Adaptive Local–Global Synergistic Perception Network for Hydraulic Concrete Surface Defect Detection
Abstract
1. Introduction
2. Related Works
2.1. Overview of Defect Detection Paradigms
2.2. Deep Convolutional Architectures
2.3. Lightweight Mechanisms and Edge Deployment
2.4. Hybrid Architectures and Emerging Paradigms
3. Proposed Method
3.1. Overall Architecture
3.2. Defect-Aware Receptive Field Aggregation Convolution
3.3. Adaptive Dynamic Receptive Field Convolution
3.4. Global-Local Synergistic Receptive Field Aggregation Module
3.5. Defect-Aware Dual-Stream Gating Fusion Module
3.6. Morphology-Adaptive Encoding and Recursive Gating Mechanism
3.6.1. Elastic Geometric Encoding Based on EG-C3k
3.6.2. Recursive Gating Aggregation Based on MA-C2f
3.7. Loss Function
4. Experiments and Discussion
4.1. Datasets
4.2. Experimental Environment
4.3. Evaluation Metrics
4.4. Results and Analysis
4.4.1. Performance Evaluation on the SDD-HCS Dataset
4.4.2. Detection Experiment Analysis on the SDD-HCS Dataset
4.4.3. Analysis of Single-Class Defect Detection Performance on the SDD-HCS Dataset
4.4.4. Ablation Studies
4.4.5. Performance Evaluation on the Public Concrete Defect Dataset
5. Conclusions
Author Contributions
Funding
Institutional Review Board Statement
Informed Consent Statement
Data Availability Statement
Conflicts of Interest
Abbreviations
| ALGSP-Net | Adaptive Local–Global Synergistic Perception Network |
| SDD-HCS | Surface Defect Dataset for Hydraulic Concrete Structures |
| DaRFAConv | Defect-aware Receptive Field Aggregation Convolution |
| ARFConv | Adaptive Dynamic Receptive Field Convolution |
| GARFConv | Global-Local Synergistic Receptive Field Aggregation Convolution |
| D2GF | Defect-aware Dual-stream Gating Fusion |
| CNNs | Convolutional Neural Networks |
| EG-C3k | Elastic Geometric Encoding |
| MA-C2f | Morphology-Adaptive Recursive Aggregator |
| YOLO | You Only Look Once |
| LSKA | Large Selective Kernel Attention |
| ViT | Vision Transformers |
| GAP | Global Average Pooling |
| MLP | Multilayer Perceptron |
| UAV | Unmanned Aerial Vehicle |
| mAP | mean Average Precision |
| IoU | Intersection over Union |
| FPS | Frames Per Second |
| FMOE | ourier-Mixture of Experts |
| SMM | State Space Models |
| CSP | Cross Stage Partial |
| DCNs | Deformable Convolution Networks |
| DWConv | Depthwise Convolution |
| ReLU | Rectified Linear Unit |
| BN | Batch Normalization |
| DFL | Distribution Focal Loss |
| BCE | Binary Cross Entropy |
