Single-Switch Inverter Modular Parallel Multi-Voltage Levels Wireless Charging System for Robots
Abstract
1. Introduction
- (1)
- By combining sensor-based scanning with software-controlled FM, this paper addresses the common limitation of existing WC systems that can only charge specific devices and cannot accommodate batteries of various device types. The proposed method requires no modification to the circuit structure, which significantly reduces the size and cost of the charging equipment and greatly improves the interoperability of the charging system.
- (2)
- This paper proposes an SSRIWC system which—compared with the widely used FB or HB inverter circuits—retains the advantages of single-switch circuits, such as fewer MOSFETs and a smaller size, while avoiding a substantial increase in the MOSFET voltage stress, thus offering certain benefits.
- (3)
- The system achieves automatic switching from CC to CV mode during lithium-battery charging through battery-voltage sampling and relay control. Moreover, a fine frequency-tuning mechanism is employed to address the issue of voltage overshoot during the CV stage that typically occurs in open-loop wireless charging systems.
2. The Principle of the Proposed Wireless Charging System
2.1. Analysis of Constant Current Mode in the Circuit
2.2. Analysis of Constant Voltage Mode in the Circuit
2.3. Analysis of Equivalent Voltage Source
3. Analysis of Voltage Gain and Frequency Modulation
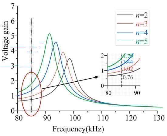
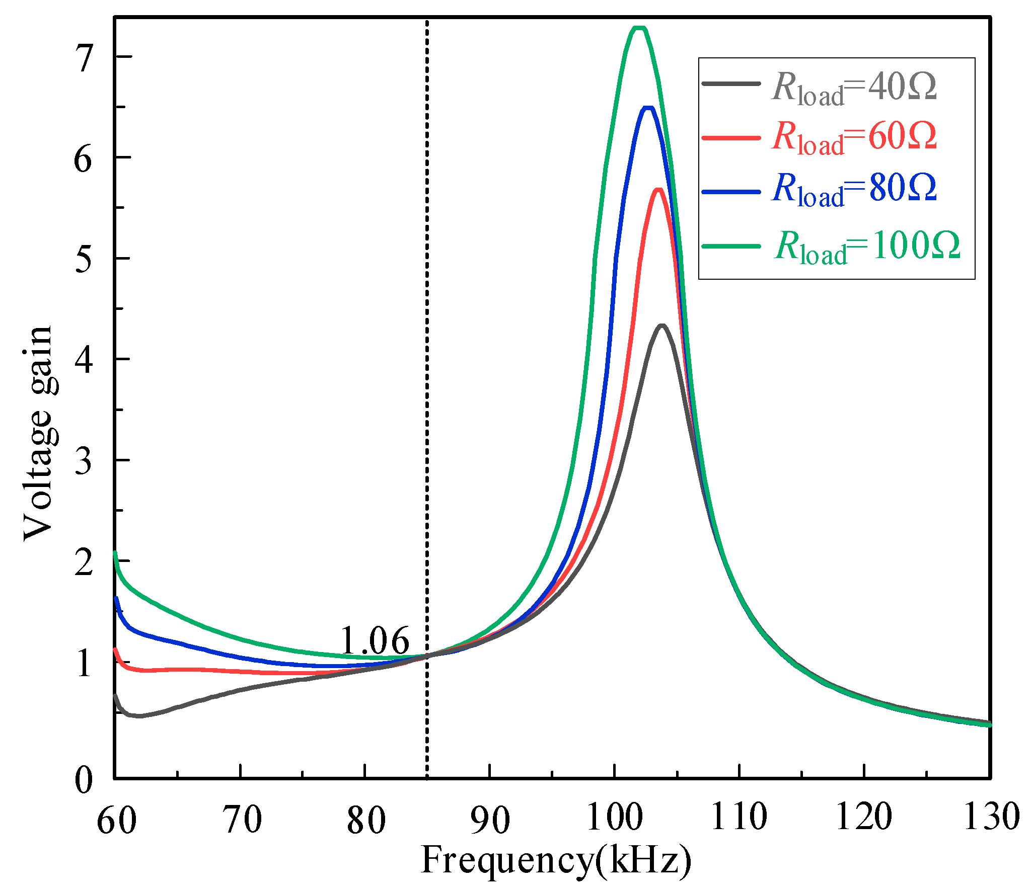
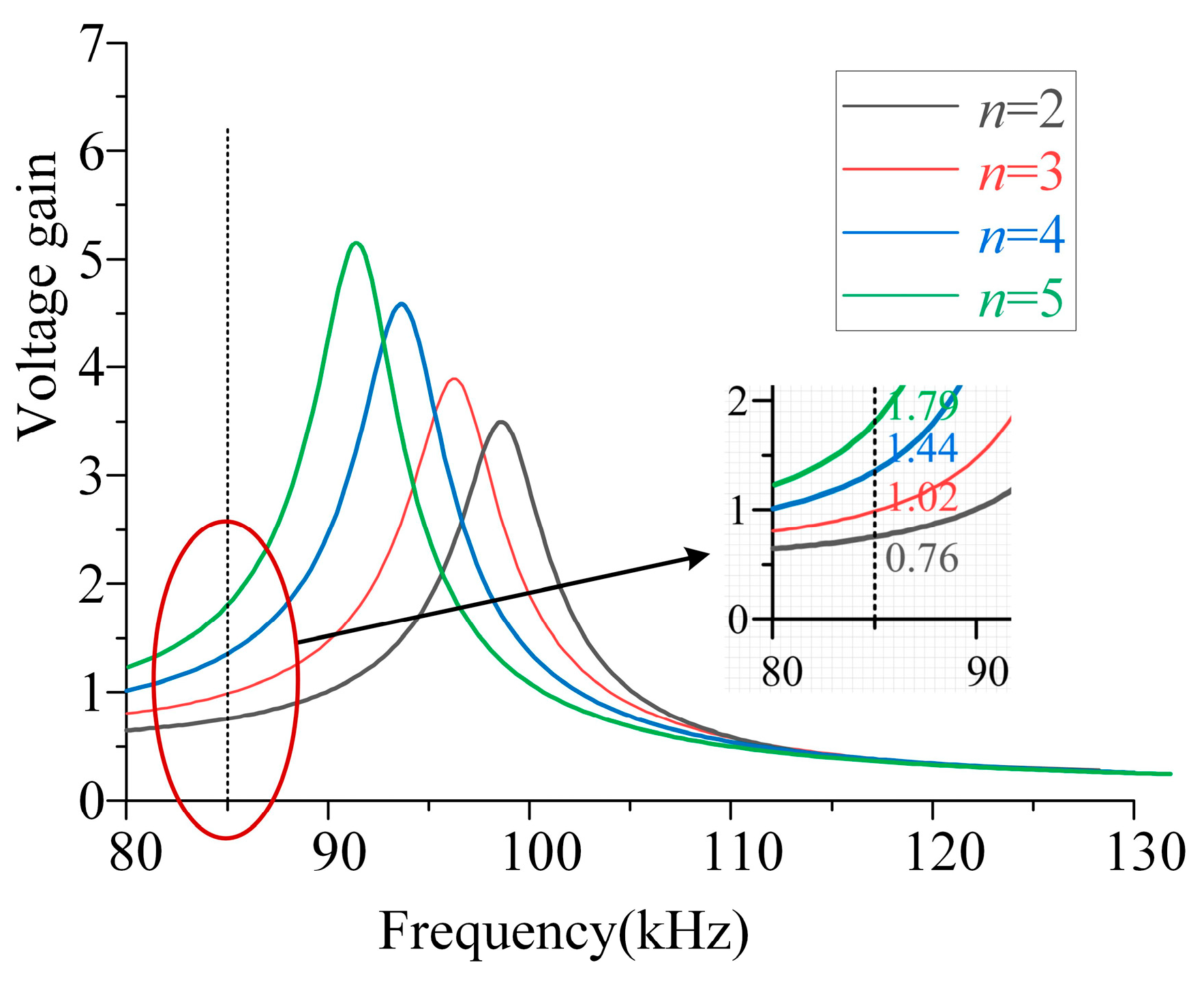
3.1. Voltage Gain Analysis
3.2. System Frequency Modulation Scheme
4. Experimental Verification
5. Conclusions
Author Contributions
Funding
Institutional Review Board Statement
Informed Consent Statement
Data Availability Statement
Conflicts of Interest
References
- Wei, Z.; Zhang, B.; Lin, S.; Wang, C. A Self-Oscillation WPT System with High Misalignment Tolerance. IEEE Trans. Power Electron. 2024, 39, 1870–1887. [Google Scholar] [CrossRef]
- Wang, F.; Yang, Q.; Zhang, X.; Chen, T.; Li, G. Enhancing Misalignment Tolerance in Hybrid Wireless Power Transfer System with Integrated Coupler via Frequency Tuning. IEEE Trans. Power Electron. 2024, 39, 11885–11899. [Google Scholar] [CrossRef]
- Dai, Z.; Zhang, X.; Liu, T.; Pei, C.; Chen, T.; Dou, R.; Wang, J. Magnetic Coupling Mechanism with Omnidirectional Magnetic Shielding for Wireless Power Transfer. IEEE Trans. Electromagn. Compat. 2023, 65, 1565–1574. [Google Scholar] [CrossRef]
