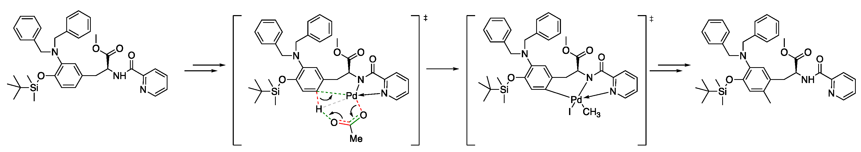
2.1. Chemistry
2.2. Pharmacology
3. Material and Methods
3.1. Chemistry
3.2. Pharmacology
3.3. Experimental Protocols
3.3.1. Synthesis of methyl (S)-3-(4-hydroxy-3-nitrophenyl)-2-(picolinamido)propanoate (2)
3.3.2. Synthesis of methyl (S)-3-(4-((tert-butyldimethylsilyl)oxy)-3-nitrophenyl)-2-(picolinamido)propanoate (3)
3.3.3. Synthesis of methyl (S)-3-(3-amino-4-((tert-butyldimethylsilyl)oxy)phenyl)-2-(picolinamido)propanoate (4)
3.3.4. Synthesis of methyl (S)-3-(4-((tert-butyldimethylsilyl)oxy)-3-(dibenzylamino)phenyl)-2-(picolinamido)propanoate (5)
3.3.5. Synthesis of methyl (S)-3-(4-((tert-butyldimethylsilyl)oxy)-5-(dibenzylamino)-2-methylphenyl)-2-(picolinamido)propanoate (6)
3.3.6. Synthesis of methyl (S)-3-(5-amino-4-((tert-butyldimethylsilyl)oxy)-2-methylphenyl)-2-(picolinamido)propanoate (7)
3.3.7. Synthesis of (S)-2-((tert-butyldimethylsilyl)oxy)-5-(3-methoxy-3-oxo-2-(picolinamido)propyl)-4-methylbenzenediazonium (8)
3.3.8. Synthesis of methyl (S)-3-(4-((tert-butyldimethylsilyl)oxy)-2-methylphenyl)-2-(picolinamido)propanoate (9)
3.3.9. Synthesis of (S)-2-((tert-butoxycarbonyl)amino)-3-(4-hydroxy-2-methylphenyl)propanoic acid (10)
3.3.10. Synthesis of (S)-2-((((9H-fluoren-9-yl)methoxy)carbonyl)amino)-3-(4-hydroxy-2-methylphenyl)propanoic acid (11)
4. Conclusions
Supplementary Materials
Author Contributions
Funding
Institutional Review Board Statement
Informed Consent Statement
Data Availability Statement
Acknowledgments
Conflicts of Interest
References
- Dygos, J.H.; Yonan, E.E.; Scaros, M.G.; Goodmonson, O.J.; Getman, D.P.; Periana, R.A.; Beck, G.R. A Convenient Asymmetric Synthesis of the Unnatural Amino Acid 2,6-Dimethyl-L-tyrosine. Synthesis 1992, 8, 741–743. [Google Scholar] [CrossRef]
- Balboni, G.; Marzola, E.; Sasaki, Y.; Ambo, A.; Marczak, E.D.; Lazarus, L.H.; Salvadori, S. Role of 2′,6′-dimethyl-l-tyrosine (Dmt) in some opioid lead compounds. Bioorg. Med. Chem. 2010, 18, 6024–6030. [Google Scholar] [CrossRef] [PubMed][Green Version]
- Bryant, S.D.; Jinsmaa, Y.; Okada, Y.; Lazarus, L.H.; Salvadori, S. Dmt and opioid peptides: A potent alliance. Biopolymers 2003, 71, 86–102. [Google Scholar] [CrossRef] [PubMed]
- Schiller, P.W.; Nguyen, T.M.-D.; Berezowska, I.; Dupuis, S.; Weltrowska, G.; Chung, N.N.; Lemieux, C. Synthesis and in vitro opioid activity profiles of DALDA analogues. Eur. J. Med. Chem. 2000, 35, 895–901. [Google Scholar] [CrossRef] [PubMed]
- Mallareddy, J.R.; Borics, A.; Keresztes, A.; Toth, G. Design, Synthesis, Pharmacological Evaluation, and Structure-Activity Study of Novel Endomorphin Analogues with Multiple Structural Modifications. J. Med. Chem. 2011, 54, 1462–1472. [Google Scholar] [CrossRef] [PubMed]
- Schiller, P.W.; Nguyen, T.M.-D.; Chung, N.N.; Lemieux, C. Dermorphin analogues carrying an increased positive net charge in their “message” domain display extremely high mu opioid receptor selectivity. J. Med. Chem. 1989, 3, 698–703. [Google Scholar] [CrossRef]
- Schiller, P.W.; Fundytus, M.E.; Merovitz, L.; Weltrowska, G.; Nguyen, T.M.-D.; Lemieux, C.; Chung, N.N.; Coderre, T.J. The opioid μ agonist/δ antagonist DIPP-NH2 [Ψ] produces a potent analgesic effect, no physical dependence, and less tolerance than morphine in rats. J. Med. Chem. 1999, 42, 3520–3526. [Google Scholar] [CrossRef]