| CIoU | Complete Intersection over Union |
References
- Zhu, Y.; Tang, H. Automatic damage detection and diagnosis for hydraulic structures using drones and artificial intelligence techniques. Remote Sens. 2023, 15, 615. [Google Scholar] [CrossRef]
- Zhang, Y.; Deng, J.; Zhou, Y.; Zhang, Y.; Qin, B.; Song, C.; Shi, K.; Zhu, G.; Hou, X.; Zhang, Y. Drinking water safety improvement and future challenge of lakes and reservoirs. Sci. Bull. 2024, 69, 3558–3570. [Google Scholar] [CrossRef]
- Zhao, S.; Kang, F.; Li, J.; Ma, C. Structural health monitoring and inspection of dams based on UAV photogrammetry with image 3D reconstruction. Autom. Constr. 2021, 130, 103832. [Google Scholar] [CrossRef]
- Zhao, M.; Bao, T.; Li, Y.; Fan, C.; Ma, Y.; Wei, Y. DSRCAM-ICRF: A weakly supervised framework for crack segmentation in hydraulic concrete structures. Adv. Eng. Inform. 2026, 69, 103958. [Google Scholar] [CrossRef]
- Li, Y.; Bao, T.; Li, T.; Wang, R. A robust real-time method for identifying hydraulic tunnel structural defects using deep learning and computer vision. Comput.-Aided Civ. Infrastruct. Eng. 2023, 38, 1381–1399. [Google Scholar] [CrossRef]
- Chen, F.-C.; Jahanshahi, M.R. NB-CNN: Deep learning-based crack detection using convolutional neural network and Naïve Bayes data fusion. IEEE Trans. Ind. Electron. 2017, 65, 4392–4400. [Google Scholar] [CrossRef]
- Modarres, C.; Astorga, N.; Droguett, E.L.; Meruane, V. Convolutional neural networks for automated damage recognition and damage type identification. Struct. Control Health Monit. 2018, 25, e2230. [Google Scholar] [CrossRef]
- Gao, Y.; Mosalam, K.M. Deep transfer learning for image-based structural damage recognition. Comput.-Aided Civ. Infrastruct. Eng. 2018, 33, 748–768. [Google Scholar] [CrossRef]
- Feng, C.; Zhang, H.; Wang, S.; Li, Y.; Wang, H.; Yan, F. Structural damage detection using deep convolutional neural network and transfer learning. KSCE J. Civ. Eng. 2019, 23, 4493–4502. [Google Scholar] [CrossRef]
- Huang, B.; Zhao, S.; Kang, F. Image-based automatic multiple-damage detection of concrete dams using region-based convolutional neural networks. J. Civ. Struct. Health Monit. 2023, 13, 413–429. [Google Scholar] [CrossRef]
- Zhang, C.; Chang, C.C.; Jamshidi, M. Bridge damage detection using a single-stage detector and field inspection images. arXiv 2018, arXiv:1812.10590. [Google Scholar]