- Cai, C.; Li, J.; Wu, S.; Qin, Z.; Chai, W.; Yang, S. A Bipolar and Unipolar Magnetic Channel Multiplexed WPT System with Simultaneous Full-Duplex Communication for Autonomous Underwater Vehicles. IEEE Trans. Power Electron. 2023, 38, 15086–15090. [Google Scholar] [CrossRef]
- Gong, Y.; Zhang, Z.; Chang, S. Single-Transmitter-Controlled Multiple-Channel Constant Current Outputs for In-Flight Wireless Charging of Drones. IEEE Trans. Ind. Electron. 2024, 71, 3606–3616. [Google Scholar] [CrossRef]
- Wang, H.; Cheng, K.W.E. A Dual-Receiver Inductive Charging System for Automated Guided Vehicles. IEEE Trans. Magn. 2022, 58, 1–5. [Google Scholar] [CrossRef]
- Zhu, C.; Yu, J.; Gu, Y.; Gao, J.; Yang, H.; Mai, R.; Li, Y.; He, Z. Analysis and Design of Cost-Effective WPT Systems with Dual Independently Regulatable Outputs for Automatic Guided Vehicles. IEEE Trans. Power Electron. 2021, 36, 6183–6187. [Google Scholar] [CrossRef]
- Wang, D.; Qu, X.; Yao, Y.; Yang, P. Hybrid Inductive-Power-Transfer Battery Chargers for Electric Vehicle Onboard Charging with Configurable Charging Profile. IEEE Trans. Intell. Transp. Syst. 2021, 22, 592–599. [Google Scholar] [CrossRef]
- Wu, Y.; Liu, C.; Zhou, M.; Mao, X.; Zhang, Y. An Antioffset Electric Vehicle Wireless Charging System Based on Dual Coupled Antiparallel Coils. IEEE Trans. Power Electron. 2023, 38, 5634–5637. [Google Scholar] [CrossRef]
- Zhang, Y.; Shen, Z.; Liu, C.; Mao, X.; Zhuang, Y.; Chen, S.; Tang, Y. A Quadrupole Receiving Coil with Series-Connected Diode Rectifiers for Interoperability of Nonpolarized and Polarized Transmitting Coils. IEEE Trans. Power Electron. 2023, 38, 8000–8004. [Google Scholar] [CrossRef]
- Zhang, Y.; Wu, Y.; Zhou, M.; Zhou, H.; Mao, X.; Jin, T.; Chen, X. An Integrated Electric Vehicle Charging System of Wireless Power Transfer and Auxiliary Power Module with Shared Converter and Magnetic Coupler. IEEE Trans. Ind. Electron. 2024, 71, 10414–10421. [Google Scholar] [CrossRef]
- Zhang, Y.; Zhou, H.; Shen, Z.; Xie, R.; Zheng, Z.; Chen, X. A Family of Self-Adaptive Interoperable Receivers Based on Multiple Decoupled Receiving Poles for Electric Vehicle Wireless Charging Systems. IEEE Trans. Power Electron. 2024, 39, 11794–11802. [Google Scholar] [CrossRef]
