Masked Phenolic-Selenium Conjugates: Potent and Selective Antiproliferative Agents Overcoming P-gp Resistance
Abstract
1. Introduction
2. Results
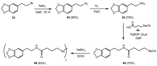
2.1. Chemistry
2.2. Biological Assays
2.2.1. Antioxidant Properties
Free Radical Activity (DPPH Method)
H2O2 Scavenging Properties
2.2.2. Antiproliferative Activity
2.2.3. P-glycoprotein Assay
3. Discussion
4. Experimental Section
4.1. Materials and Methods
4.1.1. General Procedures
4.1.2. Antioxidant Assays
DPPH Assay
H2O2 Scavenging Assay
4.1.3. Antiproliferative Activity
4.1.4. Statistical Analysis
4.2. Chemistry
4.2.1. [4”-(2”‘-Hydroxyethyl)-1”,2”-phenylene]-4,4’-dithiobisbutyrate (4)
4.2.2. General Method for the Preparation of Disulfides 8‒10 and Diselenides 15,16
2,2′-Dithiobis{N-[2′’-(3′’’,4′’’-dihydroxyphenyl)ethyl]acetamide} (8)
3,3′-Dithiobis{N-[2′’-(3′’’,4′’’-dihydroxyphenyl)ethyl]propanamide} (9)
4,4′-Dithiobis{N-[2′’-(3′’’,4′’’-dihydroxyphenyl)ethyl)]butanamide} (10)
3,3′-Diselenobis{N-[2′’-(3′’’,4′’’-dihydroxyphenyl)ethyl]propanamide} (15)
4,4′-Diselenobis{N-[2′’-(3′’’,4′’’-dihydroxyphenyl)ethyl]butanamide} (16)
4.2.3. N-[2′-(3′’,4′’-Dihydroxyphenyl)ethyl]-3-phenylselenopropanamide (18)
4.2.4. 3-Selenocyanatopropanoic acid (19)
4.2.5. N-[2′-(3′’,4′’-Dihydroxyphenyl)ethyl]-3-selenocyanatopropanamide (20)
4.2.6. N-[2′-(3′’,4′’-Dihydroxyphenyl)ethyl]-1,2-benzisoselenazole-3(2H)-one (26)
4.2.7. General Procedure for the Synthesis of Selenocyanates 35‒37
(3′,4′-Methylenedioxyphenyl)methyl selenocyanate (35)
2-(3′,4′-Methylendioxyphenyl)ethyl selenocyanate (36)
3-(3’,4’-Methylenedioxyphenyl)propyl selenocyanate (37)
4.2.8. 1-Benzylseleno-2-(3’, 4’-methylenedioxyphenyl)ethane (38)
4.2.9. General Procedure for the Preparation of Diselenides 39‒41
Bis[(3’, 4’-methylenedioxyphenyl)methyl]diselenide (39)
Bis[2-(3′,4′-methylenedioxyphenyl)ethyl]diselenide (40)
Bis[3-(3’, 4’-methylenedioxyphenyl)propyl]diselenide (41)
4.2.10. 1-Azido-2-(3′,4′-methylenedioxyphenyl)ethane (42)
4.2.11. N-[2′-(3′,4′-Methylenedioxyphenyl)ethyl]-4-selenocyanatobutanamide (45)
4.2.12. 4,4’-Diselenobis{N-[2′’-(3′’’,4′’’-Methylenedioxyphenyl)ethyl]butanamide} (46)
5. Conclusions
Supplementary Materials
Author Contributions
Funding
Acknowledgments
Conflicts of Interest
References
- Mukherjee, A.J.; Zade, S.S.; Singh, H.B.; Sunoj, R.B. Organoselenium chemistry: Role of intramolecular interactions. Chem. Rev. 2010, 110, 4357–4416. [Google Scholar] [CrossRef] [PubMed]
- López, Ó.; Merino-Montiel, P.; Fernández-Bolaños, J.G. Synthesis of organoselenium derivatives of biological relevance. In Selenium: Chemistry, Analysis, Function and Effect; Preedy, V.R., Ed.; RSC: Cambridge, UK, 2015; pp. 40–64. [Google Scholar]
- Kumar, S.; Sharma, N.; Maurya, I.K.; Bhasin, A.K.K.; Wangoo, N.; Brandão, P.; Felix, V.; Bhasin, K.K.; Sharma, R.K. Facile synthesis, structural evaluation, antimicrobial activity and synergistic effects of novel imidazo[1, 2- a] pyridine based organoselenium compounds. Eur. J. Med. Chem. 2016, 123, 916–924. [Google Scholar] [CrossRef] [PubMed]