- Raushan, R.; Singhal, V.; Jha, R.K. Damage detection in concrete structures with multi-feature backgrounds using the YOLO network family. Autom. Constr. 2025, 170, 105887. [Google Scholar] [CrossRef]
- Cui, X.; Wang, Q.; Dai, J.; Zhang, R.; Li, S. Intelligent recognition of erosion damage to concrete based on improved YOLO-v3. Mater. Lett. 2021, 302, 130363. [Google Scholar] [CrossRef]
- Sun, H.; Lu, D.; Li, X.; Tan, J.; Zhao, J.; Hou, D. Research on multi-apparent defects detection of concrete bridges based on YOLOR. In Proceedings of the Structures; Elsevier: Amsterdam, The Netherlands, 2024; p. 106735. [Google Scholar]
- Li, Y.; Bao, T. A real-time multi-defect automatic identification framework for concrete dams via improved YOLOv5 and knowledge distillation. J. Civ. Struct. Health Monit. 2023, 13, 1333–1349. [Google Scholar] [CrossRef]
- Nguyen, H.; Hoang, N.-D. Computer vision-based classification of concrete spall severity using metaheuristic-optimized extreme gradient boosting machine and deep convolutional neural network. Autom. Constr. 2022, 140, 104371. [Google Scholar] [CrossRef]
- Fu, R.; Zhang, Y.; Zhu, K.; Strauss, A.; Cao, M. Real-time detection of concrete cracks via enhanced You Only Look Once Network: Algorithm and software. Adv. Eng. Softw. 2024, 195, 103691. [Google Scholar] [CrossRef]
- Chen, Q.; Jiang, X. A portable real-time concrete bridge damage detection system. Measurement 2025, 240, 115536. [Google Scholar] [CrossRef]
- Dong, H.; Wang, N.; Fu, D.; Wei, F.; Liu, G.; Liu, B. Precision and Efficiency in Dam Crack Inspection: A Lightweight Object Detection Method Based on Joint Distillation for Unmanned Aerial Vehicles (UAVs). Drones 2024, 8, 692. [Google Scholar] [CrossRef]
- Pang, D.; Zhang, H.; Cao, Y.; Jiang, Y. Lightweight and high-performance object detector and tracking model for concrete surface defect detection. Eng. Appl. Artif. Intell. 2025, 160, 111968. [Google Scholar] [CrossRef]
- Falaschetti, L.; Beccerica, M.; Biagetti, G.; Crippa, P.; Alessandrini, M.; Turchetti, C. A lightweight CNN-based vision system for concrete crack detection on a low-power embedded microcontroller platform. Procedia Comput. Sci. 2022, 207, 3948–3956. [Google Scholar] [CrossRef]
- Li, M.; Yuan, J.; Ren, Q.; Luo, Q.; Fu, J.; Li, Z. CNN-Transformer hybrid network for concrete dam crack patrol inspection. Autom. Constr. 2024, 163, 105440. [Google Scholar] [CrossRef]
- Jiang, T.-Y.; Liu, Z.-Y.; Zhang, G.-Z. YOLOv5s-road: Road surface defect detection under engineering environments based on CNN-transformer and adaptively spatial feature fusion. Measurement 2025, 242, 115990. [Google Scholar] [CrossRef]