- Li, X.; Yu, F.; Madawala, U.K.; Wang, H.; Feng, H.; Dai, X.; Hu, J. A Dual-Coupled Double-LCC System with the Capability of Misalignment Tolerance Improvement for Wireless Charging Substation Inspection Robots. IEEE Trans. Power Electron. 2024, 39, 6624–6629. [Google Scholar] [CrossRef]
- Pan, W.; Xie, R.; Wang, S.; Zhuang, Y.; Mao, X.; Li, Z.; Zhang, Y. A Modular Reconfigurable Wireless Power Transfer System with Multiple Hybrid Outputs for Pipeline Inspection Robots. IEEE Trans. Ind. Electron. 2025, 72, 5736–5745. [Google Scholar] [CrossRef]
- Han, D.; Wen, R.; Yan, G.; Qian, D.; Kuang, S.; Jiang, P.; Wang, Z. Stable Wireless Power Transfer System for Capsule Robot Using Three-Dimensional Hybrid Transmitting Coil Pairs. IEEE Trans. Power Electron. 2025, 40, 8824–8833. [Google Scholar] [CrossRef]
- Liang, Y.; Sun, P.; Yang, G.; Sun, J.; Cai, J.; Wu, X.; Deng, Q. Analysis and Parameter Design for Input-Series Output-Series (ISOS) Multichannel Inductive Power Transfer System Considering Cross Coupling. IEEE J. Emerg. Sel. Top. Power Electron. 2024, 12, 2361–2376. [Google Scholar] [CrossRef]
- Sun, P.; Wang, L.; Liang, Y.; Wu, X.; Deng, Q. Analysis and Cross-Coupling Elimination of Input-Series Output-Parallel (ISOP) Multi-Channel IPT System. IEEE Open J. Power Electron. 2024, 5, 1014–1029. [Google Scholar] [CrossRef]
- Zhu, X.; Zhao, X.; Li, Y.; Liu, S.; Yang, H.; Tian, J.; Hu, J.; Mai, R.; He, Z. High-Efficiency WPT System for CC/CV Charging Based on Double-half-bridge Inverter Topology with Variable Inductors. IEEE Trans. Power Electron. 2022, 37, 2437–2448. [Google Scholar] [CrossRef]
- Lu, S.; Wu, L.; Deng, J.; Li, S.; Xia, J.; Deng, X. A Hybrid Current Balancing Method for Multiple Paralleled SiC-MOSFET Half-Bridge Modules. IEEE Trans. Power Electron. 2024, 39, 6688–6702. [Google Scholar] [CrossRef]
- Yuan, H.; Wang, C.; Xia, D. Research on Input-Parallel Single-Switch WPT System with Load-Independent Constant Voltage Output. IEEE Trans. Transp. Electrif. 2022, 9, 1888–1896. [Google Scholar] [CrossRef]
- Yang, L.; Wang, C.; Wei, Z.; Lin, S.; Luo, H.; Sun, Z.; Chen, S. Single-Switch Wireless CC and CV Charger with Self-Sustained Battery Charging Profile and Theoretical Zero CV Output Deviation. IEEE J. Emerg. Sel. Top. Power Electron. 2024, 12, 3236–3246. [Google Scholar] [CrossRef]
- Chen, S.; Zeng, J.; Tang, Y. A Super-Resonant Frequency Control for Handshaking of an Inductive Power Transfer System with Adjacent Units. IEEE Trans. Ind. Electron. 2024, 71, 1073–1076. [Google Scholar] [CrossRef]