- Birmann, P.T.; Sousa, F.S.S.; de Oliveira, D.H.; Domingues, M.; Vieira, B.M.; Lenardão, E.J.; Savegnago, L. 3-(4-Chlorophenylselanyl)-1-methyl-1H-indole, a new selenium compound elicits an antinociceptive and anti-inflammatory effect in mice. Eur. J. Pharm. 2018, 827, 71–79. [Google Scholar] [CrossRef] [PubMed]
- Nishiguchi, T.; Yoshikawa, Y.; Yasui, H. Investigating the target organs of novel anti-diabetic zinc complexes with organo-selenium ligands. J. Inorg. Biochem. 2018, 185, 103–112. [Google Scholar] [CrossRef]
- Roldán-Peña, J.M.; Alejandre-Ramos, D.; López, Ó.; Maya, I.; Lagunes, I.; Padrón, J.M.; Peña-Altamira, L.E.; Bartolini, M.; Monti, B.; Bolognesi, M.L.; et al. New tacrine dimers with antioxidant linkers as dual drugs: Anti-Alzheimer’s and antiproliferative agents. Eur. J. Med. Chem. 2017, 138, 761–773. [Google Scholar] [CrossRef]
- Frieben, E.E.; Amin, S.; Sharma, A.K. Development of isoselenocyanate compounds’ syntheses and biological applications. J. Med. Chem. 2019, 62, 5261–5275. [Google Scholar] [CrossRef]
- Barbosa, F.A.R.; Siminski, T.; Canto, R.F.S.; Almeida, G.M.; Mota, N.S.R.S.; Ourique, F.; Pedrosa, R.C.; Braga, A.L. Novel pyrimidinic selenourea induces DNA damage, cell cycle arrest, and apoptosis in human breast carcinoma. Eur. J. Med. Chem. 2018, 155, 503–515. [Google Scholar] [CrossRef]
- Ruberte, A.C.; Plano, D.; Encío, I.; Aydillo, C.; Sharma, A.K.; Sanmartín, C. Novel selenadiazole derivatives as selective antitumor and radical scavenging agents. Eur. J. Med. Chem. 2018, 157, 14–27. [Google Scholar] [CrossRef]
- Patra, A.R.; Roy, S.S.; Basu, A.; Bhuniya, A.; Bhattacharjee, A.; Hajra, S.; Sk, U.H.; Baral, R.; Bhattacharya, S. Design and synthesis of coumarin-based organoselenium as a new hit for myeloprotection and synergistic therapeutic efficacy in adjuvant therapy. Sci. Rep. 2018, 8, 2194. [Google Scholar] [CrossRef]
- Hill, J.E.; Linder, M.K.; Davies, K.S.; Sawada, G.A.; Morgan, J.; Ohulchanskyy, T.Y.; Detty, M.R. Selenorhodamine photosensitizers for photodynamic therapy of P-glycoprotein-expressing cancer cells. J. Med. Chem. 2014, 57, 8622–8634. [Google Scholar] [CrossRef]
- Gandin, V.; Khalkar, P.; Braude, J.; Fernandes, A.P. Organic selenium compounds as potential chemotherapeutic agents for improved cancer treatment. Free Radic. Biol. Med. 2018, 127, 80–97. [Google Scholar] [CrossRef] [PubMed]
- Begines, P.; Oliete, A.; López, Ó.; Maya, I.; Plata, G.B.; Padrón, J.M.; Fernández-Bolaños, J.G. Chalcogen-containing phenolics as antiproliferative agents. Future Med. Chem. 2018, 10, 319–334. [Google Scholar] [CrossRef] [PubMed]
- Calcatierra, V.; López, Ó.; Fernández-Bolaños, J.G.; Plata, G.B.; Padrón, J.M. Phenolic thio- and selenosemicarbazones as multi-target drugs. Eur. J. Med. Chem. 2015, 94, 63–72. [Google Scholar] [CrossRef] [PubMed]
- Olsen, J.I.; Plata, G.B.; Padrón, J.M.; López, Ó.; Bols, M.; Fernández-Bolaños, J.G. Selenoureido-iminosugars: A new family of multitarget drugs. Eur. J. Med. Chem. 2016, 123, 155–160. [Google Scholar] [CrossRef]