- Wang, C.; Chen, B.; Li, Y.; Wang, H.; Tan, L.; Zhang, Y.; Zhang, H. YOLOv8-CDD: An improved concrete defect detection method combined CNN with transformer. Meas. Sci. Technol. 2024, 36, 015409. [Google Scholar] [CrossRef]
- Zou, L.; Liu, A. Intelligent Detection Algorithm for Concrete Bridge Defects Based on SATH–YOLO Model. Sensors 2025, 25, 1449. [Google Scholar] [CrossRef]
- Li, Y.; Zhang, H.; Wang, S.; Wang, H.; Li, J. Image-Based Underwater Inspection System for Abrasion of Stilling Basin Slabs of Dam. Adv. Civ. Eng. 2019, 2019, 6924976. [Google Scholar] [CrossRef]
- Dong, X.; Liu, Y.; Dai, J. Concrete surface crack detection algorithm based on improved YOLOv8. Sensors 2024, 24, 5252. [Google Scholar] [CrossRef]
- Chang, H.; Bassir, D.; Barrios, A.; Chen, G. Fourier-Mixture of Experts YOLO for concrete crack segmentation with visual interpretability. Autom. Constr. 2025, 179, 106452. [Google Scholar] [CrossRef]
- Jha, H.; Mukherjee, A.; Banerjee, S.; Roy, T.; Das, R.; Middya, A.I.; Roy, S. Automated Concrete Structure Defect Detection Using Vision Transformer. Available online: https://ssrn.com/abstract=5096179 (accessed on 20 December 2025).
- Hebbache, L.; Amirkhani, D.; Allili, M.S.; Hammouche, N.; Lapointe, J.-F. Leveraging saliency in single-stage multi-label concrete defect detection using unmanned aerial vehicle imagery. Remote Sens. 2023, 15, 1218. [Google Scholar] [CrossRef]
- Liu, Y.; Tian, Y.; Zhao, Y.; Yu, H.; Xie, L.; Wang, Y.; Ye, Q.; Jiao, J.; Liu, Y. Vmamba: Visual state space model. Adv. Neural Inf. Process. Syst. 2024, 37, 103031. [Google Scholar]
- Chen, Z.; Huang, H.Z.; Deng, Z.; Wu, J. Shrinkage mamba relation network with out-of-distribution data augmentation for rotating machinery fault detection and localization under zero-faulty data. Mech. Syst. Signal Process. 2025, 224, 112145. [Google Scholar] [CrossRef]
- Khanam, R.; Hussain, M. Yolov11: An overview of the key architectural enhancements. arXiv 2024, arXiv:2410.17725. [Google Scholar] [CrossRef]
- Zhu, X.; Hu, H.; Lin, S.; Dai, J. Deformable convnets v2: More deformable, better results. In Proceedings of the IEEE/CVF Conference on Computer Vision and Pattern Recognition, Long Beach, CA, USA, 15–20 June 2019; pp. 9308–9316. [Google Scholar]
- Wei, H.; Zhao, L.; Li, R.; Zhang, M. RFAConv-CBM-ViT: Enhanced vision transformer for metal surface defect detection. J. Supercomput. 2025, 81, 155. [Google Scholar] [CrossRef]
