Abstract
This review discusses different types of artificial tripodal receptors for the selective recognition and sensing of cations and anions. Examples on the relationship between structure and selectivity towards cations and anions are described. Furthermore, their applications as potentiometric ion sensing are emphasised, along with their potential applications in optical sensors or optodes.
1. Introduction
Currently, selective recognition and sensing of cations and anions by artificial receptors have attracted a considerable research interest in terms of their potential applications in various areas [1-5]. In order to develop an artificial receptor that is selective toward a specific analyte, multiple interactions between host and guest in a complementary fashion have to be considered. Several strategies can be followed in the design of artificial receptors with optimal selectivity toward a particular ion. The receptor may contain a variety of functionalities, which must be organised to complement the size and shape of the analyte. The topology of the receptor is of importance in determining the overall receptor-ion interactions. The tripodal receptors constitute a special class of acyclic ionophores, which consist of multiarmed ligands with each arm bearing a functional group that can coordinate with the target ion. Tripodal receptors, which are hypothesised to be between cyclic and acyclic ligands with regards to preorganization, are believed to be able to complex an ion more effectively than analogous acyclic ones [6]. Therefore, this review is focused on tripodal-based molecules as receptors, that provide multiple interaction sites toward given analytes, either cations [7] or anions [8]. As a recognition motif, tripodal-based receptors have been reported to be used successfully as recognition components in ion-selective electrode membranes [7-11] and optical sensors [12-15]. Selective recognition and sensing of cations and anions are of importance in many fields, ranging from environmental monitoring, industrial purposes to clinical diagnostics.
The tripodal molecular platform provides three arms to which ligating groups are tailored or attached. The molecular design allows the rational control of binding properties such as complex stability and selectivity. The selectivity of a tripodal receptor relates greatly to the rigidity of its arms and its cavity size [16-18]. Receptors or ligands that enforce tripodal topologies are known to have several advantages over monopodal and even bipodal receptors: (i) due to the enhanced chelating effects, tripodal ligands often bind to metal ions very strongly; and (ii) the bulkiness of tripodal ligands is highly tunable allowing for controlled reactivity to metal ions. Due to these distinct benefits, the design and development of artificial tripodal receptor system represent an active area in supramoleculer chemistry [6, 7]. However, only a limited number tripodal anion and cation receptors have been reported in the literature out off thousands references of artificial receptors. Furthermore, only a few deal with their application as ion sensing, mainly focused on the potentiometric method employing ion selective electrodes [ISEs], and in optical sensors or optodes.
2. Cation Recognition
The design of a chemosensor for a cation or anion requires a receptor unit or ligand, that selectively interacts with the cation or anion, and a method to read-out the binding using a change in a physical signal (Fig. 1) [20]. Owing to the special structure of their three flexible donor-atom-containing chains, tripodal receptors can form complexes with many cations ranging from alkali and alkaline earth metals to transition metals. By chemical modification of the arms (e.g. changing the chain length or the donor-atom) and under certain experimental conditions, a tripodal receptor can selectively complex metal ions [21, 22]. The main features to design a tripodal cation receptor are: (i) There is a sufficient number of donor atoms in the ligand in order to match the coordination number. (ii) The size of the cavity is large enough to accommodate the metal cation. (iii) The donor atom containing arms are sufficiently flexible to match the shape of the coordination sphere. (iv) Since chelation or solvating donor groups are combined within one tripodal receptor, the complexation mechanism has also to be considered, viz. ion exchange or ion pairing. Tripodal receptors are capable of forming complexes with metal ions which exhibit unusual coordination features, a high thermodynamic stability, and kinetic inertness [23-25]. A tripodal receptor can coordinate in a facial manner to a single metal centre, to form octahedral complexes by wrapping around the metal ions, or in a three dimensional manner to form polynuclear complexes (Fig. 2) [25]. The receptors that have been used in cation recognition and sensing are summarised in Table 1.
Figure 1.
Chemosensor consisting of a receptor that selectively interacts with the ions, and the method to read-out the binding using a change in a physical signal.
Figure 2.
Tripodal receptors can coordinate either in a three dimensional manner to form polynuclear complexes (a) or in a facial manner to a single metal centre (b).
Table 1.
Receptors used for cation recognition and sensing.
2.1. Alkali and Alkaline Earth Metal Ions
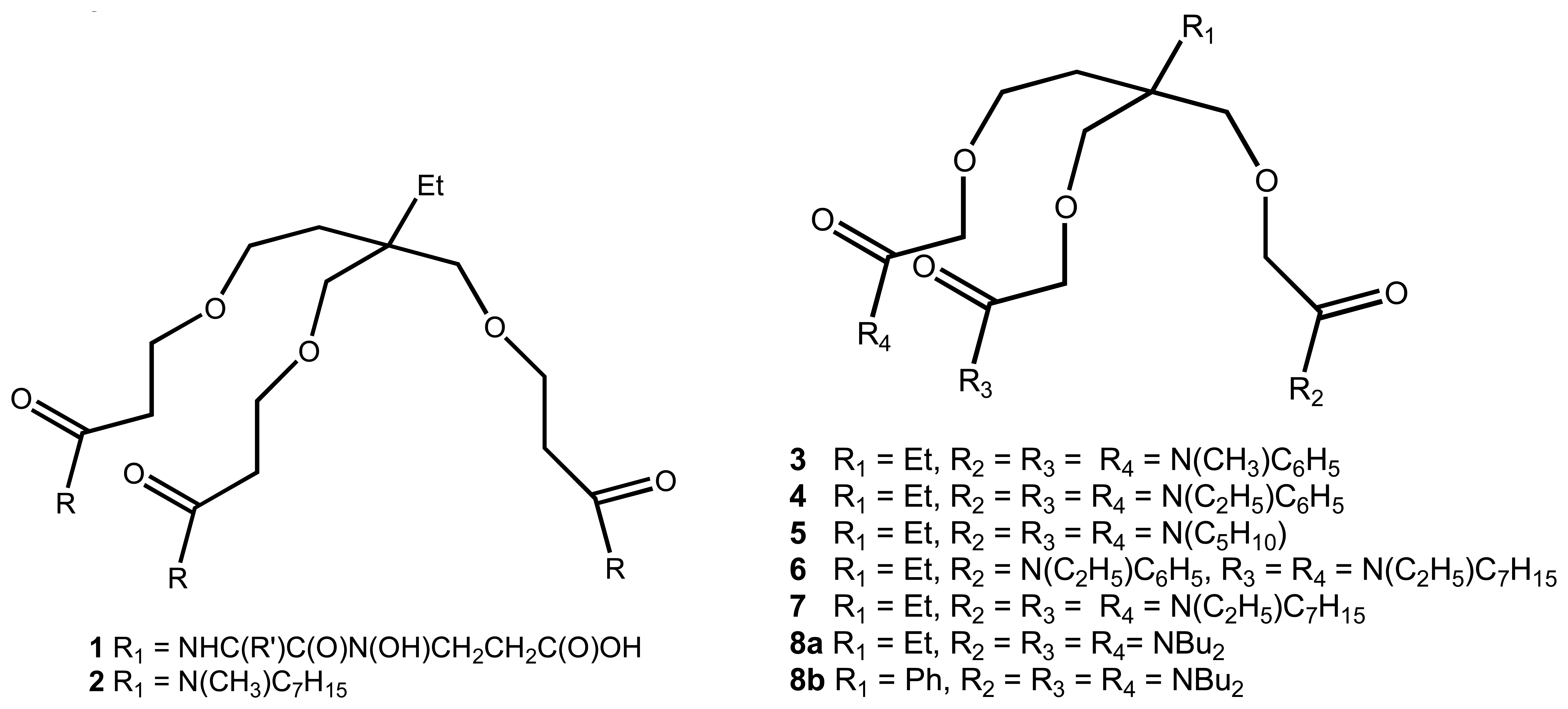
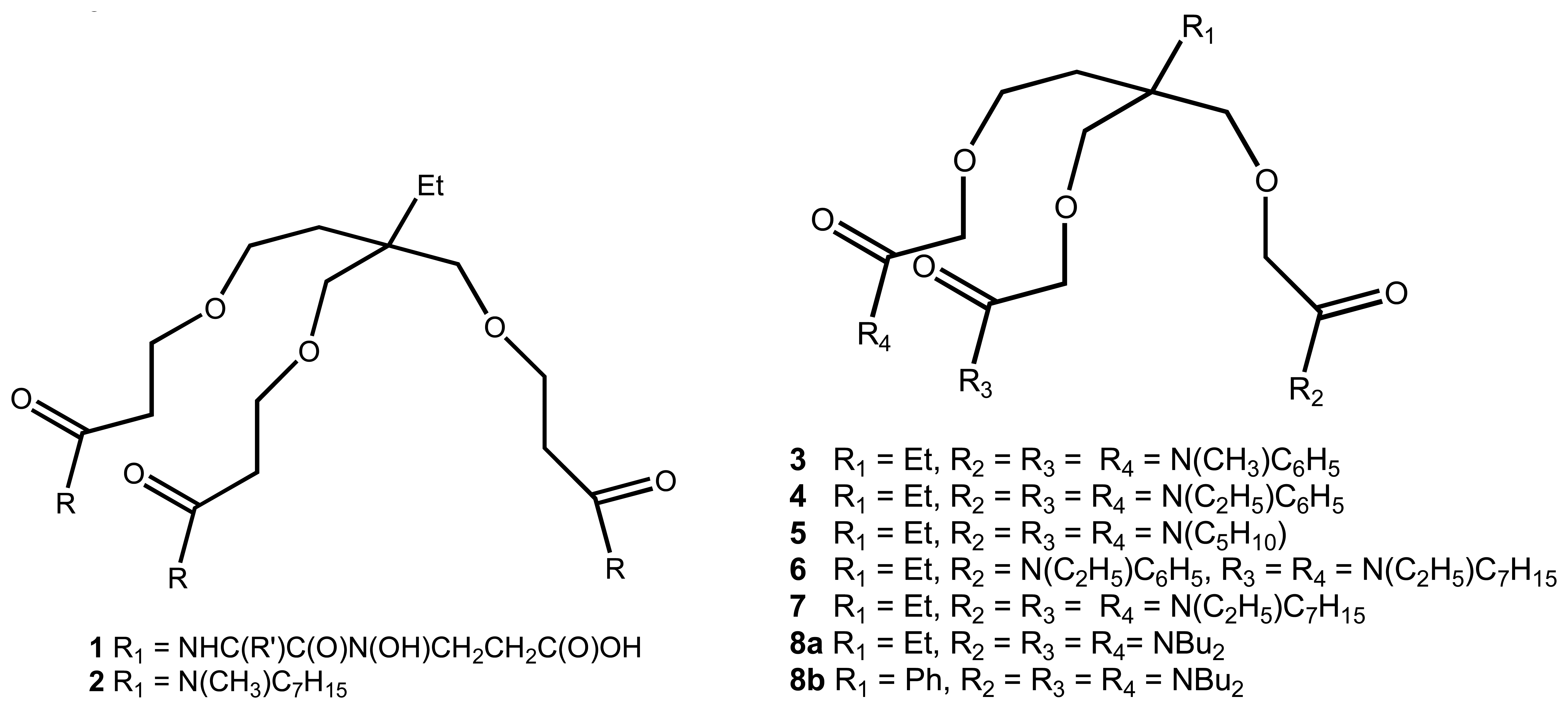
The number of tripodal ligands for alkali and alkaline earth metal ions recognition reported in literature is limited. Some of the works have been addressed to. Shanzer and coworkers [26] used tripodal structures with flexible arms 1, based on trimethylolpropane, for the complexation of Ca2+. The same skeleton is also used in the commercially available Na+ ionophore 2 [27]. The C3-symmetric lipophilic tripodal ionophores 3-5 have been prepared and their binding abilities for alkali and alkaline earth metal cations evaluated by extraction experiments and cation transport through bulk liquid membranes [21]. These tripodal ionophores have a considerable potential for transporting Li+, Na+, and Ca2+ ions relative to K+ and Mg2+ ions. The selectivities 3 and 4 toward Li+/K+, Na+/K+ and Ca2+/Mg2+ are 6.47–7.24, 6.05–6.19, and 9.39–16.13, respectively.
Tripodal carboxylmethoxymethyl propane derivative (6), has been evaluated as an ionophore in PVC membrane electrodes for the analysis of alkali and alkaline earth metal cations [28]. The electrodes based on tripodal compound 6 with o-NPOE (nitrophenyl octyl ether) and DBP (dibuthyl phosphate) as plasticizer gave a good performance (slope, detection limits) to Li+ and Na+ ions. The electrode plasticized with o-NPOE also exhibited a near-Nernstian response to the divalent cations Ca2+, Sr2+, and Ba2+. The electrode prepared with 3.9 mg of 6, 185 mg of o-NPOE, 92 mg of PVC and 0.46 mg of KTpClPB (potassium tetrakis(4-chlorophenyl)borate) can be used as a Ca2+ electrode. The electrodes exhibited a good potential stability and an operational lifetime of more than 3 months. ETH 227 or 7, is being widely used as Na+ ionophore. Based on this tripodal ligand, 8a and 8b have been prepared and evaluated as ionophores in PVC membrane electrodes for the analysis of Li+, Na+, K+, Ca2+, and Mg2+ ions [29]. The effect of the nature of the plasticiser BBPA (bis(butylpentyl)adipate) vs. o-NPOE, the structure of 8, the pH and the ionic strength of the analyte solution on the electrode response have been studied. Tripodal ligand 8a gave a superior performance (slope, detection limits) than 8b, particularly at higher ionic strengths, although super-Nernstian responses were observed with the more charge-dense ions in the presence of chloride and/or with the less polar plasticiser BBPA. Intracellular measurements of Na+ concentrations could be effected with a sensor based on 8a and o-NPOE for which -log KPOTNa,K=2.64 and -log KPOTNa,Mg=3.0, while 8b and o-NPOE function as an effective calcium sensor with a high selectivity over magnesium (-log KCa,Mg=4.8).

2.2. Heavy Metals
Recently, the sensing behaviour toward metal ions of simple C3-symmetrical trimethylolpropane-based ionophores with N-acyl(thio)urea and picolin(thio)amide ligating sites has been reported [7]. The tripodal N-acyl(thio)urea derivatives 9-12 are good ionophores for the extraction and detection of Ag+, especially compound 10, which has the highest affinity (84%); the extraction profile is comparable to those obtained with preorganized ligands (cavitands, calixarenes). Picolinamide derivative 13 is a very good ionophore for Hg2+ extraction in the presence of other metals, e.g. Ag+. This is remarkable, since Ag+ is as Hg2+ a soft metal. Picolin(thio)amide tripodal compounds 13 and 14 form complexes with Cu2+ and Hg2+ so strong that they cannot be used as ionophores in polymeric membrane-based ISEs, although they are very useful ionophores for liquid-liquid extractions.
Tripodal azacrown ether calix[4]arenes, 15a and 15b, bind transition metal ions such as Co2+, Ni2+ and Cu2+ in a 1:1 fashion [30]. However, the ligands form the most stable complexes with Cu2+ ions. Strikingly, compounds 15a and 15b complexes with Zn2+ in both 1:1 and 1:2 ligand to metal ratios. Therefore, these receptors may be potentially used as switchable receptors for metal ions. The binding ability of the receptor can be switched by varying the pH of the solution.
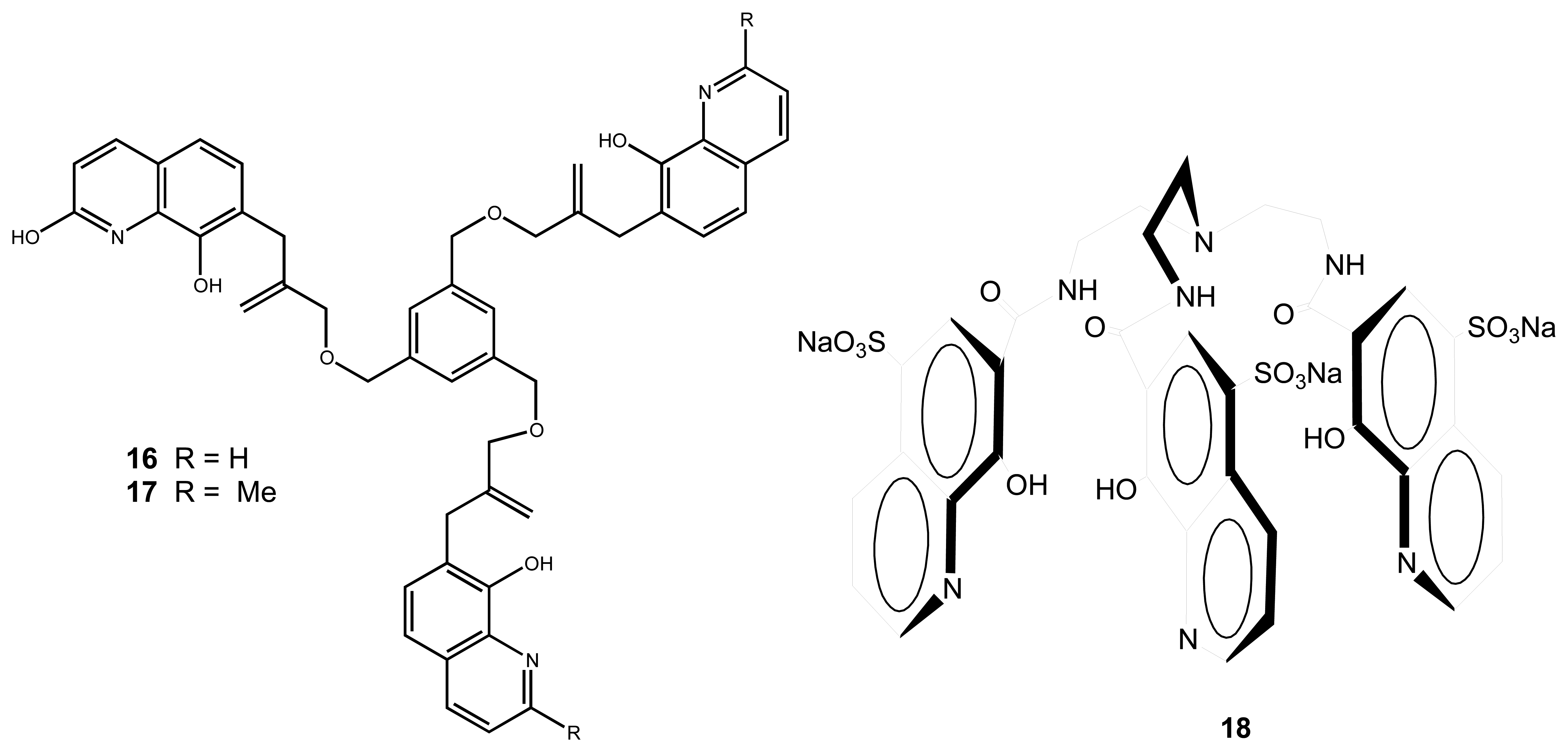
Tripodal hexadentate ligand 16, consisting of three catechol units, three isobutenyl ether arms, and one aromatic core, was synthesised in four steps, in which the Claisen rearrangement is the key step [31]. The hexadentate ligand 16 forms a 1:1 complex with iron(III) trichloride hexahydrate with an equilibrium constant (conditional) of 6.3 × 104 M−1 in acetonitrile in the presence of 2,4,6-trimethylpyridine [32]. Tripodal hexadentate ligands 17, having three 8-hydroxyquinolyl or 2-methyl-8-hydroxyquinolyl groups as binding sites, gives 1:1 complexes with Ga3+ and Fe3+. Furthermore, this receptor was selective for Ga3+.

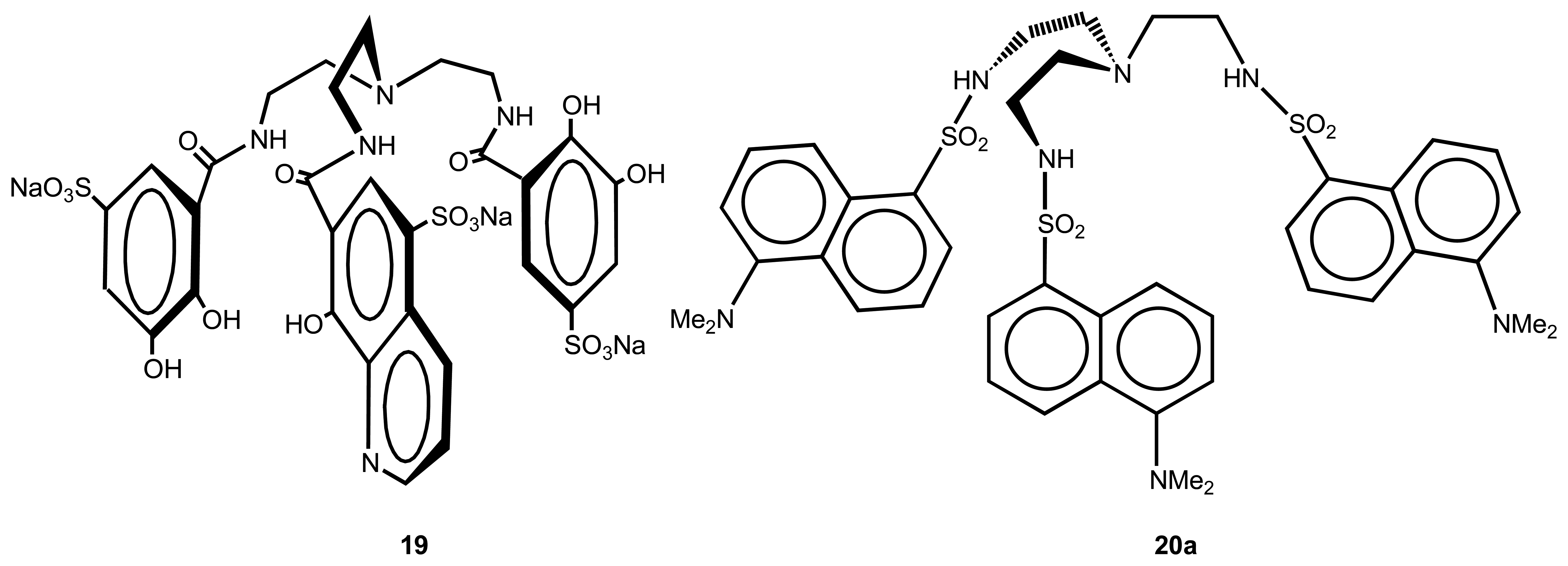
The hexadentate tripodal ligand 18, incorporating three 8-hydroxy-5-sulfoquinoline subunits is an efficient receptor for Al3+ [33]. This ligand quantitatively gave the 1:1 chelate under stoichiometric conditions even at 10−5 mol L−1. However, the 1:1 18:Al chelate turned out to be not significantly more fluorescent than the free ligand, whereas fluorescence enhancement by factors of at least 100 occurred with the 1:3 18:Al chelate. Time-resolved fluorescence measurements, and additional complexation experiments carried out with the tripod 19 (one 8-HQS and two 5-sulfocatechol subunits), showed that the stoichiometry between Al3+ and the bound bidentate subunits determines the fluorescence enhancement. The charge density on Al3+, tuned by the number of chelating groups and by their formal charges, influences the photoinduced charge transfer which tends to quench the fluorescence emission of 19. The real charge density of Al3+ and the subsequent inductive effect of this metal ion appear to be the key factors for fluorescence enhancement in fluorogenic Al3+ ligands containing quinolinate and catecholate subunits. In spite of the high stability constants obtained, hexadentate ligands designed from three fluorogenic bidentate subunits, are likely to be poorly or non fluorogenic itselves. The problem lies in the fact that, in such ligands, the ionophore moiety is also the fluorophore entity. Consequently, it should be better, for the design of fluorescent Al3+ sensors, to turn to hexadentate fluoroionophores, where the complexing part of the ligand (ionophore) is separated from the fluorophore, which is the signaling species.

