Research on Star Sensor Imaging Simulation Under Near-Space Hypersonic Non-Equilibrium Flow Conditions
Abstract
1. Introduction
2. Numerical Modeling of Non-Equilibrium Flow
2.1. Governing Equation
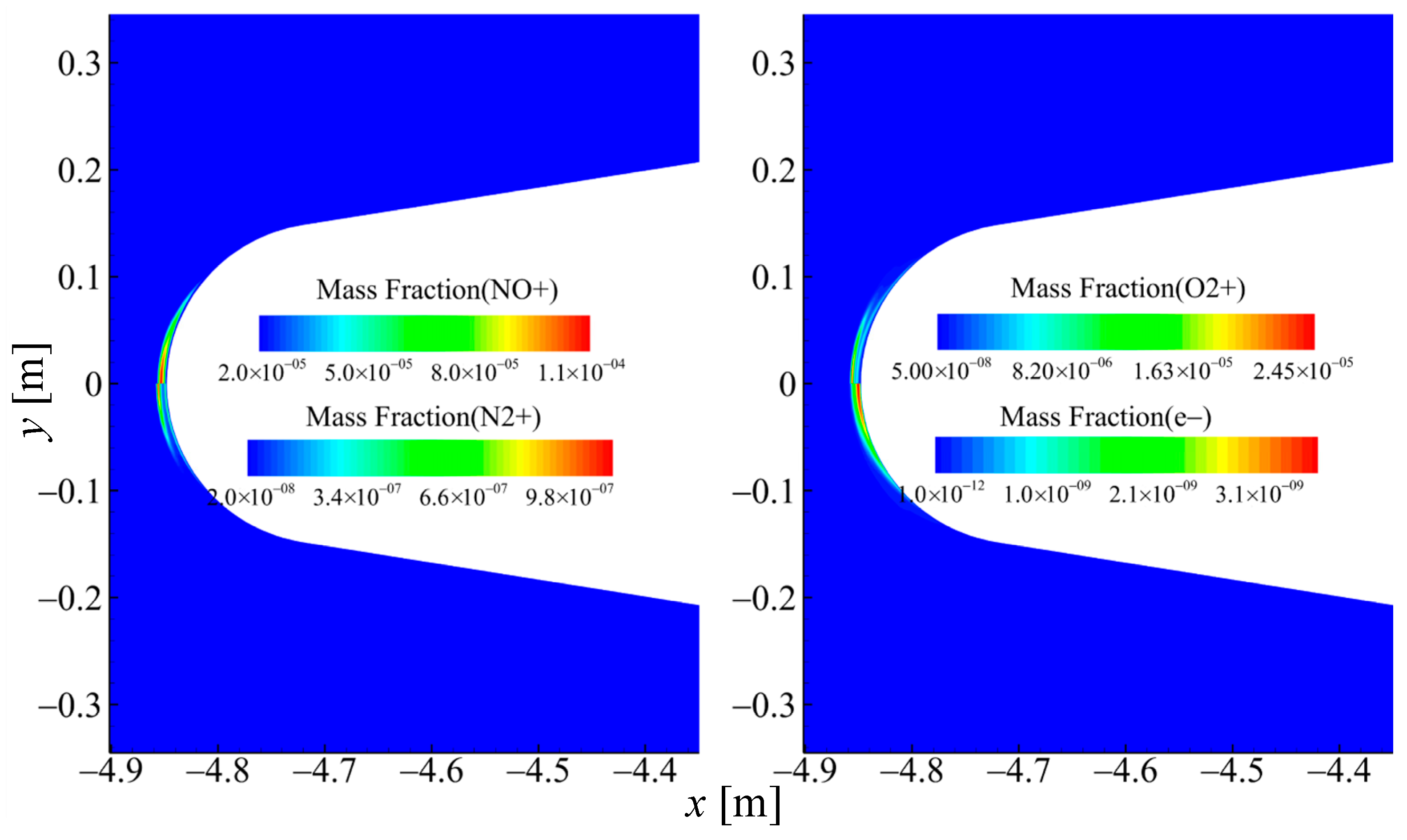
2.2. Non-Equilibrium Chemical Kinetic Model
2.3. Mesh and Boundary Condition
2.4. Fluid Structure Interaction
3. Aero-Optical Effects Analysis
3.1. The Optical Transmission Effects
3.2. The Thermal Radiation Effects
4. Star Map Simulation
4.1. Star Map Simulation Process
4.1.1. Target Electron Number
4.1.2. Background Electron Number
4.2. System Parameter Setting
4.3. Analysis of Star Image Simulation Results
5. Validation
5.1. Validation Case 1
5.2. Validation Case 2
5.3. Validation Case 3
6. Conclusions
- (1)
- This study establishes an imaging degradation model for star sensors under near-space hypersonic non-equilibrium flow conditions. The model quantitatively evaluates the impacts of optical transmission effects and thermal radiation on star sensor imaging, revealing that thermal radiation from solid media is the main factor affecting the imaging of star sensors.
