Recent Advances in High-Birefringence Fiber Loop Mirror Sensors
Abstract
:1. Introduction
2. Principle
2.1. Birefringence
2.2. The Configuration of the Fiber Loop Mirror and its Transfer Function
3. Characterization of Standard Hi-Bi Fibers Based Fiber Loop Mirror
3.1. Hi-Bi Fibers
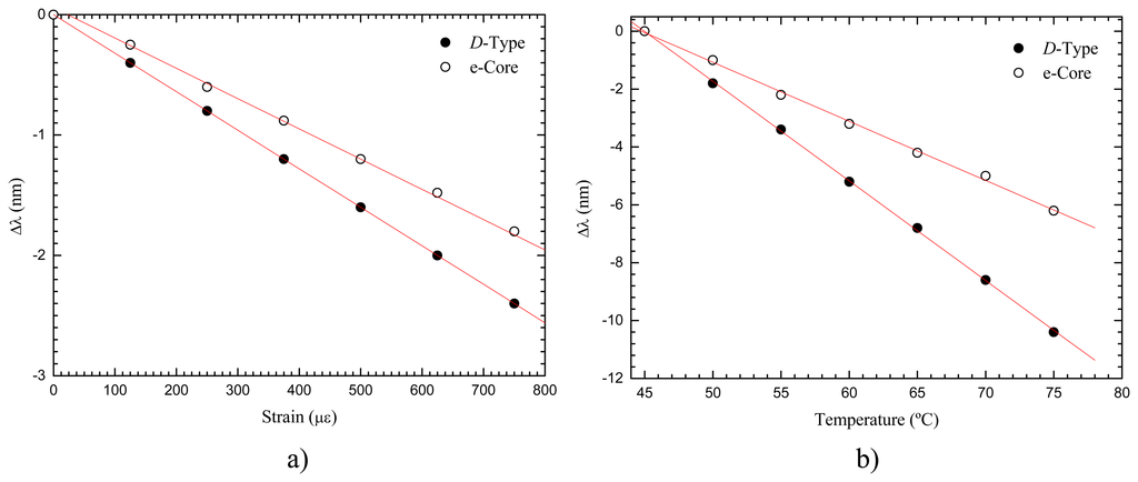
3.2. Strain and Temperature Characterization
4. Characterization of Hi-Bi Photonics Crystal Fiber Based Fiber Loop Mirror
5. Simultaneous Measurement using Hi-Bi Fiber Loop Mirrors
5.1. Hi-Bi FLM Combined with a Long Period Grating
5.2. Concatenated Hi-Bi Fiber Loop Mirrors
6. Chemical Etching in Hi-Bi Fiber Loop Mirrors
7. Refractive Index Measurement
8. Concluding Remarks
References and Notes
- Mortimore, D. Fiber loop reflectors. Journal of Lightwave Technology 1988, 6, 1217–1224. [Google Scholar]
- Noda, J.; Okamoto, K.; Sasaki, Y. Polarization-maintaining fibers and their applications. Journal of Lightwave Technology 1986, 4, 1071–1088. [Google Scholar]
- Culshaw, B. The optical fibre Sagnac interferometer: an overview of its principles and applications. Measurement Science and Technology 2006, 17, R1–R16. [Google Scholar]
- Kim, S.; Kang, J. U. Polarization-independent “figure-eight” birefringent Sagnac variable comb-filter/attenuator. IEEE Photonics Technology Letters 2004, 16, 494–496. [Google Scholar]
- Li, S.; Chiang, K. S.; Gambling, W.A. Gain flattening of an erbium doped fiber amplifier using a High-Birefringence fiber loop mirror. IEEE Photonics Technology Letters 2001, 13, 942–944. [Google Scholar]
- Dong, X. P.; Li, S.; Chiang, K. S.; Ng, M. N.; Chu, B. C. B. Multiwavelength erbium doped fiber laser based on a high-birefringence fiber loop mirrors. Electronics Letters 2000, 36, 1609–1610. [Google Scholar]
- Chung, S.; Yu, B.-A.; Lee, B. Phase response design of a polarization-maintaining fiber loop mirror for dispersion compensation. IEEE Photonics Technology Letters 2003, 15, 715–717. [Google Scholar]
- Campbell, M.; Zheng, G.; Holmes-Smith, A. S.; Wallace, P. A. A. Frequency-modulated continuous wave birefringent fiber-optic strain sensor based on a Sagnac ring configuration. Measurement Science Technology 1999, 10, 218–224. [Google Scholar]
- Starodumov, A. N.; Zenteno, L.A.; Monzon, D.; De La Rosa, E. Fiber Sagnac interferometer temperature sensor. Applied Physics Letters 1997, 70, 19–21. [Google Scholar]
- Bo, D.; Qida, Z.; Feng, L.; Tuan, G.; Lifang, X.; Shuhong, L.; Hong, G. Liquid-level sensor with a high-birefringence-fiber loop mirror. Applied Optics 2006, 45, 7767–7771. [Google Scholar]
- Liu, Y.; Liu, B.; Feng, X.; Zhang, W.; Zhou, G.; Yuan, S.; Kai, G.; Dong, X. High-birefringence fiber loop mirrors and their applications as sensors. Applied Optics 2005, 44, 2382–2390. [Google Scholar]