- Romero-Hernández, L.L.; Merino-Montiel, P.; Montiel-Smith, S.; Meza-Reyes, S.; Vega-Báez, J.L.; Abasolo, I.; Schwartz, S., Jr.; López, Ó.; Fernández-Bolaños, J.G. Diosgenin-based thio(seleno)ureas and triazolyl glycoconjugates as hybrid drugs. Antioxidant and antiproliferative profile. Eur. J. Med. Chem. 2015, 99, 67–81. [Google Scholar]
- Fuentes-Aguilar, A.; Romero-Hernández, L.L.; Arenas-González, A.; Merino-Montiel, P.; Montiel-Smith, S.; Meza-Reyes, S.; Vega-Báez, J.L.; Plata, G.B.; Padrón, J.M.; López, Ó.; et al. New selenosteroids as antiproliferative agents. Org. Biomol. Chem. 2017, 15, 5041–5054. [Google Scholar] [CrossRef] [PubMed]
- Plano, D.; Karelia, D.N.; Pandey, M.K.; Spallholz, J.E.; Amin, S.; Sharma, A.K. Design, synthesis, and biological evaluation of novel selenium (SeNSAID) molecules as anticancer agents. J. Med. Chem. 2016, 59, 1946–1959. [Google Scholar] [CrossRef] [PubMed]
- Lagunes, I.; Begines, P.; Silva, A.; Galán, A.R.; Puerta, A.; Fernandes, M.X.; Maya, I.; Fernández-Bolaños, J.G.; López, Ó.; Padrón, J.M. Selenocoumarins as new multitarget antiproliferative agents: Synthesis, biological evaluation and in silico calculations. Eur. J. Med. Chem. 2019, 179, 493–501. [Google Scholar] [CrossRef]
- An, B.; Wang, B.; Hu, J.; Xu, S.; Huang, L.; Li, X.; Chan, A.S.C. Synthesis and biological evaluation of selenium-containing 4-anilinoquinazoline derivatives as novel antimitotic agents. J. Med. Chem. 2018, 61, 2571–2588. [Google Scholar] [CrossRef]
- Alcolea, V.; Plano, D.; Encío, I.; Palop, J.A.; Sharma, A.K.; Sanmartín, C. Chalcogen containing heterocyclic scaffolds: New hybrids with antitumoral activity. Eur. J. Med. Chem. 2016, 123, 407–418. [Google Scholar] [CrossRef]
- de Souza, D.; Mariano, D.O.C.; Nedel, F.; Schultze, E.; Campos, V.F.; Seixas, F.; da Silva, R.S.; Munchen, T.S.; Ilha, V.; Dornelles, L.; et al. New organochalcogen multitarget drug: Synthesis and antioxidant and antitumoral activities of chalcogenozidovudine derivatives. J. Med. Chem. 2015, 58, 3329–3339. [Google Scholar] [CrossRef] [PubMed]
- da Cruz, E.H.G.; Silvers, M.A.; Jardim, G.A.M.; Resende, J.M.; Cavalcanti, B.C.; Bomfim, I.S.; Pessoa, C.; de Simone, C.A.; Botteselle, G.V.; Braga, A.L.; et al. Synthesis and antitumor activity of selenium-containing quinone-based triazoles possessing two redox centres, and their mechanistic insights. Eur. J. Med. Chem. 2016, 122, 1–16. [Google Scholar] [CrossRef] [PubMed]
- Gutiérrez-Hernández, A.I.; López-Cortés, J.G.; Ortega-Alfaro, M.C.; Ramírez-Apan, M.T.; Cázares-Marinero, J.d.J.; Toscano, R.A. Ferrocenylselenoamides: Synthesis, characterization and cytotoxic properties. J. Med. Chem. 2012, 55, 4652–4663. [Google Scholar]
- Mangiavacchi, F.; Coelho Dias, I.F.; Di Lorenzo, I.; Grzes, P.; Palomba, M.; Rosati, O.; Bagnoli, L.; Marini, F.; Santi, C.; Lenardao, E.J.; et al. Sweet selenium: Synthesis and properties of selenium-containing sugars and derivatives. Pharmaceuticals 2020, 13, 211. [Google Scholar] [CrossRef]