The behaviour of tripodal ligand 20a, containing the dansyl chromophore, has been compared with that of dansylethylenediamine 20b, a compound that has been widely used as a reference for many other dansyl derivatives [34]. The intense luminescence characteristics of the chromophore are maintained in the ligand structure, showing that no intramolecular interactions are present. Ligand 20a complexes only Cu2+, Co2+, Zn2+ and Cd2+ ions in acetonitrile/water solution, with concomitant pronounced changes in the fluorescence spectra. This phenomenon can be explained by a higher electron density on the naphthalene ring of the dansyl groups after deprotonation/complexation. For the metal ions, 20a was found to form stronger complex than 20b, indicating a co-operative effect of the three arms of the tripodal ligand. The complexation is controlled by pH: at neutral pH ligand 20a shows a remarkable selectivity toward Cu2+ ions, suggesting a possible use of it as a luminescence chemosensor for these ions.

Tripodal fluoroionophore, dual-fluorescent, 21 has been obtained by incorporating DMABSA (p-(N,N-dimethylamino)benzenesulfonamide) into tren (tris(2-aminoethyl)amine) [35]. The tripodal arrangement of the ligand shows a higher binding affinity for Zn2+ than for Cu2+. The large increase of the short wavelength emission and the disappearance of the TICT (twisted intramolecular charge transfer) emission, upon Zn2+ complexation, allows measurement of the Zn2+ concentration from the relative fluorescence intensity at two wavelengths.

2.3. Actinides and Lanthanides
The use of a molecular platform to position ligating sites for actinide/lanthanide complexation has first been reported by Böhmer et al. [36]. Their approach is based on the fact that three CMPOs (carbamoylmethylphosphine oxide) are involved in the extraction of actinides/lanthanides. The attachment to molecular platforms as calixarenes [36-40] and cavitands [41, 42] led to high extraction efficiencies and selectivities. In most cases these platforms contain four ligating sites. However, only three CMPO moieties are necessary for the coordination of a metal ion. There is an example of a tripodal platform, viz. a trityl skeleton, with CMPO moieties, for actinide and/or lanthanide complexation [43, 44]. Other recent examples are C3-symmetric tris-CMP(O) (carbamoylmethylphosphonate (CMP) or -phosphine oxide (CMPO)) ligands 22a and 22b [11]. ISE data demonstrated that CMPO tripodand 22a has a higher affinity for actinides (UO22+, Am3+) and Eu3+ than CMP tripodand 22b, that has a very high complex formation constant for Eu3+ (log βML = 28.3). The distribution coefficients were considerably enhanced upon addition of bromo-COSAN as a synergistic agent.

The tripodal ligand 23 exhibits fluorescence enhancement in the presence of cerium ions in dry THF using photo-induced electron transfer (PET)-based fluorescent sensors [45]. However, no fluorescence enhancement has been observed for the lanthanide ions La3+, Pr3+, Nd3+, Sm3+, Eu3+, and Dy3+. Reaction of tripodal ligand tris(2-benzimidazolylmethyl)amine 24 with lanthanides(III) in the presence of the counterions ClO4-, OTf- or Cl- resulted, even for ligand to metal ratios smaller than 2, in the formation of bisligand complexes showing strong π-π interactions between the benzimidazole rings both in solution and in the solid state [46].

The complexation behaviour of 25, bearing three catechol units attached to a tris-methylaminocyclohexane ring, toward H+, La3+, Gd3+ and Lu3+ in an aqueous medium of 0.1 M KCl at 25 ± 1 °C has been studied by potentiometric and spectrophotometric methods [47]. Experimental and theoretical studies of 25 indicate the presence of intramolecular H-bonds, which provide a rigid tripodal framework for complexation. The stability increases with decrease in metal ions size. The pH dependent metal–ligand species show the formation of three different structures: (i) capped, (ii) bicapped, and (iii) encapsulated, in which only catecholic oxygens take part in the complexation, whereas protonated amines form intramolecular hydrogen bonding. It is important to mention that 25 shows a potential to form mononuclear encapsulated complexes at nearly physiological conditions, which is important for use as contrast agent in magnetic resonance imaging.

2.4. Ammonium and other Cations
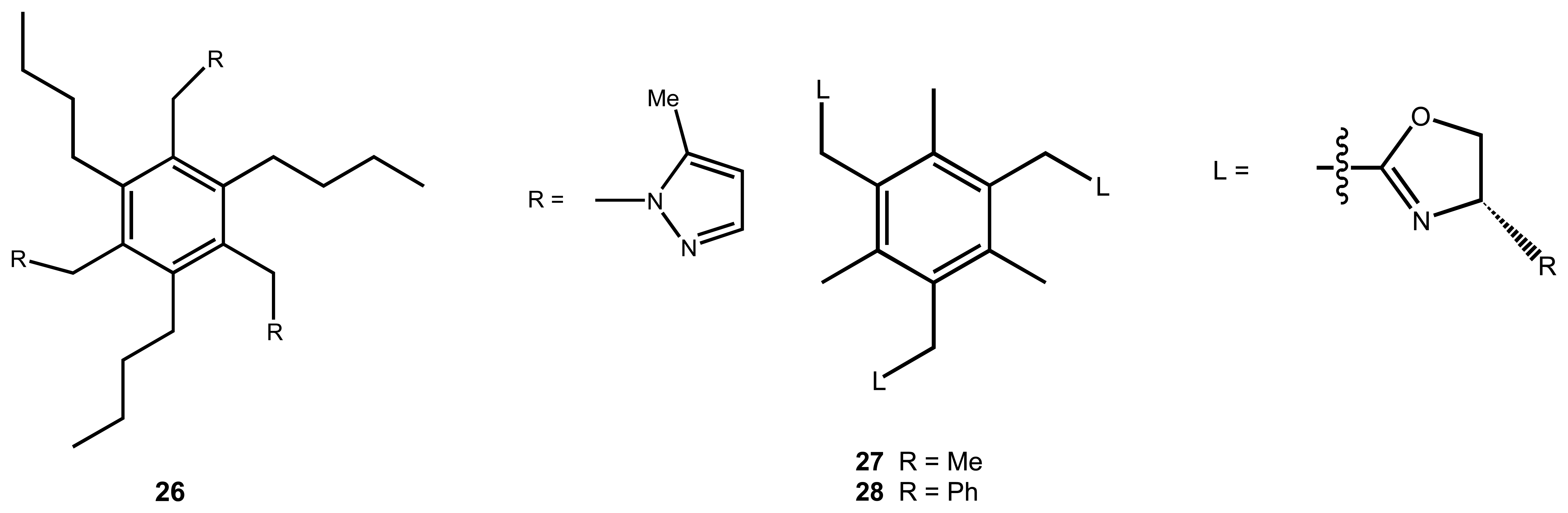
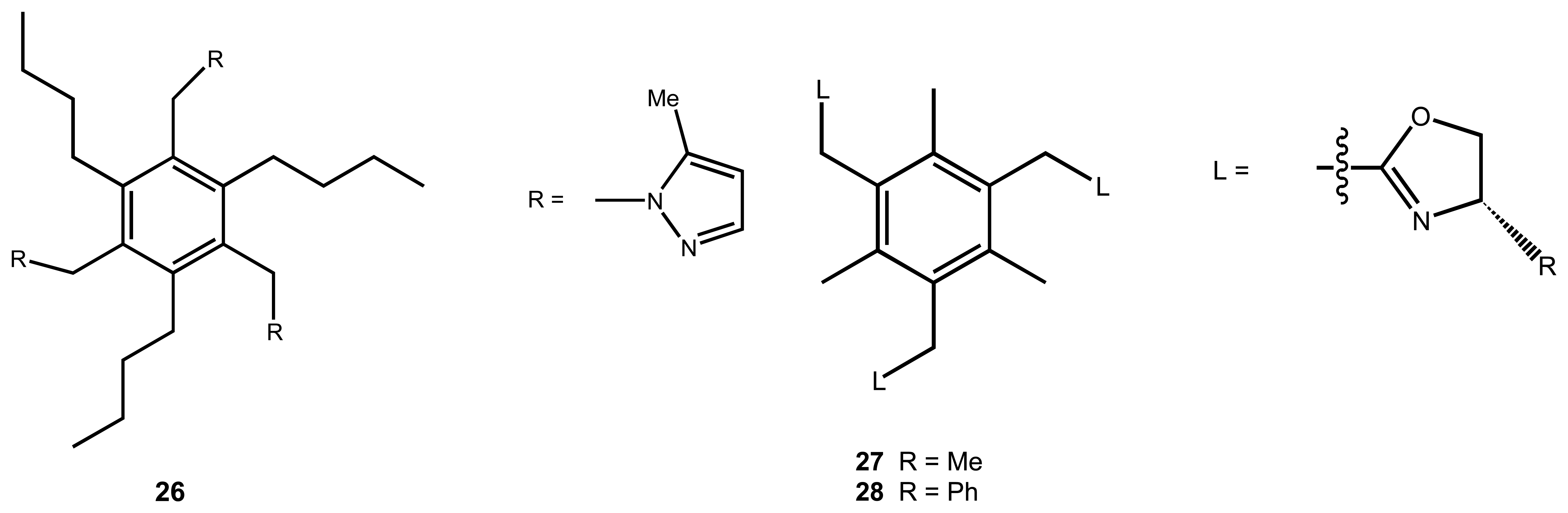
The preorganized tripodal ionophore 26, based on a 6-fold substituted benzene ring, has been synthesised in order to complementarily recognize the tetrahedral NH4+, in contrast to the spherical K+ [48]. Compared to nonactin, a natural product that is used as a representative NH4+ ionophore, the newly developed tripodal ionophore 26, with pyrazole nitrogen atoms as NH4+ binding sites, showed a high NH4+/K+ selectivity but suffered from an increased Ca2+ interference (log KPOTNH4+,K+= -2.1 and log KPOTNH4+,Ca2+ = -1.6).
The benzene-based tripodal oxazolines 27 and 28 are strong and selective receptors toward NH4+ and R-NH3+ ions, respectively [49-56] and fluorescence sensors for these cations ions have been developed [57]. The alaninol-derived oxazoline receptor 27 shows a significant fluorescence enhancement upon binding NH4+, whereas it shows little enhancement upon binding metal cations such as K+, Na+, and Mg2+. The phenylglycinol-derived oxazoline 28 is a promising fluorescence sensing element toward (chiral) organoammonium ions.

Chin et al. [54] observed a remarkable selectivity of NH4+ over K+ (102.6) with the pyrazole receptor 29 (comprised of a trimethylated phenyl ring as a platform with three pyrazole subunits, which Hartshorn and Steel [58, 59] synthesised as a new class of metal-encapsulating ligands. However, the affinity of 29 for NH4+ is smaller than that of nonactin. To exhibit a high selectivity for NH4+, receptors should have an optimal space to capture NH4+ and strong interactions with NH4+. Since the radius of K+ is almost the same as that of NH4+, the spatial differentiation may not be useful. Nevertheless, the receptor should have an optimal space for both cations to have high affinities. The predicted selectivity for NH4+ over K+ (103.4 in CHCl3 solution and 102.4 in the gas phase) for receptor 29 was in reasonable agreement with the experimental value (102.6 in CHCl3 solution) [60]. The origin of this selectivity and affinity can be explained using the concepts of hydrogen bond [50, 61] and cation-π interactions [62-64]. In particular, the strong electron-withdrawing affinity of the pyrazole subunits is responsible for both the selectivity and the affinity and the cation-π interaction, for the affinity. Since NH4+ and K+ favour the coordination numbers of 4 and 6 [65], respectively, the optimally solvated NH4+ is more energetically favoured in the presence of this type of receptors than the under-solvated K+, as suggested by Chin et al. [54]. The imidazoline receptors 30 and 31 are potential receptors for NH4+ with a ∼102 higher selectivity and a ∼104 greater affinity than the pyrazole receptor 29 [49].
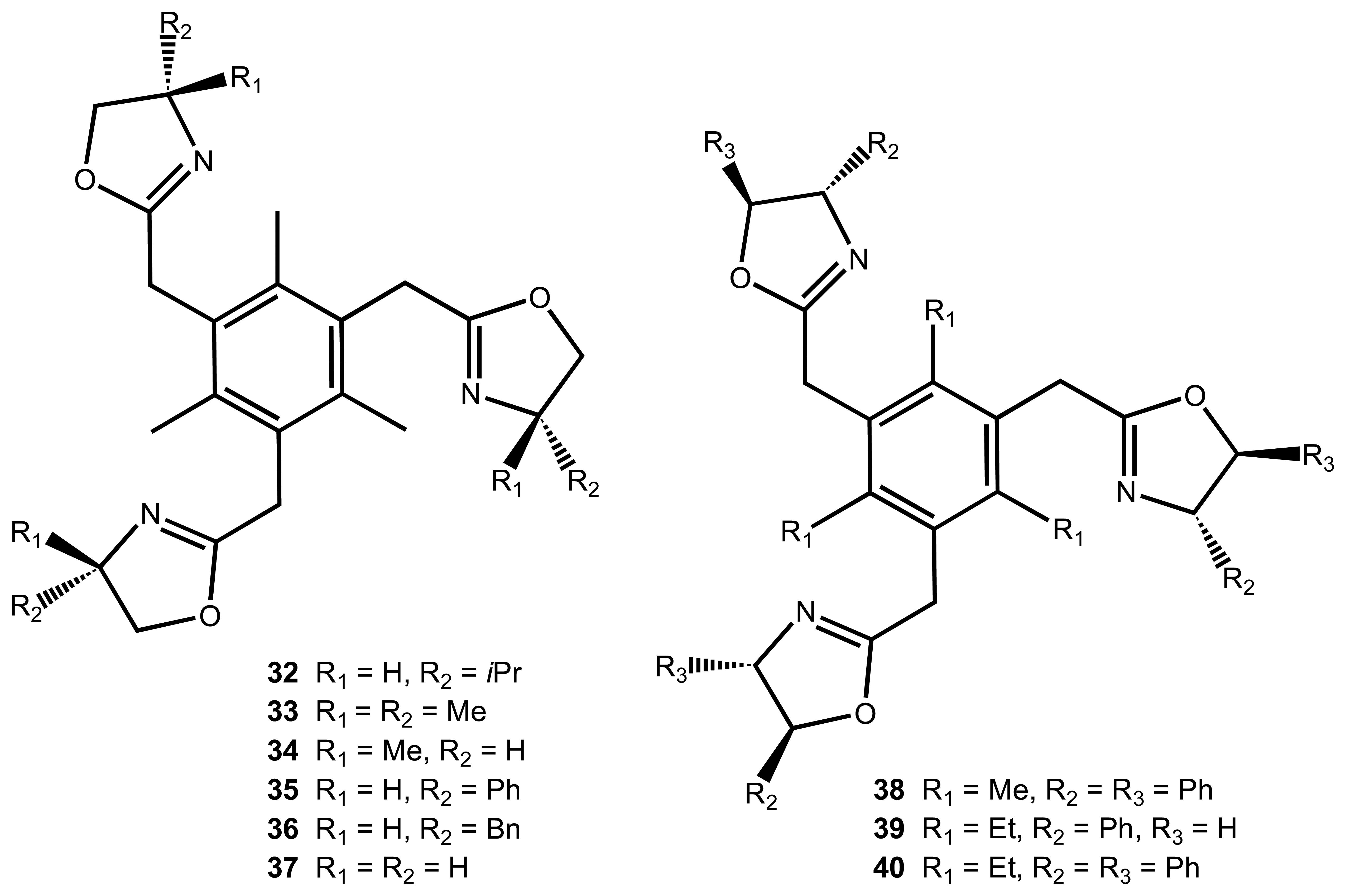
The benzene-based tripodal tris(oxazolines) 32-40 have been developed as selective and strong receptors toward linear alkylammonium ions [50]. Among the six 2,4,6-trimethylbenzene-based tris(oxazolines) 32-37, the phenylglycol-derived receptor 36 exhibits the largest association constant toward n-BuNH3+ (log Kass = 6.65±0.02) than toward t-BuNH3+ (log Kass = 3.80±0.02). Receptor 37, that has bare oxazoline rings exhibits still a large association constant toward the sterically hindered t-BuNH3+ (log Kass = 5.26±0.02). When the benzene frame is changed from 2,4,6-trimethylbenzene to 2,4,6-triethylbenzene, dramatic changes in the affinity as well as in the selectivity have been observed. The association constant of 39 toward n-BuNH3+ approaches 108 M-1 and the selectivity ratio of n-BuNH3+/ t-BuNH3+ increases to 2700. In the case of receptor 40, the selectivity is even more enhanced to 4000. The enhanced binding affinity and selectivity observed with receptor 39 and related derivatives 38-40 compared with other ones (32-37) can be explained by an optimised steric and electronic environment provided by the phenyl substituents, which has been demonstrated by X-ray crystallography and 1H NMR spectroscopy [50].


The cation binding abilities of triaryloxy-2,4,6-triethylbenzenes 41-47 are strongly dependent on the substituents introduced on the aryloxy moieties [66]. The receptors with electron-donating alkoxy groups (44-47) provide a similar potentiometric performance, especially the NH+ ion selectivities over Na+ and K+ ions, as that of nonactin in PVC-based, ion-selective membrane electrodes. This may imply that the cation size-selective binding sites formed by the oxygen atoms in the receptors have a certain limitation in discriminating alkali metal cations over ammonium ion. The electron-donating nature of the alkoxy substituents increases the electron density of the aryloxy rings, resulting in enhanced cation-π interactions.
3. Anion Recognition
Currently, molecular recognition of anions by synthetic receptors is an expanding field of research [4, 5, 15, 67]. Typically, synthetic anions receptors consist of various combinations of macrocyclic polyammonium/guanidiniums [53], pyrrols [68], Lewis acids [69], calix[n]arenes [70, 71], amides [72, 73], and urea/thiourea moieties [74]. For the design of a selective anion receptor the geometry and the basicity of the anion and the nature of the solvent have to be considered. The main features for the design of tripodal anion receptors are: (i) There is a sufficient number of positively charged or neutral electron-deficient groups in the ligand to serve as interaction sites. (ii) Receptors with a flexible tripodal structure have a strong affinity for trigonal oxoanions, such as carbonate, phosphate and chlorate, because the geometry and the orientation of the host molecules favour the formation of a stable host-guest complex [72]. (iii) The classical complexation mechanism can also be applied. Here, the interactions occur based on non-covalent interactions. The non-covalent interactions include electrostatic interactions, hydrogen bonding, hydrophobicity, coordination to a metal ion, and a combination of these interactions. On the other hand, for the anions itselves, the size, shape, H-bonding capability, acid/base properties and the number of interaction sites should also be considered. Fig. 3 shows different types of tripodal receptor interaction modes toward anions. The receptors that have been used in anion recognition and sensing are summarised in Table 2.
Figure 3.
Different types of the interaction of tripodal receptors with anions: directly using non-covalent interaction, viz. hydrogen bonds or hydrophobic effect (a) or indicator displacement (b) or electrostatic interaction with metal complex (c).
Table 2.
Receptors used for anion recognition and sensing.
3.1. Halide Anions
The first redox-active class of anion receptors based on the cobaltocenium moiety has been reported by Beer and Keefe in 1989 [75]. Cyclic voltammetric experiments demonstrated that receptor 48 [76] could electrochemically sense anions. The complexed anionic guest effectively stabilizes the positively charged cobalt centre making it more difficult to reduce. Complexation of chloride ions by receptor 48 induced a cathodic shift of 30 mV. Sato and co-workers [16] have synthesised tripodal receptor 49 containing three imidazolium groups that coordinate anions via a combination of hydrogen bonding and electrostatic interactions (Figure 4). Tripodal receptor 49 is more preorganised for halide coordination than the model compounds 50 or 51 giving rise to larger stability constants in acetonitrile-d3. These results concur with those of Anslyn and co-workers [15, 77, 78], who have studied a number of similarly preorganised tripodal anion receptors containing different anion coordinating moieties.
Figure 4.
Tripodal receptor 49 coordinates anions via a combination of hydrogen bonding and electrostatic interactions.
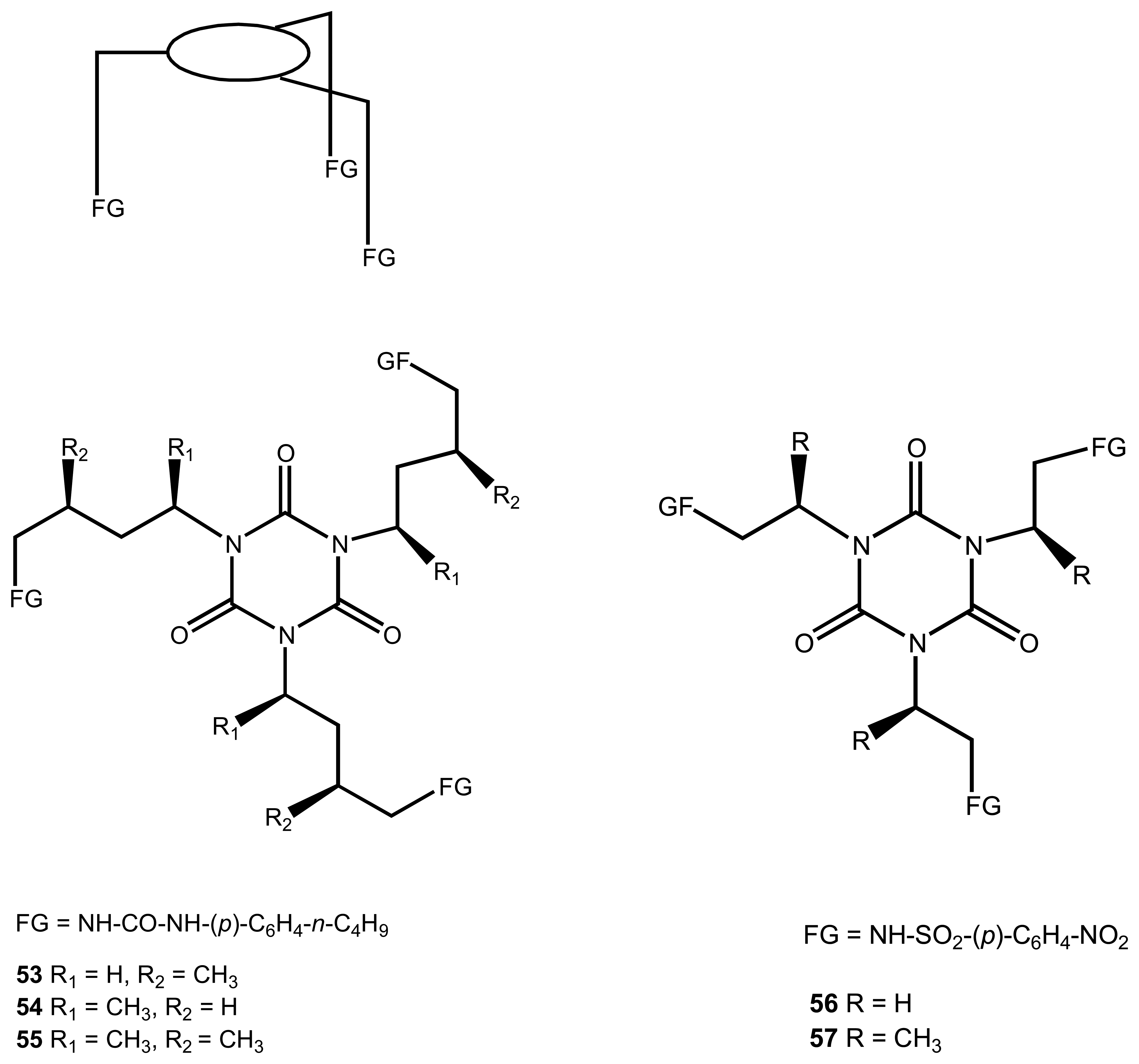
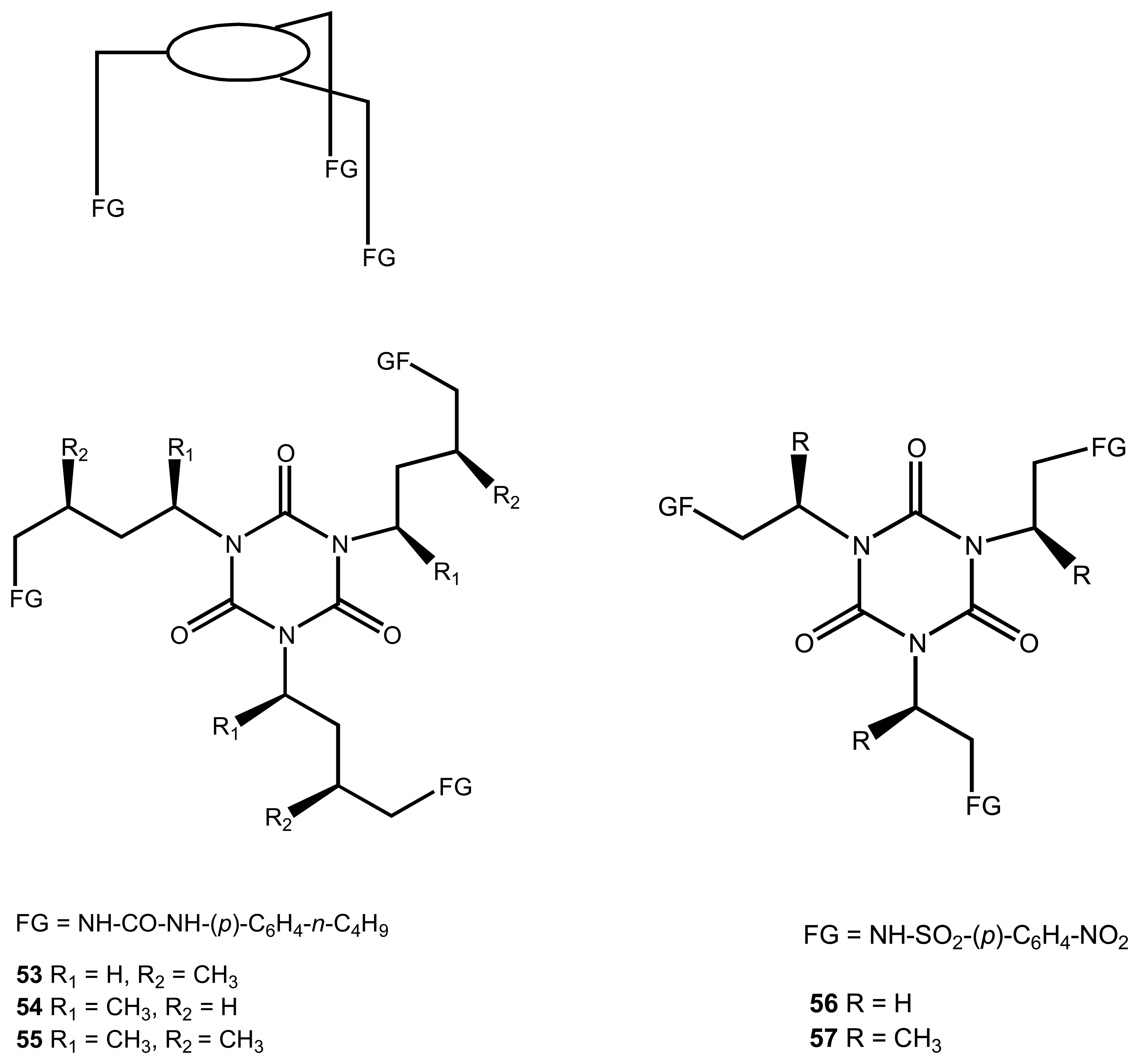
Beer and co-workers [79] have reported that the tren-based receptor 52, that has an amide containing anion-binding cavity linked to three cation binding benzo-15-crown-5 groups, efficiently extracts sodium pertechnetate from simulated aqueous nuclear waste streams. In the absence of co-bound cations, the anion binding affinity of the receptor was considerably reduced. In this case the pertechnetate anions are presumably bound by both hydrogen bonding and electrostatic interactions. Tripodal hosts of the general type 53a, bearing urea functions, complex anions such as chloride [4, 80-83]. The tripodals 53–58 have a different level of conformational preorganisation [84, 85]. Host 57 binds chloride with K≈150 000 M−1 in CHCl3 and shows a chloride/nitrate selectivity of 102. As guests, the spherically symmetrical anions such as Cl− and Br−, do not require any special coordination geometry. Increasing levels of conformational preorganisation of the side arms of the hosts led to increased (Cl−), unaltered (Br−) or decreased (NO3−) binding. It was possible to change guest selectivities by about an order of magnitude through conformational preorganisation of the flexible host.