- Liu, X.; Chen, R.; Li, F.; Zhou, D.; Zou, J. A WPT System with DC-Link Series/Parallel AC-Link Parallel Rectifiers for AUVs with Multiple Charging Voltages and Currents. IEEE Trans. Power Electron. 2024, 39, 10605–10617. [Google Scholar] [CrossRef]
- Li, Y.; Hu, J.; Li, X.; Cheng, K.-W.E. A Flexible Load-Independent Multi-Output Wireless Power Transfer System Based on Cascaded Double T-Resonant Circuits: Analysis, Design and Experimental Verification. IEEE Trans. Circuits Syst. I Regul. Pap. 2019, 66, 2803–2812. [Google Scholar] [CrossRef]
- Cai, C.; Wang, J.; Saeedifard, M.; Zhang, P.; Chen, R.; Zhang, J. Gyrator-Gain Variable WPT Topology for MC-Unconstrained CC Output Customization Using Simplified Capacitance Tuning. IEEE Trans. Ind. Electron. 2024, 71, 3594–3605. [Google Scholar] [CrossRef]
- Li, X.; Zheng, F.; Wang, H.; Dai, X.; Sun, Y.; Hu, J. Analysis and Design of a Cost-Effective Single-Input and Regulatable Multioutput WPT System. IEEE Trans. Power Electron. 2023, 38, 6939–6944. [Google Scholar] [CrossRef]
- Chen, Y.; Zhang, H.; Shin, C.-S.; Jo, C.-H.; Park, S.-J.; Kim, D.-H. An Efficiency Optimization-Based Asymmetric Tuning Method of Double-Sided LCC Compensated WPT System for Electric Vehicles. IEEE Trans. Power Electron. 2020, 35, 11475–11487. [Google Scholar] [CrossRef]
- He, X.; Zhu, C.; Tao, J.; Zhang, Y.; Mai, R. Analysis and Design of a Cost-Effective WPT System with Single-Input and Multioutput Based on Buck-Integrated Rectifier. IEEE Trans. Power Electron. 2023, 38, 12388–12393. [Google Scholar] [CrossRef]
- Li, X.; Zhou, D.; Jia, S.; Liu, X.; Zou, J. A WPT System with Wide-Range Voltage Gains and Soft Switching via Primary-Side Hybrid Modulation. IEEE Trans. Power Electron. 2024, 39, 8985–8997. [Google Scholar] [CrossRef]
- Li, H.; Liu, M.; Kong, L.; Wang, Y. An Independent Dual-Coil Driving Topology for Wireless Power Transfer. IEEE Trans. Power Electron. 2023, 38, 1378–1383. [Google Scholar] [CrossRef]
- Guo, Z.; Wang, C.; Lin, S.; Yang, L.; Lu, X. Multiparallel and Flexible Expansion of Single-Switch WPT Inverter by Magnetic Integration. IEEE Trans. Power Electron. 2023, 38, 4167–4180. [Google Scholar] [CrossRef]