- Wang, W.; Dai, J.; Chen, Z.; Huang, Z.; Li, Z.; Zhu, X.; Hu, X.; Lu, T.; Lu, L.; Li, H.; et al. Internimage: Exploring large-scale vision foundation models with deformable convolutions. In Proceedings of the IEEE/CVF Conference on Computer Vision and Pattern Recognition, Vancouver, BC, Canada, 17–24 June 2023; pp. 14408–14419. [Google Scholar]
- Xiong, Y.; Li, Z.; Chen, Y.; Wang, F.; Zhu, X.; Luo, J.; Wang, W.; Lu, T.; Li, H.; Qiao, Y.; et al. Efficient deformable convnets: Rethinking dynamic and sparse operator for vision applications. In Proceedings of the IEEE/CVF Conference on Computer Vision and Pattern Recognition, Seattle, WA, USA, 16–24 June 2024; pp. 5652–5661. [Google Scholar]
- Yan, L.; He, Z.; Zhang, Z.; Xie, G. LS-MambaNet: Integrating Large Strip Convolution and Mamba Network for Remote Sensing Object Detection. Remote Sens. 2025, 17, 1721. [Google Scholar] [CrossRef]
- Tian, Y.; Ye, Q.; Doermann, D. Yolov12: Attention-centric real-time object detectors. Adv. Neural Inf. Process. Syst. 2025, 12524. [Google Scholar]
- Qiu, H.; He, Y.; He, L.; Luo, Y. Real-Time Wrist Fracture Detection with Dual-Path Attention and Focaler-CIoU. IEEE Access 2025, 13, 211187–211202. [Google Scholar] [CrossRef]
- Li, X.; Wang, W.; Wu, L.; Chen, S.; Hu, X.; Li, J.; Tang, J.; Yang, J. Generalized focal loss: Learning qualified and distributed bounding boxes for dense object detection. Adv. Neural Inf. Process. Syst. 2020, 33, 21002–21012. [Google Scholar]
- Lin, T.Y.; Goyal, P.; Girshick, R.; He, K.; Dollár, P. Focal loss for dense object detection. In Proceedings of the IEEE International Conference on Computer Vision, Venice, Italy, 22–29 October 2017; pp. 2980–2988. [Google Scholar]
- Zhang, C.; Chang, C.c.; Jamshidi, M. Concrete bridge surface damage detection using a single-stage detector. Comput.-Aided Civ. Infrastruct. Eng. 2020, 35, 389–409. [Google Scholar] [CrossRef]
- Zhou, D.; Fang, J.; Song, X.; Guan, C.; Yin, J.; Dai, Y.; Yang, R. Iou loss for 2d/3d object detection. In Proceedings of the 2019 International Conference on 3D Vision (3DV); IEEE: New York, NY, USA, 2019; pp. 85–94. [Google Scholar]
- Ren, S.; He, K.; Girshick, R.; Sun, J. Faster r-cnn: Towards real-time object detection with region proposal networks. Adv. Neural Inf. Process. Syst. 2015, 28, 1137–1149. [Google Scholar] [CrossRef] [PubMed]