- (2)
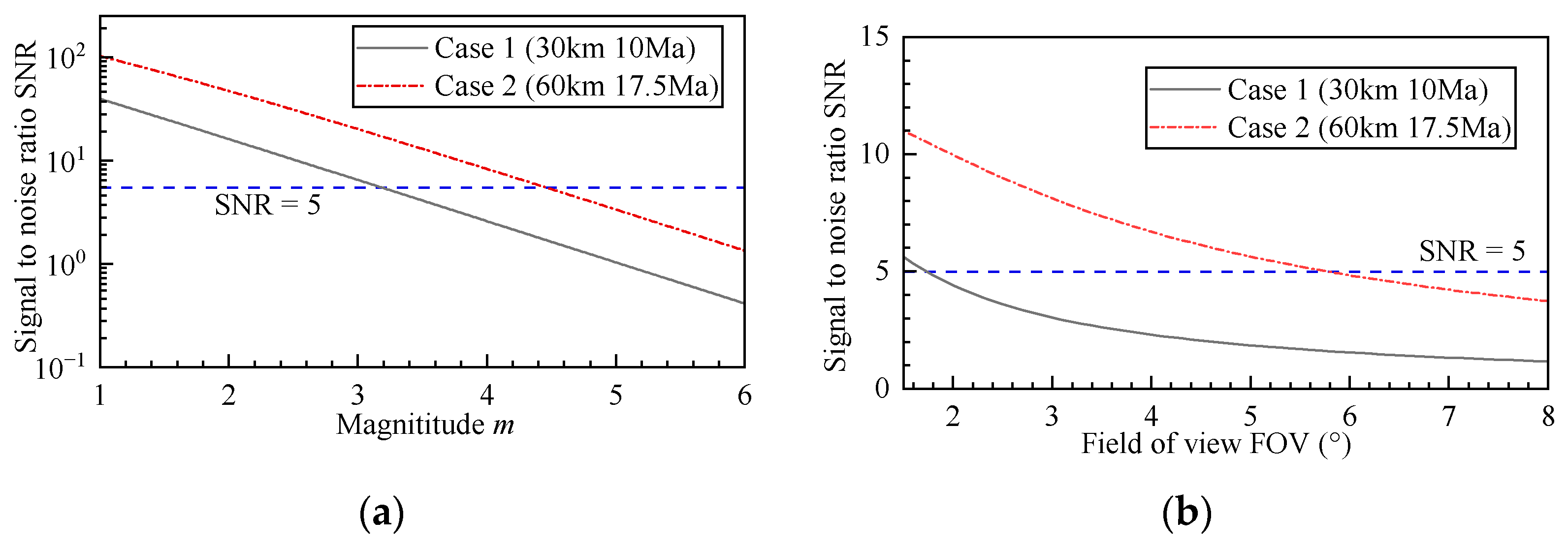
- A simulation framework for star sensor imaging under near-space hypersonic non-equilibrium flows is developed. The framework performs star image simulations for two typical hypersonic platform operational scenarios, generating degraded star images. It obtains detectable limit magnitudes of 3.28 and 4.55 for case 1 and case 2, respectively.