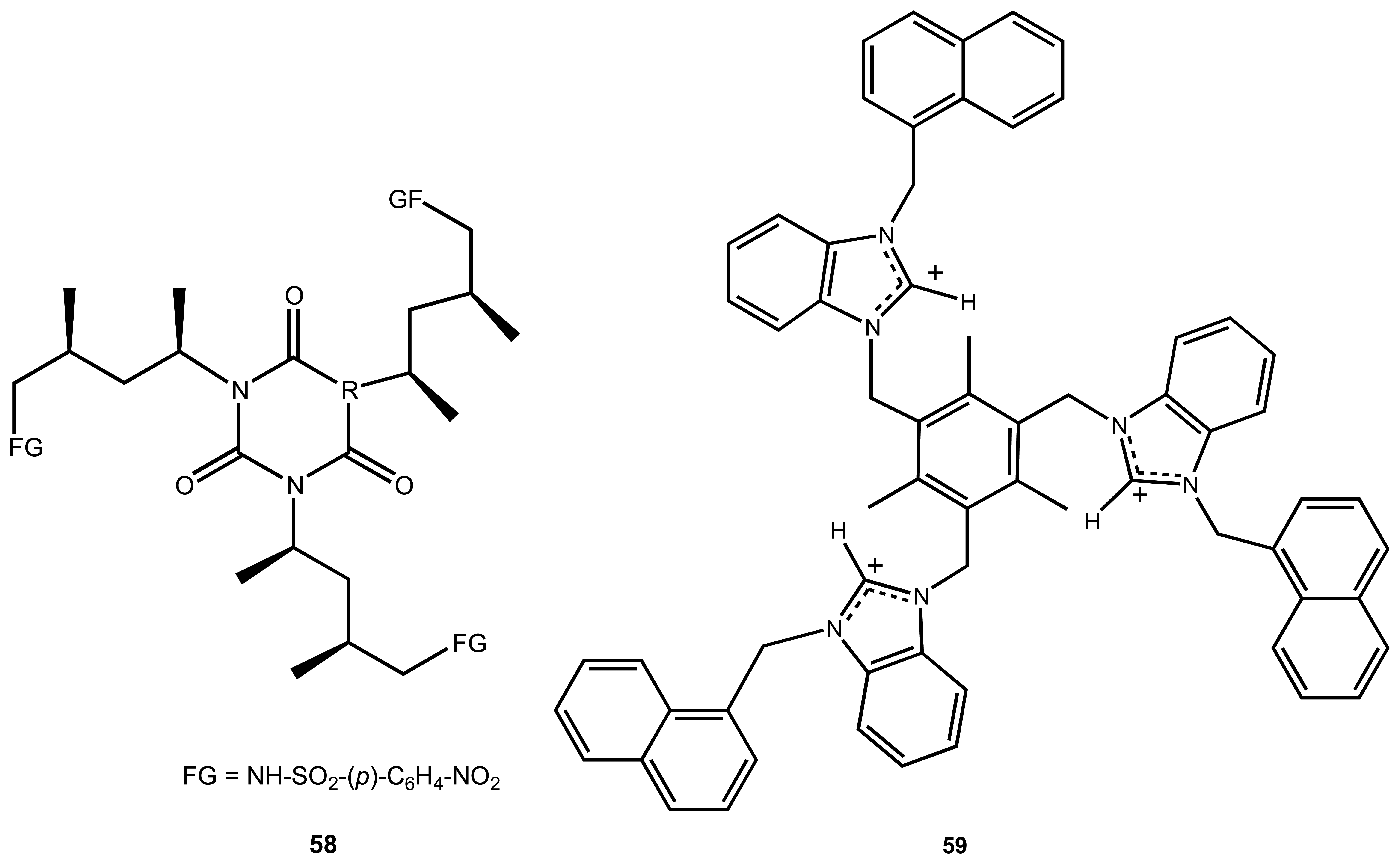
An “off–on” signalling chemical sensor 59 for halide anions by incorporating a naphthalene ring into the preorganised benzene-based tripodal receptor with arms comprising benzoimidazolium hydrogen bonding moieties was developed [86]. This new type of hydrogen binding between a halide anion and the benzoimidazolium is very intriguing in comparison with many other types of hydrogen bonding [66, 87]. The host falls into the category of the fluorophore–spacer–receptor model and could act as a simple PET sensor. The presence of more than one naphthyl group allows the excited naphthyl unit to associate with the ground state of a second fluorophore to produce an intramolecular excimer through the anion-bonding induced conformational changes (Scheme 1) [86]. In the presence of a specific anion conformational template, the hydrogen bonds between the arms and the anion induce the tripodal receptor 59 to display a cone conformation with all three positively charged arms oriented in the same direction (in) bringing the three naphthalene lumophores into close proximity with one another, leading to excimer fluorescence (“on” state). In the absence of the template anion, the electrostatic interactions between the benzoimidazolium groups of 59 destabilise the cone conformation of the podand and lead to the spread out conformation (out), in which the three naphthyl lumophores are separated from each other and no excimer fluorescence will be observed (“off” state). This receptor is promising for the development of a luminescence sensor for chloride ions.
Scheme 1.

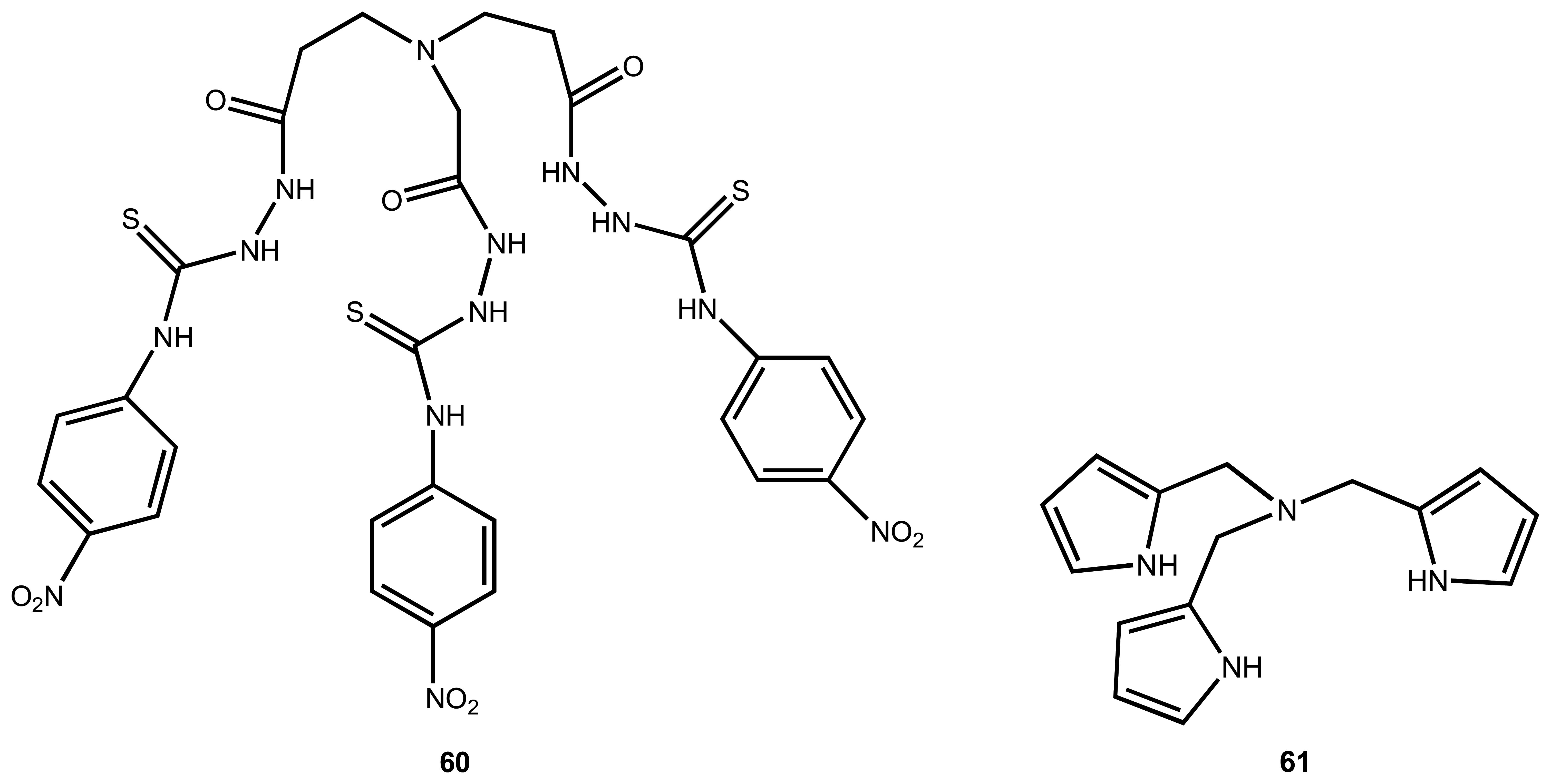
The tripodal colourimetric anion sensor 60 shows a good selective recognition ability and colour change for F- by multiple hydrogen-bonding interactions, with an obvious change in the absorption spectra, while it shows no recognition ability for Cl-, Br- or I- [13]. The association constants for these anions follow the order: F-≫ AcO- ≫ Cl-, Br-, I-. Since the complexation of F- by receptor 60 induces a visible colour change, it is promising as a component in optode membranes for colourimetric detection of fluoride ions.
Receptor 61 displays a binding preference to F− ions in comparison with other anions tested [88]. In addition it binds Cl- ions and H2PO4- in an effective C3-symmetry cone-like topology exclusively by hydrogen bonds as characterised by X-ray crystallography. Protonated 61 SO42- ions by both hydrogen bonds and electrostatic interactions in the solid state. Therefore this tripodal receptor is promising for the development of a sensor for F− ions using ISEs.

3.2. Phosphates
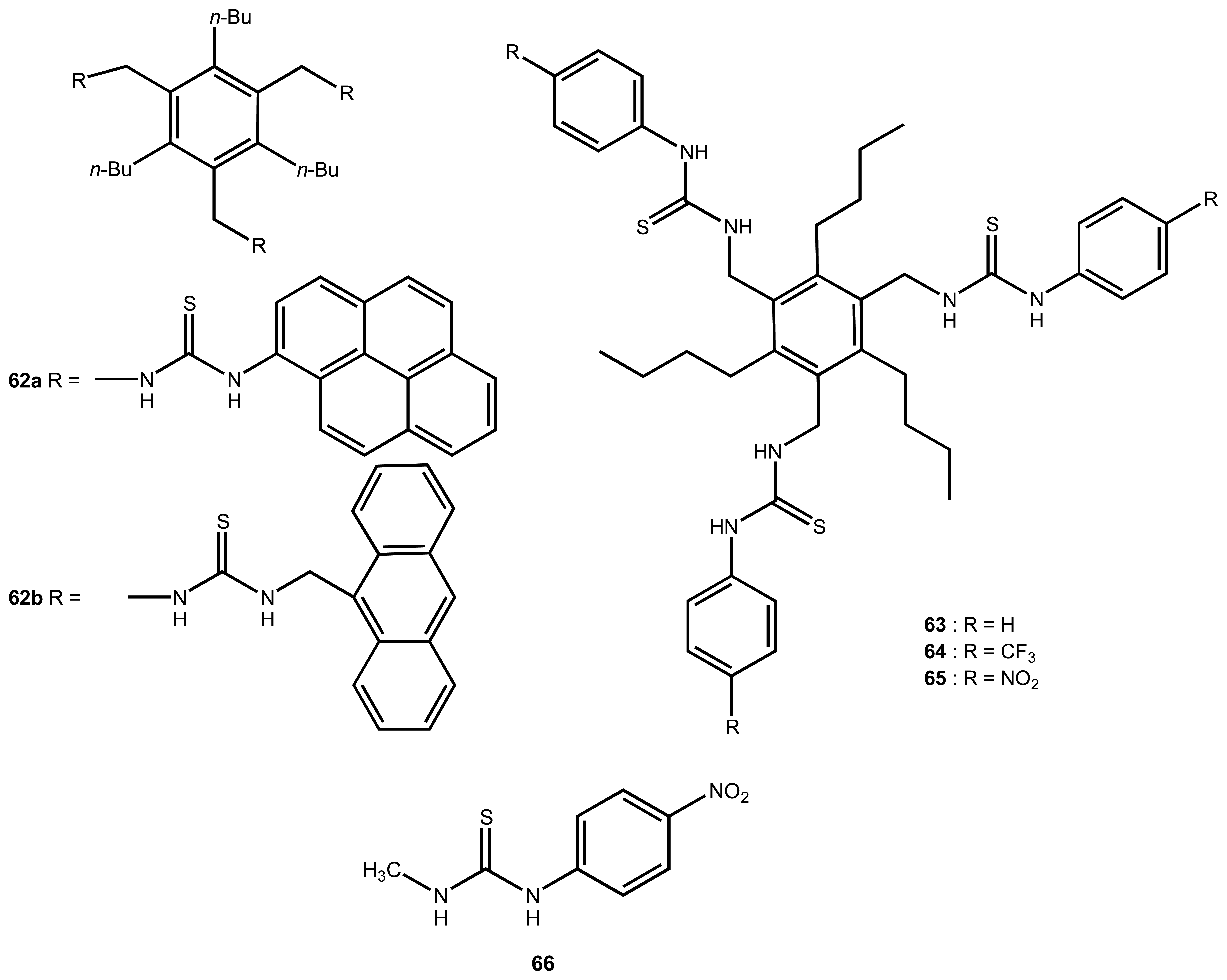
Urea and thiourea are particularly good hydrogen bond donors and are excellent receptors for anions such as phosphate via the formation of two hydrogen bonds. So far, the relatively strong hydrogen bonding of urea or thiourea groups has been widely used in the design and synthesis of neutral anion receptors [89, 90, 93], and successfully applied to anion sensing in chromoreceptors in solution or in ionophores for ISEs [91]. The thiourea derivatives 62a and 62b, with a trisubstituted benzene ring, have been synthesised by Sasaki et al. [92]. Receptor 62a shows a typical anthracene emission band centered at 415 nm (acetonitrile solutions and λexc = 366 nm). This fluorescence emission band was slightly affected by addition of Cl- and AcO- anions, but quenched upon addition of H2PO4- (200 equivalents). Acetonitrile solutions of receptor 62b show two emission bands, one at 400 nm and ascribed to the anthracene monomer emission and another very broad band at 500 nm ascribed to the intramolecular interaction of the anthracene rings. No spectral change occurred upon addition of an excess of ClO4- anion. With Cl-, AcO-, and H2PO4-, an enhancement in fluorescence emission at 500 nm was observed in the order H2PO4- > AcO- > Cl-. The preorganisation effect of the tripodal receptor 62b appears to increase the selectivity toward the tetrahedral H2PO4- anion rather than to the planar AcO- anion. These receptors are expected to be useful, for example, as a component of optode membranes for the detection of the biologically important phosphate anion.
The compounds 63-65, having different substituents adjacent to the thiourea binding sites have been designed as chromoreceptors for phosphate selective ionophores in ISEs [10]. The tripodal ionophore 65 having p-nitrophenyl groups show spectral changes in the order of H2PO4- > CH3COO- in CH3CN, which is different from that of the reference compound 66 (CH3COO- > H2PO4-) having only one binding site. It is demonstrated that the characteristics of these tripodals are promising as components of optode membranes. The combination of the preorganization effect and the additional substitutents to enhance the acidity of the binding sites is important for H2PO4- sensing. The electrodes based on these neutral ionophores exhibited an anti-Hofmeister selectivity pattern with enhanced selectivity toward phosphate anions.

Wu and co-workers [99] have studied the anion coordination and fluorescence properties of the naphthylurea group containing tripodal hosts 67a and 67b. Fluorescent chemosensor 67a shows obvious changes in its fluorescence spectrum upon addition of different anions with a selectivity for H2PO4− as followed from fluorometric titration experiments. Changes in the fluorescence spectra, which strongly depend on the interaction of hydrogen-containing oxoanions with the receptor, can be interpreted in terms of anion-induced reduction of the efficiency of photoinduced electron transfer (PET).
5-Carboxyfluorescein (68) is a commercially available fluorescent probe containing two carboxylate groups. Its fluorescence is particularly sensitive to pH changes. The two carboxylate groups present in 68 coordinate to naphthylurea-containing tripodal receptor 69 forming a complex. Upon complexation, the pKa of the phenol moiety in 68 is lowered due to the positively charged microenvironment. Anslyn and co-workers [53] studied the chemosensor ensembles 69 and 70 for the quantitative inositol-triphosphate (IP3) detection in water buffered at pH 7.4 [53] using a competitive assay method. Addition of 69 or 70 to 68 resulted in a red shift (12 nm, from 490 to 502 nm) of the absorption band of the fluorescein derivative. Addition of IP3 as well as other anionic guests (such as benzene-1,3,5-triphosphate, phytic acid, ATP, fructose-1,6-diphosphate, etc.) to a buffered solution of 69 or 70 and 68 resulted in a displacement of the fluorescein derivative and a subsequent blue shift of the absorption maximum. To enhance the affinity of receptor 69 for IP3, additional studies were carried out in methanol. In this solvent, 5-carboxyfluorescein 68 is colourless and non-fluorescent. Upon addition of 69, the yellow colour of 68 and its fluorescence reappeared, because the positive character of the receptor induced a ring opening giving the coloured/fluorescent form of the indicator. Addition of IP3 to a mixture of 69 and 68 in methanol resulted in a decrease of the fluorescence and the absorbance due to coordination of 69 with IP3 and subsequent release of 68.