- Liu, W.; Anguelov, D.; Erhan, D.; Szegedy, C.; Reed, S.; Fu, C.-Y.; Berg, A.C. Ssd: Single shot multibox detector. In Proceedings of the European Conference on Computer Vision, Amsterdam, The Netherlands, 11–14 October 2016; pp. 21–37. [Google Scholar]
- Glenn, J. Ultralytics YOLOv5. Available online: https://github.com/ultralytics/yolov5 (accessed on 11 November 2021).
- Ye, G.; Yuen, K.-V.; Jin, Q.; Zhou, M.; Yin, C.; Jiang, Q.; Zhao, S.; Su, W. Evaluation method for uniformity of steel slag concrete aggregate based on improved YOLOv8. J. Build. Eng. 2024, 98, 111046. [Google Scholar] [CrossRef]
- Wang, A.; Chen, H.; Liu, L.; Chen, K.; Lin, Z.; Han, J. Yolov10: Real-time end-to-end object detection. Adv. Neural Inf. Process. Syst. 2024, 37, 107984–108011. [Google Scholar]
- Lei, M.; Li, S.; Wu, Y.; Hu, H.; Zhou, Y.; Zheng, X.; Ding, G.; Du, S.; Wu, Z.; Gao, Y. YOLOv13: Real-Time Object Detection with Hypergraph-Enhanced Adaptive Visual Perception. arXiv 2025, arXiv:2506.17733. [Google Scholar]
- Zhao, Y.; Lv, W.; Xu, S.; Wei, J.; Wang, G.; Dang, Q.; Liu, Y.; Chen, J. Detrs beat yolos on real-time object detection. In Proceedings of the IEEE/CVF Conference on Computer Vision and Pattern Recognition, Seattle, WA, USA, 16–22 June 2024; pp. 16965–16974. [Google Scholar]















| Component | Specification |
|---|---|
| CPU | Intel Core i914000K |
| GPU | NVIDIA RTX 4090 (24 GB) |
| RAM | 64 GB |
| Operating System | Ubuntu 24.04 |
| Programming Language | Python 3.12 |
| Deep Learning Framework | Pytorch 2.4.1 |
| CUDA Version | 12.4 |
| Hyperparameters | Epoch | Batch | Lr0/f | Momentum | Imgsz | Optimizer |
|---|---|---|---|---|---|---|
| Value | 300 | 32 | 0.01 | 0.973 | 640 × 640 | SDG |
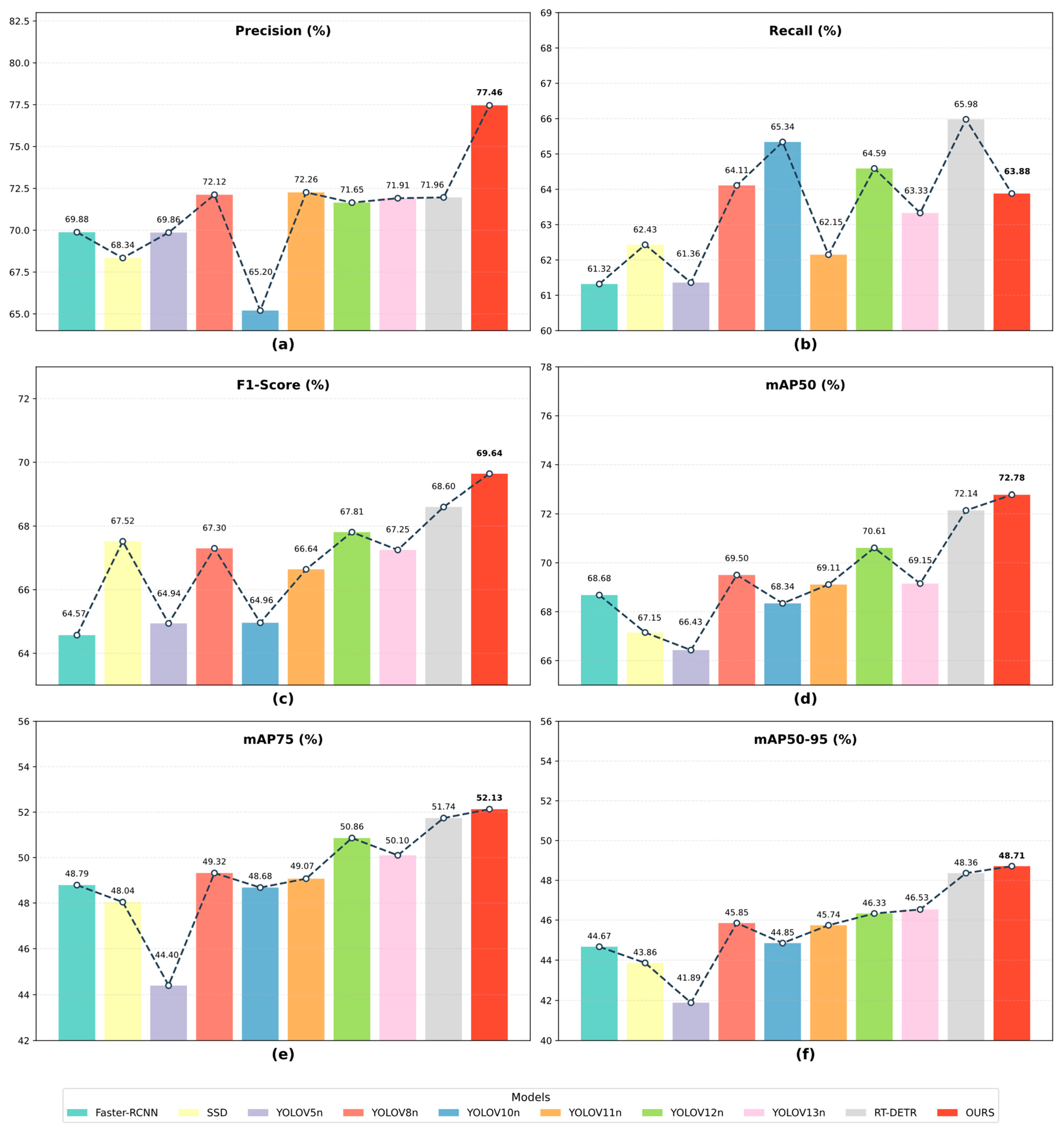
| Model | Precision (%) | Recall (%) | F1-Score (%) | mAP50 (%) | mAP75 (%) | mAP50-95 (%) | Params (B) | GFLOPS (G) |
|---|---|---|---|---|---|---|---|---|
| Faster-RCNN | 69.88 | 61.32 | 64.57 | 68.68 | 48.79 | 44.67 | 41,374,253 | 90.9 |
| SSD | 68.34 | 62.43 | 67.52 | 67.15 | 48.04 | 43.86 | 24,414,547 | 30.7 |
| yoloV5n | 69.86 | 61.36 | 64.94 | 66.43 | 44.40 | 41.89 | 2,504,114 | 7.1 |
| yoloV8n | 72.12 | 64.11 | 67.30 | 69.50 | 49.32 | 45.85 | 3,006,818 | 8.1 |
| yoloV10n | 65.20 | 65.34 | 64.96 | 68.34 | 48.68 | 44.85 | 2,266,338 | 6.5 |
| yoloV11n | 72.26 | 62.15 | 66.64 | 69.11 | 49.07 | 45.74 | 2,583,322 | 6.3 |
| yoloV12n | 71.65 | 64.59 | 67.81 | 70.61 | 50.86 | 46.33 | 2,557,898 | 6.3 |
| yoloV13n | 71.91 | 63.33 | 67.25 | 69.15 | 50.10 | 46.53 | 2,449,065 | 6.2 |
