A Novel Gas Sensor Transducer Based on Phthalocyanine Heterojunction Devices
Abstract
:1. Introduction
2. Experimental Section
2.1. Samples preparation
2.2. Electrical measurements
2.3. Gas sensing experiments
3. Results and Discussion
3.1. Surface potential measurements
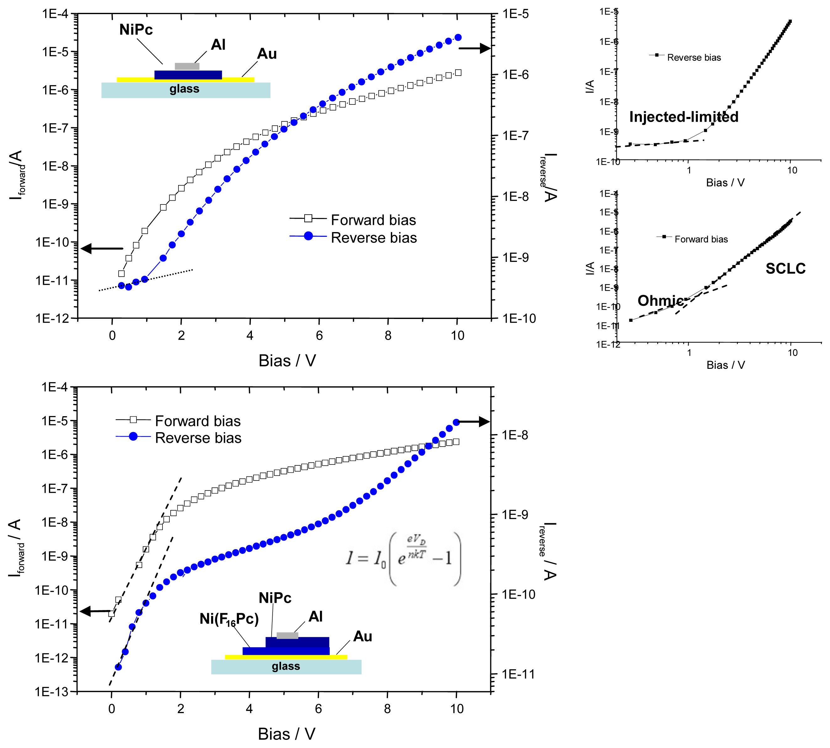
3.2. Electrical characterization of the samples
3.3 Gas sensing properties
4. Conclusions
Acknowledgments
References and Notes
- Forrest, S. R. Ultrathin organic films grown by organic molecular beam deposition and related techniques. Chem. Rev. 1997, 97, 1793–1896. [Google Scholar]
- Wright, J.D. Gas-adsorption on phthalocyanines and its effects on electrical properties. Prog. Surf. Sci. 1989, 31, 1–60. [Google Scholar]
- Bouvet, M.; Pauly, A. The Encyclopedia of Sensors; Grimes, C.A., Dickey, E.C., Pishko, M.V., Eds.; American Scientific Publishers: Valencia, CA, 2006; Vol. 6, p. 227. [Google Scholar]
- Bouvet, M.; Guillaud, G.; Leroy, A.; Maillard, A.; Spirkovitch, S.; Tournilhac, F.-G. Phthalocyanine-based field-effect transistor as ozone sensor. Sens. Actuators B: Chem 2001, 73, 63–70. [Google Scholar]
- Bouvet, M.; Leroy, A.; Simon, J.; Tournilhac, F.; Guillaud, G.; Lessnick, P.; Maillard, A.; Spirkovitch, S.; Debliquy, M.; de Haan, A.; Decroly, A. Detection and titration of ozone using metallophthalocyanine based field effect transistors. Sens. Actuators B: Chem 2001, 72, 86–93. [Google Scholar]
- Schöllhorn, B.; Germain, J.-P.; Pauly, A.; Maleysson, C.; Blanc, J.-P. Influence of peripheral electron-withdrawing substituents on the conductivity of zinc phthalocyanine in the presence of gases. Part 1: reducing gases. Thin Solid Films 1998, 326, 245–250. [Google Scholar]
- Bouvet, M. Phthalocyanine-based field-effect transistors as gas sensors. Anal. Bioanal. Chem. 2006, 384, 366–373. [Google Scholar]
- Talazac, L.; Barbarin, F.; Varenne, C.; Cuminal, Y. Highly NO2 sensitive pseudo Schottky barrier diodes on p-type InP with improved electrical characteristics. Sens. Actuators B: Chem 2001, 77, 447–454. [Google Scholar]
- Brunet, J.; Talazac, L.; Battut, V.; Pauly, A.; Blanc, J.-P.; Germain, J.-P.; Pellier, S.; Soulier, C. Evaluation of atmospheric pollution by two semiconductor gas sensors. Thin Solid Films 2001, 391, 308–313. [Google Scholar]
- Talazac, L.; Barbarin, F.; Varenne, C.; Mazet, L.; Pellier, S.; Soulier, S. Gas sensing properties of pseudo-Schottky diodes on p-type indium phosphide substrates - Application to O3 and NO2 monitoring in urban ambient air. Sens. Actuators B: Chem 2002, 83, 149–159. [Google Scholar]
- Tuller, H. L.; Mlcak, M P-N. Junction Sensor. US 2003193073 A1 20031016 CAN 139:300250, U.S. Pat. Appl Publ., 2003. [Google Scholar]
- Janata, J.; Josowicz, M. Conducting polymers in electronic chemical sensors. Nature Mater 2003, 2, 19–24. [Google Scholar]
- Martin, M.; André, J.-J.; Simon, J. Influence of dioxygen on the junction properties of metallophthalocyanine based devices. J. Appl. Phys. 1983, 54, 2792–2794. [Google Scholar]
- Horowitz, G.; Kouki, F.; Spearman, P.; Fichou, D.; Nogues, C.; Pan, X.; Garnier, F. Evidence for n-type conduction in a perylene tetracarboxylic diimide derivative. Adv. Mater. 1996, 8, 242–245. [Google Scholar]