- Carloni, A.; Di Rienzo, R.; Baronti, F.; Roncella, R.; Saletti, R.; Carloni, A.; Di Rienzo, R.; Baronti, F.; Roncella, R.; Saletti, R. Modeling the Load Equivalent Resistance of a Series-Series Inductive-Coupled Resonant Wireless Power Transfer System. In Proceedings of the 2020 2nd IEEE International Conference on Industrial Electronics for Sustainable Energy Systems (IESES), Cagliari, Italy, 1–3 September 2020; pp. 345–350. [Google Scholar]
- Tebianian, H.; Salami, Y.; Jeyasurya, B.; Quaicoe, J.E. A 13.56-MHz Full-Bridge Class-D ZVS Inverter with Dynamic Dead-Time Control for Wireless Power Transfer Systems. IEEE Trans. Ind. Electron. 2020, 67, 1487–1497. [Google Scholar] [CrossRef]
- Nguyen, B.X.; Vilathgamuwa, D.M.; Foo, G.H.B.; Wang, P.; Ong, A.; Madawala, U.K.; Nguyen, T.D. An Efficiency Optimization Scheme for Bidirectional Inductive Power Transfer Systems. IEEE Trans. Power Electron. 2015, 30, 6310–6319. [Google Scholar] [CrossRef]
- Colak, K.; Asa, E.; Bojarski, M.; Czarkowski, D.; Onar, O.C. A Novel Phase-Shift Control of Semibridgeless Active Rectifier for Wireless Power Transfer. IEEE Trans. Power Electron. 2015, 30, 6288–6297. [Google Scholar] [CrossRef]






















| Symbol | Definition | Value |
|---|---|---|
| Udc/V | Input DC voltage | 311 |
| f/kHz | Operating frequency | 80.4/85 |
| Vo/V | Output voltage | 220/330 |
| D | Duty cycle | 50% |
| Po/kW | Output power | 2.2/3.3 |
| Symbol | Definition | Value |
|---|---|---|
| h | Transmission distance | 150 mm |
| Lp | Inductance of the transmitter coil | 94.12 μH |
| Ls | Inductance of the receiving coil | 94.05 μH |
| M | Mutual inductance between Lp and Ls | 22.06 μH |
| rp | Parasitic resistance of Lp | 150.98 mΩ |
| Symbol | Value | Symbol | Value | Value | Value |
|---|---|---|---|---|---|
| Lr1 | 60.01 μH | rLr3 | 59.89 mΩ | Cs | 71.99 nF |
| Lr2 | 60.05 μH | Lsum1 | 75.96 μH | Ls1 | 44.95 μH |
| Lr3 | 59.97 μH | Lsum2 | 75.99 μH | Cs1 | 81.02 nF |
| Cr1 | 30.11 nF | Lsum3 | 76.13 μH | Cs2 | 162.11 nF |
| Cr2 | 30.06 nF | Cpr1 | 44.06 nF | rLsum1 | 54.06 mΩ |
| Symbol | Type | Tolerance | Operating Temperature | Thermal Drift | Rated Parameter |
|---|---|---|---|---|---|
| Lr1-Lr3 | Alloy toroidal inductor | ±8% | −40 °C~+125 °C | 2–3% | 25 A |
| Cr1-Cr3 | CBB | ±5% | −40 °C~+105 °C | Within ±5% | 2 kV |
| Lpr1-Lpr3 | Alloy toroidal inductor | ±8% | −40 °C~+125 °C | 2–5% | 5 A |
| Cpr1-Cpr3 | CBB | ±5% | −40 °C~+105 °C | Within ±5% | 2 kV |
| Cs | CBB | ±5% | −40 °C~+105 °C | Within ±5% | 2 kV |