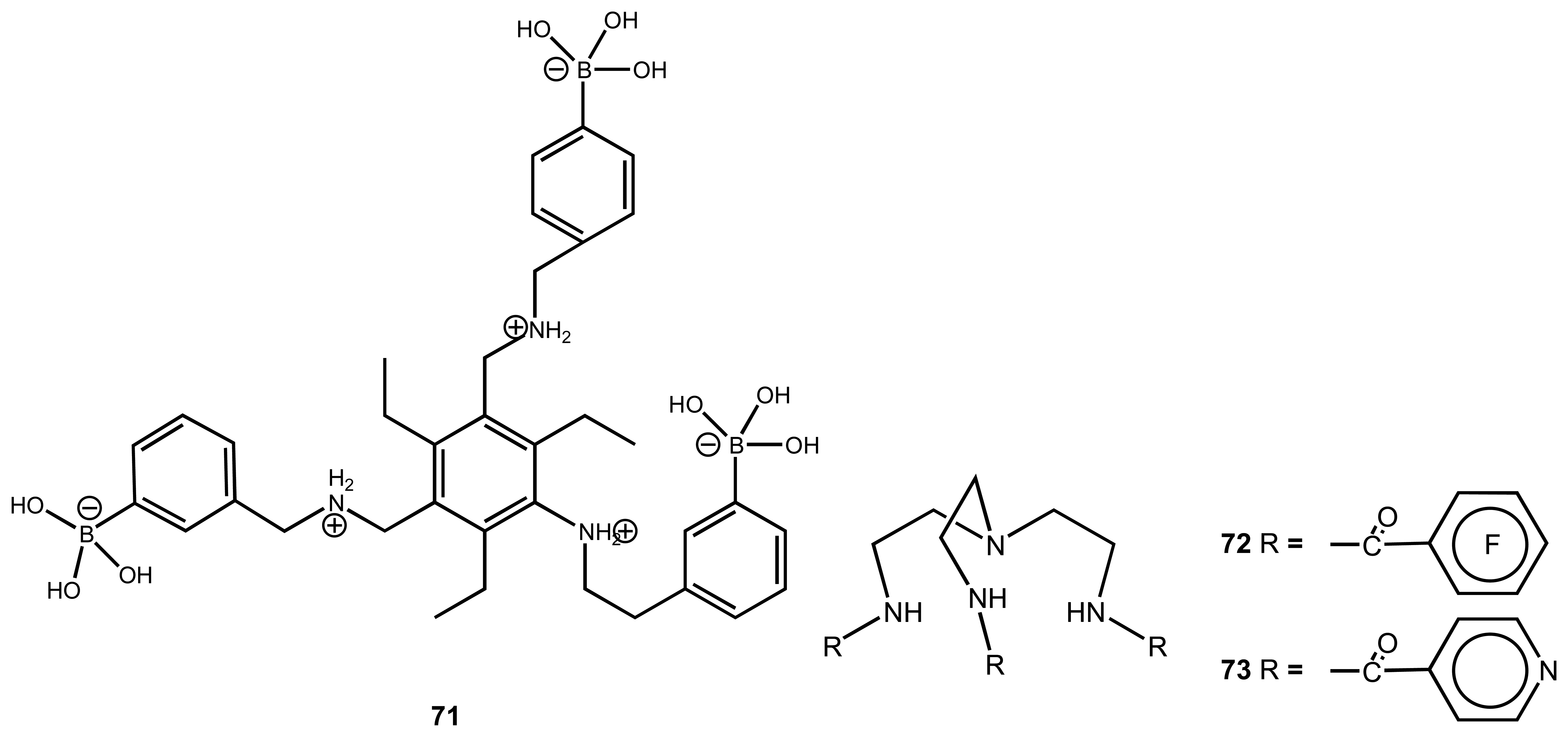
The Anslyn group has developed tris-boronic acid receptor 71 that can function as a displacement assay (with 5-carboxyfluorescein 68) for determining glucose-6-phosphate concentrations in water-methanol mixtures (70:30 v/v) buffered at pH 7.4 [78]. Addition of 71 to solutions of 68 resulted in an increase in the absorbance intensity at 494 nm. Subsequent addition of glucose-6-phosphate decreased the absorbance intensity at 494 nm due to a displacement in the 68-receptor equilibrium, until the absorbance spectrum approached the absorbance spectrum of free 68. This allows receptor 71 to discriminate between glucose-6-phosphate and glucose or phosphate buffers, since in the later cases no changes were observed in the absorbance spectra.

Tripodal tren-based receptors containing amide bonds are effective anion binding agents [76, 95, 96]. Stibor et al. [97] have reported the tren-based receptors 72 and 73 containing electron-withdrawing fluorine substituents or pyridine rings, respectively, that serve to activate the amide bond. The anion complexation behaviour of receptors 72 and 73 has been investigated by 1H-NMR titration experiments in a variety of solvents to give 1:1 receptor:anion complexes in all cases. Receptor 72 is selective for H2PO4− over other putative anionic guest species (Cl−, Br−, I−, HSO4−, and NO3−) in all solvents studied. For example, in acetonitrile-d3 a K-value of 7550 (±310) M−1 was obtained for H2PO4− compared to 1350 (±135) M−1 for Cl−, the next most strongly bound anion. In contrast receptor 73 is selective for HSO4− over H2PO4−, with K-values of 5120 (±740) M−1 and 154 (±16) M−1, respectively, in chloroform-d.
Thiourea-containing tripodal receptor 74 has been used as a neutral host for the complexation of anions, particularly for H2PO4- [98]. The anion binding occurs through hydrogen bonding as revealed by 1H-NMR spectroscopy. The recognition can also easily be monitored by anion-complexation induced changes in the absorption spectra. The host molecule used as the optical chemosensor includes an optical response portion and a guest binding receptor site. Upon complexation of an anionic species in the receptor portion, the chromogenic portion gives a spectral response. Similarly, urea-containing tripodal receptor 75 has been designed for the recognition of anions (H2PO4-) by complexation-enhanced fluorescence changes in N,N-dimethyl formamide (DMF) solution [99]. In 75, the tertiary amine is a strong donor due to its lone pair and it quenches the fluorescence of the naphthalene through a photoelectron transfer process. The 75H+---HPO42- complex is formed by means of a proton transfer from H2PO4- to the tertiary amine of 75. This process reduces the electron donor character of the amine resulting in an enhancement of the fluorescence emission intensity.

Tripodal pyrrole receptor 61 displays a binding preference to H2PO4− as well as F- ions in comparison with other anions studied [88]. In addition to H2PO4−, neutral receptor 61 binds F- in a C3-symmetry cone-like topology exclusively by hydrogen bonds. Protonated 61 binds SO42- ion by both hydrogen bonds and electrostatic interaction as found in the solid state.
Redox-active ferrocene moieties with secondary amides have also been exploited in the electrochemical sensing of anions, both in organic and aqueous media [99-102]. Since ferrocene-containing receptor 76 is neutral, it has no inherent electrostatic attraction for anions, which makes the stability constants, as determined by 1H-NMR spectroscopy, smaller than those of the analogous cobaltocenium systems [101]. Electrostatic interaction can, however, be switched on by oxidation of the ferrocene group to the ferrocenium ion, and consequently these molecules exhibit interesting electrochemical anion-recognition effects. Receptor 76 was capable to detect H2PO4- ions in acetonitrile as shown by large cathodic shifts of up to 240 mV in the presence of a tenfold excess of HSO4- and Cl- ions.

The C3v Cu(II) receptors 77 and 78 have a high affinity and selectivity for PO43- in aqueous media at neutral pH (7.4) [103]. Receptor 77 consists of a tris(2-ethylamino)amine unit with appended benzylamine groups, while receptor 78 has a tris-[(2-pyridyl)methyl]amine subunit functionalised with appended guanidium groups. A stoichiometric amount of copper(II) chloride preorganises the ligands to yield the desired receptors, showing a 1:1 binding stoichiometry for both 77 and 78 (Scheme 2). The selectivity for phosphate was ascribed to the excellent shape, size, and charge complimentary of the cavities to the anion, where arsenate was the only other anion found to have a significant affinity. The high affinities for PO43- to both 77 (Ka = 2.4 x 104 M-1) and 78 (Ka = 1.5 x 104 M-1) are attributed to the combined ion pairing interaction of the ammonium/guanidiniums and the Cu(II) centre with the oxygens of the tetrahedral anion. The inherent flexibility of 77 compared to that of 78 decreases its selectivity for phosphate. In contrast, the rigity of 78 leads to a decrease in affinity for phosphate, while increasing its selectivity. An indicator-displacement assay comprised of Cu-host 78 and 5-(6)-carboxyfluorescein has been used as an effective chemosensor for inorganic phosphate in complex biological fluids [104]. The dye-displacement assay was used to generate a calibration curve for phosphate using UV/vis spectroscopy. Since the concentration of PO43- in both serum and saliva is high, a more sensitive technique (e.g. fluorescence) is not necessary. The results of the assay are comparable with those of clinically approved methods of phosphate determination. The success of using a synthetic receptor and an indicator displacement approach for medical application highlights the increasing utility of the receptor systems in truly practical applications.
Scheme 2.
3.3. Sulphates
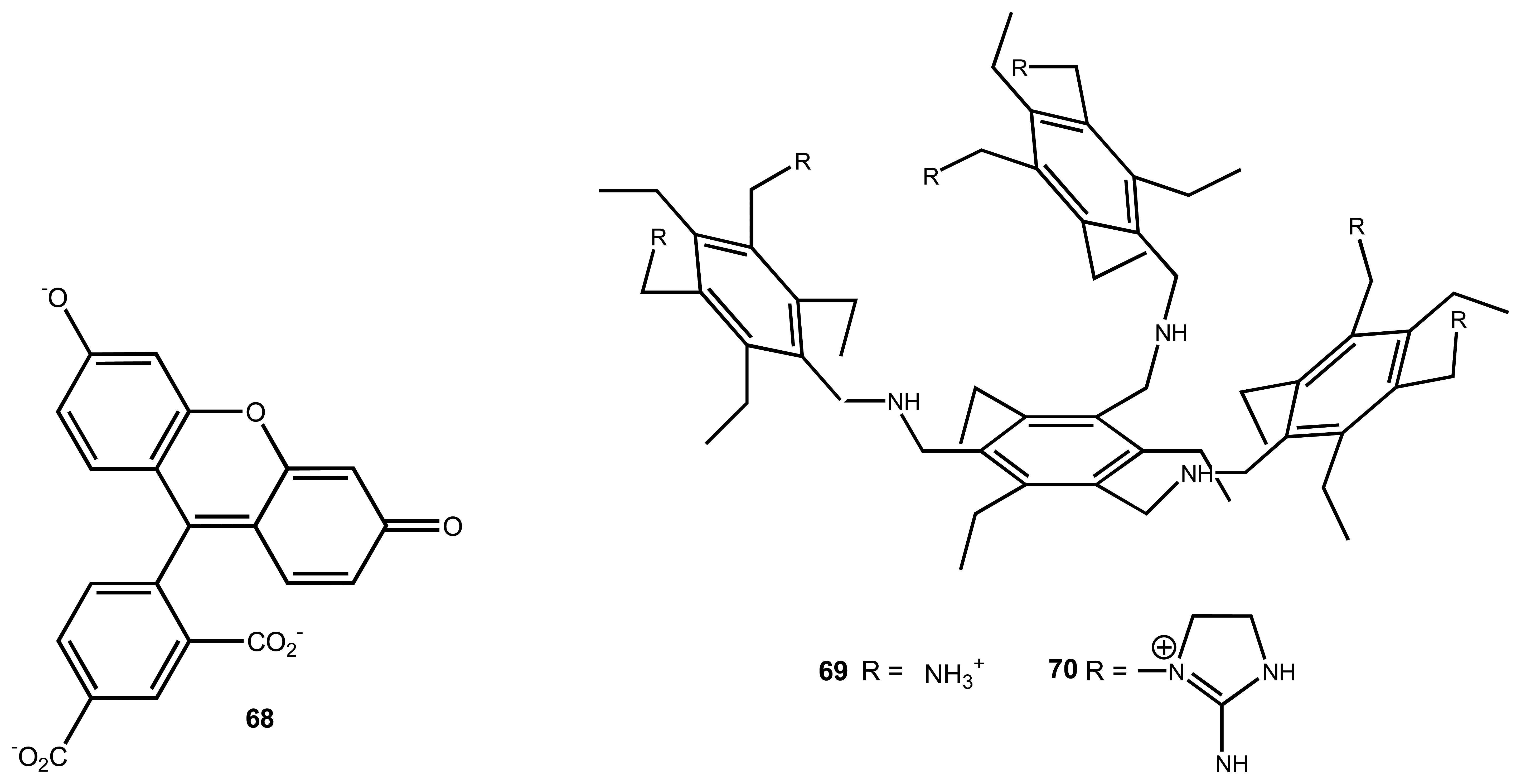
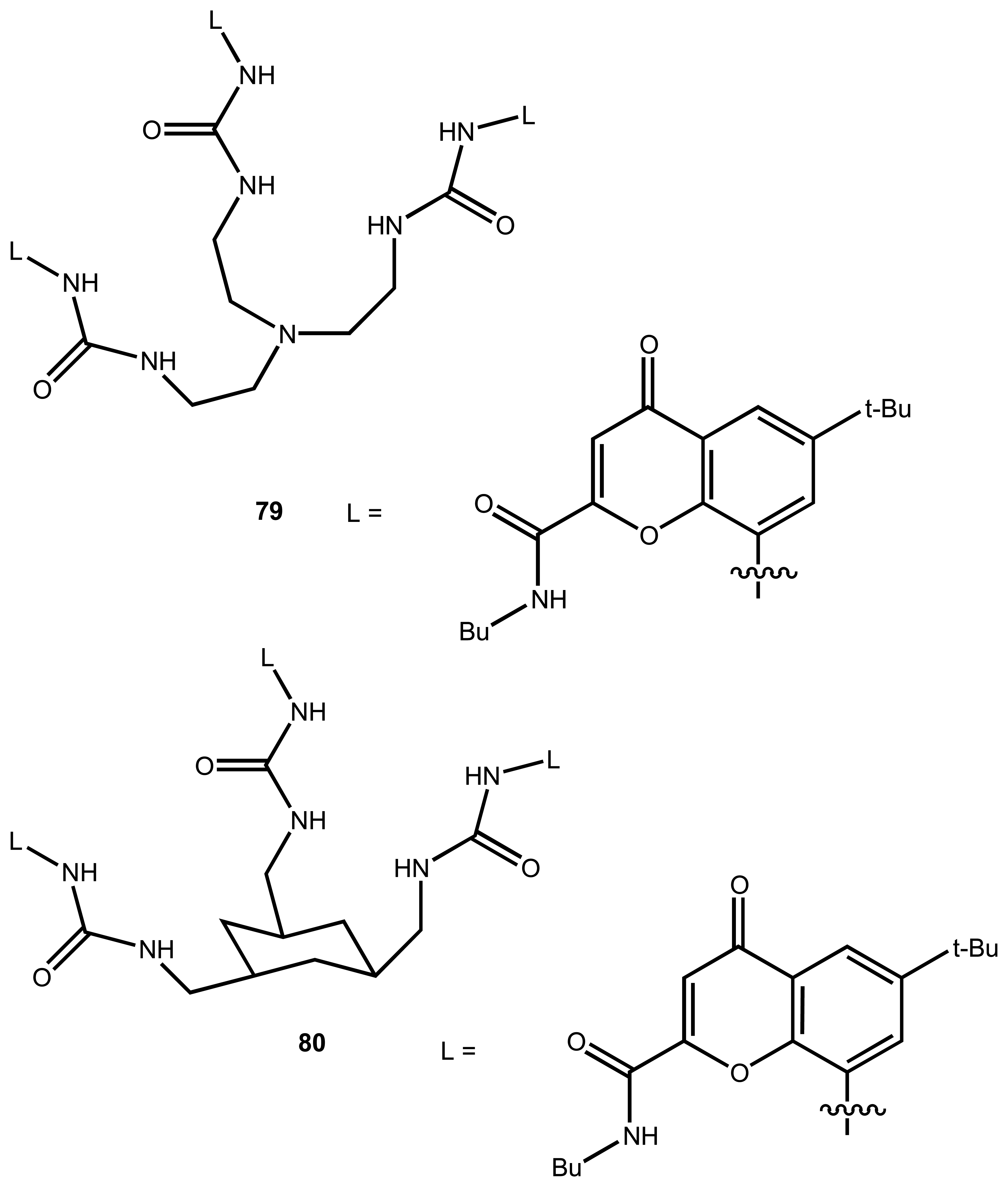
Receptor (host) topology has a profound effect on the behaviour of ion-selective electrodes. This is demonstrated for tripodal receptors 79 and 80 having a tren and a cyclohexane scaffold, respectively, to which aminochromenone moieties are linked through urea spacers giving a preorganised binding cleft [105]. The two receptors differ in their rigidity and in the size of their cavity. Electrodes to which tren-based receptor 79 is incorporated shows anti-Hofmeister behaviour with selectivity for SO42-. In contrast, the cyclohexane-based receptor 80 exhibits a more Hofmeister-like response. Tripodal receptor 79 mimics the way that sulphate-binding proteins recognise SO42- by incorporating a network of hydrogen bond-forming amide functionalities in a three-dimensional arrangement suitable for this tetrahedral anion.
Benzene-based tripodal isothiouronium receptor 81 [106] has been designed for the selective recognition of tetrahedral oxoanions, such as sulphate and phosphate. An isothermal titration calorimetry binding study indicated that the cationic receptor 81 binds SO42- ions preferably in a tripodal mode, while it shows a mixed binding mode toward PO43- ions. Receptor 81 shows a large ΔG0 value toward SO42- ions in methanol, and the complexation is entropy driven. The results demonstrate that a subtle structural constraint can lead to different binding modes of structurally related anions.