Author Contributions
Funding
Institutional Review Board Statement
Informed Consent Statement
Data Availability Statement
Conflicts of Interest
References
- Liu, S.; Wang, L.; Sun, X.; Li, L. An approach of star image simulation in the complex background of near space. In Proceedings of the 2023 8th International Conference on Signal and Image Processing (ICSIP), Wuxi, China, 8–10 July 2023; pp. 244–248. [Google Scholar]
- Yang, B.; Hu, J.; Liu, X. A study on simulation method of starlight transmission in hypersonic conditions. Aerosp. Sci. Technol. 2013, 29, 155–164. [Google Scholar] [CrossRef]
- Yang, Y.; Song, N. Research on the influence of aero-optical effects on starlight atmospheric refraction navigation under supersonic conditions. Front. Appl. Math. Stat. 2022, 8, 1081286. [Google Scholar] [CrossRef]
- Yang, B.; Yu, H.; Liu, C.; Wei, X.; Fan, Z.; Miao, J. A new method for analyzing the aero-optical effects of hypersonic vehicles based on a microscopic mechanism. Aerospace 2022, 9, 618. [Google Scholar] [CrossRef]
- Min, C.; Meng, M. Research on the Selection of Stargazing Window of High-Speed Vehicle. Aero Weapon. 2021, 28, 1–6. [Google Scholar] [CrossRef]
- Wang, H.; Wang, B.; Gao, Y.; Wu, S. Near-earth space star map simulation method of short-wave infrared star sensor. Infrared Phys. Technol. 2022, 127, 104436. [Google Scholar] [CrossRef]
- Liu, H.-N.; Sun, T.; Wu, S.-Y.; Yang, K.; Yang, B.-S.; Ren, G.-T.; Song, J.-H.; Li, G.-W. Development and validation of full-field simulation imaging technology for star sensors under hypersonic aero-optical effects. Opt. Express 2025, 33, 6526–6542. [Google Scholar] [CrossRef]
- Liu, H.; Sun, T.; Yang, K.; Xing, F.; Wang, X.; Wu, S.; Peng, Y.; Tian, Y. Aero-Thermal Radiation Effects Simulation Technique for Star Sensor Imaging under Hypersonic Conditions. IEEE Sens. J. 2025, 25, 21803–21813. [Google Scholar] [CrossRef]
- Casseau, V.; Espinoza, D.E.; Scanlon, T.J.; Brown, R.E. A two-temperature open-source CFD model for hypersonic reacting flows, part two: Multi-dimensional analysis. Aerospace 2016, 3, 45. [Google Scholar] [CrossRef]
- Park, C. Review of chemical-kinetic problems of future NASA missions. I-Earth entries. J. Thermophys. Heat Transf. 1993, 7, 385–398. [Google Scholar] [CrossRef]
- Park, C.; Jaffe, R.L.; Partridge, H. Chemical-kinetic parameters of hyperbolic earth entry. J. Thermophys. HeatTransf. 2001, 15, 76–90. [Google Scholar] [CrossRef]
- Park, C. On convergence of computation of chemically reacting flows. In Proceedings of the 23rd Aerospace Sciences Meeting, Reno, NV, USA, 14–17 January 1985; p. 247. [Google Scholar]
- Levin, D.A.; Candler, G.V.; Limbaugh, C.C. Multispectral shock-layer radiance from a hypersonic slender body. J. Thermophys. Heat Transf. 2000, 14, 237–243. [Google Scholar] [CrossRef]
- Six, E. The Element Six Cvd Diamond Handbook; Element Six Technologies: Santa Clara, CA, USA, 2017; Volume 5, p. 1. Available online: https://e6cvd.com/media/wysiwyg/pdf/E6_CVD_Diamond_Handbook_A5_v10X.pdf (accessed on 27 January 2026).