- Molinari, S.; Camarda, V.; Rizzi, A.; Marzola, G.; Salvadori, S.; Marzola, E.; Molinari, P.; McDonald, J.; Ko, M.C.; Lambert, D.G.; et al. [Dmt1]N/OFQ(1–13)-NH2: A potent nociceptin/orphanin FQ and opioid receptor universal agonist. Br. J. Pharmacol. 2013, 168, 151–162. [Google Scholar] [CrossRef]
- Pacifico, S.; Albanese, V.; Illuminati, D.; Marzola, E.; Fabbri, M.; Ferrari, F.; Holanda, V.A.D.; Sturaro, C.; Malfacini, D.; Ruzza, C.; et al. Novel Mixed NOP/Opioid Receptor Peptide Agonists. J. Med. Chem. 2021, 64, 6656–6669. [Google Scholar] [CrossRef]
- Ambo, A.; Murase, H.; Niizuma, H.; Ouchi, H.; Yamamoto, Y.; Sasaki, A. Dermorphin and deltorphin heptapeptide analogues: Replacement of Phe residue by Dmp greatly improves opioid receptor affinity and selectivity. Bioorg. Med. Chem. Lett. 2002, 12, 879–881. [Google Scholar] [CrossRef]
- Sasaki, Y.; Sasaki, A.; Ariizumi, T.; Igari, Y.; Sato, K.; Kohara, H.; Nizuma, H.; Ambo, A. 2′,6′-Dimethylphenylalanine (Dmp) Can Mimic the N-Terminal Tyr in Opioid Peptides. Biol. Pharm. Bull. 2004, 27, 244–247. [Google Scholar] [CrossRef] [PubMed][Green Version]
- Sasaki, Y.; Sasaki, A.; Niizuma, H.; Goto, H.; Ambo, A. Endomorphin 2 Analogues Containing Dmp Residue as an Aromatic Amino Acid Surrogate with High μ-Opioid Receptor Affinity and Selectivity. Bioorg. Med. Chem. Lett. 2003, 11, 675–678. [Google Scholar] [CrossRef] [PubMed]
- Sasaki, Y.; Hirabuki, M.; Ambo, A.; Ouchi, H.; Yamamoto, Y. Enkephalin Analogues with 2’,6’-Dimethylphenylalanine Replacing Phenylalanine in Position 4. Bioorg. Med. Chem. Lett. 2001, 11, 327–329. [Google Scholar] [CrossRef] [PubMed]
- Toll, L.; Bruchas, M.R.; Calo, G.; Cox, B.M.; Zaveri, N.T. Nociceptin/Orphanin FQ Receptor Structure, Signaling, Ligands, Functions, and Interactions with Opioid Systems. Pharmacol. Rev. 2016, 68, 419–457. [Google Scholar] [CrossRef]
- Lin, A.P.; Ko, M.C. The Therapeutic Potential of Nociceptin/Orphanin FQ Receptor Agonists as Analgesics without Abuse Liability. ACS Chem. Neurosci. 2013, 4, 214–224. [Google Scholar] [CrossRef]
- Günther, T.; Dasgupta, P.; Mann, A.; Miess, E.; Kliewer, A.; Fritzwanker, S.; Steinborn, R.; Schulz, S. Targeting multiple opioid receptors—Improved analgesics with reduced side effects? Br. J.Pharmacol. 2018, 175, 2857–2868. [Google Scholar] [CrossRef] [PubMed]
- Pacifico, S.; Albanese, V.; Illuminati, D.; Fantinati, A.; Marzola, E.; Ferrari, F.; Neto, J.A.; Sturaro, C.; Ruzza, C.; Calò, G.; et al. Tetrabranched Hetero-Conjugated Peptides as Bifunctional Agonists of the NOP and Mu Opioid Receptors. Bioconj. Chem. 2019, 30, 2444–2451. [Google Scholar] [CrossRef]
- Sasaki, Y.; Ambo, A. 2’,6’-dimethylphenylalanine: A useful aromatic amino acid surrogate for Tyr or Phe residue in opioid peptides. Int. J. Med. Chem. 2012, 2012, 498901. [Google Scholar] [CrossRef]
- Soloshonok, V.A.; Tang, X.; Hruby, V.J. Large-scale asymmetric synthesis of novel sterically constrained 2′,6′-dimethyl- and α,2′,6′-trimethyltyrosine and -phenylalanine derivatives via alkylation of chiral equivalents of nucleophilic glycine and alanine. Tetrahedron 2001, 57, 6375–6382. [Google Scholar] [CrossRef]