- Maiyo, F.; Singh, M. Folate-targeted mRNA delivery using chitosan-functionalized selenium nanoparticles: Potential in cancer immunotherapy. Pharmaceuticals 2019, 12, 164. [Google Scholar] [CrossRef]
- Angeli, A.; Tanini, D.; Nocentini, A.; Capperucci, A.; Ferraroni, M.; Gratteri, P.; Supuran, C.T. Selenols: A new class of carbonic anhydrase inhibitors. Chem. Commun. 2019, 55, 648–651. [Google Scholar] [CrossRef]
- Tang, C.; Du, Y.; Liang, Q.; Cheng, Z.; Tian, J. A selenium-containing selective histone deacetylase 6 inhibitor for targeted in vivo breast tumor imaging and therapy. J. Mater. Chem. B 2019, 7, 3528–3536. [Google Scholar] [CrossRef]
- Zadehvakili, B.; McNeill, S.M.; Fawcett, J.P.; Giles, G.I. The design of redox active thiol peroxidase mimics: Dihydrolipoic acid recognition correlates with cytotoxicity and prooxidant action. Biochem. Pharm. 2016, 104, 19–28. [Google Scholar] [CrossRef]
- Chikara, S.; Nagaprashantha, L.D.; Singhal, J.; Horne, D.; Awasthi, S.; Singhal, S.S. Oxidative stress and dietary phytochemicals: Role in cancer chemoprevention and treatment. Cancer Lett. 2018, 413, 122–134. [Google Scholar] [CrossRef]
- Miao, Q.; Xu, J.; Lin, A.; Wu, X.; Wu, L.; Xie, W. Recent advances for the synthesis of selenium-containing small molecules as potent antitumor agents. Curr. Med. Chem. 2018, 25, 2009–2033. [Google Scholar] [CrossRef]
- Kaczor-Keller, K.B.; Pawlik, A. Scianowski, J.; Pacuła, A.; Obieziurska, M.; Marcheggiani, F.; Cirilli, I.; Tiano, L.; Antosiewicz, J. In vitro anti-prostate cancer activity of two ebselen analogues. Pharmaceuticals 2020, 13, 47. [Google Scholar] [CrossRef] [PubMed]
- Fernández-Bolaños, J.G.; López, Ó.; Fernández-Bolaños, J.; Rodríguez-Gutiérrez, G. Hydroxytyrosol and derivatives: Isolation, synthesis, and biological properties. Curr. Org. Chem. 2008, 12, 442–463. [Google Scholar] [CrossRef]
- Castejón, M.L.; Rosillo, M.A.; Montoya, T.; González-Benjumea, A.; Fernández-Bolaños, J.G.; Alarcón-de-la-Lastra, C. Oleuropein down-regulated IL-1β-induced inflammation and oxidative stress in human synovial fibroblast cell line SW982. Food Funct. 2017, 8, 1890–1898. [Google Scholar] [CrossRef] [PubMed]
- Simoni, E.; Serafini, M.M.; Caporaso, R.; Marchetti, C.; Racchi, M.; Minarini, A.; Bartolini, M.; Lanni, C.; Rosini, M. Targeting the Nrf2/amyloid-beta liaison in Alzheimer’s disease: A rational approach. ACS Chem. Neurosci. 2017, 8, 1618–1627. [Google Scholar] [CrossRef] [PubMed]
- Bernini, R.; Carastro, I.; Palmini, G.; Tanini, A.; Zonefrati, R.; Pinelli, P.; Brandi, M.L.; Romani, A. Lipophilization of hydroxytyrosol-enriched fractions from Olea europaea L. byproducts and evaluation of the in vitro effects on a model of colorectal cancer cells. J. Agric. Food Chem. 2017, 65, 6506–6512. [Google Scholar] [CrossRef]
- López de las Hazas, M.-C.; Piñol, C.; Macià, A.; Motilva, M.-J. Hydroxytyrosol and the colonic metabolites derived from virgin olive oil intake induce cell cycle arrest and apoptosis in colon cancer cells. J. Agric. Food Chem. 2017, 65, 6467–6476. [Google Scholar] [CrossRef]