- Coe, S.; Sussmann, R. Optical, thermal and mechanical properties of CVD diamond. Diam. Relat. Mater. 2000, 9, 1726–1729. [Google Scholar] [CrossRef]
- Qinglin, N.; Zhichao, Y.; Biao, C.; Shikui, D. Infrared radiation characteristics of a hypersonic vehicle under time-varying angles of attack. Chin. J. Aeronaut. 2019, 32, 861–874. [Google Scholar] [CrossRef]
- Liao, Z.; Dong, Z.; Wang, H.; Mao, X.; Wang, B.; Wu, S.; Zang, Y.; Lu, Y. Analysis of flow field aero-optical effects on the imaging by near-earth space all-time short-wave infrared star sensors. IEEE Sens. J. 2022, 22, 15044–15053. [Google Scholar] [CrossRef]
- Kathman, A.; Brooks, L.; Kalin, D.; Clark, R. A time-integrated image model for aero-optic analysis. In Proceedings of the Annual Interceptor Technology Conference, Huntsville, AL, USA, 19–21 May 1992; p. 2793. [Google Scholar]
- Da Silva, M.L. An adaptive line-by-line—Statistical model for fast and accurate spectral simulations in low-pressure plasmas. J. Quant. Spectrosc. Radiat. Transf. 2007, 108, 106–125. [Google Scholar] [CrossRef]
- Mu, L.; Ma, Y.; He, Z.; Dong, S. Radiation characteristics simulation of non-equilibrium flow field around the hypersonic blunted cone. J. Eng. Thermophys 2012, 33, 1958–1962. [Google Scholar]
- Wang, W.; Wei, X.; Li, J.; Du, J.; Zhang, G. Optical parameters optimization for all-time star sensor. Sensors 2019, 19, 2960. [Google Scholar] [CrossRef] [PubMed]
- Cohen, M.; Wheaton, W.A.; Megeath, S. Spectral Irradiance Calibration in the Infrared. XIV. The AbsoluteCalibration of 2MASS. Astron. J. 2003, 126, 1090. [Google Scholar] [CrossRef]
- Mann, A.W.; von Braun, K. Revised filter profiles and zero points for broadband photometry. Publ. Astron. Soc. Pac. 2015, 127, 102. [Google Scholar] [CrossRef]
- Berk, A.; Conforti, P.; Kennett, R.; Perkins, T.; Hawes, F.; Van Den Bosch, J. MODTRAN® 6: A major upgrade of the MODTRAN® radiative transfer code. In Proceedings of the 2014 6th Workshop on Hyperspectral Image and Signal Processing: Evolution in Remote Sensing (WHISPERS), Lausanne, Switzerland, 24–27 June 2014; pp. 1–4. [Google Scholar]
- Bai, Y.; Li, J.; Zha, R.; Wang, Y.; Lei, G. Catadioptric optical system design of 15-magnitude star sensor with large entrance pupil diameter. Sensors 2020, 20, 5501. [Google Scholar] [CrossRef] [PubMed]
- Meng, Y.; Zhong, X.; Liu, Y.; Zhang, K.; Ma, C. Optical system of a micro-nano high-precision star sensor based on combined stray light suppression technology. Appl. Opt. 2021, 60, 697–704. [Google Scholar] [CrossRef] [PubMed]
- Tchuen, G.; Zeitoun, D.E. Computation of weakly ionized air flow in thermochemical nonequilibrium over sphere–cones. Int. J. Heat Fluid Flow 2008, 29, 1393–1401. [Google Scholar] [CrossRef]
- Candler, G.V.; MacCormack, R.W. Computation of weakly ionized hypersonic flows in thermochemical nonequilibrium. J. Thermophys. Heat Transf. 1991, 5, 266–273. [Google Scholar] [CrossRef]
- Josyula, E.; Bailey, W.F. Governing equations for weakly ionized plasma flowfields of aerospace vehicles. J. Spacecr. Rocket. 2003, 40, 845–857. [Google Scholar] [CrossRef]
- Grantham, W.L. Flight Results of a 25000-Foot-Per-Second Reentry Experiment Using Microwave Reflectometers to Measure Plasma Electron Density and Standoff Distance; National Aeronautics and Space Administration: Washington, DC, USA, 1970; Volume 6062.
- Moreau, S.; Laux, C.; Chapman, D.; Maccormack, R. A more accurate nonequilibrium air radiation code-NEQAIR second generation. In Proceedings of the 23rd Plasmadynamics and Lasers Conference, Nashville, TN, USA, 6–8 July 1992; p. 2968. [Google Scholar]
- Niu, Q.; He, Z.; Dong, S. Prediction of shock-layer ultraviolet radiation for hypersonic vehicles in near space. Chin. J. Aeronaut. 2016, 29, 1367–1377. [Google Scholar] [CrossRef]
- Miller, C.G., III. Experimental and Predicted Heating Distributions for Biconics at Incidence in Air at Mach 10; NASA Langley Research Center: Hampton, VA, USA, 1984.




