- Balducci, D.; Contaldi, S.; Lazzari, I.; Porzi, G. A highly efficient stereocontrolled synthesis of (S)-2′,6′-dimethyltyrosine [(S)-DMT]. Tetrahedron Asymmetry 2009, 20, 1398–1401. [Google Scholar] [CrossRef]
- Mollica, A.; Costante, R.; Mirzaie, S.; Carradori, S.; Macedonio, G.; Stefanucci, A.; Novellino, E. Preparation of Constrained Unnatural Aromatic Amino Acids via Unsaturated Diketopiperazine Intermediat. J. Heterocycl. Chem. 2016, 53, 2106–2110. [Google Scholar] [CrossRef]
- Abrash, H.I.; Niemann, C. Steric Hindrance in α-Chymotrypsin-catalyzed Reactions. Biochemistry 1963, 2, 947–953. [Google Scholar] [CrossRef]
- Praquin, C.F.B.; de Koning, P.D.; Peach, P.J.; Howard, R.M.; Spencer, S.L. Development of an Asymmetric Hydrogenation Route to (S)-N-Boc-2,6-dimethyltyrosine. Org. Process Res. Dev. 2011, 15, 1124–1129. [Google Scholar] [CrossRef]
- Bender, A.M.; Griggs, N.W.; Gao, C.; Trask, T.J.; Traynor, J.R.; Mosberg, H.I. Rapid Synthesis of Boc-2′,6′-dimethyl-l-tyrosine and Derivatives and Incorporation into Opioid Peptidomimetics. ACS Med. Chem. Lett. 2015, 6, 1199–1203. [Google Scholar] [CrossRef] [PubMed]
- Wang, X.; Niu, S.; Xu, L.; Zhang, C.; Meng, L.; Zhang, X.; Ma, D. Pd-Catalyzed Dimethylation of Tyrosine-Derived Picolinamide for Synthesis of (S)-N-Boc-2,6-dimethyltyrosine and Its Analogues. Org. Lett. 2017, 19, 246–249. [Google Scholar] [CrossRef] [PubMed]
- Wang, Z.; Matthews, H. Translational incorporation of modified phenylalanines and tyrosines during cell-free protein synthesis. RSC Adv. 2020, 10, 11013–11023. [Google Scholar] [CrossRef] [PubMed]
- Santagada, V.; Caliendo, G.; Severino, B.; Lavecchia, A.; Perissiuti, E.; Fiorino, F.; Zampella, A.; Sepe, V.; Califano, D.; Santelli, G.; et al. Synthesis, Pharmacological Evaluation, and Molecular Modeling Studies of Novel Peptidic CAAX Analogues as Farnesyl-Protein-Transferase Inhibitors. J. Med. Chem. 2006, 49, 1882–1890. [Google Scholar] [CrossRef]
- Santagada, V.; Caliendo, G.; Severino, B.; Perissiuti, E.; Ceccarelli, F.; Giusti, L.; Mazzoni, M.R.; Salvadori, S.; Temussi, P.A. Probing the Shape of a Hydrophobic Pocket in the Active Site of δ-Opioid Antagonists. J. Pept. Sci. 2001, 7, 374–385. [Google Scholar] [CrossRef] [PubMed]
- McDonald, I.A.; Nice, P.L.; Jung, M.J.; Sabol, J.S. Syntheses of DL-2-fluoromethy-p-tyrosine and DL-2-difluoromethyl-p-tyrosine as potential inhibitors of tyrosine hydroxylase. Tetrahedron Lett. 1991, 32, 887–890. [Google Scholar] [CrossRef]
- Li, T.; Fujita, Y.; Tsuda, Y.; Miyazaki, A.; Ambo, A.; Sasaki, Y.; Jinsmaa, Y.; Bryant, S.D.; Lazarus, L.H.; Okada, Y. Unique High-Affinity Synthetic μ-Opioid Receptor Agonists with Central- and Systemic-Mediated Analgesia. J. Med. Chem. 2005, 48, 586–592. [Google Scholar] [CrossRef]
- Majer, P.; Slaninova, J.; Lebl, M. Synthesis of methylated phenylalanines via hydrogenolysis of corresponding 1,2,3,4-tetrahydroisoquinoline-3-carboxylic acids. Int. J. Pept. Protein Res. 1994, 43, 62–68. [Google Scholar] [CrossRef] [PubMed]