- Bernini, R.; Montani, M.S.G.; Merendino, N.; Romani, A.; Velotti, F. Hydroxytyrosol-derived compounds: A basis for the creation of new pharmacological agents for cancer prevention and therapy. J. Med. Chem. 2015, 58, 9089–9107. [Google Scholar] [CrossRef]
- Wang, Y.; Dansette, P.M.; Pigeon, P.; Top, S.; McGlinchey, M.J.; Mansuy, D.; Jaouen, G. A new generation of ferrociphenols leads to a great diversity of reactive metabolites, and exhibits remarkable antiproliferative properties. Chem. Sci. 2018, 9, 70–78. [Google Scholar] [CrossRef]
- Wellington, K.W. Understanding cancer and the anticancer activities of naphthoquinones-a review. RSC Adv. 2015, 5, 20309–20338. [Google Scholar] [CrossRef]
- Bruno, R.D.; Njar, V.C.O. Targeting cytochrome P450 enzymes: A new approach in anti-cancer drug development. Bioorg. Med. Chem. 2007, 15, 5047–5060. [Google Scholar] [CrossRef]
- Geerlings, A.; López-Huertas León, E.; Morales Sánchez, J.-C.; Boza Puerta, J.; Jiménez López, J. Natural phenolic products and derivatives thereof for protection against neurodegenerative diseases. Patent WO 2003, EP1494658A1. [Google Scholar]
- Torregiani, E.; Seu, G.; Minassi, A.; Appendino, G. Cerium(III) chloride-promoted chemoselective esterification of phenolic alcohols. Tetrahedron Lett. 2005, 46, 2193–2196. [Google Scholar] [CrossRef]
- Buisman, G.J.H.; van Helteren, C.T.W.; Kramer, G.F.H.; Veldsink, J.W.; Derksen, J.T.P.; Cuperus, F.P. Enzymatic esterifications of functionalized phenols for the synthesis of lipophilic antioxidants. Biotechnol. Lett. 1998, 20, 131–136. [Google Scholar] [CrossRef]
- Sánchez-Barrionuevo, L.; González-Benjumea, A.; Escobar-Niño, A.; García, M.T.; López, Ó.; Maya, I.; Fernández-Bolaños, J.G.; Cánovas, D.; Mellado, E. A straightforward access to new families of lipophilic polyphenols by using lipolytic bacteria. PLoS ONE 2016, 11, e0166561. [Google Scholar] [CrossRef] [PubMed]
- Bhabak, K.P.; Mugesh, G. Functional mimics of glutathione peroxidase: Bioinspired synthetic antioxidants. Acc. Chem. Res. 2010, 43, 1408–1419. [Google Scholar] [CrossRef]
- Li, Y.; Zhang, J.; Chen, L.; Xing, S.; Li, J.; Zhang, Y.; Li, C.; Pei, Z.; Zeng, J. Ebselen reduces autophagic activation and cell death in the ipsilateral thalamus following focal cerebral infarction. Neurosci. Lett. 2015, 600, 206–212. [Google Scholar] [CrossRef]
- Barkus, C.; Ferland, J.-M.N.; Adams, W.K.; Churchill, G.C.; Cowen, P.J.; Bannerman, D.M.; Rogers, R.D.; Winstanley, C.A.; Sharp, T. The putative lithium-mimetic ebselen reduces impulsivity in rodent models. J. Physchopharmacol. 2018, 32, 1018–1026. [Google Scholar] [CrossRef]
- Bhabak, K.P.; Mugesh, G. Synthesis, characterization, and antioxidant activity of some ebselen analogues. Chem. Eur. J. 2007, 13, 4594–4601. [Google Scholar] [CrossRef]
- Murray, M. Mechanisms of inhibitory and regulatory effects of methylenedioxyphenyl compounds on cytochrome P450-dependent drug oxidation. Curr. Drug Metab. 2000, 1, 67–84. [Google Scholar] [CrossRef]