| Number | Reaction | Reaction Type | A (cm3·mol−1·s−1) | n | Ta (K) |
|---|---|---|---|---|---|
| 1 | Dissociation | 2 × 1021 | −1.50 | 59,500 | |
| 2 | Dissociation | 7 × 1018 | −1.60 | 113,200 | |
| 2 | Dissociation | 5 × 1012 | 0.00 | 75,500 | |
| 4 | Dissociation | 1.2 × 1025 | −1.60 | 113,200 | |
| 5 | NO Exchange | 8 × 1012 | 0.00 | 19,450 | |
| 6 | NO Exchange | 6.4 × 1017 | −1.00 | 38,400 | |
| 7 | Associative Ionization | 5.3 × 1012 | 0.00 | 31,900 | |
| 8 | Associative Ionization | 4.4 × 107 | 1.50 | 67,500 | |
| 9 | Associative Ionization | 7.1 × 102 | 2.70 | 80,600 | |
| 10 | Charge Exchange | 1.0 × 1012 | 0.50 | 77,200 | |
| 11 | Charge Exchange | 1.0 × 1012 | 0.50 | 12,200 | |
| 12 | Charge Exchange | 8.7 × 1013 | 0.14 | 28,600 | |
| 13 | Charge Exchange | 1.4 × 105 | 1.90 | 26,600 | |
| 14 | Charge Exchange | 9.9 × 1012 | 0.00 | 40,700 | |
| 15 | Charge Exchange | 4.0 × 1012 | −0.09 | 18,000 | |
| 16 | Charge Exchange | 3.4 × 1013 | −1.08 | 12,800 | |
| 17 | Charge Exchange | 2.4 × 1013 | 0.41 | 32,600 | |
| 18 | Charge Exchange | 7.2 × 1012 | 0.29 | 48,600 | |
| 19 | Charge Exchange | 9.1 × 1011 | 0.36 | 22,800 | |
| 20 | Charge Exchange | 7.2 × 1013 | 0.00 | 35,500 | |
| 21 | Electron-Impact Ionization | 3.9 × 1033 | −3.78 | 158,500 | |
| 22 | Electron-Impact Ionization | 2.5 × 1034 | −3.82 | 168,600 |
| Flight Altitude (km) | Pressure (Pa) | Temperature (K) | Velocity (Mach) | |
|---|---|---|---|---|
| Case 1 | 30 | 1197 | 226.51 | 10.0 |
| Case 2 | 60 | 21.96 | 247.02 | 17.5 |
| Category | Parameters | Value | Unit | References |
|---|---|---|---|---|
| Constants | Stefan–Boltzmann constant | 5.67 × 10−8 | W·m−2·K−4 | - |
| Planck constant | 6.626 × 10−34 | J·s | - | |
| Boltzmann constant | 1.380 × 10−23 | J·K−1 | - | |
| Material (Diamond) | Emissivity | 0.05 | - | [14] |
| Thermal Conductivity | 500 (at 1000 K) | W·m−1·K−1 | [15] | |
| Material (Fuselage) | Wall Emissivity | 0.85 | - | [16] |
| Star Catalog | Band Filter | Lambda (μm) | Bandwidth (μm) | Spectral Irradiance (W·cm−2·μm−1) |
|---|---|---|---|---|
| Tycho2/Hipparcos | Vt | 0.535 | 0.167 | 4.029 × 10−12 |
| 2MASS | H | 1.662 | 0.251 | 1.133 × 10−13 |
| Parameter | Value | Unit | |
|---|---|---|---|
| Optical system | Focal length | 156 | mm |
| Entrance pupil diameter | 55.7 | mm | |
| F-number | 2.8 | - | |
| Transmittance of optical system | 85 | % | |
| Sensor | Active pixel | 1280 × 1024 | − |
| Pixel pitch | 15 × 15 | μm | |
| Spectral response | 0.4–1.7 | μm | |
| Digital output format | 12 | bit | |
| Full well capacity | 1,800,000 | e− | |
| Exposure time | 10 | ms | |
| Quantum efficiency | 0.7 | % | |
| Noise with ROIC | <40 | e− | |
| Dark current | 187,245 | (e−)/pixel/s | |
| Detectable Limit Magnitude with Different Emissivities | |||||
|---|---|---|---|---|---|
| 0.05 | 0.10 | 0.15 | 0.20 | 0.25 | |