| RT-DETR | 71.96 | 65.98 | 68.60 | 72.14 | 51.74 | 48.36 | 28,455,590 | 100.6 |
| OURS | 77.46 | 63.88 | 69.64 | 72.78 | 52.13 | 48.71 | 2,698,761 | 6.7 |
| Defect | YOLOv5n (%) | YOLOv8n (%) | YOLOv10n (%) | YOLOv11n (%) | YOLOv12n (%) | YOLOv13n (%) | RT-DETR (%) | Ours (%) |
|---|---|---|---|---|---|---|---|---|
| Crack | 71.81 | 75.84 | 69.20 | 74.62 | 74.03 | 72.71 | 74.75 | 79.20 |
| Spalling | 78.07 | 84.52 | 78.21 | 85.64 | 85.92 | 81.07 | 75.56 | 85.65 |
| Efflorescence | 68.29 | 70.59 | 62.94 | 74.09 | 71.67 | 71.29 | 71.28 | 74.59 |
| Exposed rebar | 68.01 | 66.71 | 58.87 | 60.89 | 62.59 | 65.81 | 72.99 | 78.58 |
| Exposed aggregate | 60.77 | 58.52 | 56.22 | 65.33 | 70.65 | 71.27 | 65.08 | 68.32 |
| Corrosion | 72.21 | 76.55 | 65.79 | 73.02 | 65.02 | 68.62 | 72.10 | 78.44 |
| Defect | YOLOv5n (%) | YOLOv8n (%) | YOLOv10n (%) | YOLOv11n (%) | YOLOv12n (%) | YOLOv13n (%) | RT-DETR (%) | Ours (%) |
|---|---|---|---|---|---|---|---|---|
| Crack | 63.8 | 69.51 | 68.04 | 69.82 | 71.22 | 69.38 | 74.85 | 73.62 |
| Spalling | 81.95 | 86.02 | 85.95 | 86.09 | 87.14 | 85.20 | 79.74 | 75.36 |
| Efflorescence | 66.78 | 69.43 | 70.32 | 72.52 | 73.81 | 70.72 | 72.94 | 76.11 |
| Exposed rebar | 56.97 | 59.85 | 52.91 | 51.78 | 52.01 | 53.05 | 64.46 | 62.61 |
| Exposed aggregate | 66.15 | 69.45 | 69.68 | 71.61 | 75.95 | 73.65 | 72.57 | 76.88 |
| Corrosion | 62.91 | 62.74 | 63.14 | 62.83 | 62.74 | 62.95 | 68.28 | 72.09 |
| Defect | Precision (%) | Recall (%) | F1-Score (%) | mAP50 (%) | mAP75 (%) | mAP50-95 (%) | Params (B) | GFLOPS (G) |
|---|---|---|---|---|---|---|---|---|
| Baseline | 72.26 | 62.15 | 66.64 | 69.11 | 49.07 | 45.74 | 2,583,322 | 6.3 |
| +DaRFConv | 72.43 | 64.77 | 68.00 | 71.09 | 46.94 | 46.53 | 2,625,990 | 6.5 |
| +GARF-D2GF | 73.06 | 61.79 | 66.48 | 68.69 | 48.15 | 44.92 | 2,767,861 | 6.4 |
| +EG-C3k | 72.10 | 64.18 | 67.64 | 69.09 | 47.95 | 45.09 | 2,524,794 | 6.2 |
| +MA-C2f | 73.02 | 63.03 | 67.19 | 70.12 | 49.46 | 45.83 | 2,655,242 | 6.4 |
| w/o DaRFConv | 73.34 | 63.70 | 67.48 | 69.65 | 49.18 | 42.40 | 2,514,222 | 6.6 |
| w/o GARF-D2GF | 74.64 | 63.43 | 68.22 | 71.52 | 49.82 | 47.46 | 2,514,222 | 6.6 |
| w/o EG-C3k | 72.59 | 65.48 | 68.47 | 71.20 | 50.45 | 47.45 | 2,759,529 | 6.8 |
| w/o MA-C2f | 75.76 | 61.96 | 67.82 | 70.47 | 49.92 | 46.62 | 2,628,416 | 6.6 |
| ALGSP-Net | 77.46 | 63.88 | 69.64 | 72.78 | 52.13 | 48.71 | 2,698,761 | 6.7 |
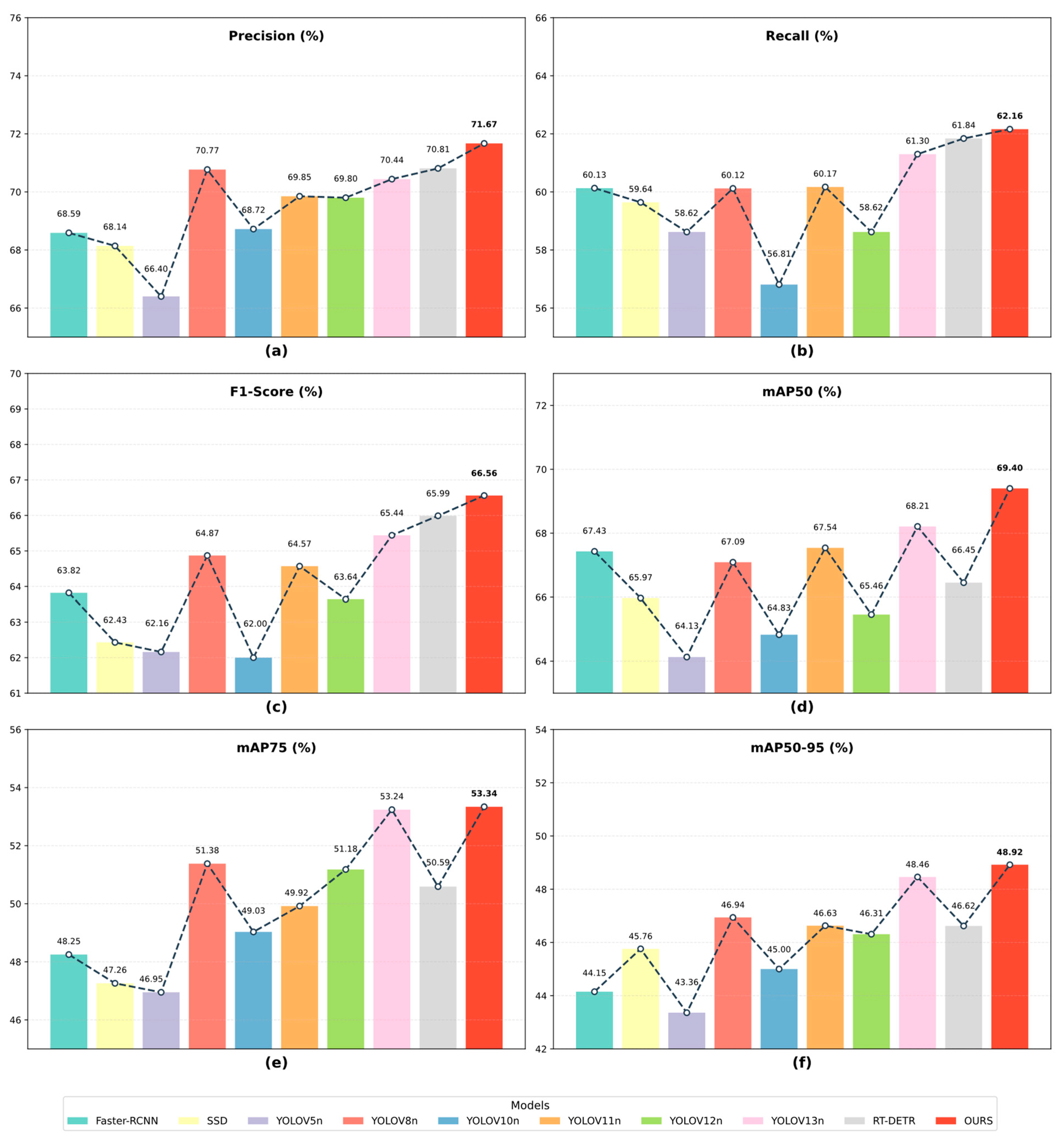