3.4. Citrate, Tartrate, and Malate
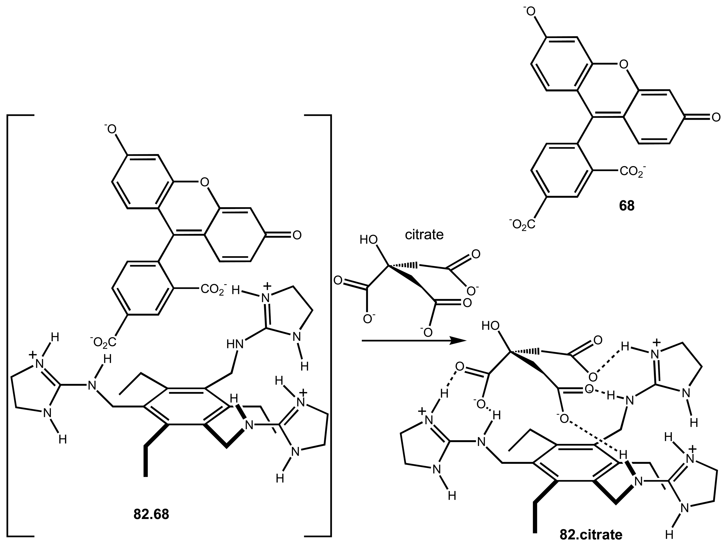
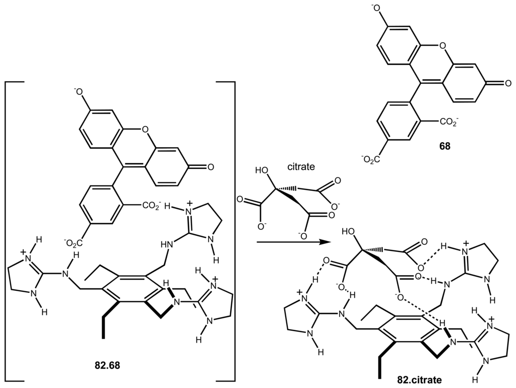
The positively charged guanidinium moiety can, like ureas or thioureas, form two hydrogen bonds to anions such as carboxylate. The combination of hydrogen bonding and electrostatic interactions leads to the formation of strong complexes [107] even in very competitive hydrogen bond accepting and donating solvents such as water. In fact, nature uses guanidinium moieties to coordinate anionic groups. Anslyn and co-workers have published several papers on the recognition of tricarboxylate and triphosphate polyanions by tris-guanidinium receptor species [77, 78]. For example, receptor 82 contains three guanidinium groups and is therefore complementary to guests containing three carboxylate groups [78]. Stability constants determinations revealed that guests containing three anionic moieties, such as citrate, are bound more strongly than those with fewer anionic groups (e.g. acetate). The two carboxylate groups present in 5-carboxyfluorescein 68 coordinate to 82. A citrate ion displaces 68 from the complex and results in a higher protonation state [Scheme 3]. The fluorescence and absorbance of 68 decrease with increasing protonation of 82. These changes could be calibrated against standard citrate solutions to give a quantitative optical citrate sensor.
Scheme 3.
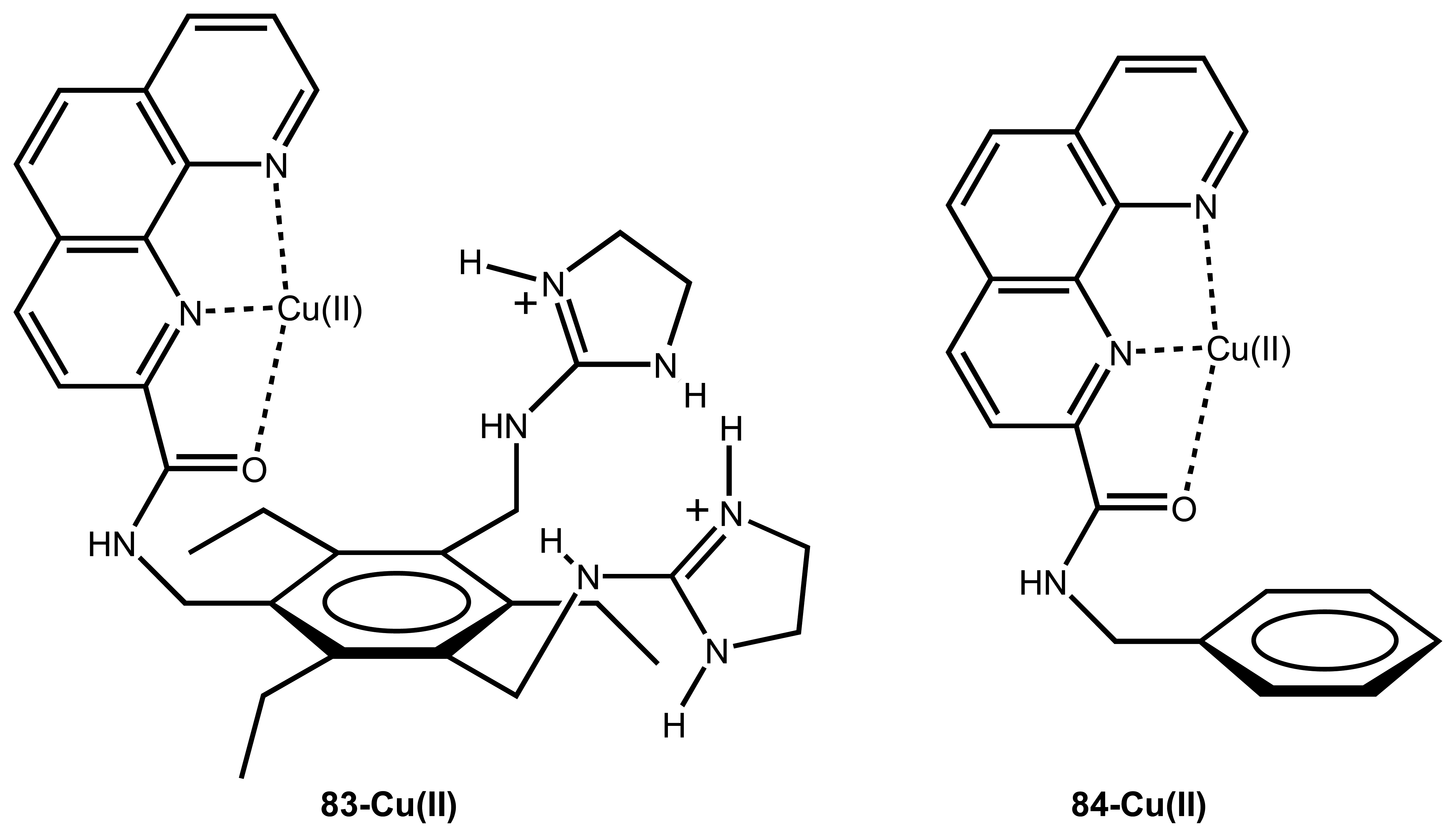
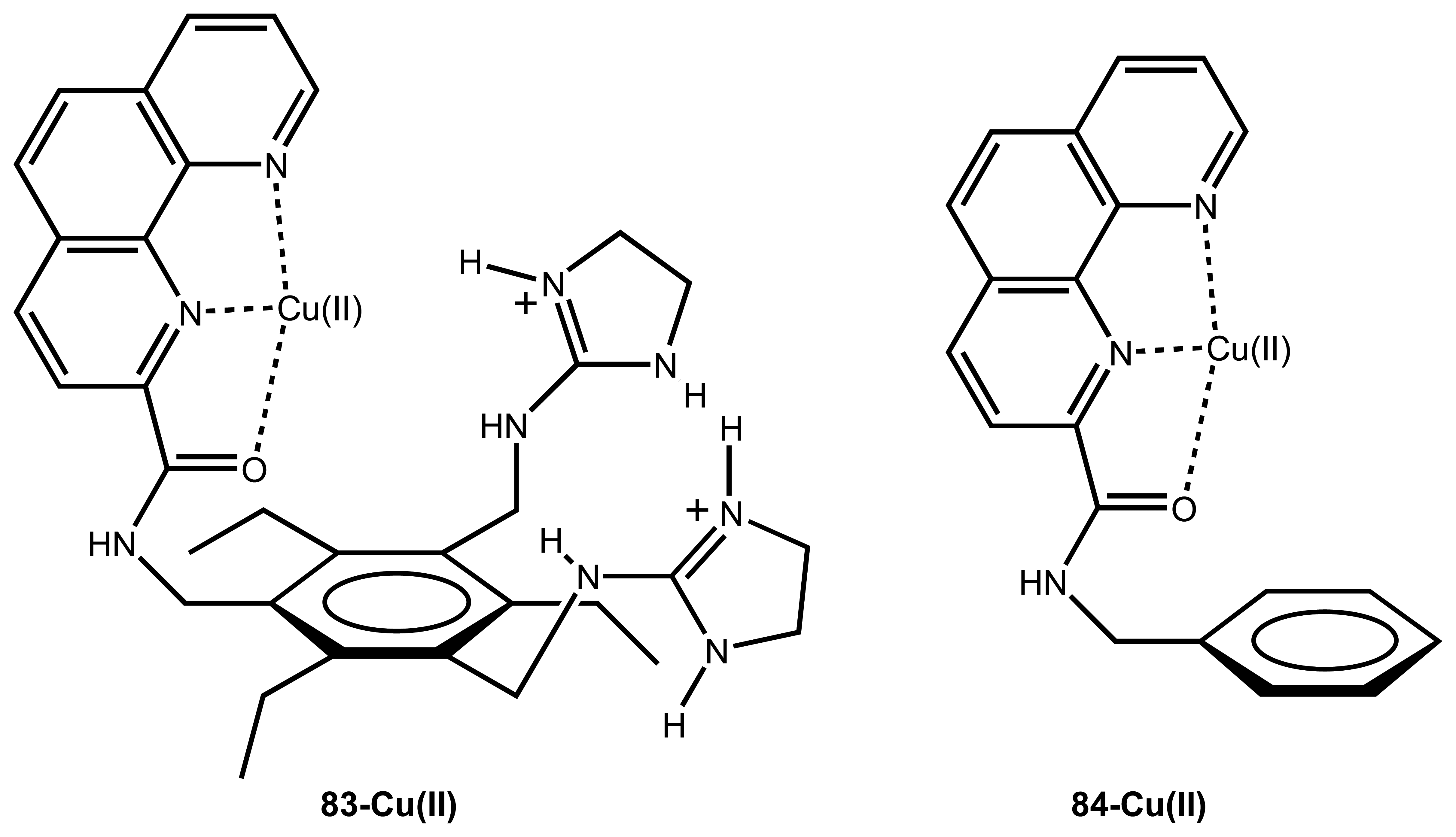
A metal-containing fluorescent chemosensor has been developed for the quantification of citrate in common beverages [118]. The sensor consists of bis(aminoimidazolium) receptor 83 to which a Cu(II) containing 1,10-phenanthroline ligand is attached. The additional binding interaction increases the metal and citrate binding constants in a cooperative manner, giving in both cases at least two times larger values. In 83 binding of Cu(II) quenches a photo-excited state of the 1,10-phenanthroline fluorophore. Addition of citrate to 83–Cu(II) resulted in an increase of the fluorescence of the system. This emission enhancement could be attributed to a change in the oxidation-reduction potential of the metal upon citrate coordination, thus changing the extent of electron transfer from the metal cation to 1,10-phenanthroline. The nature of the fluorescence modulation upon citrate binding was probed using model compound 84–Cu(II). The obtained data support an increase of the electron density on the metal due to the donating ability of a carboxylate anion of citrate. In a sensing assay, receptor 83 is effective for measuring citrate concentrations in the micromolar range in highly competitive media.
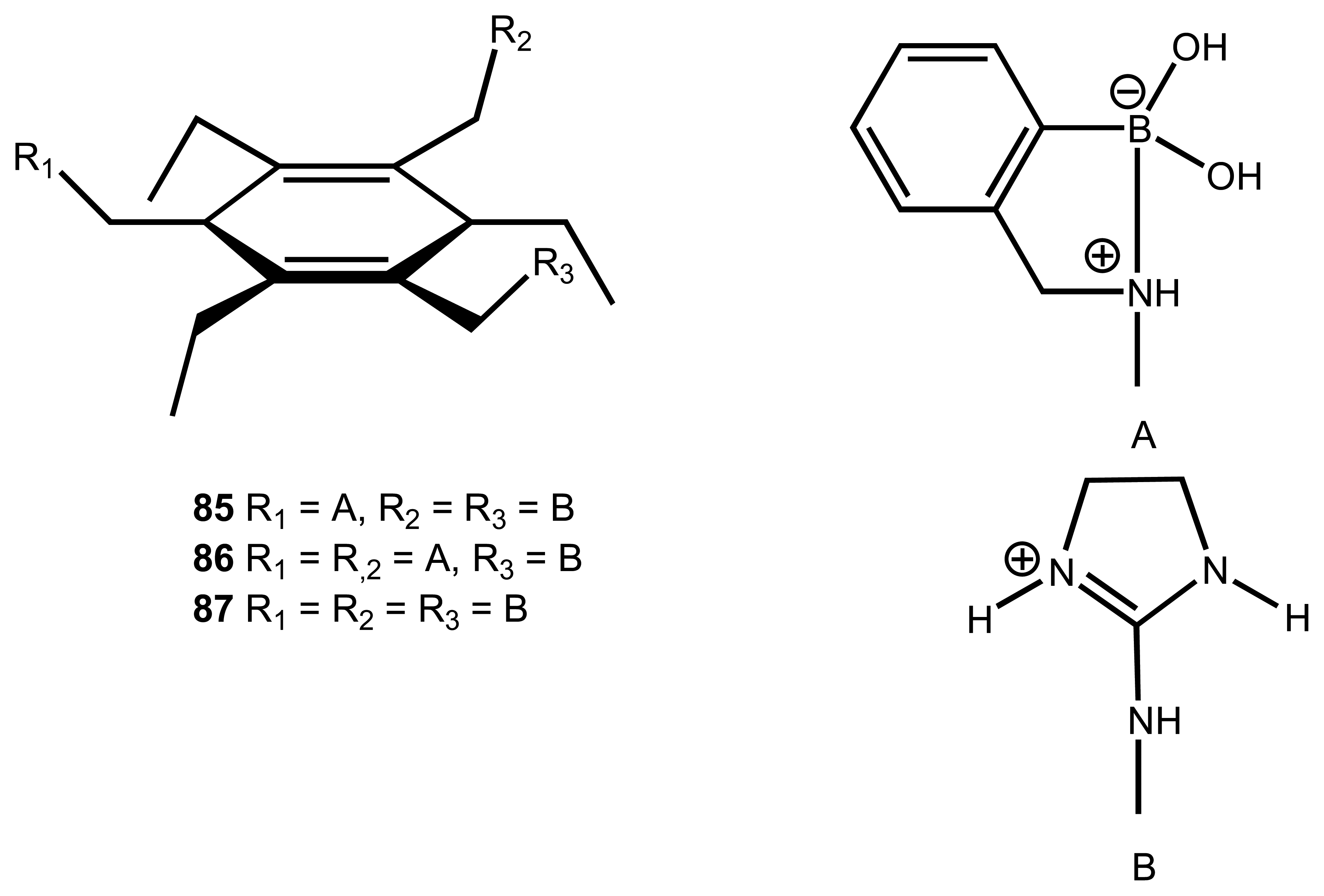
Receptor 85 which contains a boronic acid and two guanidinium groups organised on a 1,3,5-triethylbenzene skeleton has been designed for the complexation of tartrate [55]. Tartrate is a common natural product that is present in grape-derived beverages. A colour change from burgundy (λmax = 525 nm) to yellow-orange (λmax = 450 nm) was found upon addition of receptor 85 to a solution of alizarin complexone in water-methanol mixtures (75:25 v/v) buffered at pH 7.3. This colour change was ascribed to a change in the protonation state of the phenols of the alizarin upon coordination with the boronic acid moiety present in receptor 85 and formation of a boronate ester. Subsequent addition of L-tartrate to a mixture of 85 and alizarin complexone resulted in a colour shift from yellow-orange to burgundy due to coordination of 85 with tartrate and release of the alizarin derivative. Coordination studies and determination of stability constants demonstrated that receptor 85 has an excellent selectivity for tartrate. Only malate showed a similar response as tartrate, whereas other possible competing analytes such as ascorbate, succinate, lactate, and sugars did not induce any significant colour change. Calibration curves using this method were used to determine tartrate and malate concentrations in grape-derived beverages.

Tripodal receptors 85 and 86 have been used along with bromopyrogallol red and pyrocatechol violet indicators to develop a multicomponent sensing ensemble to selectively detect and quantify two similar analytes such as tartrate and malate [108]. Receptor 85 has a similar affinity for tartrate and malate, whereas receptor 86 has a greater affinity for tartrate than for malate. In this new approach, a number of UV-Vis spectra of a mixture of 85, 86 and the two indicators were recorded upon addition of various amounts of tartrate and malate. These data has been used in artificial neural networks for pattern recognition analysis, which allowed the simultaneous determination of tartrate and malate in mixtures of both analytes.
Some of the most commonly used dyes in the development of colourimetric displacement assays for anion sensing are fluorescein derivatives and pyrocatechol violet. Using this approach, Metzger and Anslyn [109] have developed a chemosensor for citrate in beverages, based on 5-carboxyfluorescein 68 as a fluorescent probe. Citrate displaces 68 from the complex so changing the pKa of its phenol group (compare Scheme 3). The fluorescence and absorbance of 68 decrease with increasing protonation. These changes could be calibrated against standard solutions of citrate to give quantitative sensor data. Receptor 87 also formed 1:1 and 2:1 complexes with the indicators xylenol orange and methylthymol blue, respectively [110]. The absorbance of xylenol orange at pH 7.5 increased at 577 nm upon association with 87, while the absorbance at 445 nm decreased (the colours of the solutions changed from orange to pink-red). Similarly, the absorbance of methylthymol blue at 607 nm at the same pH increased upon addition of 87 and the absorbance at 454 nm decreased (solutions changed from light yellow to cobalt blue).

Using a displacement assay, a naked-eye detection system, based on the complex between tris-cation 88 and 5-carboxyfluorescein 68, has been developed for the selective detection of citrate in aqueous solution even in the presence of malate or tartrate [12]. Receptor 88 binds citrate in pure water with a Ka-value of 1.6 x 105 M-1 [111]. This is the largest affinity for citrate by an artificial receptor solely based on non-covalent interactions, i.e. ion pair formation. In this sensing system, 68 (an aromatic tris-anion) interacts with tris-cation 88 influencing its fluorescence (e.g. by changing the pKa's of the carboxylates or π-stacking interactions with the aromatic system) [112]. Upon additon of 68 to a solution of receptor 88 in 10% DMSO (2 mM bis-tris-buffer, 10 mM NaCl, pH 6.3) both the fluorecence of 68 (λ = 518 nm) as well as the fluorescence of the receptor (λ = 335 nm) were completely quenched. However, upon the addition of citrate, 68 is displaced from the binding cavity and its florescence is restored [similar to Scheme 3]. However, substrates that are less efficiently bound by 88 than citrate are not capable to displace 68. Hence, even substrates such as malate and tartrate, which are closely related to citrate in terms of their recognition elements (carboxylate and OH groups), do not interfere in the detection of citrate by this sensor ensemble. Other anions, such as acetate and chloride, which are bound even worse than tartrate, have no influence.
3.5. Carbonates and other Anions
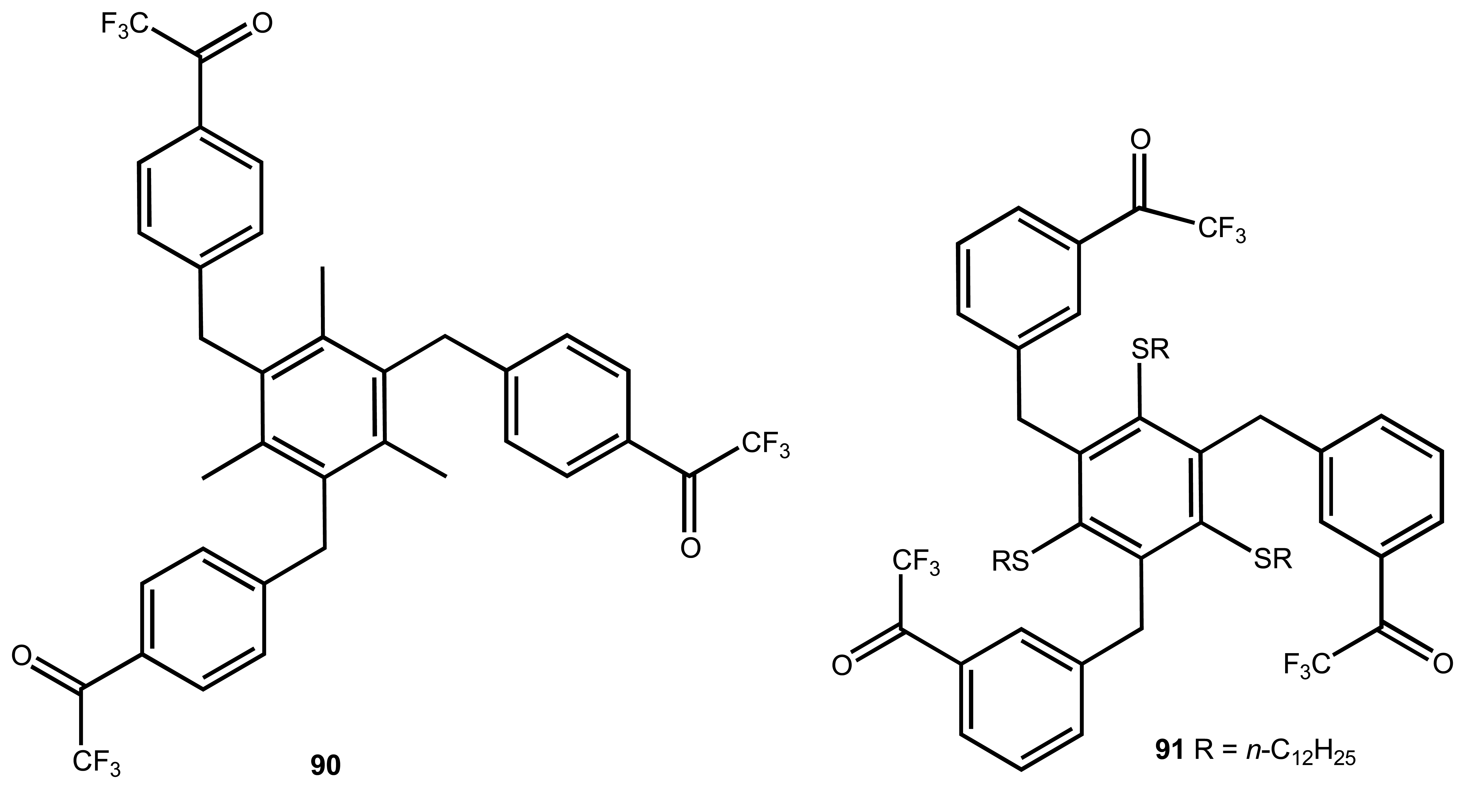
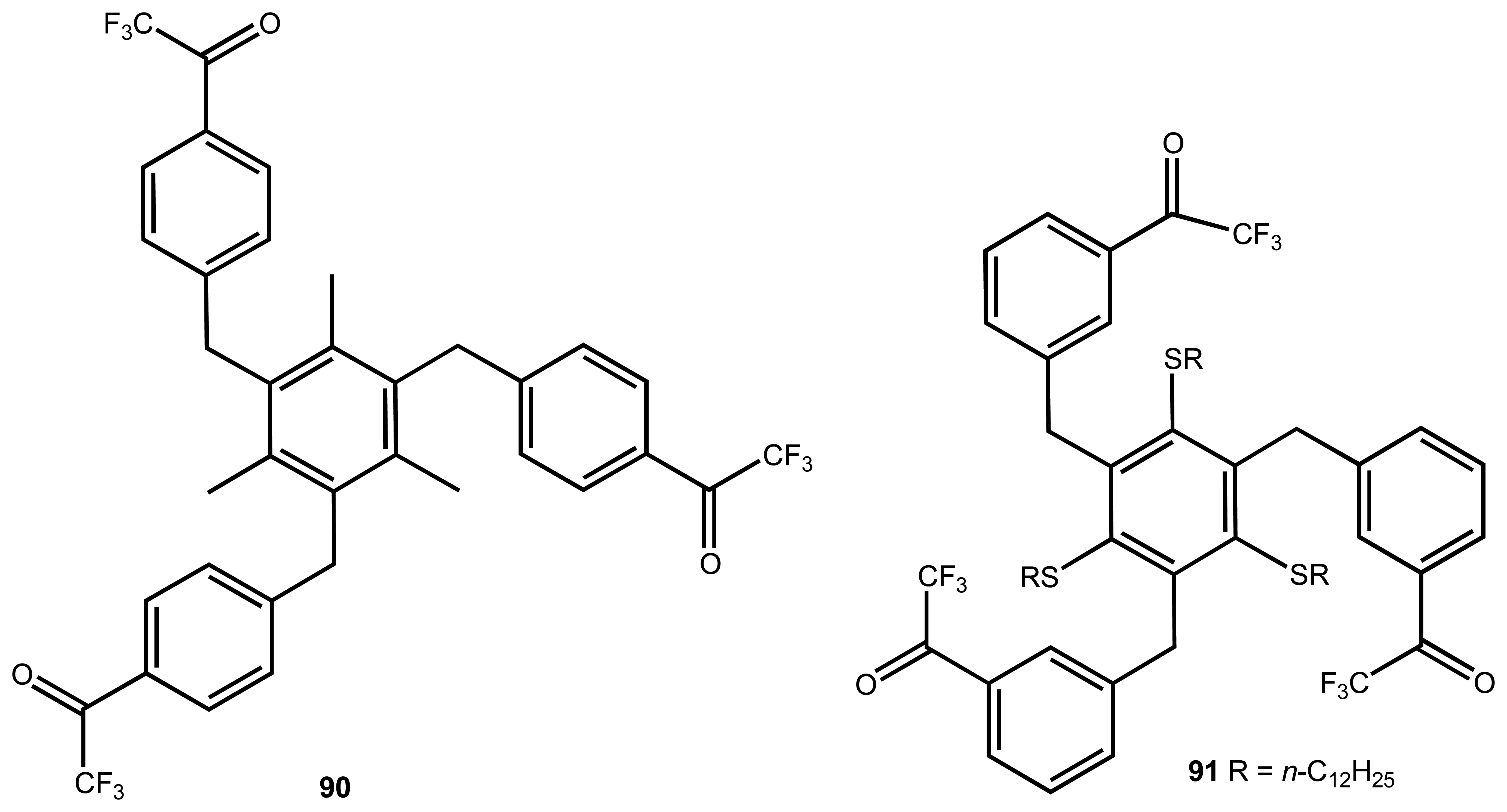
Trifluoroacetyl groups react with carbonate (CO32-, HCO3-) to generate carbonyl adducts. Based on principle, C3 symmetric, tripodal trifluoroacetophenone derivatives 89-91 have been studied for anion recognition in ISE membranes [9, 113]. The selectivity coefficients of the carbonate electrode toward various anions are dependent on the composition of the membranes and the lipophilicity of the ionophores. Receptor 89a showed an improved selectivity toward salicylate when 90 mol% of a lipophilic additive was used, compared to that of p-dodecyltrifluoroacetophenone as a model compound.

The complexation behaviour of urea-containing receptor 92 toward carboxylate anions has been studied using 1H-NMR and luminescence titration methods [18]. Receptor 92 shows strong and selective binding of larger hydrophobic (aromatic) carboxylate anions in polar aprotic solvents such as DMSO and THF. Even though a similar trend was observed in both DMSO and THF using different methods, the difference in the association constants may be due to the difference in solvation of the anions and the binding sites. No binding was observed for hydrophilic anions as in hydrophobic (aromatic) carboxylate anions. A high association constant (Ka = 22,600M-1) was obtained for terephthalate due to the size-shape complementarity of the host-guest complex. Flexible receptor 93 exhibits a smaller affinity for terephthalate and trimesylate anions.