- Prasad, A.S.B.; Kanth, J.V.B.; Periasamy, M. Convenient methods for the reduction of amides, nitriles, carboxylic esters, acids and hydroboration of alkenes using NaBH4/I2 system. Tetrahedron 1992, 48, 4623–4628. [Google Scholar] [CrossRef]
- Barontini, M.; Bernini, R.; Carastro, I.; Gentili, P.; Romani, A. Synthesis and DPPH radical scavenging activity of novel compounds obtained from tyrosol and cinnamic acid derivatives. New J. Chem. 2014, 38, 809–816. [Google Scholar] [CrossRef]
- Bahorun, T.; Gressier, B.; Trotin, F.; Brunet, C.; Dine, T.; Luyckx, M.; Vasseur, J.; Cazin, M.; Cazin, J.C.; Pinkas, M. Oxygen species scavenging activity of phenolic extracts from hawthorn fresh plant organs and pharmaceutical preparations. Arzneimittel-forschung 1996, 46, 1086–1089. [Google Scholar] [PubMed]
- Elshaflu, H.; Todorović, T.R.; Nikolić, M.; Lolić, A.; Višnjevac, A.; Hagenow, S.; Padrón, J.M.; García-Sosa, A.T. Djordjević; I.S.; Grubišić, S.; Stark, H.; et al. Selenazolyl-hydrazones as novel selective MAO inhibitors with antiproliferative and antioxidant activities: Experimental and in-silico studies. Front. Chem. 2018, 6, 247. [Google Scholar] [CrossRef] [PubMed]
- Zheng, H.-C. The molecular mechanisms of chemoresistance in cancers. Oncotarget 2017, 8, 59950–59964. [Google Scholar] [CrossRef] [PubMed]
- Bergman, A.M.; Pinedo, H.M.; Talianidis, I.; Veerman, G.; Loves, W.J.; van der Wilt, C.L.; Peters, G.J. Increased sensitivity to gemcitabine of P-glycoprotein and multidrug resistance-associated protein-overexpressing human cancer cell lines. Br. J. Canc. 2003, 88, 1963–1970. [Google Scholar] [CrossRef]
- Castaing, M.; Loiseau, A.; Cornish-Bowden, A. Synergy between verapamil and other multidrug-resistance modulators in model membranes. J. Biosci. 2007, 32, 737–746. [Google Scholar] [CrossRef]
- Liou, G.-Y.; Storz, P. Reactive oxygen species in cancer. Free Radic. Res. 2010, 44, 479–496. [Google Scholar] [CrossRef]
- Reczek, C.R.; Chandel, N.S. The two faces of Reactive Oxygen Species in cancer. Ann. Rev. Cancer Biol. 2017, 1, 79–98. [Google Scholar] [CrossRef]
- Merino-Montiel, P.; Maza, S.; Martos, S.; López, Ó.; Maya, I.; Fernández-Bolaños, J.G. Synthesis and antioxidant activity of O-alkyl selenocarbamates, selenoureas and selenohydantoins. Eur. J. Pharm. Sci. 2013, 48, 582–592. [Google Scholar] [CrossRef]
- Zimmerman, M.T.; Bayse, C.A.; Ramoutar, R.R.; Brumaghim, J.L. Sulfur and selenium antioxidants: Challenging radical scavenging mechanisms and developing structure–activity relationships based on metal binding. J. Inorg. Biochem. 2015, 145, 30–40. [Google Scholar] [CrossRef]
- Stefanello, S.T.; Prestes, A.S.; Ogunmoyole, T.; Salman, S.M.; Schwab, R.S.; Brender, C.R.; Dornelles, L.; Rocha, J.B.T.; Soares, F.A.A. Evaluation of in vitro antioxidant effect of new mono and diselenides. Toxicol. In Vitr. 2013, 27, 1433–1439. [Google Scholar] [CrossRef] [PubMed]
- de Freitas, A.S.; De Souza Prestes, A.; Wagner, C.; Sudati, J.H.; Alves, D.; Porciúncula, L.O.; Kade, I.J.; Rocha, J.B.T. Reduction of diphenyl diselenide and analogs by mammalian thioredoxin reductase is independent of their gluthathione peroxidase-like activity: A possible novel pathway for their antioxidant activity. Molecules 2010, 15, 7699–7714. [Google Scholar] [CrossRef]