- Illuminati, D.; Fantinati, A.; De Ventura, T.; Perrone, D.; Sturaro, C.; Albanese, V.; Marzola, E.; Cristofori, V.; Oble, J.; Poli, G.; et al. Synthesis of 2,6-Dimethyltyrosine-Like Amino Acids through Pinacolinamide-Enabled C–H Dimethylation of 4-Dibenzylamino Phenylalanine. J. Org. Chem. 2022, 87, 2580–2589. [Google Scholar] [CrossRef] [PubMed]
- Coward, P.; Chan, S.D.H.; Wada, H.G.; Humphries, G.M.; Conklin, B.R. Chimeric G proteins allow a high-throughput signaling assay of Gi-coupled receptors. Anal. Biochem. 1999, 270, 242–248. [Google Scholar] [CrossRef] [PubMed]
- Camarda, V.; Fischietti, C.; Anzellotti, N.; Molinari, P.; Ambrosio, C.; Kostenis, E.; Regoli, D.; Trapella, C.; Guerrini, R.; Salvadori, S.; et al. Pharmacological profile of NOP receptors coupled with calcium signaling via the chimeric protein G alpha qi5. Naunyn Schmiedebergs Arch. Pharmacol. 2009, 379, 599–607. [Google Scholar] [CrossRef]
- Fischetti, C.; Camarda, V.; Rizzi, A.; Pelà, M.; Trapella, C.; Guerrini, R.; McDonald, J.; Lambert, D.G.; Salvadori, S.; Regoli, D.; et al. Pharmacological characterization of the nociceptin/orphanin FQ receptor non peptide antagonist Compound 24. Eur. J. Pharmacol. 2009, 614, 50–57. [Google Scholar] [CrossRef]
- Bojnik, E.; Babos, F.; Fischetti, C.; Magyar, A.; Camarda, V.; Borsodi, A.; Bajusz, S.; Calò, G.; Benyhe, S. Comparative biochemical and pharmacological characterization of a novel, NOP receptor selective hexapeptide, Ac-RYYRIR-ol. Brain Res. Bull. 2010, 81, 477–483. [Google Scholar] [CrossRef]
- Rizzi, A.; Malfacini, D.; Cerlesi, M.C.; Ruzza, C.; Marzola, E.; Bird, M.F.; Rowbotham, D.J.; Salvadori, S.; Guerrini, R.; Lambert, D.G.; et al. In vitro and in vivo pharmacological characterization of nociceptin/orphanin FQ tetrabranched derivatives. Br. J. Pharmacol. 2014, 171, 4138–4153. [Google Scholar] [CrossRef]
- Guerrini, R.; Marzola, E.; Trapella, C.; Pacifico, S.; Cerlesi, M.C.; Malfacini, D.; Ferrari, F.; Bird, M.F.; Lambert, D.G.; Salvadori, S.; et al. Structure activity studies of nociceptin/orphanin FQ(1–13)-NH2 derivatives modified in position 5. Bioorg. Med. Chem. 2015, 23, 1515–1520. [Google Scholar] [CrossRef]
- Ferrari, F.; Cerlesi, M.C.; Malfacini, D.; Asth, L.; Gavioli, E.C.; Journigan, B.V.; Kamakolanu, U.G.; Meyer, M.E.; Yasuda, D.; Polgar, W.E.; et al. In vitro functional characterization of novel nociceptin/orphanin FQ receptor agonists in recombinant and native preparations. Eur. J. Pharmacol. 2016, 793, 1–13. [Google Scholar] [CrossRef]
- Cerlesi, M.C.; Ding, H.; Bird, M.F.; Kiguchi, N.; Ferrari, F.; Malfacini, D.; Rizzi, A.; Ruzza, C.; Lambert, D.G.; Ko, M.C.; et al. Pharmacological studies on the NOP and opioid receptor agonist PWT2-[Dmt1]N/OFQ(1-13). Eur. J. Pharmacol. 2017, 794, 115–126. [Google Scholar] [CrossRef][Green Version]
- Rizzi, A.; Cerlesi, M.C.; Ruzza, C.; Malfacini, D.; Ferrari, F.; Bianco, S.; Costa, T.; Guerrini, R.; Trapella, C.; Calò, G. Pharmacological characterization of cebranopadol a novel analgesic acting as mixed nociceptin/orphanin FQ and opioid receptor agonist. Pharmacol. Res. Perspect. 2016, 4, e00247. [Google Scholar] [CrossRef] [PubMed]