Tripodal colourimetric anion receptor 60 has a good selective recognition ability for AcO- by multiple hydrogen-bonding interactions [13]. The AcO- binding gives rise to a visible colour change. The gallate anion 94 was sensed via a competition mechanism by using a mixture of receptor 86 and pyrocatechol violet [114]. Addition of receptor 86 to a solution of pyrocatechol violet (25% water-methanol mixtures) resulted in colour changes from yellow to maroon due to the encapsulation of the indicator into the receptor giving a 1:1 complex. Upon addition of gallate to the sensing ensemble, the colour returned to yellow as the indicator was displaced from the complex. This sensing ensemble also showed selectivity for analytes having both diol and carboxylate moieties and has been used to evaluate the age of several scotches by determining the amount of gallate and other related anions (caffeate, ellagate, and 3,4-dihydroxybenzoate) following this displacement assay.
Addition of pyrocatechol violet to a 1:1 water-methanol solution (pH 7.4) of receptor 95 resulted in a decrease of the band at 430 nm and an increase of the band at 526 nm (colour change from yellow to grayish purple) in the visible spectrum [115]. Upon addition of heparin to a solution of this sensing ensemble causes an inverse colour change from purple to yellow due to the release of the indicator from the cavity of receptor 95. By addition of chondroitin 4-sulfate or hyaluronic acid to the sensing ensemble the absorbance at 526 nm (purple band) also decreases, but to a lesser extent (60 and 10%, respectively, of that in the case of heparin). This selectivity was related with the anionic charge density of the glycosaminoglycan analytes, suggesting that electrostatic interactions play a dominant role in the binding process.
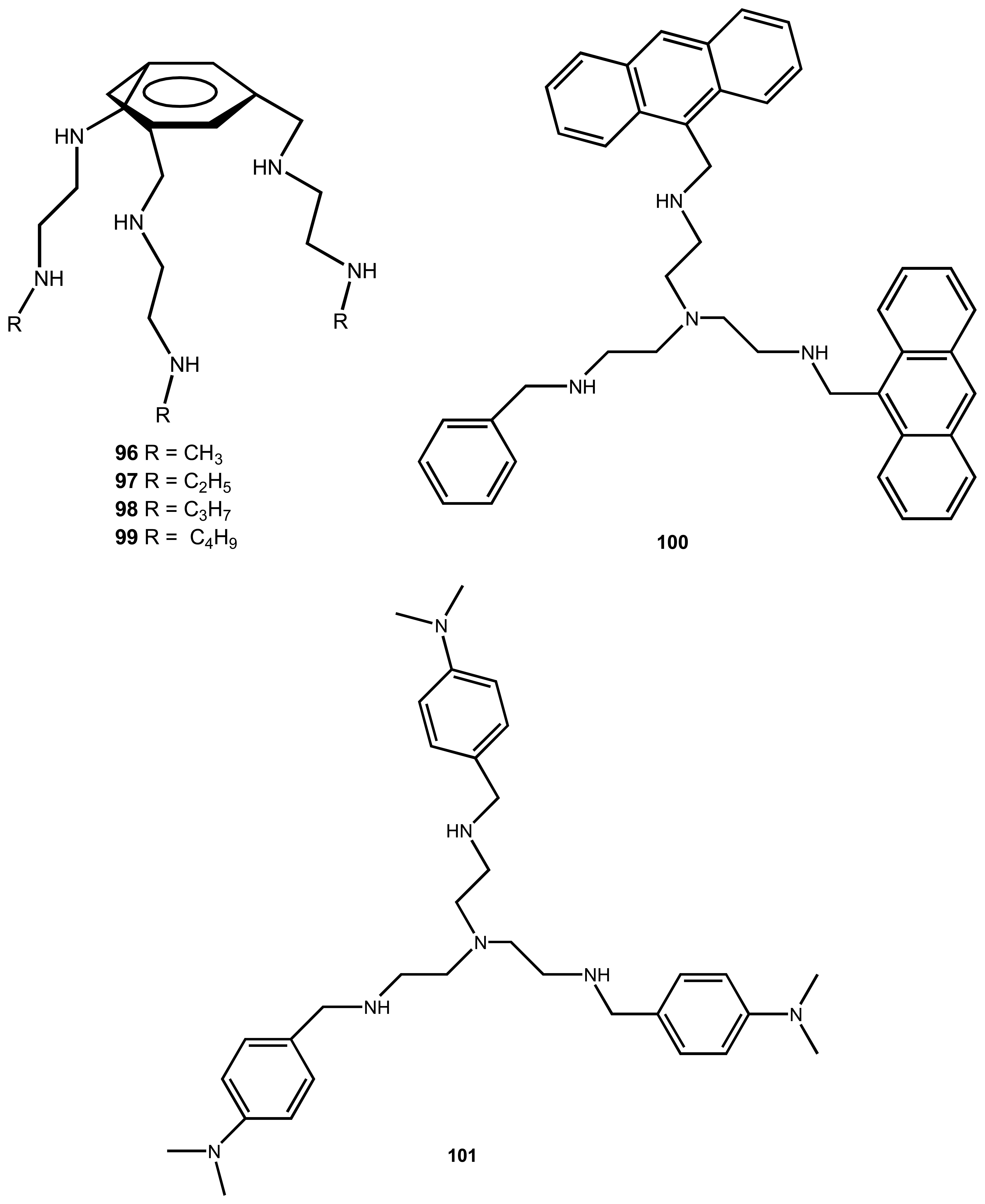
Upon protonation the four closely related polyamino tripodal receptors 96-99 bind the nucleotide anions ATP, ADP, and AMP [116]. The binding strength increases with the number of protons, corresponding to an increase in the number of hydrogen bonds and to an increase in the coulombic attractive forces. Moreover, the benzene spacer involves π-stacking interactions with the nucleobase residue of the nucleotides. The coordination properties of the ternary complexes formed from the above tripods and Zn(II), to recognise the above mentioned nucleotides via multiple interactions, are similar to those occurring in the centre of enzymes [19]. The increased stability of the ternary complexes caused by substrates, which coordinate to the metal ion complex through such factors as electron-withdrawing effect of the metal ion, strain in the chelated ring, and proximity of the receptor/substrate.

The complexation behaviour of tetraamino tripodal ligand 100, containing two anthracene subunits, has been studied by potentiometric and spectrofluorimetric techniques [119]. The zinc(II) complex, [ZnII(100)]2+, which displays the typical emission of anthracene derivatives, formed 1:1 complexes (ethanol/water mixtures in pH buffer 6.8) with natural amino acid, showing a particular affinity towards phenylalanine and tryptophan. The selectivity can be ascribed to two kinds of interactions: (i) a metal-ligand interaction between the zinc(II) ion and the amino acid's carboxylate group; (ii) a π-stacking interaction involving the aromatic moieties positioned on the complex and on the amino acid, inducing an extra stability of the adducts with tryptophan and phenylalanine. The formation of a complex with tryptophan is signalled by a strong fluorescence quenching while no effect on the emission intensity has been observed in all other cases. Similarly, the [Zn(101)]2+ complex has been used for the detection of aromatic carboxylates (benzoate, 4-nitrobenzoate, and 9-anthracenoate) in methanol, since its fluorescence was partially quenched [120]. This is due to a combination of carboxylate coordination with the Zn2+ cation and π-stacking interactions with the N,N-dimethylaniline substituents. Aliphatic carboxylates and inorganic anions such as Cl-, NO3-, and ClO4- did not induce any modification of the fluorescence emission.