- Chen, W.; Balakrishnan, K.; Kuang, Y.; Han, Y.; Fu, M.; Gandhi, V.; Peng, X. Reactive Oxygen Species (ROS) inducible DNA cross-linking agents and their effect on cancer cells and normal lymphocytes. J. Med. Chem. 2014, 57, 4498–4510. [Google Scholar] [CrossRef]
- Lennicke, C.; Rahn, J.; Lichtenfels, R.; Wessjohann, L.A.; Seliger, B. Hydrogen peroxide—production, fate and role in redox signaling of tumor cells. Cell Commun. Signal. 2015, 13, 39. [Google Scholar] [CrossRef] [PubMed]
- Glozak, M.A.; Seto, E. Histone deacetylases and cancer. Oncogene 2007, 26, 5420–5432. [Google Scholar] [CrossRef]
- Gowda, R.; Madhunapantula, S.V.; Desai, D.; Amin, S.; Robertson, G.P. Selenium-containing histone deacetylase inhibitors for melanoma management. Cancer Biol. 2012, 13, 756–765. [Google Scholar] [CrossRef]
- Desai, D.; Salli, U.; Vrana, K.E.; Amin, S. SelSA, selenium analogs of SAHA as potent histone deacetylase inhibitors. Bioorg. Med. Chem. Lett. 2010, 20, 2044–2047. [Google Scholar] [CrossRef]
- Álvarez-Pérez, M.; Ali, W.; Marć, M.A.; Handzlik, J.; Domínguez-Álvarez, E. Selenides and diselenides: A review of their anticancer and chemopreventive activity. Molecules 2018, 23, 628. [Google Scholar]
- Chang, C.; Bahadduri, P.M.; Polli, J.E.; Swaan, P.W.; Ekins, S. Rapid identification of P-glycoprotein substrates and inhibitors. Drug Metab. Dispos. 2006, 34, 1976–1984. [Google Scholar] [CrossRef]
- Waghray, D.; Zhang, Q. Inhibit or evade multidrug resistance P-glycoprotein in cancer treatment. J. Med. Chem. 2018, 61, 5108–5121. [Google Scholar] [CrossRef]








| Compound | EC50 (µM) |
|---|---|
| 4 | >175 |
| 8 | 12.3 ± 0.5 |
| 9 | 4.2 ± 0.1 |
| 10 | 15.3 ± 0.1 |
| 15 | 7.8 ± 0.2 |
| 16 | 9.3 ± 1.3 |
| 18 | 23.2 ± 0.6 |
| 20 | 10.8 ± 0.4 |
| 26 | 7.8 ± 0.2 |
| 39 | >250 |
| 46 | >250 |
| HT | 13.4 ± 0.6 |
| Dopamine | 11.4 ± 1.2 |
| Compound | % Scavenging |
|---|---|
| 4 | --- 2 |
| 8 | 26.5 ± 2.1 |
| 9 | 79.8 ± 0.8 |
| 10 | 11.8 ± 0.5 |
| 15 | 40.0 ± 3.1 |
| 16 | 52.9 ± 3.4 |
| 18 | 19.0 ± 0.8 |
| 20 | 25.8 ± 1.0 |
| 26 | 53.8 ± 2.3 |
| 39 | --- |
| 46 | --- |
| Dopamine | 46.1 ± 4.6 |
| Compound | A549 (Lung) | HBL-100 (Breast) | HeLa (Cervix) | T-47D (Breast) | WiDr (Colon) | BJ-hTert (Fibroblasts) | S.I. |
|---|---|---|---|---|---|---|---|
| 15 | 5.4 ± 1.1 | 29 ± 6 | 3.6 ± 1.1 | 39 ± 5 | 31 ± 7 | ---1 | --- |
| 16 | 3.7 ± 0.6 | 2.4 ± 0.6 | 2.3 ± 0.4 | 5.8 ± 0.9 | 3.9 ± 0.6 | 3.5 ± 0.6 | 0.6‒1.5 |
| 18 | 33 ± 5 | 34 ± 1 | 23 ± 1 | 71 ± 5 | 85 ± 21 | --- | --- |
| 20 | 28 ± 8 | 37 ± 2 | 19 ± 8 | 35 ± 1 | 41 ± 10 | --- | --- |
| 35 | 3.1 ± 0.7 | 3.5 ± 1.4 | 3.5 ± 0.8 | 3.4 ± 0.2 | 2.0 ± 0.1 | 8.7 ± 3.2 | 2.5‒4.4 |
| 36 | 1.8 ± 0.7 | 2.1 ± 0.2 | 1.2 ± 0.2 | 1.1 ± 0.3 | 1.3 ± 0.6 | 14 ± 2 | 6.7‒13 |
| 37 | Not soluble | ||||||
| 38 | 19 ± 2 | 14 ± 3 | 5.2 ± 1.0 | 4.7 ± 1.2 | 14 ± 2 | --- | --- |