- Bao, Z.; Lovinger, A. J.; Brown, J. New air-stable n-channel organic thin film transistors. J. Am. Chem. Soc. 1998, 120, 207–208. [Google Scholar]
- Dodabalapur, A.; Katz, H. E.; Torsi, L. Molecular orbital energy level engineering in organic translators. Adv. Mater 1996, 8, 853–855. [Google Scholar]
- Tang, C. W. 2-Layer organic photovoltaic cell. Appl. Phys. Lett. 1986, 48, 183–185. [Google Scholar]
- Sicot, L.; Geoffroy, B.; Lorin, A.; Raimond, P.; Sentein, C.; Nunzi, J.-M. Photovoltaic properties of Schottky and p-n type solar cells based on polythiophene. J. Appl. Phys. 2001, 90, 1047–1054. [Google Scholar]
- Lai, S. L.; Chan, M. Y.; Fung, M. K.; Lee, C. S.; Lee, S. T. Copper hexadecafluorophthalocyanine and copper phthalocyanine as a pure organic connecting unit in blue tandem organic light-emitting devices. J. Appl. Phys. 2007, 101, 014509. [Google Scholar]
- Liu, Y.; Yang, D.; Wang, C. Molecular interface effect of heterogeneous molecular junctions consisting of nonfluorinated and fluorinated phthalocyanines. J. Phys. Chem. B 2006, 110, 20789–20793. [Google Scholar]
- Wang, H. B.; Wang, J.; Huang, H.; Yan, X.; Yan, D. Organic heterojunction with reverse rectifying characteristics and its application in field-effect transistors. Org. Electr. 2006, 7, 369–374. [Google Scholar]
- Hiller, S.; Schlettwein, D.; Armstrong, N. R.; Wöhrle, D. Influence of surface reactions and ionization gradients on junction properties of F16PcZn. J. Mater. Chem. 1998, 8, 945–054. [Google Scholar]
- Eley, D. D.; Hazeldine, D. J.; Palmer, T. F. Mass spectra, ionisation potentials and related properties of metal-free and transition metal phthalocyanines. J. Chem. Soc., Faraday Trans. 2 1973, 69, 1808–1814. [Google Scholar]
- Vilitis, O.; Fonavs, E.; Muzikante, I. A System for measuring surface potential by the Kelvin-Zisman vibrating capacitor Probe. Latvian J. Phys. Techn. Sci. 2001, 5, 38–56. [Google Scholar]
- Pfeiffer, M.; Leo, K.; Karl, N. Fermi level determination in organic thin films by the Kelvin probe method. J. Appl. Phys. 1996, 60, 6880–6883. [Google Scholar]
- Harima, Y.; Yamashita, K.; Ishii, H.; Seki, K. Energy structures of molecular semiconductors contacting metals under air studied by the diffusion potential measurements and the Kelvin probe technique. Thin Solid Films 2000, 366, 237–248. [Google Scholar]
- Murdey, R.; Sato, N.; Bouvet, M. Frontier electronic structures in fluorinated copper phthalocyanine thin films studied using ultraviolet and inverse photoemission spectroscopies. Mol. Cryst. Liq. Cryst. 2006, 455, 211–218. [Google Scholar]
- Bohrer, M. I.; Sharoni, A.; Colesniuc, C.; Park, J.; Schuller, I. K.; Kummel, A. C.; Trogler, W. C. Gas sensing mechanism in chemiresistive cobalt and metal-free phthalocyanine thin films. J. Am. Chem. Soc. 2007, 129, 5640–5646. [Google Scholar]
- L'Her, M.; Pondaven, A. Electrochemistry of phthalocyanines. In The Porphyrin Handbook; Kadish, K.M., Smith, K.M., Guilard, R, Eds.; Academic Press, 2003; Vol. 16, 104, p. 117. [Google Scholar]
- Schauer, F.; Novotny, R.; Nespurek, S. Space-charge-limited-current spectroscopy: Possibilities and limitations. J. Appl. Phys. 1997, 81, 1244–1249. [Google Scholar]