| Ls1 | Alloy toroidal inductor | ±8% | −40 °C~+125 °C | About 5% | 14 A |
| Cs1 | CBB | ±5% | −40 °C~+100 °C | Within ±5% | 1.6 kV |
| Cs2 | CBB | ±5% | −40 °C~+100 °C | Within ±5% | 1.6 kV |
| Method | Reference | Extra Components | MOS/Inverter | CC/CV | Variable Output | Efficiency |
|---|---|---|---|---|---|---|
| FM | Proposed | None | 1 | All | Yes | 91.3% |
| [29] | n transformers + 1 capacitor | 4 | CV | Yes | 92.1% | |
| Integrated Buck | [28] | 4 MOSFETs + 2 inductors | 4 | No | Yes | 89% |
| Modular Parallel Connection | [20] | None | 1 | CV | No | 92.3% |
| Clamped Adaptive | [21] | 4 diodes + 1 capacitor + 1 inductor | 1 | All | No | 91.2% |
| Method | Reference | Voltage Regulation Range | Voltage Overshoot | System Safety |
|---|---|---|---|---|
| FM | Proposed | Wide range | No | High |
| [28] | Wide range | Yes | Low | |
| Integrated Buck | [29] | A Few Designated | 1 Yes, 2 No 1 | Medium 2 |
| Modular Parallel Connection | [20] | A Few Designated | Yes | Low |
| Clamped Adaptive | [21] | Only Single-Voltage Output | No | High |
Disclaimer/Publisher’s Note: The statements, opinions and data contained in all publications are solely those of the individual author(s) and contributor(s) and not of MDPI and/or the editor(s). MDPI and/or the editor(s) disclaim responsibility for any injury to people or property resulting from any ideas, methods, instructions or products referred to in the content. |
© 2025 by the authors. Licensee MDPI, Basel, Switzerland. This article is an open access article distributed under the terms and conditions of the Creative Commons Attribution (CC BY) license.
Share and Cite
Li, H.; Sun, Z.; Wei, L. Single-Switch Inverter Modular Parallel Multi-Voltage Levels Wireless Charging System for Robots. Sensors 2026, 26, 67. https://doi.org/10.3390/s26010067
Li H, Sun Z, Wei L. Single-Switch Inverter Modular Parallel Multi-Voltage Levels Wireless Charging System for Robots. Sensors. 2026; 26(1):67. https://doi.org/10.3390/s26010067
Chicago/Turabian StyleLi, Hua, Zhiyuan Sun, and Lianfu Wei. 2026. "Single-Switch Inverter Modular Parallel Multi-Voltage Levels Wireless Charging System for Robots" Sensors 26, no. 1: 67. https://doi.org/10.3390/s26010067
APA StyleLi, H., Sun, Z., & Wei, L. (2026). Single-Switch Inverter Modular Parallel Multi-Voltage Levels Wireless Charging System for Robots. Sensors, 26(1), 67. https://doi.org/10.3390/s26010067