4. Conclusion and Outlook
This review has attempted to present an overview of the current progress in the design and evaluation of synthetic receptors based on a tripodal platform for ion recognition and sensing. Novel approaches are still being introduced and improved electrochemical and optical sensors are being explored. Undoubtedly, the development and improvement of highly selective tripodal receptors or ionophores that allow measurements of analytes in complex real-life samples, will remain a main issue in the development of chemosensors either in the electrochemical or the optical mode. The interest of many organic chemists in tripodal host compounds is expected to result in the development of many new interesting receptors, but the preoccupation of these researchers with aqueous solvents casts some doubt on whether these results will soon have an influence, particularly in the area of bulk membrane optodes. Most of the present tripodal receptors in sensors are employed in solid state transducers, where the low partitioning of ions and the limited solubility of several tripodal receptors might restrict their applicability. Therefore, there is substantial room for improvement of sensor performance, either electrochemical or optical, based on tripodal receptors. We look forward to witnessing and participating in the creative and innovative development of selective, sensitive, and accurate sensors for cations and anions.
Acknowledgments
The authors gratefully thank the KNAW (The Royal Netherlands Academy of Arts and Sciences) for supporting this work via the SPIN Mobility Program 2006-2007.
References
- Diamond, D.; Nolan, K. Calixarenes: Designer ligands for chemical sensors. Anal. Chem. 2001, 73, 22A–29A. [Google Scholar]
- Ludwig, R.; Dzung, N. T. K. Calixarene based molecules for cation recognition. Sensors 2002, 2, 397–416. [Google Scholar]
- Beer, P. D.; Gale, P. A. Anion recognition and sensing: the state of the art and future perspectives. Angew. Chem. Int. Ed. Engl. 2001, 40, 486–516. [Google Scholar]
- Antonisse, M. M. G.; Reinhoudt, D. N. Potentiometric anion selective sensors. Electroanalysis 1999, 11, 1035–1048. [Google Scholar]
- Antonisse, M. M. G.; Reinhoudt, D. N. Neutral anion receptors: design and application. Chem. Commun. 1998, 443–448. [Google Scholar]
- Berocal, M. J.; Cruz, A.; Badr, I. H. A.; Bachas, L. G. Tripodal ionophore with sulphate recognition properties for anion-selective electrode. Anal. Chem. 2000, 72, 5295–5299. [Google Scholar]
- Reinoso-Garcia, M. M.; Dijkman, A.; Verboom, W.; Reinhoudt, D. N.; Malinoswka, E.; Wojciechowska, D.; Pietrzak, M.; Selucky, P. Metal complexation by tripodal N- acyl(thio)urea and picolin(thio)amide compounds: synthesis/extraction and potentiometric studies. Eur. J. Org. Chem. 2005, 2131–2138. [Google Scholar]
- Kim, S.-G.; Kim, K.-H.; Jung, J.; Shin, S. K.; Ahn, K. H. Unprecedented chiral molecular recognition in a C-3-symmetric environment. J. Am. Chem. Soc. 2002, 124, 591–597. [Google Scholar]
- Kim, Y.-K.; Ha, J.; Cha, G. S.; Ahn, K. H. Synthesis of tripodal trifluoroacetophenone derivatives and their evaluation as ion-selective electrode membranes. Bull. Korean Chem. Soc. 2002, 23, 1420–1424. [Google Scholar]
- Sasaki, S.; Ozawa, S.; Citterio, D.; Iwasawa, N.; Suzuki, K. Phosphate anion sensing based on preorganised tripodal ionophores. Anal. Sci. 2001, 17, i1659–1661. [Google Scholar]
- Reinoso-Garcia, M. M.; Janczewski, D.; Reinhoudt, D. N.; Verboom, W.; Malinoswka, E.; Pietrzak, M.; Hill, D.; Baca, J.; Gruner, B.; Selucky, P; Gruttner, C. CMP(O) tripodands: Synthesis, potentiometric studies and extractions. New J. Chem. 2006, 30. in press. [Google Scholar]
- Schmuck, C.; Schwegmann, M. A naked-eye sensing ensemble for selective detection of citrate-but not-tartrate or malate-in water based on a tris-cationic receptor. Org. Biomol. Chem. 2006, 4, 836–838. [Google Scholar]
- Wei, L. H.; He, Y. B.; Wu, J. L.; Qin, H. J.; Xu, K. X.; Meng, L. Z. Color response of a tripodal colorimetric sensor toward anions. Chin. J. Chem. 2005, 23, 608–612. [Google Scholar]
- Niikura, K.; Bisson, A. P.; Anslyn, E. V. Optical sensing of inorganic anions employing a synthethic receptor and ionic colorimetric dyes. J. Chem. Soc., Perkin Trans. 2 1999, 1111–1114. [Google Scholar]
- Wiskur, S. L.; Ait-Haddou, H.; Lavigne, J. J.; Anslyn, E. V. Teaching old indicators new tricks. Acc. Chem. Res. 2001, 34, 963–972. [Google Scholar]
- Sato, K.; Arail, S.; Yamagishi, T. A new tripodal anion receptor with C-H—X hydrogen bonding. Tetrahedron Lett. 1999, 40, 5219–5222. [Google Scholar]
- Ballester, P.; Costa, A.; Deyii, P. M.; Vega, M.; Morey, J. Influence of remote intramolecular hydrogen bonds on the thermodynamics of molecular recognition of cis-1,3,5-cyclohexanetricarboxylic acid. Tetrahedron Lett. 1999, 40, 171–174. [Google Scholar]
- Fan, A. L.; Hong, H. K.; Valiyaveettil, S.; Vittal, J. J. A urea-incorporated receptor for aromatic carboxylate anion recognition. J. Supramol. Chem. 2002, 2, 247–254. [Google Scholar]
- Borovik, A. S. Bioinspired hydrogen bond motifs in ligand design: the role of noncovalent interactions in metal ion mediated activation of dioxygen. Acc. Chem. Res. 2005, 38, 54–61. [Google Scholar]
- Martinez-Manez, R.; Sancenon, F. Fluorogenic and chromogenic chemosensors and reagents for anions. Chem. Rev. 2003, 103, 4419–4476. [Google Scholar]
- Lu, H.-J.; Fan, Y.-T.; Wu, Y.-J; Yin, M.-C. Tripodal lipophilic ionophores: synthesis, cation binding and transport through liquid membranes. Polyhedron 2001, 20, 3281–3286. [Google Scholar]
- Goodall, M.; Kelly, P. M.; Peter, D. Selective cation binding with cis, cis-1,3,5-trioxycyclohexyl based ligands. J. Chem. Soc., Perkin Trans. 2 1997, 59–63. [Google Scholar]
- Teulade-Fichou, M. P.; Vigeron, J. P.; Lehn, J.-M. Detection of organic anions in water through complexation enhanced fluorescence of a macrobicyclic tris-acridine cryptand. J. Chem. Soc., Perkin Trans. 2 1996, 2169–21672. [Google Scholar]
- Amendola, V.; Bastianello, E.; Fabrizzi, L. Halide-ion encapsulation by a flexible dicopper(II) bis-tren cryptate. Angew. Chem., Int. Ed. Engl. 2000, 39, 2917–2920. [Google Scholar]
- Ge, Q.–C.; Guo, Y.-H.; Lin, H.; Lin, H.–K.; Zhu, S.–R. Stoichiometrical coordination behaviour of hexaza tripodal ligands towards zinc(II), copper(II), nickel(II) and cobalt(II). Trans. Met. Chem. 2003, 28, 572–578. [Google Scholar]
- Meijler, M. M.; Arad-Yellin, R.; Cabantchik, Z. I.; Shanzer, A. Synthesis and evaluation of iron chelators with masked hydrophilic moieties. J. Am. Chem. Soc. 2002, 124, 12666–12668. [Google Scholar]
- Steiner, R. A.; Oehme, M.; Ammann, D.; Simon, W. Neutral carrier sodium ion-selective microelectrode for intracellular studies. Anal. Chem. 1979, 51, 351–357. [Google Scholar]
- Yan, Z.; Fan, Y.; Gao, Q.; Lu, H.; Hou, H. Tripodal compound 1,1,1-tris(N-ethyl-N-phenylamino-carboxylmethoxymethyl)propane as an ionophore for alkali and alkaline earth metal cations-selective electrode. Talanta 2002, 57, 81–88. [Google Scholar]
- Kataky, R.; Parker, D.; Teasdale, A. Comparative study of tripodal oxa-amides and oxa-esters as ionophores in potentiometric ion-selective electrodes for alkali and alkaline earth cations. Anal. Chim. Acta 1993, 276, 353–360. [Google Scholar]
- Tuntulani, T.; Thavornyutikarn, P.; Poompradub, S.; Jaiboon, N.; Ruangpornvisuti, V.; Chaichit, N.; Asfari, Z.; Vicens, J. Synthesis of tripodal azacrown ether calix[4]arenes and their supramolecular chemistry with transition, alkali metal ions and anions. Tetrahedron 2002, 58, 10277–10285. [Google Scholar]
- Hayashi, M.; Ishii, M.; Hiratani, K.; Saigo, K. Synthesis and binding properties of new tripodal hexadentate ligands having three quinolinol moieties for trivalent metal cations. Tetrahedron Lett. 1998, 39, 6215–6218. [Google Scholar]
- Hayashi, M.; Hiratani, K.; Kina, S.-I.; Ishii, M.; Saigo, K. Synthesis and binding property of a novel tripodal hexadentate ligand having catechol moieties. Tetrahedron Lett. 1998, 39, 6211–6214. [Google Scholar]
- Mulon, J.-B.; Destandau, É.; Alain, V.; Bardez, É. How can aluminium(III) generate fluorescence? J. Inorg. Biochem. 2005, 99, 1749–1755. [Google Scholar]
- Prodi, L.; Bolletta, F.; Montalti, M.; Zaccheroni, N. Searching for new luminescent sensors: synthesis and photophysical properties of a tripodal ligand incorporating the dansyl chromophore and its metal complexes. Eur. J. Inorg. Chem. 1999, 455–459. [Google Scholar]
- Malval, J. P.; Lapouyade, R.; Leger, J.-M.; Jarry, C. Tripodal ligand incorporating a dual fluorescent ionophores: a coordinative control of photoinduced electron transfer. Photochem. Photobiol. Sci. 2003, 2, 259–266. [Google Scholar]
- Arnaud-Neu, F.; Böhmer, V.; Dozol, J. F.; Gruttner, C.; Jakobi, R. A.; Kraft, D.; Mauprivez, O.; Rouquette, H.; Schwing-Weill, M. J.; Simon, N.; Vogt, W. Calixarenes with diphenylphosphoryl acetamide functions at the upper rim. A new class of highly efficient extractants for lanthanides and actinides. J. Chem. Soc., Perkin Trans. 2 1996, 1175–1179. [Google Scholar]
- Matthews, S. E.; Saadioui, M.; Böhmer, V.; Barboso, S.; Arnaud-Neu, F.; Schwing-Weill, M.-J.; Garcia Carrera, A.; Dozol, J.-F. Conformationally mobile wide rim carbamoylmethylphosphine oxide (CMPO)-calixarenes. J. Prakt Chem. 1999, 341, 264–273. [Google Scholar]
- Arduini, A.; Böhmer, V.; Delmau, L.; Desreux, J.-F.; Dozol, J.-F.; Carrera, M. A. G.; Lambert, B.; Musigmann, C.; Pochini, A.; Shivanyuk, A.; Ugozzoli, F. Rigidified calixarenes bearing four carbamoylmethylphosphineoxide or carbamoylmethylphosphoryl functions at the wide rim. Chem. Eur. J. 2000, 6, 2135–2144. [Google Scholar]
- Schmidt, C.; Saadioui, M.; Böhmer, V.; Host, V.; Spirlet, M.-R.; Desreux, J.-F.; Brisach, F.; Arnaud-Neu, F.; Dozol, J.-F. Modification of calix[4]arenes with CMPO-functions at the wide rim. Synthesis, solution behavior, and separation of actinides from lanthanides. Org. Biomol. Chem. 2003, 1, 4089–4095. [Google Scholar]
- Wang, P.; Saadioui, M.; Schmidt, C.; Böhmer, V.; Host, V.; Desreux, J.-F.; Dozol, J.-F. Dendritic octa-CMPO derivatives of calix[4]arenes. Tetrahedron 2004, 60, 2509–2515. [Google Scholar]
- Boerrigter, H.; Verboom, W.; Reinhoudt, D. N. Novel resorcinarene cavitand-based CMP(O) cation ligands: Synthesis and extraction properties. J. Org. Chem. 1997, 62, 7148–7155. [Google Scholar]
- Reinoso Garcia, M. M.; Verboom, W.; Reinhoudt, D. N.; Brisach, F.; Arnaud-Neu, F.; Liger, K. Solvent extraction of actinides and lanthanides by CMP(O)- and N-acyl(thio)urea-tetrafunctionalized cavitands: strong synergistic effect of cobalt bis(dicarbollide) ions. Solv. Extr. Ion Exch. 2005, 23, 425–437. [Google Scholar]
- Peters, M. W.; Werner, E. J.; Scott, M. J. Enhanced selectivity for actinides over lanthanides with CMPO ligands secured to a C-3-symmetric triphenoxymethane platform. Inorg. Chem. 2002, 41, 1707–1711. [Google Scholar]
- Rudzevich, V.; Schollmeyer, D.; Braekers, D.; Desreux, J.-F.; Diss, R.; Wipff, G.; Böhmer, V. Carbamoylmethylphosphinoxide derivatives based on the triphenylmethane skeleton. synthesis and extraction Properties. J. Org. Chem. 2005, 70, 6027–6033. [Google Scholar]
- Ghosh, P.; Shukla, A. D.; Das, A. Cerium ion-induced fluorescence enhancement of a tripodal fluoroionophore. Tetrahedron Lett. 2002, 43, 7419–7422. [Google Scholar]
- Wietzke, R.; Mazzanti, M.; Latour, J.-M.; Pecaut, J. Strong intramoleculer π-π interactions favor the formation of 2:1 (L:M) lanthanide complexes of tris(2-benzimidazolylmethyl)amine. Chem. Commun. 1999, 209–210. [Google Scholar]
- Sahoo, S. K.; Baral, M.; Kanungo, B. K. Potentiometric, spectrophotometric, theoretical studies and binding properties of a novel tripodal polycatechol-amine ligand with lanthanide(III) ions. Polyhedron 2006, 25, 722–736. [Google Scholar]
- Sasaki, S.; Amano, T.; Monma, G.; Otsuka, T.; Iwasawa, N.; Citterio, D.; Hisamoto, H.; Suzuki, K. Comparison of two molecular design strategies for the development of an ammonium ionophore more highly selective than nonactin. Anal. Chem. 2002, 74, 4845–4848. [Google Scholar]
- Ahn, K. H.; Kim, S.-G.; Kim, K.-H.; Jung, J.; Kim, J.; Chin, J.; Kim, K. Selective recognition of NH4+ over K+with tripodal oxazoline receptors. Chem. Lett. 2000, 170–171. [Google Scholar]
- Kim, S.-G.; Ahn, K. H. Novel artificial receptors for alkylammonium ions with remarkable selectivity and affinity. Chem. Eur. J. 2000, 6, 3399–3403. [Google Scholar]
- Kim, H.-S.; Kim, D.-H.; Kim, K. S.; Choi, H.-J.; Shim, J. H.; Jeong, I. S.; Cha, G. S.; Nam, H. Synthesis and properties of 1,3,5-tris(phenoxymethyl)-2,4,6-triethylbenzenes as NH4+ ionophores. J. Incl. Phenom. Macrocycl. Chem. 2003, 46, 201–205. [Google Scholar]
- Hennrich, G.; Lynch, V. M.; Anslyn, E. V. Novel C3-symmetric molecular scaffolds with potential facial differentiation. Chem. Eur. J. 2002, 8, 2274–2278. [Google Scholar]
- Niikura, K.; Metzger, A.; Anslyn, E. V. Chemosensor ensemble with selectivity for inositol-triphosphate. J. Am. Chem. Soc. 1998, 120, 8533–8534. [Google Scholar]
- Chin, J.; Walsdorff, C.; Stranix, B.; Oh, J.; Chung, H. J.; Park, S.-M.; Kim, K. A rational approach to selective recognition of NH4+ over K+. Angew. Chem., Int. Ed. Engl. 1999, 38, 2756–2759. [Google Scholar]
- Lavigne, J. L.; Anslyn, E. V. Teaching old indicators new tricks: a colorimetric chemosensing ensemble for tartrate/malate in beverages. Angew. Chem., Int. Ed. Engl. 1999, 38, 3666–3669. [Google Scholar]
- Kim, H.-J.; Kim, Y.-H.; Hong, J.-I. Sugar recognition by C-3-symmetric oxazoline hosts. Tetrahedron Lett. 2001, 42, 5049–5052. [Google Scholar]
- Ahn, K. H.; Ku, H.-Y.; Kim, Y.; Kim, S.-G.; Kim, Y. K.; Son, H. S.; Ku, J. K. Fluorescence sensing of ammonium and organoammonium ions with tripodal oxazoline receptors. Org. Lett. 2003, 5, 1419–1422. [Google Scholar]
- Hartshorn, C. M.; Steel, P. J. Poly(pyrazol-1-ylmethyl)benzenes: New multidentate ligands. Aust. J. Chem. 1995, 48, 1587–1589. [Google Scholar]
- Hartshorn, C. M.; Steel, P. J. Coelenterands: A new class of metal-encapsulating ligands. Angew. Chem., Int. Ed. Engl. 1996, 35, 2655–2657. [Google Scholar]
- Oh, K. S.; Lee, C.–W.; Choi, H. S.; Lee, S. J.; Kim, K. S. Origin of the high affinity and selectivity of novel receptors for NH4+ over K+: Charged hydrogen bonds vs cation- π interaction. Org. Lett. 2000, 2, 2679–2681. [Google Scholar]
- Cleland, W. W.; Frey, P. A.; Gerlt, J. A. The low barrier hydrogen bond in enzymatic catalysis. J. Biol. Chem. 1998, 273, 25529–25532. [Google Scholar]
- Ma, J. C.; Dougherty, D. A. The cation-pi interaction. Chem. Rev. 1997, 97, 1303–1324. [Google Scholar]
- Mecozzi, S.; West, A. P.; Dougherty, D. A. Cation-pi interactions in simple aromatics: Electrostatics provide a predictive tool. J. Am. Chem. Soc. 1996, 118, 2307–2310. [Google Scholar]
- Choi, H. S.; Suh, S. B.; Cho, S. J.; Kim, K. S. Ionophores and receptors using cation-π interactions: Collarenes. Proc. Natl. Acad. Sci. 1998, 95, 12094–12099. [Google Scholar]
- Lee, H. M.; Kim, J.; Lee, S.; Mhin, B. J.; Kim, K. S. Aqua-potassium(I) complexes: Ab initio study. J. Chem. Phys. 1999, 111, 3995–3999. [Google Scholar]
- Kim, S. K.; Singh, N. J.; Kim, S. J.; Kim, H. G.; Kim, J. K.; Lee, J. W.; Kim, K. S.; Yoon, J. New fluorescent photoinduced electron transfer chemosensor for the recognition of H2PO4-. Org. Lett. 2003, 5, 2083–2086. [Google Scholar]
- Schmidtchen, F. P.; Berger, M. Artificial organic host molecules for anions. Chem. Rev. 1997, 97, 1609–1646. [Google Scholar]
- Gale, P. A.; Sessler, J. L.; Kral, V.; Lynch, V. Calix[4]pyrroles: old yet new anion-binding agents. J. Am. Chem. Soc. 1996, 118, 5140–5141. [Google Scholar]
- Reetz, M. T.; Niemeyer, C. M.; Harms, K. Crown ethers with a Lewis acidic center: A new class of heterotopic host molecules. Angew. Chem., Int. Ed. Engl. 1991, 30, 1472–1474. [Google Scholar]
- Morzherin, Y.; Rudkevich, D. M.; Verboom, W.; Reinhoudt, D. N. Chlorosulfonated calix[4]arenes: precursors for neutral anion receptors with a selectivity for hydrogen sulphate. J. Org. Chem. 1993, 58, 7602–7605. [Google Scholar]
- Casnati, A.; Fochi, M.; Minari, P.; Pochini, A.; Reggiani, M.; Ungaro, R.; Reinhoudt, D. N. Upper-rim urea-derivatised calix[4]arenes as neutral receptors for monocarboxylate anions. Gazz. Chim. Ital. 1996, 99–106. [Google Scholar]
- Cameron, B. R.; Loeb, S. J. Bis(amido)calix[4]arene in the pinched cone conformation as tuneable hydrogen-bonding anion receptors. J. Chem. Soc., Chem. Commun. 1997, 573–574. [Google Scholar]
- Beer, P. D.; Hazlewood, C.; Hesek, D.; Hodacova, J.; Stokes, S. E. Anion recognition by acyclic redox-responsive amide-linked cobaltocenium receptor. J. Chem. Soc., Dalton. Trans. 1993, 1327–1332. [Google Scholar]
- Raposo, C.; Perez, N.; Almaraz, M.; Luisa Mussons, M.; Cruz Cabarello, M.; Moran, J. R. A cyclohexane spacer for phosphate receptors. Tetrahedron Lett. 1995, 36, 3255–3258. [Google Scholar]
- Beer, P. D.; Keefe, A. D. A new approach to the coordination of anions, novel polycobalticinium macrocyclic receptor molecules. J. Organomet. Chem. 1989, 375, C40–C42. [Google Scholar]
- Beer, P. D.; Hesek, D.; Hodacova, J.; Stokes, S. E. Acyclic redox responsive anion responsive amide-linked cobaltocenium moieties. J. Chem. Soc., Chem. Commun. 1992, 270–272. [Google Scholar]
- Metzger, A.; Lynch, V. M.; Anslyn, E. V. A synthetic receptor selective for citrate. Angew. Chem., Int. Ed. Engl. 1997, 36, 862–865. [Google Scholar]
- Cabell, L. A.; Monahan, M.-K.; Anslyn, E. V. A competition assay for determining glucose-6-phosphate concentration with a tris-boronic acid receptor. Tetrahedron Lett. 1999, 40, 7753–7756. [Google Scholar]
- Beer, P. D.; Gale, P. A.; Chen, G. Z. Electrochemical molecular recognition: pathways between complexation and sample. Coord. Chem. Rev. 1999, 3, 185–186. [Google Scholar]
- Scheerder, J.; Engbersen, J. F. J.; Reinhoudt, D. N. Synthetic receptors for anion complexation. Recl. Trav. Chim. Pays-Bas 1996, 115, 307–320. [Google Scholar]
- Kral, V.; Rusin, O.; Shishkanova, T.; Volf, R.; Matejka, P.; Volka, K. Anion binding: from supramolecules to sensors. Chem. Listy 1999, 93, 546–553. [Google Scholar]
- Beer, P. D.; Gale, P. A. Anion recognition and sensing: the state of the art and future perspectives. Angew. Chem. Int. Ed. Engl. 2001, 40, 486–516. [Google Scholar]
- Beer, P. D. Transition-metal receptor system for the selective recognition and sensing of anionic guest species. Acc. Chem. Res. 1998, 31, 71–80. [Google Scholar]
- Hoffmann, R. W.; Hettche, F.; Harms, K. Energies and selectivities for anion binding as a function of host conformational preorganisation. Chem. Commun. 2002, 782–783. [Google Scholar]
- Hettche, F.; Hoffmann, R. W. A tri-armed sulfonamide host for selective binding of chloride. New J. Chem. 2003, 27, 172–177. [Google Scholar]
- Bai, Y.; Zhang, B.-G.; Xu, J.; Duan, C.-Y.; Dang, D.-B.; Liu, D.-J.; Meng, Q.-J. Conformational switching fluorescent chemosensor for chloride anion. New J. Chem. 2005, 29, 777–779. [Google Scholar]
- Yoon, J.; Kim, S. K.; Singh, N. J.; Lee, J. W.; Yang, Y. J.; Chellappan, K.; Kim, K. S. Highly effective fluorescent sensor for H2PO4. J. Org. Chem. 2004, 69, 581–584. [Google Scholar]
- Yin, Z.; Zhang, Y.; Hea, J.; Cheng, J.-P. A new tripodal anion receptor with selective binding for H2PO4− and F− ions. Tetrahedron 2006, 62, 765–770. [Google Scholar]
- Sasaki, S.; Mizuno, M.; Naemura, K.; Tobe, Y. Synthesis and anion-selective complexation of cyclophane-based cyclic thioureas. J. Org. Chem. 2000, 65, 275–283. [Google Scholar]
- Snellink-Ruel, B. H. M.; Antonisse, M. G.; Engbersen, J. F. J.; Timmerman, P.; Reinhoudt, D. N. Neutral anion receptors with multiple urea-binding sites. Eur. J. Org. Chem. 2000, 165–170. [Google Scholar]
- Bühlmann, P.; Pretsch, E.; Bakker, E. Carrier-based ion selective electrodes and bulk optodes. 2. Ionophores for potentiometric and optical sensors. Chem. Rev. 1998, 98, 1593–1685. [Google Scholar]
- Sasaki, S.; Citterio, D.; Ozawa, S.; Suzuki, K. Design and synthesis of preorganized tripodal fluororeceptors based on hydrogen bonding of thiourea groups for optical phosphate ion sensing. J. Chem. Soc., Perkin Trans. 2 2001, 2309–2313. [Google Scholar]
- Raposo, C.; Almaraz, M.; Martin, M.; Weinrich, V.; Musson, M.; Alcazar, V.; Cruz Cabarello, M.; Moran, J. R. Tris(2-aminoethyl)amine, a suitable spacer for phosphate and sulphate receptors. Chem. Lett. 1995, 36, 3255–3258. [Google Scholar]
- Wu, F.-Y.; Li, Z.; Wen, Z.-C.; Zhou, N.; Zhao, Y.-F.; Jiang, Y.-B. A novel thiourea-based dual fluorescent anion receptor with a rigid hydrazine spacer. Org. Lett. 2002, 4, 2325–3205. [Google Scholar]
- Bianchi, A.; Bowman-James, K.; Garcia-Espana, E. (Eds.) Supramolecular Chemistry of Anions; 1997; Willey-CH: New York.
- Valiyaveettil, S.; Engbersen, J. F. J.; Verboom, W.; Reinhoudt, D. N. Synthesis and complexation studies of neutral anion receptors. Angew. Chem. Int. Ed. Engl. 1993, 32, 900–901. [Google Scholar]
- Stibor, I.; Hafeed, D. S. M.; Lhoták, P.; Hodacova, J.; Koca, J.; Cajan, M. From the amide bond activation to simultaneous recognition of anion-cation couple. Gazz. Chim. Ital. 1997, 127, 673–685. [Google Scholar]
- Xie, H.; Yi, S.; Wu, S. Study on host-guest complexation of anions based on tripodal naphthylthiourea derivatives. J. Chem. Soc., Perkin Trans. 2 1999, 2751–2754. [Google Scholar]
- Xie, H.; Yi, S.; Yang, X.; Wu, S. Study on host-guest complexation of anions based on a tripodal naphthylthiourea derivative. New J. Chem. 1999, 23, 1105–1110. [Google Scholar]
- Beer, P. D.; Hopkins, P. K.; McKinney, J. D. Cooperative halide, perrhenate anion-sodium cation binding and pertechnetate extraction and transport by a novel tripodal tris(amido benzo-15-crown-5) ligand. Chem. Commun. 1999, 1253–1254. [Google Scholar]
- Beer, P. D.; Chen, Z.; Goulden, A. J.; Graydon, A. R.; Stokes, S. E.; Wear, T. Calixarene-based anion receptors. J. Chem. Soc., Chem. Commun. 1993, 1834–1839. [Google Scholar]
- Beer, P. D.; Drew, M. G. B.; Hesek, D.; Jagessar, R. Spectral and electrochemical anion sensing by a novel 5,10,15,20-tetrakis(R-substituted) porphyrin receptor. J. Chem. Soc., Chem. Commun. 1995, 1187–1189. [Google Scholar]
- Tobey, S. L.; Jone, B. D.; Anslyn, E. V. C3v symmetric receptors show high selectivity and high affinity for phosphate. J. Am. Chem. Soc. 2003, 125, 4026–4027. [Google Scholar]
- Tobey, S. L.; Anslyn, E. V. Determination of inorganic phosphate in serum and saliva using a synthetic receptor. Org. Lett. 2003, 5, 2029–2031. [Google Scholar]
- Berrocal, M. J.; Cruz, A.; Badr, I. H. A.; Bachas, L. G. Tripodal ionophore with sulfate recognition properties for anion-selective electrodes. Anal. Chem. 2000, 72, 5295–5299. [Google Scholar]
- Seong, H. R.; Kim, D.-S.; Kim, S.-G.; Choi, H.-J.; Ahn, K. H. Benzene-based tripodal isothiouronium compounds as sulfate ion receptors. Tetrahedron Lett. 2004, 45, 723–727. [Google Scholar]
- Gale, P. A. Anion coordination and anion-directed assembly: highlights from 1997 and 1998. Coord. Chem. Rev. 2000, 199, 181–188. [Google Scholar]
- Wiskur, S. L.; Floriano, P. N.; Anslyn, E. V.; McDevitt, J. T. A multicomponent sensing ensemble in solution: differentiation between structurally similar analytes. Angew. Chem., Int. Ed. Engl. 2003, 42, 2070–2072. [Google Scholar]
- Metzger, A.; Anslyn, E. V. A chemosensor for citrate in beverages. Angew. Chem. Int. Ed. Engl. 1998, 37, 649–652. [Google Scholar]
- McCleskey, S. C.; Metzger, A.; Simmons, C. S.; Anslyn, E. V. Competitive indicator methods for the analysis of citrate using colorimetric assays. Tetrahedron 2002, 58, 621–628. [Google Scholar]
- Schmuck, C.; Schwegmann, M. A molecular flytrap for the selective binding of citrate and other tricarboxylates in water. J. Am. Chem. Soc. 2005, 127, 3373–3379. [Google Scholar]
- Massou, S.; Albigot, R.; Prats, M. Carboxyfluorescein fluorescence experiments. Biochem. Educ. 2000, 28, 171–173. [Google Scholar]
- Lee, H. J.; Yoon, I. J.; Yoo, C. L.; Pyun, H. -J.; Cha, G. S.; Nam, H. Potentiometric evaluation of solvent polymeric carbonate-selective membranes based on molecular tweezer type neutral carriers. Anal. Chem. 2000, 72, 4694–4697. [Google Scholar]
- Wiskur, S. L.; Anslyn, E. V. Using a synthetic receptor to create an optical-sensing ensemble for a class of analytes: a colorimetric assay for the aging of scotch. J. Am. Chem. Soc. 2001, 123, 10109–10110. [Google Scholar]
- Zhong, Z.; Anslyn, E. V. A colorimetric sensing ensemble for heparin. J. Am. Chem. Soc. 2002, 124, 9014–9015. [Google Scholar]
- Guo, Y.-H.; Ge, Q.-C.; Lin, H.; Lin, H.-K; Zhu, S.-R. Thermodynamic studies on supramolecular interaction of metal ions with nucleotides/tripods ligands. Polyhedron 2002, 21, 1005–1015. [Google Scholar]
- McCleskey, S. C.; Floriano, P. N.; Wiskur, S. L.; Anslyn, E. V.; McDevitt, J. T. Citrate and calcium determination in flavored vodkas using artificial neural networks. Tetrahedron 2003, 50, 10089–10092. [Google Scholar]