| Case 1 | 3.28 | 4.22 | 4.23 | 4.19 | 4.12 |
| Case 2 | 4.55 | 5.55 | 5.73 | 5.67 | 5.61 |
| Free Stream Velocity (Ma) | Flight Altitude (km) | Pressure (Pa) | Temperature (K) | |
|---|---|---|---|---|
| Condition 1 | 23.9 | 61 | 19.7 | 244.0 |
| Condition 2 | 25.9 | 71 | 4.9 | 219.6 |
| Results | Ghislain [27] | Candler [28] | Josyula [29] | This Paper |
|---|---|---|---|---|
| Normalized detachment distance (%) | 6.75 | 9.18 | 7.21 | 7.22 |
| (K) | 18,400 | 22,500 | 20,500 | 20,528 |
| Peak of mass fraction NO+ (%) | 0.313 | 0.164 | 0.1 | 0.219 |
| Parameters | Unit | AVCO R102 | AVCO R156 |
|---|---|---|---|
| Mole Fractions of N | % | 1.878 × 10−1 | 4.813 × 10−1 |
| Mole Fractions of N+ | % | 1.800 × 10−5 | 3.425 × 10−2 |
| Mole Fractions of O | % | – | 1.788 × 10−1 |
| Mole Fractions of O+ | % | – | 6.204 × 10−1 |
| Mole Fractions of N2+ | % | 1.500 × 10−5 | 6.188 × 10−4 |
| Mole Fractions of N2 | % | 8.121 × 10−1 | 2.143 × 10−1 |
| Mole Fractions of NO | % | – | 3.032 × 10−2 |
| Mole Fractions of O2 | % | – | 1.160 × 10−2 |
| Mole Fractions of e− | % | 3.300 × 10−5 | 4.269 × 10−2 |
| Total Number Density | cm−3 | 3.604 × 1018 | 8.013 × 1016 |
| Translational and Rotational Temperature | K | 6279 | 18,000 |
| Vibrational Temperature | K | 6279 | 14,000 |
| Electronic Temperature | K | 6279 | 12,000 |
Disclaimer/Publisher’s Note: The statements, opinions and data contained in all publications are solely those of the individual author(s) and contributor(s) and not of MDPI and/or the editor(s). MDPI and/or the editor(s) disclaim responsibility for any injury to people or property resulting from any ideas, methods, instructions or products referred to in the content. |
© 2026 by the authors. Licensee MDPI, Basel, Switzerland. This article is an open access article distributed under the terms and conditions of the Creative Commons Attribution (CC BY) license.
Share and Cite
Liao, Z.; Wang, H.; Cheng, X.; Liu, B.; Zang, Y.; Lu, Y.; Yao, S.; Yan, Z. Research on Star Sensor Imaging Simulation Under Near-Space Hypersonic Non-Equilibrium Flow Conditions. Sensors 2026, 26, 924. https://doi.org/10.3390/s26030924
Liao Z, Wang H, Cheng X, Liu B, Zang Y, Lu Y, Yao S, Yan Z. Research on Star Sensor Imaging Simulation Under Near-Space Hypersonic Non-Equilibrium Flow Conditions. Sensors. 2026; 26(3):924. https://doi.org/10.3390/s26030924
Chicago/Turabian StyleLiao, Zhen, Hongyuan Wang, Xi Cheng, Boqi Liu, Yunzhao Zang, Yinxi Lu, Shuai Yao, and Zhiqiang Yan. 2026. "Research on Star Sensor Imaging Simulation Under Near-Space Hypersonic Non-Equilibrium Flow Conditions" Sensors 26, no. 3: 924. https://doi.org/10.3390/s26030924
APA StyleLiao, Z., Wang, H., Cheng, X., Liu, B., Zang, Y., Lu, Y., Yao, S., & Yan, Z. (2026). Research on Star Sensor Imaging Simulation Under Near-Space Hypersonic Non-Equilibrium Flow Conditions. Sensors, 26(3), 924. https://doi.org/10.3390/s26030924