- Pacifico, S.; Carotenuto, A.; Brancaccio, D.; Novellino, E.; Marzola, E.; Ferrari, F.; Cerlesi, M.C.; Trapella, C.; Preti, D.; Salvadori, S.; et al. Structure- and conformation-activity studies of nociceptin/orphanin FQ receptor dimeric ligands. Sci. Rep. 2017, 7, 45817. [Google Scholar] [CrossRef] [PubMed]
- Ferrari, F.; Malfacini, D.; Journigan, B.V.; Bird, M.F.; Trapella, C.; Guerrini, R.; Lambert, D.G.; Calo, G.; Zaveri, N.T. In vitro pharmacological characterization of a novel unbiased NOP receptor-selective nonpeptide agonist AT-403. Pharmacol. Res. Perspect. 2017, 5, e00333. [Google Scholar] [CrossRef] [PubMed]
- Wang, Y.; Zhuang, Y.; DiBerto, J.F.; Zhou, X.E.; Schmitz, G.P.; Yuan, Q.; Jain, M.K.; Liu, W.; Melcher, K.; Jiang, Y.; et al. Structures of the entire human opioid receptor family. Cells 2023, 186, 413–427. [Google Scholar] [CrossRef]




| Calcium Mobilization in CHONOP + Gαqi5 Cells | ||
|---|---|---|
| pEC50 (CL95%) | Emax + S.E.M. | |
| N/OFQ | 9.56 (9.02–10.09) | 335 ± 33 |
| N/OFQ(1-13)-NH2 | 9.82 (9.45–10.18) | 358 ± 22 |
| [Mmt1]N/OFQ(1-13)-NH2 | 9.47 (8.92–10.01) | 302 ± 39 |
| [Dmt1]N/OFQ(1-13)-NH2 | 8.35 (7.94–8.77) | 337 ± 26 |
Disclaimer/Publisher’s Note: The statements, opinions and data contained in all publications are solely those of the individual author(s) and contributor(s) and not of MDPI and/or the editor(s). MDPI and/or the editor(s) disclaim responsibility for any injury to people or property resulting from any ideas, methods, instructions or products referred to in the content. |
© 2023 by the authors. Licensee MDPI, Basel, Switzerland. This article is an open access article distributed under the terms and conditions of the Creative Commons Attribution (CC BY) license (https://creativecommons.org/licenses/by/4.0/).
Share and Cite
Illuminati, D.; Trapella, C.; Zanirato, V.; Guerrini, R.; Albanese, V.; Sturaro, C.; Stragapede, S.; Malfacini, D.; Compagnin, G.; Catani, M.; et al. (L)-Monomethyl Tyrosine (Mmt): New Synthetic Strategy via Bulky ‘Forced-Traceless’ Regioselective Pd-Catalyzed C(sp2)–H Activation. Pharmaceuticals 2023, 16, 1592. https://doi.org/10.3390/ph16111592
Illuminati D, Trapella C, Zanirato V, Guerrini R, Albanese V, Sturaro C, Stragapede S, Malfacini D, Compagnin G, Catani M, et al. (L)-Monomethyl Tyrosine (Mmt): New Synthetic Strategy via Bulky ‘Forced-Traceless’ Regioselective Pd-Catalyzed C(sp2)–H Activation. Pharmaceuticals. 2023; 16(11):1592. https://doi.org/10.3390/ph16111592
Chicago/Turabian StyleIlluminati, Davide, Claudio Trapella, Vinicio Zanirato, Remo Guerrini, Valentina Albanese, Chiara Sturaro, Simona Stragapede, Davide Malfacini, Greta Compagnin, Martina Catani, and et al. 2023. "(L)-Monomethyl Tyrosine (Mmt): New Synthetic Strategy via Bulky ‘Forced-Traceless’ Regioselective Pd-Catalyzed C(sp2)–H Activation" Pharmaceuticals 16, no. 11: 1592. https://doi.org/10.3390/ph16111592
APA StyleIlluminati, D., Trapella, C., Zanirato, V., Guerrini, R., Albanese, V., Sturaro, C., Stragapede, S., Malfacini, D., Compagnin, G., Catani, M., & Fantinati, A. (2023). (L)-Monomethyl Tyrosine (Mmt): New Synthetic Strategy via Bulky ‘Forced-Traceless’ Regioselective Pd-Catalyzed C(sp2)–H Activation. Pharmaceuticals, 16(11), 1592. https://doi.org/10.3390/ph16111592