| Model | Precision (%) | Recall (%) | F1-Score (%) | mAP50 (%) | mAP75 (%) | mAP50-95 (%) | Params (B) | GFLOPS (G) |
|---|---|---|---|---|---|---|---|---|
| Faster-RCNN | 68.59 | 60.13 | 63.82 | 67.43 | 48.25 | 44.15 | 41,374,253 | 90.9 |
| SSD | 68.14 | 59.64 | 62.43 | 65.97 | 47.26 | 45.76 | 24,414,547 | 30.7 |
| yoloV5n | 66.4 | 58.62 | 62.16 | 64.13 | 46.95 | 43.36 | 2,504,114 | 7.1 |
| yoloV8n | 70.77 | 60.12 | 64.87 | 67.09 | 51.38 | 46.94 | 3,006,818 | 8.1 |
| yoloV10n | 68.72 | 56.81 | 62.00 | 64.83 | 49.03 | 45.00 | 2,266,338 | 6.5 |
| yoloV11n | 69.85 | 60.17 | 64.57 | 67.54 | 49.92 | 46.63 | 2,583,322 | 6.3 |
| yoloV12n | 69.8 | 58.62 | 63.64 | 65.46 | 51.18 | 46.31 | 2,557,898 | 6.3 |
| yoloV13n | 70.44 | 61.30 | 65.44 | 68.21 | 53.24 | 48.46 | 2,449,065 | 6.2 |
| RT-DETR | 70.81 | 61.84 | 65.99 | 66.45 | 50.59 | 46.62 | 31,996,070 | 103.5 |
| OURS | 71.67 | 62.16 | 66.56 | 69.4 | 53.34 | 48.92 | 2,698,761 | 6.7 |
Disclaimer/Publisher’s Note: The statements, opinions and data contained in all publications are solely those of the individual author(s) and contributor(s) and not of MDPI and/or the editor(s). MDPI and/or the editor(s) disclaim responsibility for any injury to people or property resulting from any ideas, methods, instructions or products referred to in the content. |
© 2026 by the authors. Licensee MDPI, Basel, Switzerland. This article is an open access article distributed under the terms and conditions of the Creative Commons Attribution (CC BY) license.
Share and Cite
Peng, Z.; Li, L.; Chang, C.; Wan, M.; Zheng, G.; Yue, Z.; Zhou, S.; Liu, Z. Adaptive Local–Global Synergistic Perception Network for Hydraulic Concrete Surface Defect Detection. Sensors 2026, 26, 923. https://doi.org/10.3390/s26030923
Peng Z, Li L, Chang C, Wan M, Zheng G, Yue Z, Zhou S, Liu Z. Adaptive Local–Global Synergistic Perception Network for Hydraulic Concrete Surface Defect Detection. Sensors. 2026; 26(3):923. https://doi.org/10.3390/s26030923
Chicago/Turabian StylePeng, Zhangjun, Li Li, Chuanhao Chang, Mingfei Wan, Guoqiang Zheng, Zhiming Yue, Shuai Zhou, and Zhigui Liu. 2026. "Adaptive Local–Global Synergistic Perception Network for Hydraulic Concrete Surface Defect Detection" Sensors 26, no. 3: 923. https://doi.org/10.3390/s26030923
APA StylePeng, Z., Li, L., Chang, C., Wan, M., Zheng, G., Yue, Z., Zhou, S., & Liu, Z. (2026). Adaptive Local–Global Synergistic Perception Network for Hydraulic Concrete Surface Defect Detection. Sensors, 26(3), 923. https://doi.org/10.3390/s26030923