- Chung, S.; Kim, J.; Yu, B.-A.; Lee, B. A Fiber Bragg grating sensor demodulation technique using a polarization maintaining fiber loop mirror. IEEE Photonics Letters 2001, 13, 1343–1346. [Google Scholar]
- Frazão, O.; Marques, L. M.; Baptista, J. M. Fiber Bragg grating interrogation based on high-birefringence fiber loop mirror for strain-temperature discrimination. Microwave and Optical technology Letters 2006, 48, 2326–2328. [Google Scholar]
- Frazão, O.; Marques, L. M.; Santos, S.; Baptista, J. M.; Santos, J. L. Simultaneous measurement for strain and temperature based on a long period grating combined with a high-birefringence fiber loop mirror. IEEE Photonics Technology Letters 2006, 18, 2407–2409. [Google Scholar]
- Fang, X.; Claus, R. O. Polarization-independent all-fiber wavelength-division multiplexer based on Sagnac interferometer. Optics Letters 1995, 20, 2146–2148. [Google Scholar]
- Zhang, F.; Lit, J. W. Y. Temperature and strain sensitivity measurements of high-birefringent polarization-maintaining fibers. Applied Optics 1993, 32, 2213–2218. [Google Scholar]
- Knight, J. C. Photonic crystal fibers. Nature 2003, 424, 847–51. [Google Scholar]
- Broderick, N. G. R.; Monro, T. M.; Bennett, P. J.; Richardson, D. J. Nonlinearity in holey optical fibers: measurement and future opportunities. Optics Letters 1999, 24, 1395–1397. [Google Scholar]
- Monro, T. M.; Belardi, W.; Furusawa, K.; Baggett, J. C.; Broderick, N. G. R.; Richardson, D. J. Sensing with microstructured optical fibers. Measurement Science and Technology 2001, 12, 854–858. [Google Scholar]
- Kim, D.-H.; Kang, J. U. Sagnac loop interferometer based on polarization maintaining photonic crystal fiber with reduced temperature sensitivity. Optics Express 2004, 12, 4490–4495. [Google Scholar]
- Zhao, C-L.; Yang, X.; Lu, C.; Jin, W.; Demokan, M. S. Temperature-insensitive interferometer using a highly birefringent photonic crystal fiber loop mirror. IEEE Photonics Technology Letters 2004, 16, 2535–2537. [Google Scholar]
- Yang, X.; Zhao, C-L.; Peng, Q.; Zhou, X.; Lu, C. FBG sensor interrogation with high temperature insensitivity by using a HiBI-PCF Sagnac loop filter. Optics Communications 2005, 250, 63–68. [Google Scholar]
- Tam, H.Y.; Dong, X. Temperature-insensitive strain sensor with polarization-maintaining photonics crystal fiber based on Sagnac interferometer. Applied Physics Letters 2007, 90, 151113:1–151113:3. [Google Scholar]
- Frazão, O.; Marques, L. M.; Marques, J.; Baptista, J. M.; Santos, J. L. Temperature independent strain/load sensor using a highly birefringent photonic crystal fiber fibre loop mirror. Third European Workshop on Optical Fibre Sensores, Proceedings of SPIE; 2007; 6619, pp. 66190Y-1–66190Y-4. [Google Scholar]
- Frazão, O.; Baptista, J. M.; Santos, J.L. Temperature-independent strain sensor based on a Hi-Bi photonic crystal fibre loop mirror. IEEE Sensors Journal 2007, 7, 1453–1455. [Google Scholar]