- Cabell, L. A.; Best, M. D.; Lavigne, J. J.; Schneider, S. E.; Perreault, D. M.; Monahan, M.-K.; Anslyn, E. V. Metal triggered fluorescence sensing of citrate using a synthetic receptor. J. Chem. Soc., Perkin Trans. 2 2001, 315–323. [Google Scholar]
- Fabbrizzi, L.; Licchelli, M.; Perotti, A.; Poggi, A.; Rabaioli, G.; Sacchi, D.; Taglietti, A. Fluorescent molecular sensing of amino acids bearing an aromatic residue. J. Chem. Soc., Perkin Trans. 2 2001, 2108–2113. [Google Scholar]
- Fabbrizzi, L.; Licchelli, M.; Parodi, L.; Poggi, A.; Taglietti, A. A versatile fluorescent system for sensing of H+, transition metals, and aromatic carboxylates. Eur. J. Inorg. Chem. 1999, 35–39. [Google Scholar]
© 2006 by MDPI ( http://www.mdpi.org). Reproduction is permitted for noncommercial purposes.
Acknowledgments
The authors gratefully thank the KNAW (The Royal Netherlands Academy of Arts and Sciences) for supporting this work via the SPIN Mobility Program 2006-2007.
References
- Diamond, D.; Nolan, K. Calixarenes: Designer ligands for chemical sensors. Anal. Chem. 2001, 73, 22A–29A. [Google Scholar]
- Ludwig, R.; Dzung, N. T. K. Calixarene based molecules for cation recognition. Sensors 2002, 2, 397–416. [Google Scholar]
- Beer, P. D.; Gale, P. A. Anion recognition and sensing: the state of the art and future perspectives. Angew. Chem. Int. Ed. Engl. 2001, 40, 486–516. [Google Scholar]
- Antonisse, M. M. G.; Reinhoudt, D. N. Potentiometric anion selective sensors. Electroanalysis 1999, 11, 1035–1048. [Google Scholar]
- Antonisse, M. M. G.; Reinhoudt, D. N. Neutral anion receptors: design and application. Chem. Commun. 1998, 443–448. [Google Scholar]
- Berocal, M. J.; Cruz, A.; Badr, I. H. A.; Bachas, L. G. Tripodal ionophore with sulphate recognition properties for anion-selective electrode. Anal. Chem. 2000, 72, 5295–5299. [Google Scholar]
- Reinoso-Garcia, M. M.; Dijkman, A.; Verboom, W.; Reinhoudt, D. N.; Malinoswka, E.; Wojciechowska, D.; Pietrzak, M.; Selucky, P. Metal complexation by tripodal N- acyl(thio)urea and picolin(thio)amide compounds: synthesis/extraction and potentiometric studies. Eur. J. Org. Chem. 2005, 2131–2138. [Google Scholar]
- Kim, S.-G.; Kim, K.-H.; Jung, J.; Shin, S. K.; Ahn, K. H. Unprecedented chiral molecular recognition in a C-3-symmetric environment. J. Am. Chem. Soc. 2002, 124, 591–597. [Google Scholar]
- Kim, Y.-K.; Ha, J.; Cha, G. S.; Ahn, K. H. Synthesis of tripodal trifluoroacetophenone derivatives and their evaluation as ion-selective electrode membranes. Bull. Korean Chem. Soc. 2002, 23, 1420–1424. [Google Scholar]
- Sasaki, S.; Ozawa, S.; Citterio, D.; Iwasawa, N.; Suzuki, K. Phosphate anion sensing based on preorganised tripodal ionophores. Anal. Sci. 2001, 17, i1659–1661. [Google Scholar]
- Reinoso-Garcia, M. M.; Janczewski, D.; Reinhoudt, D. N.; Verboom, W.; Malinoswka, E.; Pietrzak, M.; Hill, D.; Baca, J.; Gruner, B.; Selucky, P; Gruttner, C. CMP(O) tripodands: Synthesis, potentiometric studies and extractions. New J. Chem. 2006, 30. in press. [Google Scholar]
- Schmuck, C.; Schwegmann, M. A naked-eye sensing ensemble for selective detection of citrate-but not-tartrate or malate-in water based on a tris-cationic receptor. Org. Biomol. Chem. 2006, 4, 836–838. [Google Scholar]
- Wei, L. H.; He, Y. B.; Wu, J. L.; Qin, H. J.; Xu, K. X.; Meng, L. Z. Color response of a tripodal colorimetric sensor toward anions. Chin. J. Chem. 2005, 23, 608–612. [Google Scholar]
- Niikura, K.; Bisson, A. P.; Anslyn, E. V. Optical sensing of inorganic anions employing a synthethic receptor and ionic colorimetric dyes. J. Chem. Soc., Perkin Trans. 2 1999, 1111–1114. [Google Scholar]
- Wiskur, S. L.; Ait-Haddou, H.; Lavigne, J. J.; Anslyn, E. V. Teaching old indicators new tricks. Acc. Chem. Res. 2001, 34, 963–972. [Google Scholar]
- Sato, K.; Arail, S.; Yamagishi, T. A new tripodal anion receptor with C-H—X hydrogen bonding. Tetrahedron Lett. 1999, 40, 5219–5222. [Google Scholar]
- Ballester, P.; Costa, A.; Deyii, P. M.; Vega, M.; Morey, J. Influence of remote intramolecular hydrogen bonds on the thermodynamics of molecular recognition of cis-1,3,5-cyclohexanetricarboxylic acid. Tetrahedron Lett. 1999, 40, 171–174. [Google Scholar]
- Fan, A. L.; Hong, H. K.; Valiyaveettil, S.; Vittal, J. J. A urea-incorporated receptor for aromatic carboxylate anion recognition. J. Supramol. Chem. 2002, 2, 247–254. [Google Scholar]
- Borovik, A. S. Bioinspired hydrogen bond motifs in ligand design: the role of noncovalent interactions in metal ion mediated activation of dioxygen. Acc. Chem. Res. 2005, 38, 54–61. [Google Scholar]
- Martinez-Manez, R.; Sancenon, F. Fluorogenic and chromogenic chemosensors and reagents for anions. Chem. Rev. 2003, 103, 4419–4476. [Google Scholar]
- Lu, H.-J.; Fan, Y.-T.; Wu, Y.-J; Yin, M.-C. Tripodal lipophilic ionophores: synthesis, cation binding and transport through liquid membranes. Polyhedron 2001, 20, 3281–3286. [Google Scholar]
- Goodall, M.; Kelly, P. M.; Peter, D. Selective cation binding with cis, cis-1,3,5-trioxycyclohexyl based ligands. J. Chem. Soc., Perkin Trans. 2 1997, 59–63. [Google Scholar]
- Teulade-Fichou, M. P.; Vigeron, J. P.; Lehn, J.-M. Detection of organic anions in water through complexation enhanced fluorescence of a macrobicyclic tris-acridine cryptand. J. Chem. Soc., Perkin Trans. 2 1996, 2169–21672. [Google Scholar]
- Amendola, V.; Bastianello, E.; Fabrizzi, L. Halide-ion encapsulation by a flexible dicopper(II) bis-tren cryptate. Angew. Chem., Int. Ed. Engl. 2000, 39, 2917–2920. [Google Scholar]
- Ge, Q.–C.; Guo, Y.-H.; Lin, H.; Lin, H.–K.; Zhu, S.–R. Stoichiometrical coordination behaviour of hexaza tripodal ligands towards zinc(II), copper(II), nickel(II) and cobalt(II). Trans. Met. Chem. 2003, 28, 572–578. [Google Scholar]
- Meijler, M. M.; Arad-Yellin, R.; Cabantchik, Z. I.; Shanzer, A. Synthesis and evaluation of iron chelators with masked hydrophilic moieties. J. Am. Chem. Soc. 2002, 124, 12666–12668. [Google Scholar]
- Steiner, R. A.; Oehme, M.; Ammann, D.; Simon, W. Neutral carrier sodium ion-selective microelectrode for intracellular studies. Anal. Chem. 1979, 51, 351–357. [Google Scholar]
- Yan, Z.; Fan, Y.; Gao, Q.; Lu, H.; Hou, H. Tripodal compound 1,1,1-tris(N-ethyl-N-phenylamino-carboxylmethoxymethyl)propane as an ionophore for alkali and alkaline earth metal cations-selective electrode. Talanta 2002, 57, 81–88. [Google Scholar]
- Kataky, R.; Parker, D.; Teasdale, A. Comparative study of tripodal oxa-amides and oxa-esters as ionophores in potentiometric ion-selective electrodes for alkali and alkaline earth cations. Anal. Chim. Acta 1993, 276, 353–360. [Google Scholar]
- Tuntulani, T.; Thavornyutikarn, P.; Poompradub, S.; Jaiboon, N.; Ruangpornvisuti, V.; Chaichit, N.; Asfari, Z.; Vicens, J. Synthesis of tripodal azacrown ether calix[4]arenes and their supramolecular chemistry with transition, alkali metal ions and anions. Tetrahedron 2002, 58, 10277–10285. [Google Scholar]
- Hayashi, M.; Ishii, M.; Hiratani, K.; Saigo, K. Synthesis and binding properties of new tripodal hexadentate ligands having three quinolinol moieties for trivalent metal cations. Tetrahedron Lett. 1998, 39, 6215–6218. [Google Scholar]
- Hayashi, M.; Hiratani, K.; Kina, S.-I.; Ishii, M.; Saigo, K. Synthesis and binding property of a novel tripodal hexadentate ligand having catechol moieties. Tetrahedron Lett. 1998, 39, 6211–6214. [Google Scholar]
- Mulon, J.-B.; Destandau, É.; Alain, V.; Bardez, É. How can aluminium(III) generate fluorescence? J. Inorg. Biochem. 2005, 99, 1749–1755. [Google Scholar]
- Prodi, L.; Bolletta, F.; Montalti, M.; Zaccheroni, N. Searching for new luminescent sensors: synthesis and photophysical properties of a tripodal ligand incorporating the dansyl chromophore and its metal complexes. Eur. J. Inorg. Chem. 1999, 455–459. [Google Scholar]
- Malval, J. P.; Lapouyade, R.; Leger, J.-M.; Jarry, C. Tripodal ligand incorporating a dual fluorescent ionophores: a coordinative control of photoinduced electron transfer. Photochem. Photobiol. Sci. 2003, 2, 259–266. [Google Scholar]
- Arnaud-Neu, F.; Böhmer, V.; Dozol, J. F.; Gruttner, C.; Jakobi, R. A.; Kraft, D.; Mauprivez, O.; Rouquette, H.; Schwing-Weill, M. J.; Simon, N.; Vogt, W. Calixarenes with diphenylphosphoryl acetamide functions at the upper rim. A new class of highly efficient extractants for lanthanides and actinides. J. Chem. Soc., Perkin Trans. 2 1996, 1175–1179. [Google Scholar]
- Matthews, S. E.; Saadioui, M.; Böhmer, V.; Barboso, S.; Arnaud-Neu, F.; Schwing-Weill, M.-J.; Garcia Carrera, A.; Dozol, J.-F. Conformationally mobile wide rim carbamoylmethylphosphine oxide (CMPO)-calixarenes. J. Prakt Chem. 1999, 341, 264–273. [Google Scholar]
- Arduini, A.; Böhmer, V.; Delmau, L.; Desreux, J.-F.; Dozol, J.-F.; Carrera, M. A. G.; Lambert, B.; Musigmann, C.; Pochini, A.; Shivanyuk, A.; Ugozzoli, F. Rigidified calixarenes bearing four carbamoylmethylphosphineoxide or carbamoylmethylphosphoryl functions at the wide rim. Chem. Eur. J. 2000, 6, 2135–2144. [Google Scholar]
- Schmidt, C.; Saadioui, M.; Böhmer, V.; Host, V.; Spirlet, M.-R.; Desreux, J.-F.; Brisach, F.; Arnaud-Neu, F.; Dozol, J.-F. Modification of calix[4]arenes with CMPO-functions at the wide rim. Synthesis, solution behavior, and separation of actinides from lanthanides. Org. Biomol. Chem. 2003, 1, 4089–4095. [Google Scholar]
- Wang, P.; Saadioui, M.; Schmidt, C.; Böhmer, V.; Host, V.; Desreux, J.-F.; Dozol, J.-F. Dendritic octa-CMPO derivatives of calix[4]arenes. Tetrahedron 2004, 60, 2509–2515. [Google Scholar]
- Boerrigter, H.; Verboom, W.; Reinhoudt, D. N. Novel resorcinarene cavitand-based CMP(O) cation ligands: Synthesis and extraction properties. J. Org. Chem. 1997, 62, 7148–7155. [Google Scholar]
- Reinoso Garcia, M. M.; Verboom, W.; Reinhoudt, D. N.; Brisach, F.; Arnaud-Neu, F.; Liger, K. Solvent extraction of actinides and lanthanides by CMP(O)- and N-acyl(thio)urea-tetrafunctionalized cavitands: strong synergistic effect of cobalt bis(dicarbollide) ions. Solv. Extr. Ion Exch. 2005, 23, 425–437. [Google Scholar]
- Peters, M. W.; Werner, E. J.; Scott, M. J. Enhanced selectivity for actinides over lanthanides with CMPO ligands secured to a C-3-symmetric triphenoxymethane platform. Inorg. Chem. 2002, 41, 1707–1711. [Google Scholar]
- Rudzevich, V.; Schollmeyer, D.; Braekers, D.; Desreux, J.-F.; Diss, R.; Wipff, G.; Böhmer, V. Carbamoylmethylphosphinoxide derivatives based on the triphenylmethane skeleton. synthesis and extraction Properties. J. Org. Chem. 2005, 70, 6027–6033. [Google Scholar]
- Ghosh, P.; Shukla, A. D.; Das, A. Cerium ion-induced fluorescence enhancement of a tripodal fluoroionophore. Tetrahedron Lett. 2002, 43, 7419–7422. [Google Scholar]
- Wietzke, R.; Mazzanti, M.; Latour, J.-M.; Pecaut, J. Strong intramoleculer π-π interactions favor the formation of 2:1 (L:M) lanthanide complexes of tris(2-benzimidazolylmethyl)amine. Chem. Commun. 1999, 209–210. [Google Scholar]
- Sahoo, S. K.; Baral, M.; Kanungo, B. K. Potentiometric, spectrophotometric, theoretical studies and binding properties of a novel tripodal polycatechol-amine ligand with lanthanide(III) ions. Polyhedron 2006, 25, 722–736. [Google Scholar]
- Sasaki, S.; Amano, T.; Monma, G.; Otsuka, T.; Iwasawa, N.; Citterio, D.; Hisamoto, H.; Suzuki, K. Comparison of two molecular design strategies for the development of an ammonium ionophore more highly selective than nonactin. Anal. Chem. 2002, 74, 4845–4848. [Google Scholar]
- Ahn, K. H.; Kim, S.-G.; Kim, K.-H.; Jung, J.; Kim, J.; Chin, J.; Kim, K. Selective recognition of NH4+ over K+with tripodal oxazoline receptors. Chem. Lett. 2000, 170–171. [Google Scholar]
- Kim, S.-G.; Ahn, K. H. Novel artificial receptors for alkylammonium ions with remarkable selectivity and affinity. Chem. Eur. J. 2000, 6, 3399–3403. [Google Scholar]
- Kim, H.-S.; Kim, D.-H.; Kim, K. S.; Choi, H.-J.; Shim, J. H.; Jeong, I. S.; Cha, G. S.; Nam, H. Synthesis and properties of 1,3,5-tris(phenoxymethyl)-2,4,6-triethylbenzenes as NH4+ ionophores. J. Incl. Phenom. Macrocycl. Chem. 2003, 46, 201–205. [Google Scholar]
- Hennrich, G.; Lynch, V. M.; Anslyn, E. V. Novel C3-symmetric molecular scaffolds with potential facial differentiation. Chem. Eur. J. 2002, 8, 2274–2278. [Google Scholar]
- Niikura, K.; Metzger, A.; Anslyn, E. V. Chemosensor ensemble with selectivity for inositol-triphosphate. J. Am. Chem. Soc. 1998, 120, 8533–8534. [Google Scholar]
- Chin, J.; Walsdorff, C.; Stranix, B.; Oh, J.; Chung, H. J.; Park, S.-M.; Kim, K. A rational approach to selective recognition of NH4+ over K+. Angew. Chem., Int. Ed. Engl. 1999, 38, 2756–2759. [Google Scholar]
- Lavigne, J. L.; Anslyn, E. V. Teaching old indicators new tricks: a colorimetric chemosensing ensemble for tartrate/malate in beverages. Angew. Chem., Int. Ed. Engl. 1999, 38, 3666–3669. [Google Scholar]
- Kim, H.-J.; Kim, Y.-H.; Hong, J.-I. Sugar recognition by C-3-symmetric oxazoline hosts. Tetrahedron Lett. 2001, 42, 5049–5052. [Google Scholar]
- Ahn, K. H.; Ku, H.-Y.; Kim, Y.; Kim, S.-G.; Kim, Y. K.; Son, H. S.; Ku, J. K. Fluorescence sensing of ammonium and organoammonium ions with tripodal oxazoline receptors. Org. Lett. 2003, 5, 1419–1422. [Google Scholar]
- Hartshorn, C. M.; Steel, P. J. Poly(pyrazol-1-ylmethyl)benzenes: New multidentate ligands. Aust. J. Chem. 1995, 48, 1587–1589. [Google Scholar]
- Hartshorn, C. M.; Steel, P. J. Coelenterands: A new class of metal-encapsulating ligands. Angew. Chem., Int. Ed. Engl. 1996, 35, 2655–2657. [Google Scholar]
- Oh, K. S.; Lee, C.–W.; Choi, H. S.; Lee, S. J.; Kim, K. S. Origin of the high affinity and selectivity of novel receptors for NH4+ over K+: Charged hydrogen bonds vs cation- π interaction. Org. Lett. 2000, 2, 2679–2681. [Google Scholar]
- Cleland, W. W.; Frey, P. A.; Gerlt, J. A. The low barrier hydrogen bond in enzymatic catalysis. J. Biol. Chem. 1998, 273, 25529–25532. [Google Scholar]
- Ma, J. C.; Dougherty, D. A. The cation-pi interaction. Chem. Rev. 1997, 97, 1303–1324. [Google Scholar]
- Mecozzi, S.; West, A. P.; Dougherty, D. A. Cation-pi interactions in simple aromatics: Electrostatics provide a predictive tool. J. Am. Chem. Soc. 1996, 118, 2307–2310. [Google Scholar]
- Choi, H. S.; Suh, S. B.; Cho, S. J.; Kim, K. S. Ionophores and receptors using cation-π interactions: Collarenes. Proc. Natl. Acad. Sci. 1998, 95, 12094–12099. [Google Scholar]
- Lee, H. M.; Kim, J.; Lee, S.; Mhin, B. J.; Kim, K. S. Aqua-potassium(I) complexes: Ab initio study. J. Chem. Phys. 1999, 111, 3995–3999. [Google Scholar]
- Kim, S. K.; Singh, N. J.; Kim, S. J.; Kim, H. G.; Kim, J. K.; Lee, J. W.; Kim, K. S.; Yoon, J. New fluorescent photoinduced electron transfer chemosensor for the recognition of H2PO4-. Org. Lett. 2003, 5, 2083–2086. [Google Scholar]
- Schmidtchen, F. P.; Berger, M. Artificial organic host molecules for anions. Chem. Rev. 1997, 97, 1609–1646. [Google Scholar]
- Gale, P. A.; Sessler, J. L.; Kral, V.; Lynch, V. Calix[4]pyrroles: old yet new anion-binding agents. J. Am. Chem. Soc. 1996, 118, 5140–5141. [Google Scholar]
- Reetz, M. T.; Niemeyer, C. M.; Harms, K. Crown ethers with a Lewis acidic center: A new class of heterotopic host molecules. Angew. Chem., Int. Ed. Engl. 1991, 30, 1472–1474. [Google Scholar]
- Morzherin, Y.; Rudkevich, D. M.; Verboom, W.; Reinhoudt, D. N. Chlorosulfonated calix[4]arenes: precursors for neutral anion receptors with a selectivity for hydrogen sulphate. J. Org. Chem. 1993, 58, 7602–7605. [Google Scholar]
- Casnati, A.; Fochi, M.; Minari, P.; Pochini, A.; Reggiani, M.; Ungaro, R.; Reinhoudt, D. N. Upper-rim urea-derivatised calix[4]arenes as neutral receptors for monocarboxylate anions. Gazz. Chim. Ital. 1996, 99–106. [Google Scholar]
- Cameron, B. R.; Loeb, S. J. Bis(amido)calix[4]arene in the pinched cone conformation as tuneable hydrogen-bonding anion receptors. J. Chem. Soc., Chem. Commun. 1997, 573–574. [Google Scholar]
- Beer, P. D.; Hazlewood, C.; Hesek, D.; Hodacova, J.; Stokes, S. E. Anion recognition by acyclic redox-responsive amide-linked cobaltocenium receptor. J. Chem. Soc., Dalton. Trans. 1993, 1327–1332. [Google Scholar]
- Raposo, C.; Perez, N.; Almaraz, M.; Luisa Mussons, M.; Cruz Cabarello, M.; Moran, J. R. A cyclohexane spacer for phosphate receptors. Tetrahedron Lett. 1995, 36, 3255–3258. [Google Scholar]
- Beer, P. D.; Keefe, A. D. A new approach to the coordination of anions, novel polycobalticinium macrocyclic receptor molecules. J. Organomet. Chem. 1989, 375, C40–C42. [Google Scholar]
- Beer, P. D.; Hesek, D.; Hodacova, J.; Stokes, S. E. Acyclic redox responsive anion responsive amide-linked cobaltocenium moieties. J. Chem. Soc., Chem. Commun. 1992, 270–272. [Google Scholar]
- Metzger, A.; Lynch, V. M.; Anslyn, E. V. A synthetic receptor selective for citrate. Angew. Chem., Int. Ed. Engl. 1997, 36, 862–865. [Google Scholar]
- Cabell, L. A.; Monahan, M.-K.; Anslyn, E. V. A competition assay for determining glucose-6-phosphate concentration with a tris-boronic acid receptor. Tetrahedron Lett. 1999, 40, 7753–7756. [Google Scholar]
- Beer, P. D.; Gale, P. A.; Chen, G. Z. Electrochemical molecular recognition: pathways between complexation and sample. Coord. Chem. Rev. 1999, 3, 185–186. [Google Scholar]
- Scheerder, J.; Engbersen, J. F. J.; Reinhoudt, D. N. Synthetic receptors for anion complexation. Recl. Trav. Chim. Pays-Bas 1996, 115, 307–320. [Google Scholar]
- Kral, V.; Rusin, O.; Shishkanova, T.; Volf, R.; Matejka, P.; Volka, K. Anion binding: from supramolecules to sensors. Chem. Listy 1999, 93, 546–553. [Google Scholar]
- Beer, P. D.; Gale, P. A. Anion recognition and sensing: the state of the art and future perspectives. Angew. Chem. Int. Ed. Engl. 2001, 40, 486–516. [Google Scholar]
- Beer, P. D. Transition-metal receptor system for the selective recognition and sensing of anionic guest species. Acc. Chem. Res. 1998, 31, 71–80. [Google Scholar]
- Hoffmann, R. W.; Hettche, F.; Harms, K. Energies and selectivities for anion binding as a function of host conformational preorganisation. Chem. Commun. 2002, 782–783. [Google Scholar]
- Hettche, F.; Hoffmann, R. W. A tri-armed sulfonamide host for selective binding of chloride. New J. Chem. 2003, 27, 172–177. [Google Scholar]
- Bai, Y.; Zhang, B.-G.; Xu, J.; Duan, C.-Y.; Dang, D.-B.; Liu, D.-J.; Meng, Q.-J. Conformational switching fluorescent chemosensor for chloride anion. New J. Chem. 2005, 29, 777–779. [Google Scholar]
- Yoon, J.; Kim, S. K.; Singh, N. J.; Lee, J. W.; Yang, Y. J.; Chellappan, K.; Kim, K. S. Highly effective fluorescent sensor for H2PO4. J. Org. Chem. 2004, 69, 581–584. [Google Scholar]
- Yin, Z.; Zhang, Y.; Hea, J.; Cheng, J.-P. A new tripodal anion receptor with selective binding for H2PO4− and F− ions. Tetrahedron 2006, 62, 765–770. [Google Scholar]
- Sasaki, S.; Mizuno, M.; Naemura, K.; Tobe, Y. Synthesis and anion-selective complexation of cyclophane-based cyclic thioureas. J. Org. Chem. 2000, 65, 275–283. [Google Scholar]
- Snellink-Ruel, B. H. M.; Antonisse, M. G.; Engbersen, J. F. J.; Timmerman, P.; Reinhoudt, D. N. Neutral anion receptors with multiple urea-binding sites. Eur. J. Org. Chem. 2000, 165–170. [Google Scholar]
- Bühlmann, P.; Pretsch, E.; Bakker, E. Carrier-based ion selective electrodes and bulk optodes. 2. Ionophores for potentiometric and optical sensors. Chem. Rev. 1998, 98, 1593–1685. [Google Scholar]
- Sasaki, S.; Citterio, D.; Ozawa, S.; Suzuki, K. Design and synthesis of preorganized tripodal fluororeceptors based on hydrogen bonding of thiourea groups for optical phosphate ion sensing. J. Chem. Soc., Perkin Trans. 2 2001, 2309–2313. [Google Scholar]
- Raposo, C.; Almaraz, M.; Martin, M.; Weinrich, V.; Musson, M.; Alcazar, V.; Cruz Cabarello, M.; Moran, J. R. Tris(2-aminoethyl)amine, a suitable spacer for phosphate and sulphate receptors. Chem. Lett. 1995, 36, 3255–3258. [Google Scholar]
- Wu, F.-Y.; Li, Z.; Wen, Z.-C.; Zhou, N.; Zhao, Y.-F.; Jiang, Y.-B. A novel thiourea-based dual fluorescent anion receptor with a rigid hydrazine spacer. Org. Lett. 2002, 4, 2325–3205. [Google Scholar]
- Bianchi, A.; Bowman-James, K.; Garcia-Espana, E. (Eds.) Supramolecular Chemistry of Anions; 1997; Willey-CH: New York.
- Valiyaveettil, S.; Engbersen, J. F. J.; Verboom, W.; Reinhoudt, D. N. Synthesis and complexation studies of neutral anion receptors. Angew. Chem. Int. Ed. Engl. 1993, 32, 900–901. [Google Scholar]
- Stibor, I.; Hafeed, D. S. M.; Lhoták, P.; Hodacova, J.; Koca, J.; Cajan, M. From the amide bond activation to simultaneous recognition of anion-cation couple. Gazz. Chim. Ital. 1997, 127, 673–685. [Google Scholar]
- Xie, H.; Yi, S.; Wu, S. Study on host-guest complexation of anions based on tripodal naphthylthiourea derivatives. J. Chem. Soc., Perkin Trans. 2 1999, 2751–2754. [Google Scholar]
- Xie, H.; Yi, S.; Yang, X.; Wu, S. Study on host-guest complexation of anions based on a tripodal naphthylthiourea derivative. New J. Chem. 1999, 23, 1105–1110. [Google Scholar]
- Beer, P. D.; Hopkins, P. K.; McKinney, J. D. Cooperative halide, perrhenate anion-sodium cation binding and pertechnetate extraction and transport by a novel tripodal tris(amido benzo-15-crown-5) ligand. Chem. Commun. 1999, 1253–1254. [Google Scholar]
- Beer, P. D.; Chen, Z.; Goulden, A. J.; Graydon, A. R.; Stokes, S. E.; Wear, T. Calixarene-based anion receptors. J. Chem. Soc., Chem. Commun. 1993, 1834–1839. [Google Scholar]
- Beer, P. D.; Drew, M. G. B.; Hesek, D.; Jagessar, R. Spectral and electrochemical anion sensing by a novel 5,10,15,20-tetrakis(R-substituted) porphyrin receptor. J. Chem. Soc., Chem. Commun. 1995, 1187–1189. [Google Scholar]
- Tobey, S. L.; Jone, B. D.; Anslyn, E. V. C3v symmetric receptors show high selectivity and high affinity for phosphate. J. Am. Chem. Soc. 2003, 125, 4026–4027. [Google Scholar]
- Tobey, S. L.; Anslyn, E. V. Determination of inorganic phosphate in serum and saliva using a synthetic receptor. Org. Lett. 2003, 5, 2029–2031. [Google Scholar]
- Berrocal, M. J.; Cruz, A.; Badr, I. H. A.; Bachas, L. G. Tripodal ionophore with sulfate recognition properties for anion-selective electrodes. Anal. Chem. 2000, 72, 5295–5299. [Google Scholar]
- Seong, H. R.; Kim, D.-S.; Kim, S.-G.; Choi, H.-J.; Ahn, K. H. Benzene-based tripodal isothiouronium compounds as sulfate ion receptors. Tetrahedron Lett. 2004, 45, 723–727. [Google Scholar]
- Gale, P. A. Anion coordination and anion-directed assembly: highlights from 1997 and 1998. Coord. Chem. Rev. 2000, 199, 181–188. [Google Scholar]
- Wiskur, S. L.; Floriano, P. N.; Anslyn, E. V.; McDevitt, J. T. A multicomponent sensing ensemble in solution: differentiation between structurally similar analytes. Angew. Chem., Int. Ed. Engl. 2003, 42, 2070–2072. [Google Scholar]
- Metzger, A.; Anslyn, E. V. A chemosensor for citrate in beverages. Angew. Chem. Int. Ed. Engl. 1998, 37, 649–652. [Google Scholar]
- McCleskey, S. C.; Metzger, A.; Simmons, C. S.; Anslyn, E. V. Competitive indicator methods for the analysis of citrate using colorimetric assays. Tetrahedron 2002, 58, 621–628. [Google Scholar]
- Schmuck, C.; Schwegmann, M. A molecular flytrap for the selective binding of citrate and other tricarboxylates in water. J. Am. Chem. Soc. 2005, 127, 3373–3379. [Google Scholar]
- Massou, S.; Albigot, R.; Prats, M. Carboxyfluorescein fluorescence experiments. Biochem. Educ. 2000, 28, 171–173. [Google Scholar]
- Lee, H. J.; Yoon, I. J.; Yoo, C. L.; Pyun, H. -J.; Cha, G. S.; Nam, H. Potentiometric evaluation of solvent polymeric carbonate-selective membranes based on molecular tweezer type neutral carriers. Anal. Chem. 2000, 72, 4694–4697. [Google Scholar]
- Wiskur, S. L.; Anslyn, E. V. Using a synthetic receptor to create an optical-sensing ensemble for a class of analytes: a colorimetric assay for the aging of scotch. J. Am. Chem. Soc. 2001, 123, 10109–10110. [Google Scholar]
- Zhong, Z.; Anslyn, E. V. A colorimetric sensing ensemble for heparin. J. Am. Chem. Soc. 2002, 124, 9014–9015. [Google Scholar]
- Guo, Y.-H.; Ge, Q.-C.; Lin, H.; Lin, H.-K; Zhu, S.-R. Thermodynamic studies on supramolecular interaction of metal ions with nucleotides/tripods ligands. Polyhedron 2002, 21, 1005–1015. [Google Scholar]
- McCleskey, S. C.; Floriano, P. N.; Wiskur, S. L.; Anslyn, E. V.; McDevitt, J. T. Citrate and calcium determination in flavored vodkas using artificial neural networks. Tetrahedron 2003, 50, 10089–10092. [Google Scholar]
- Cabell, L. A.; Best, M. D.; Lavigne, J. J.; Schneider, S. E.; Perreault, D. M.; Monahan, M.-K.; Anslyn, E. V. Metal triggered fluorescence sensing of citrate using a synthetic receptor. J. Chem. Soc., Perkin Trans. 2 2001, 315–323. [Google Scholar]
- Fabbrizzi, L.; Licchelli, M.; Perotti, A.; Poggi, A.; Rabaioli, G.; Sacchi, D.; Taglietti, A. Fluorescent molecular sensing of amino acids bearing an aromatic residue. J. Chem. Soc., Perkin Trans. 2 2001, 2108–2113. [Google Scholar]
- Fabbrizzi, L.; Licchelli, M.; Parodi, L.; Poggi, A.; Taglietti, A. A versatile fluorescent system for sensing of H+, transition metals, and aromatic carboxylates. Eur. J. Inorg. Chem. 1999, 35–39. [Google Scholar]
© 2006 by MDPI ( http://www.mdpi.org). Reproduction is permitted for noncommercial purposes.