| 39 | 1.2 ± 0.3 | 2.9 ± 0.6 | 2.4 ± 1.4 | 2.9 ± 0.4 | 1.6 ± 0.3 | 3.9 ± 1.0 | 1.3‒3.3 |
| 40 | 1.6 ± 0.5 | 2.0 ± 0.9 | 0.95 ± 0.07 | 0.88 ± 0.17 | 1.2 ± 0.1 | 28 ± 5 | 14‒32 |
| 41 | 32 ± 8 | 93 ± 10 | 31 ± 8 | 29 ± 5 | 29 ± 8 | --- | |
| 45 | 0.41 ± 0.03 | 1.6 ± 0.3 | 0.36 ± 0.09 | 0.40 ± 0.04 | 0.41 ± 0.03 | 1.8 ± 0.7 | 1.1‒5.0 |
| 46 | 0.27 ± 0.02 | 0.25 ± 0.02 | 0.12 ± 0.01 | 0.19 ± 0.04 | 0.25 ± 0.06 | 1.0 ± 0.1 | 3.7‒8.3 |
| Ebselen | 25 ± 9 | 13 ± 3 | 26 ± 8 | 90 ± 14 | >100 | --- | --- |
| CDDP | 4.9 ± 0.2 | 1.9 ± 0.2 | 2.0 ± 0.3 | 15 ± 2 | 26 ± 6 | 14 ± 2 | 0.5‒7.4 |
| w/o Verapamil | w Verapamil | |||||
|---|---|---|---|---|---|---|
| SW1573 | SW1573/PGP | Rf | SW153 | SW1573/PGP | Rf | |
| 15 | 3.3 ± 0.4 | 5.0 ± 0.1 | 1.5 | 5.0 ± 0.7 | 5.3 ± 0.3 | 1.1 |
| 16 | 2.7 ± 0.3 | 5.1 ± 0.6 | 1.9 | 2.3 ± 0.3 | 5.1 ± 0.4 | 2.2 |
| 35 | 2.3 ± 0.5 | 7.1 ± 0.6 | 3.1 | 3.1 ± 1.0 | 7.0 ± 0.6 | 2.3 |
| 36 | 4.2 ± 0.7 | 6.8 ± 0.4 | 1.6 | 3.1 ± 0.4 | 5.3 ± 0.6 | 1.7 |
| 38 | 27 ± 2 | 29 ± 0.2 | 1.1 | 15 ± 3 | 25 ± 2 | 1.6 |
| 39 | 3.0 ± 0.5 | 18 ± 0.1 | 6.0 | 2.5 ± 0.1 | 5.1 ± 0.4 | 2.0 |
| 40 | 1.9 ± 0.1 | 3.9 ± 0.2 | 2.0 | 1.8 ± 0.2 | 4.5 ± 1.0 | 2.5 |
| 45 | 1.1 ± 0.2 | 3.3 ± 0.6 | 3.1 | 1.1 ± 0.1 | 2.5 ± 0.1 | 2.3 |
| PTX | 1.5 ± 0.5 | 196 ± 53 | 128 | 1.6 ± 0.2 | 4.2 ± 0.9 | 2.6 |
| VB | 0.9 ± 0.3 | 2051 ± 682 | 2388 | 0.8 ± 0.2 | 1.0 ± 0.5 | 1.3 |
Publisher’s Note: MDPI stays neutral with regard to jurisdictional claims in published maps and institutional affiliations. |
© 2020 by the authors. Licensee MDPI, Basel, Switzerland. This article is an open access article distributed under the terms and conditions of the Creative Commons Attribution (CC BY) license (http://creativecommons.org/licenses/by/4.0/).
Share and Cite
Begines, P.; Sevilla-Horrillo, L.; Puerta, A.; Puckett, R.; Bayort, S.; Lagunes, I.; Maya, I.; Padrón, J.M.; López, Ó.; Fernández-Bolaños, J.G. Masked Phenolic-Selenium Conjugates: Potent and Selective Antiproliferative Agents Overcoming P-gp Resistance. Pharmaceuticals 2020, 13, 358. https://doi.org/10.3390/ph13110358
Begines P, Sevilla-Horrillo L, Puerta A, Puckett R, Bayort S, Lagunes I, Maya I, Padrón JM, López Ó, Fernández-Bolaños JG. Masked Phenolic-Selenium Conjugates: Potent and Selective Antiproliferative Agents Overcoming P-gp Resistance. Pharmaceuticals. 2020; 13(11):358. https://doi.org/10.3390/ph13110358
Chicago/Turabian StyleBegines, Paloma, Lucía Sevilla-Horrillo, Adrián Puerta, Rebecca Puckett, Samuel Bayort, Irene Lagunes, Inés Maya, José M. Padrón, Óscar López, and José G. Fernández-Bolaños. 2020. "Masked Phenolic-Selenium Conjugates: Potent and Selective Antiproliferative Agents Overcoming P-gp Resistance" Pharmaceuticals 13, no. 11: 358. https://doi.org/10.3390/ph13110358
APA StyleBegines, P., Sevilla-Horrillo, L., Puerta, A., Puckett, R., Bayort, S., Lagunes, I., Maya, I., Padrón, J. M., López, Ó., & Fernández-Bolaños, J. G. (2020). Masked Phenolic-Selenium Conjugates: Potent and Selective Antiproliferative Agents Overcoming P-gp Resistance. Pharmaceuticals, 13(11), 358. https://doi.org/10.3390/ph13110358