- Bhatia, V. Applications of long-period gratings to single and multi-parameter sensing. Optics Express 1999, 4, 457–466. [Google Scholar]
- James, S. W.; Tatam, R. P. Optical fibre long-period grating sensors: characteristics and application. Measurement Science Technology 2003, 14, R49–R61. [Google Scholar]
- Liu, Y.; Zhao, Q.; Zhou, G.; Zhang, H.; Chen, S.; Zhao, L.; Yao, Y.; Guo, P.; Dong, X. Study on an optical filter constituted by concatenated Hi-Bi fiber loop mirror. Microwave and Optical Technology Letters 2004, 43, 23–26. [Google Scholar]
- Frazão, O.; Baptista, J. M.; Santos, J.L. Strain and temperature discrimination using concatenated Hi-Bi fiber loop mirrors. IEEE Photonics Technology Letters 2007, 19, 1260–1262. [Google Scholar]
- Frazão, O.; Guerreiro, A.; Santos, J. L.; Baptista, J. M. Birefringence monitoring of a Hi-Bi fibre under chemical etching through a fibre loop mirror. Measurement Science Technology 2007, 18, 81–83. [Google Scholar]
- Pereira, D.A.; Frazão, O.; Santos, J.L. Fiber Bragg grating sensing system for simultaneous measurement of salinity and temperature. Optical Engineering 2004, 43, 299–304. [Google Scholar]











| Type fiber | β (×10-4) | Lp (mm) | α (dB/km) | Company |
|---|---|---|---|---|
| e-core (48280-1550S-5) | 3.85 | 4.0 | ≤ 9 | KVH |
| D-type (205170-1550S) | 4.71 | 3.3 | ≤ 9 | KVH |
| PANDA (PM-1550-HP) | 3.3 | 4.65 | ≤ 1 | Thorlabs |
| Bow-tie (HB 1500) | 4.35 | 3.56 | <2 | Fibercore |
| IEC (3M FS-PM-7621) | 5.1 | 3.0 | 1 | 3M |
| Type fiber | κε (pm/με) | κT (nm/°C) |
|---|---|---|
| PANDA | 41.2 | -1.9 |
| Bow-Tie | 28.8 | -1.23 |
| IEC | 15.4 | -0.7 |
| e-Core | -2.5 | -0.2 |
| D-type | -3.2 | -0.34 |
| Hi-Bi PCF | κε (pm/με) | κT (nm/°C) |
|---|---|---|
| Coated | 1.21 | 2.312 ≥ κT ≥ 2.306 |
| Uncoated | 1.11 | -2.9×10-4 |
| κε (nm/με) | κT (nm/°C) | |
|---|---|---|
| LPG | -4.37×10-3 | 0.085 |
| Hi-Bi FLM | 29.84×10-3 | -0.55 |
| κε i | κT i | |
|---|---|---|
| Wavelength | 11.43 pm/με | -0.96 nm/°C |
| Optical power | -4.62×10-3 με−1 | 0.64 °C-1 |
© 2007 by MDPI ( http://www.mdpi.org). Reproduction is permitted for noncommercial purposes.
Share and Cite
Frazão, O.; Baptista, J.M.T.; Santos, J.L. Recent Advances in High-Birefringence Fiber Loop Mirror Sensors. Sensors 2007, 7, 2970-2983. https://doi.org/10.3390/s7112970
Frazão O, Baptista JMT, Santos JL. Recent Advances in High-Birefringence Fiber Loop Mirror Sensors. Sensors. 2007; 7(11):2970-2983. https://doi.org/10.3390/s7112970
Chicago/Turabian StyleFrazão, Orlando, José M. T. Baptista, and José L. Santos. 2007. "Recent Advances in High-Birefringence Fiber Loop Mirror Sensors" Sensors 7, no. 11: 2970-2983. https://doi.org/10.3390/s7112970
APA StyleFrazão, O., Baptista, J. M. T., & Santos, J. L. (2007). Recent Advances in High-Birefringence Fiber Loop Mirror Sensors. Sensors, 7(11), 2970-2983. https://doi.org/10.3390/s7112970