- Gould, R. D. Structure and electrical conduction properties of phthalocyanine thin films. Coord. Chem. Rev. 1996, 156, 237–274. [Google Scholar]
- Silinsh, E. A. Organic Molecular Crystals: their Electronic States; Springer Verlag: Berlin, Germany, 1980. [Google Scholar]
- Silinsh, E. A.; Capek, V. Organic Molecular Crystals. Interaction, Localization and Transport Phenomena; AIP Press; New York, 1994. [Google Scholar]
- Reynaert, J.; Arkhipov, V. L.; Heremans, P.; Poortmans, J. Photomultiplication in disordered unipolar organic materials. Adv. Funct. Mater. 2006, 16, 784–790. [Google Scholar]
- Shen, C.; Kahn, A. Electronic structure, diffusion, and p-doping at the Au/F16CuPc interface. J. Appl. Phys. 2001, 90, 4549–4554. [Google Scholar]
- Pietro, W. J. Rectifying junctions based on metallophthalocyanine thif-films. Adv. Mater 1994, 6, 239–242. [Google Scholar]
- Anderson, T. L.; Komplin, G. C.; Pietro, W. J. Rectifying junctions in peripherally-substituted metallophthalocyanine bilayer films. J. Phys. Chem. 1993, 97, 6577–6578. [Google Scholar]
- Mahapatro, A. K.; Ghosh, S. Schottky energy barrier and charge injection in metal/copper-phthalocyanine/metal structures. Appl. Phys. Lett. 2002, 80, 4840–4842. [Google Scholar]
- Harada, A. K.; Werner, A. G.; Pfeiffer, M.; Bloom, C. J.; Elliot, C. M.; Leo, K. Organic homojunction diodes with a high built-in potential: Interpretation of the current-voltage characteristics by a generalized Einstein relation. Phys. Rev. Lett. 2005, 94. no. 036601. [Google Scholar]
- Muzikante, I.; Fonavs, E.; Silinsh, E.; Fretigny, C.; Bouvet, M.; Simon, J.; Spirkovitch, S. Charge carrier transport properties of thin films of an intrinsic molecular semiconductor: Lutetium bisphthalocyaninem. Mol. Mater. 1998, 9, 301–331. [Google Scholar]
- Tada, H.; Touda, H.; Takada, M.; Matsushige, K. Field effect mobility of F16PcCu films in various gas atmospheres. J. Porphyrins Phthalocyanines 1999, 3, 667–671. [Google Scholar]






| Gas sample | RR10 | Forward Vswitch-on/ V | Imaxrev /A | Imaxfwd /A | %[ΔI/I0]-10 | %[ΔI/I0]10 |
|---|---|---|---|---|---|---|
| Ar | 520 | 6.6 | 1.1× 10-8 | 5.9× 10-6 | ||
| NH3 vapor | 17 | 5.0 | 1.8× 10-5 | 3.2× 10-4 | 350 | 45 |
© 2007 by MDPI ( http://www.mdpi.org). Reproduction is permitted for noncommercial purposes.
Share and Cite
Muzikante, I.; Parra, V.; Dobulans, R.; Fonavs, E.; Latvels, J.; Bouvet, M. A Novel Gas Sensor Transducer Based on Phthalocyanine Heterojunction Devices. Sensors 2007, 7, 2984-2996. https://doi.org/10.3390/s7112984
Muzikante I, Parra V, Dobulans R, Fonavs E, Latvels J, Bouvet M. A Novel Gas Sensor Transducer Based on Phthalocyanine Heterojunction Devices. Sensors. 2007; 7(11):2984-2996. https://doi.org/10.3390/s7112984
Chicago/Turabian StyleMuzikante, Inta, Vicente Parra, Rorijs Dobulans, Egils Fonavs, Janis Latvels, and Marcel Bouvet. 2007. "A Novel Gas Sensor Transducer Based on Phthalocyanine Heterojunction Devices" Sensors 7, no. 11: 2984-2996. https://doi.org/10.3390/s7112984
APA StyleMuzikante, I., Parra, V., Dobulans, R., Fonavs, E., Latvels, J., & Bouvet, M. (2007). A Novel Gas Sensor Transducer Based on Phthalocyanine Heterojunction Devices. Sensors, 7(11), 2984-2996. https://doi.org/10.3390/s7112984
